Expression Levels of GHRH-Receptor, pAkt and Hsp90 Predict 10-Year Overall Survival in Patients with Locally Advanced Rectal Cancer
Abstract
1. Introduction
2. Materials and Methods
2.1. Setting, Patients and Tumor Specimens
2.2. Histopathological Evaluation
2.3. Preparation of Polyclonal Antibodies against Hsp16.2 and SOUL
2.4. Immunohistochemistry
2.5. Data Collection, Categorization and Outcome Measures
2.6. Statistical Analysis
3. Results
3.1. Protein Expression in Pretreatment Biopsy Specimens, Clinical Parameters and Histopathological Response to Therapy
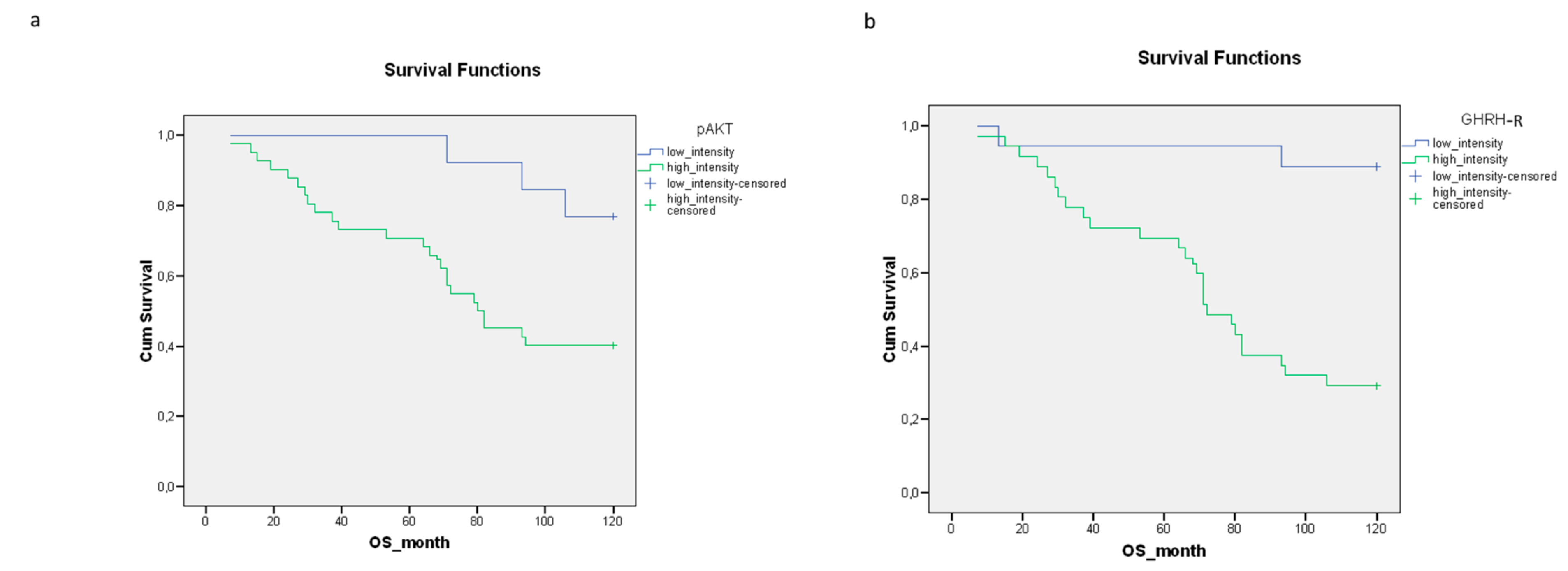
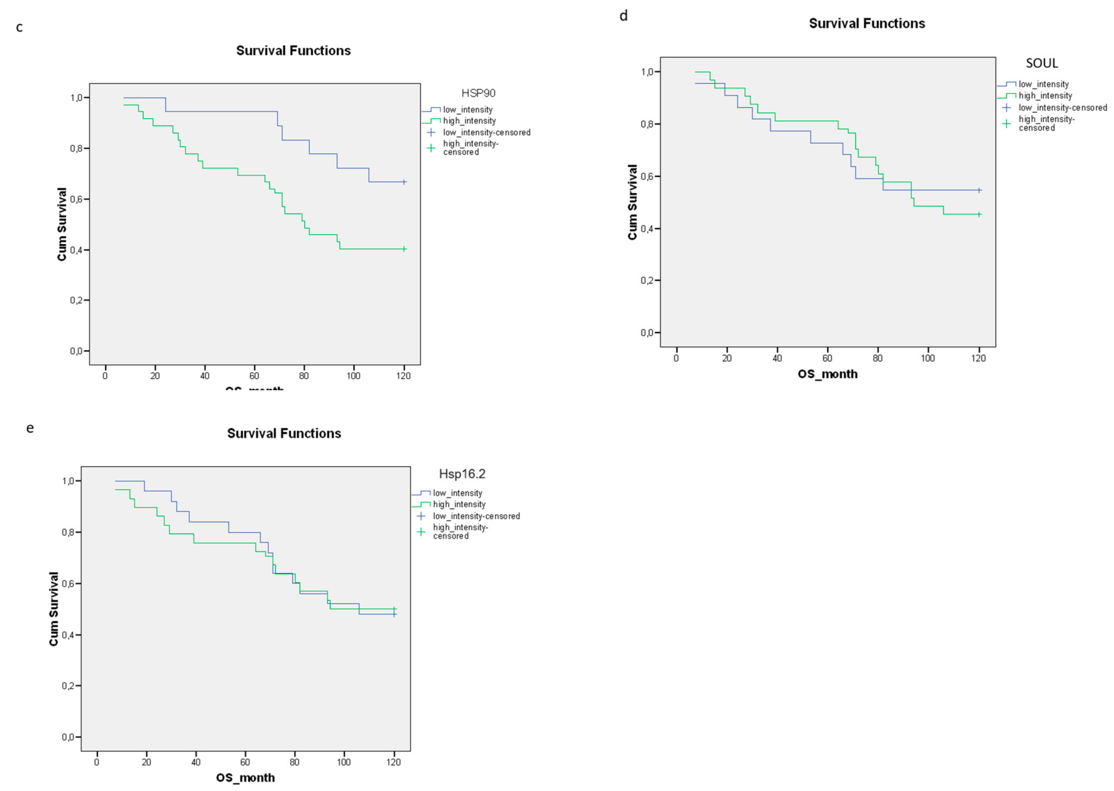
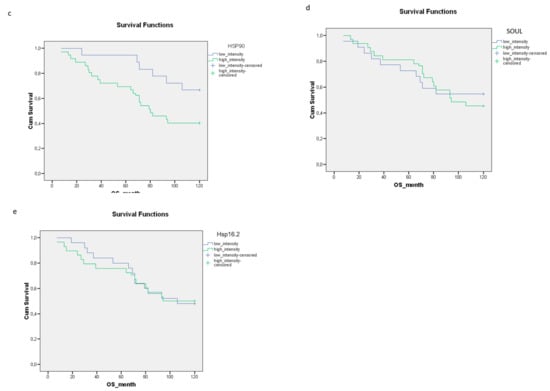
3.2. The Relationship between the Expression of Pretreatment Proteins and 10-Year Overall Survival (OS)
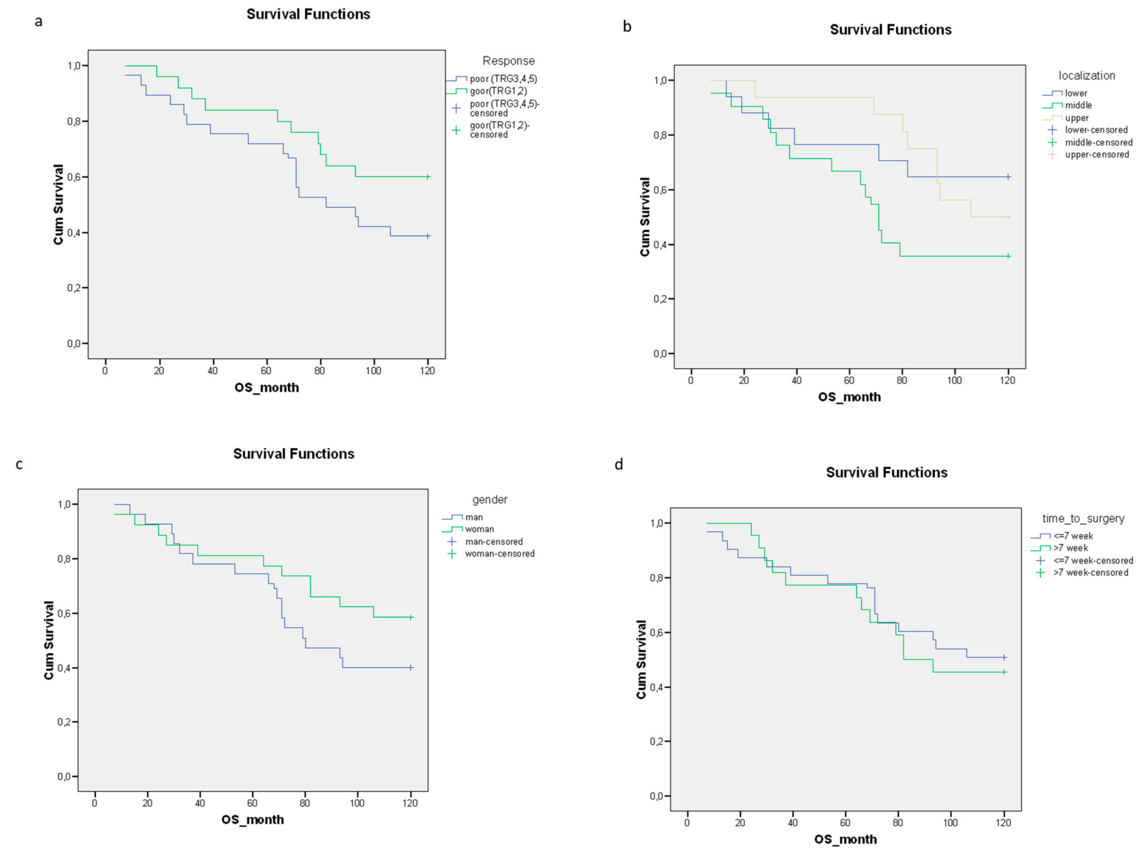
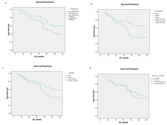
3.3. The Relationship between Clinical Parameters (Histopathological Response, Tumor Localization, Gender) and 10-Year OS
3.4. Analysis of the Expression of Pretreatment Proteins and Clinical Parameters as Potential Independent Prognostic Factors of Overall Survival
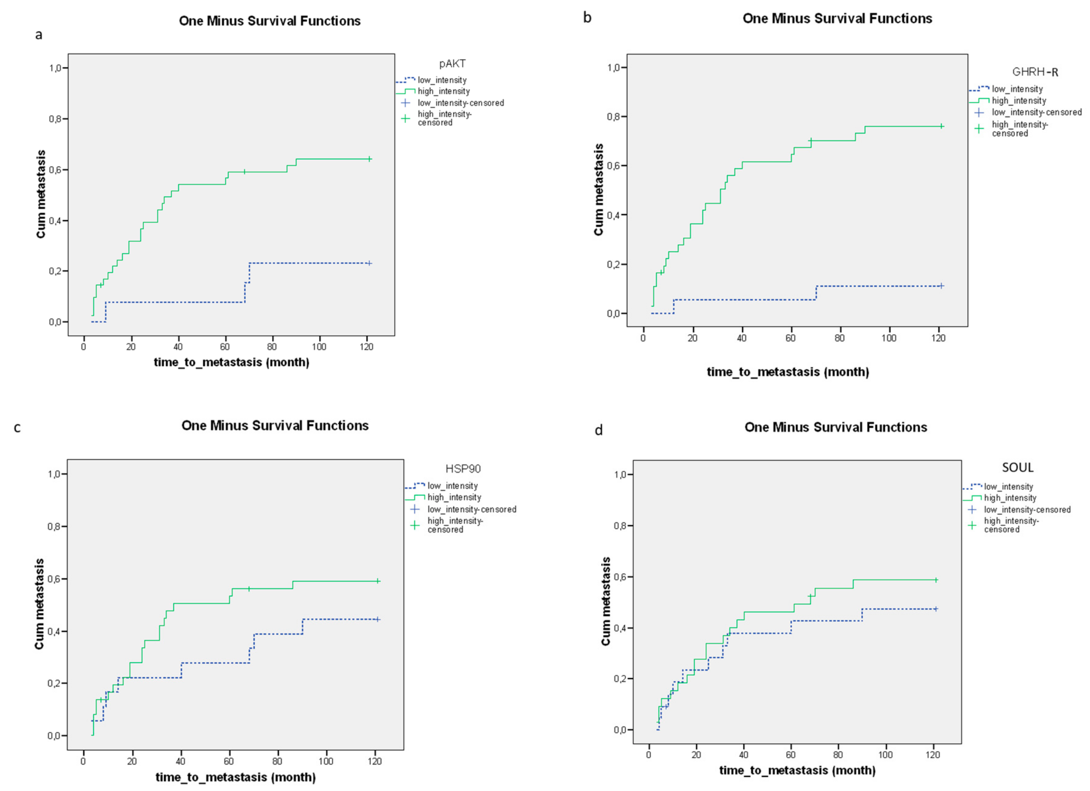
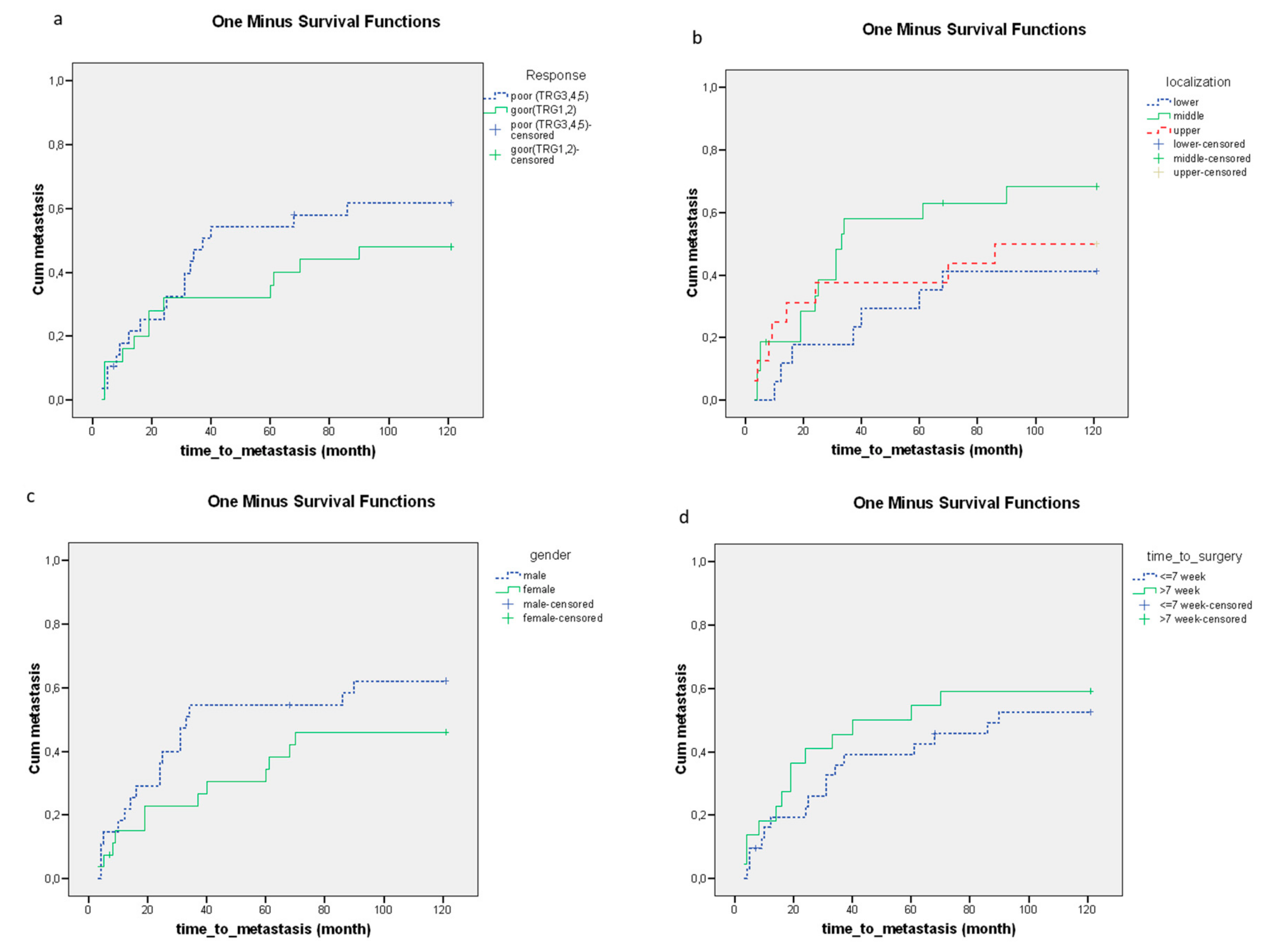
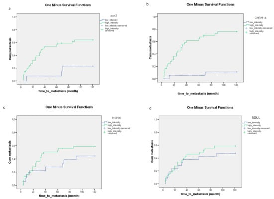
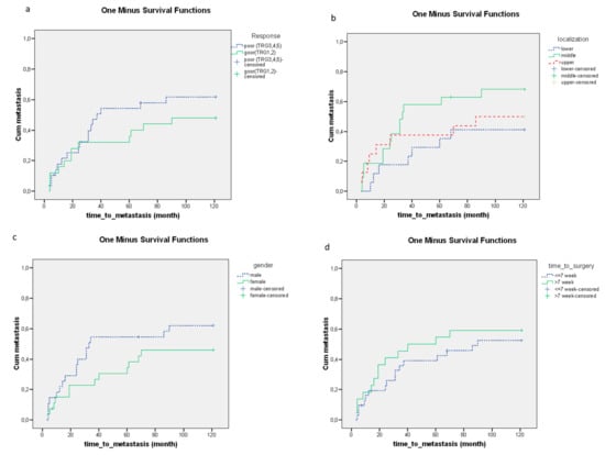
3.5. Relationship between the Expression of Pretreatment Proteins, Clinical Parameters and the Time to Metastasis
4. Discussion
5. Conclusions
Supplementary Materials
Author Contributions
Funding
Institutional Review Board Statement
Informed Consent Statement
Data Availability Statement
Conflicts of Interest
Abbreviations
| GHRH-R | Growth-hormone-releasing hormone receptor |
| Hsp | Heat shock protein |
| LMR | Lymphocyte-to-monocyte ratio |
| NRCT | Neoadjuvant radiochemotherapy |
| OS | Overall survival |
| SOUL | Heme-binding protein 2 |
| TRG | Tumor regression grade |
References
- Sung, H.; Ferlay, J.; Siegel, R.L.; Laversanne, M.; Soerjomataram, I.; Jemal, A.; Bray, F. Global Cancer Statistics 2020: GLOBOCAN Estimates of Incidence and Mortality Worldwide for 36 Cancers in 185 Countries. CA Cancer J. Clin. 2021, 71, 209–249. [Google Scholar] [CrossRef] [PubMed]
- Massihnia, D.; Pizzutilo, E.G.; Amatu, A.; Tosi, F.; Ghezzi, S.; Bencardino, K.; Di Masi, P.; Righetti, E.; Patelli, G.; Scaglione, F.; et al. Liquid biopsy for rectal cancer: A systematic review. Cancer Treat. Rev. 2019, 79, 101893. [Google Scholar] [CrossRef] [PubMed]
- Derakhshani, A.; Hashemzadeh, S.; Asadzadeh, Z.; Shadbad, M.; Rasibonab, F.; Safarpour, H.; Jafarlou, V.; Solimando, A.; Racanelli, V.; Singh, P.; et al. Cytotoxic T-Lymphocyte Antigen-4 in Colorectal Cancer: Another Therapeutic Side of Capecitabine. Cancers 2021, 13, 2414. [Google Scholar] [CrossRef] [PubMed]
- Huh, J.W.; Kim, H.C.; Kim, S.H.; Park, Y.A.; Cho, Y.B.; Yun, S.H.; Lee, W.Y.; Park, H.C.; Choi, D.H.; Park, J.O.; et al. Tumor regression grade as a clinically useful outcome predictor in patients with rectal cancer after preoperative chemoradiotherapy. Surgery 2018, 165, 579–585. [Google Scholar] [CrossRef]
- Dhadda, A.; Dickinson, P.; Zaitoun, A.; Gandhi, N.; Bessell, E. Prognostic importance of Mandard tumour regression grade following pre-operative chemo/radiotherapy for locally advanced rectal cancer. Eur. J. Cancer 2011, 47, 1138–1145. [Google Scholar] [CrossRef]
- Vecchio, F.M.; Valentini, V.; Minsky, B.D.; Padula, G.D.; Venkatraman, E.S.; Balducci, M.; Miccichè, F.; Ricci, R.; Morganti, A.G.; Gambacorta, M.A.; et al. The relationship of pathologic tumor regression grade (TRG) and outcomes after preoperative therapy in rectal cancer. Int. J. Radiat. Oncol. 2005, 62, 752–760. [Google Scholar] [CrossRef]
- Fokas, E.; Liersch, T.; Fietkau, R.; Hohenberger, W.; Beissbarth, T.; Hess, C.; Becker, H.; Ghadimi, M.; Mrak, K.; Merkel, S.; et al. Tumor Regression Grading After Preoperative Chemoradiotherapy for Locally Advanced Rectal Carcinoma Revisited: Updated Results of the CAO/ARO/AIO-94 Trial. J. Clin. Oncol. 2014, 32, 1554–1562. [Google Scholar] [CrossRef]
- Hu, Q.; Yan, C.; Xu, C.; Yan, H.; Qing, L.; Pu, Y.; He, Z.; Li, X. Matrilysin-2 expression in colorectal cancer is associated with overall survival of patients. Tumor Biol. 2013, 35, 3569–3574. [Google Scholar] [CrossRef]
- Jakubowska, K.; Koda, M.; Grudzińska, M.; Kańczuga-Koda, L.; Famulski, W. Monocyte-to-lymphocyte ratio as a prognostic factor in peripheral whole blood samples of colorectal cancer patients. World J. Gastroenterol. 2020, 26, 4639–4655. [Google Scholar] [CrossRef]
- Hirahara, T.; Arigami, T.; Yanagita, S.; Matsushita, D.; Uchikado, Y.; Kita, Y.; Mori, S.; Sasaki, K.; Omoto, I.; Kurahara, H.; et al. Combined neutrophil-lymphocyte ratio and platelet-lymphocyte ratio predicts chemotherapy response and prognosis in patients with advanced gastric cancer. BMC Cancer 2019, 19, 1–7. [Google Scholar] [CrossRef]
- Chun, E.; Lavoie, S.; Michaud, M.; Gallini, C.A.; Kim, J.; Soucy, G.; Odze, R.; Glickman, J.N.; Garrett, W.S. CCL2 Promotes Colorectal Carcinogenesis by Enhancing Polymorphonuclear Myeloid-Derived Suppressor Cell Population and Function. Cell Rep. 2015, 12, 244–257. [Google Scholar] [CrossRef]
- Farkas, R.; Pozsgai, E.; Schally, A.; Szigeti, A.; Szigeti, E.; Laszlo, Z.; Papp, A.; Gomori, E.; Mangel, L.; Horvath, P.O.; et al. Possible predictors of histopathological response to neoadjuvant chemoradiotherapy for rectal cancer. J. Cancer Res. Clin. Oncol. 2011, 138, 387–395. [Google Scholar] [CrossRef]
- Schally, A.V.; Comaru-Schally, A.M.; Nagy, A.; Kovacs, M.; Szepeshazi, K.; Plonowski, A.; Varga, J.L.; Halmos, G. Hypothalamic Hormones and Cancer. Front. Neuroendocr. 2001, 22, 248–291. [Google Scholar] [CrossRef]
- Busto, R.; Schally, A.V.; Varga, J.L.; Garcia-Fernandez, M.O.; Groot, K.; Armatis, P.; Szepeshazi, K. The expression of growth hormone-releasing hormone (GHRH) and splice variants of its receptor in human gastroenteropancreatic carcinomas. Proc. Natl. Acad. Sci. USA 2002, 99, 11866–11871. [Google Scholar] [CrossRef]
- Havt, A.; Schally, A.V.; Halmos, G.; Varga, J.L.; Toller, G.L.; Horvath, J.E.; Szepeshazi, K.; Köster, F.; Kovitz, K.; Groot, K.; et al. The expression of the pituitary growth hormone-releasing hormone receptor and its splice variants in normal and neoplastic human tissues. Proc. Natl. Acad. Sci. USA 2005, 102, 17424–17429. [Google Scholar] [CrossRef]
- Barabutis, N.; Schally, A.V. Knocking down gene expression for growth hormone-releasing hormone inhibits proliferation of human cancer cell lines. Br. J. Cancer 2008, 98, 1790–1796. [Google Scholar] [CrossRef]
- Hermisson, M.; Strik, H.; Rieger, J.; Dichgans, J.; Meyermann, R.; Weller, M. Expression and functional activity of heat shock proteins in human glioblastoma multiforme. Neurology 2000, 54, 1357–1365. [Google Scholar] [CrossRef]
- Costa, T.E.; Raghavendra, N.M.; Penido, C. Natural heat shock protein 90 inhibitors in cancer and inflammation. Eur. J. Med. Chem. 2020, 189, 112063. [Google Scholar] [CrossRef]
- Javid, H.; Hashemian, P.; Yazdani, S.; Mashhad, A.S.; Karimi-Shahri, M. The role of heat shock proteins in metastatic colorectal cancer: A review. J. Cell. Biochem. 2022, 123, 1704–1735. [Google Scholar] [CrossRef]
- Li, Q.; Wang, Y.; Lai, Y.; Xu, P.; Yang, Z. HspB5 correlates with poor prognosis in colorectal cancer and prompts epithelial-mesenchymal transition through ERK signaling. PLoS ONE 2017, 12, e0182588. [Google Scholar] [CrossRef]
- Ju, Y.-T.; Kwag, S.-J.; Park, H.J.; Jung, E.-J.; Jeong, C.-Y.; Jeong, S.-H.; Lee, Y.-J.; Choi, S.-K.; Kang, K.R.; Hah, Y.-S.; et al. Decreased Expression of Heat Shock Protein 20 in Colorectal Cancer and Its Implication in Tumorigenesis. J. Cell. Biochem. 2014, 116, 277–286. [Google Scholar] [CrossRef] [PubMed]
- Mao, Y.; Zhang, D.-W.; Lin, H.; Xiong, L.; Liu, Y.; Li, Q.-D.; Ma, J.; Cao, Q.; Chen, R.-J.; Zhu, J.; et al. Alpha B-crystallin is a new prognostic marker for laryngeal squamous cell carcinoma. J. Exp. Clin. Cancer Res. 2012, 31, 1–7. [Google Scholar] [CrossRef] [PubMed]
- Tang, Q.; Liu, Y.F.; Zhu, X.J.; Li, Y.H.; Zhu, J.; Zhang, J.P.; Feng, Z.Q.; Guan, X.H. Expression and prognostic significance of the αB-crystallin gene in human hepatocellular carcinoma. Hum. Pathol. 2009, 40, 300–305. [Google Scholar] [CrossRef] [PubMed]
- Wiech, M.; Olszewski, M.B.; Tracz-Gaszewska, Z.; Wawrzynow, B.; Zylicz, M.; Zylicz, A. Molecular Mechanism of Mutant p53 Stabilization: The Role of HSP70 and MDM2. PLoS ONE 2012, 7, e51426. [Google Scholar] [CrossRef] [PubMed]
- He, N.; Zhang, L.; Cui, J.; Li, Z. Bone Marrow Vascular Niche: Home for Hematopoietic Stem Cells. Bone Marrow Res. 2014, 2014, 1–8. [Google Scholar] [CrossRef]
- Tien, A.H.; Sadar, M.D. Keys to unlock androgen receptor translocation. J. Biol. Chem. 2019, 294, 8711–8712. [Google Scholar] [CrossRef]
- SuqinHe, S.; Smith, D.L.; Sequeira, M.; Sang, J.; Bates, R.C.; Proia, D.A. The HSP90 inhibitor ganetespib has chemosensitizer and radiosensitizer activity in colorectal cancer. Investig. New Drugs 2014, 32, 577–586. [Google Scholar] [CrossRef]
- Bellyei, S.; Szigeti, A.; Pozsgai, E.; Boronkai, A.; Gomori, E.; Hocsak, E.; Farkas, R.; Sumegi, B.; Gallyas, F. Preventing apoptotic cell death by a novel small heat shock protein. Eur. J. Cell Biol. 2007, 86, 161–171. [Google Scholar] [CrossRef]
- Pozsgai, E.; Gomori, E.; Szigeti, A.; Boronkai, A.; Gallyas, F.; Sumegi, B.; Bellyei, S. Correlation between the progressive cytoplasmic expression of a novel small heat shock protein (Hsp16.2) and malignancy in brain tumors. BMC Cancer 2007, 7, 233. [Google Scholar] [CrossRef]
- Bellyei, S.; Szigeti, A.; Boronkai, A.; Pozsgai, E.; Gomori, E.; Melegh, B.; Janaky, T.; Bognar, Z.; Hocsak, E.; Sumegi, B.; et al. Inhibition of cell death by a novel 16.2 kD heat shock protein predominantly via Hsp90 mediated lipid rafts stabilization and Akt activation pathway. Apoptosis 2006, 12, 97–112. [Google Scholar] [CrossRef]
- Iqbal, M.A.; Arora, S.; Prakasam, G.; Calin, G.A.; Syed, M.A. MicroRNA in lung cancer: Role, mechanisms, pathways and therapeutic relevance. Mol. Asp. Med. 2018, 70, 3–20. [Google Scholar] [CrossRef]
- Amaravadi, R.K.; Thompson, C.B. The Roles of Therapy-Induced Autophagy and Necrosis in Cancer Treatment. Clin. Cancer Res. 2007, 13, 7271–7279. [Google Scholar] [CrossRef]
- Liu, H.; Wang, J.; Tao, Y.; Li, X.; Qin, J.; Bai, Z.; Chi, B.; Yan, W.; Chen, X. Curcumol inhibits colorectal cancer proliferation by targeting miR-21 and modulated PTEN/PI3K/Akt pathways. Life Sci. 2019, 221, 354–361. [Google Scholar] [CrossRef]
- Pollheimer, M.J.; Kornprat, P.; Lindtner, R.A.; Harbaum, L.; Schlemmer, A.; Rehak, P.; Langner, C. Tumor necrosis is a new promising prognostic factor in colorectal cancer. Hum. Pathol. 2010, 41, 1749–1757. [Google Scholar] [CrossRef]
- Szigeti, A.; Bellyei, S.; Gasz, B.; Boronkai, A.; Hocsak, E.; Minik, O.; Bognar, Z.; Varbiro, G.; Sumegi, B.; Gallyas, F., Jr. Induction of necrotic cell death and mitochondrial permeabilization by heme binding protein 2/SOUL. FEBS Lett. 2006, 580, 6447–6454. [Google Scholar] [CrossRef]
- Szigeti, A.; Hocsak, E.; Rapolti, E.; Racz, B.; Boronkai, A.; Pozsgai, E.; Debreceni, B.; Bognar, Z.; Bellyei, S.; Sumegi, B.; et al. Facilitation of Mitochondrial Outer and Inner Membrane Permeabilization and Cell Death in Oxidative Stress by a Novel Bcl-2 Homology 3 Domain Protein. J. Biol. Chem. 2010, 285, 2140–2151. [Google Scholar] [CrossRef]
- Mandard, A.M.; Dalibard, F.; Mandard, J.C.; Marnay, J.; Henry-Amar, M.; Petiot, J.F.; Roussel, A.; Jacob, J.H.; Segol, P.; Samama, G.; et al. Pathologic assessment of tumor regression after preoperative chemoradiotherapy of esophageal carcinoma. Clinicopathologic correlations. Cancer 1994, 73, 2680–2686. [Google Scholar] [CrossRef]
- Gérard, J.-P.; Conroy, T.; Bonnetain, F.; Bouché, O.; Chapet, O.; Closon-Dejardin, M.-T.; Untereiner, M.; LeDuc, B.; Francois, É.; Maurel, J.; et al. Preoperative Radiotherapy With or Without Concurrent Fluorouracil and Leucovorin in T3-4 Rectal Cancers: Results of FFCD 9203. J. Clin. Oncol. 2006, 24, 4620–4625. [Google Scholar] [CrossRef]
- Bosset, J.-F.; Collette, L.; Calais, G.; Mineur, L.; Maingon, P.; Radosevic-Jelic, L.; Daban, A.; Bardet, E.; Beny, A.; Ollier, J.-C. Chemotherapy with Preoperative Radiotherapy in Rectal Cancer. N. Engl. J. Med. 2006, 355, 1114–1123. [Google Scholar] [CrossRef]
- Bratthauer, G.L. Immunohistochemistry. antigen detection in tissue. In Advanced Laboratory Methods in Histology and Pathology; Armed Forces Institute of Pathology, American Registry of Pathology: Washington, DC, USA, 1994. [Google Scholar]
- Somji, S.; Sens, M.A.; Lamm, D.L.; Garrett, S.H.; Sens, D.A. Metallothionein isoform 1 and 2 gene expression in the human bladder: Evidence for upregulation of MT-1X mRNA in bladder cancer. Cancer Detect. Prev. 2001, 25, 62–75. [Google Scholar]
- Schally, A.V.; Varga, J.L.; Engel, J.B. Antagonists of growth-hormone-releasing hormone: An emerging new therapy for cancer. Nat. Clin. Pract. Endocrinol. Metab. 2008, 4, 33–43. [Google Scholar] [CrossRef] [PubMed]
- Schally, A.V.; Wang, H.; He, J.; Cai, R.; Sha, W.; Popovics, P.; Perez, R.; Vidaurre, I.; Zhang, X. Agonists of growth hormone-releasing hormone (GHRH) inhibit human experimental cancers in vivo by down-regulating receptors for GHRH. Proc. Natl. Acad. Sci. USA 2018, 115, 12028–12033. [Google Scholar] [CrossRef] [PubMed]
- Schally, A.; Varga, J. Antagonists of Growth Hormone-Releasing Hormone in Oncology. Comb. Chem. High Throughput Screen. 2006, 9, 163–170. [Google Scholar] [CrossRef] [PubMed]
- Chatzistamou, I.; Schally, A.V.; Varga, J.L.; Groot, K.; Busto, R.; Armatis, P.; Halmos, G. Inhibition of growth and metastases of MDA-MB-435 human estrogen-independent breast cancers by an antagonist of growth hormone-releasing hormone. Anti-Cancer Drugs 2001, 12, 761–768. [Google Scholar] [CrossRef]
- Braczkowski, R.; Schally, A.V.; Plonowski, A.; Varga, J.L.; Groot, K.; Krupa, M.; Armatis, P. Inhibition of proliferation in human MNNG/HOS osteosarcoma and SK-ES-1 ewing sarcoma cell lines in vitro and in vivo by antagonists of growth hormone-releasing hormone: Effects on insulin-like growth factor II. Cancer 2002, 95, 1735–1745. [Google Scholar] [CrossRef]
- Zeitler, P.; Siriwardana, G. Antagonism of Endogenous Growth Hormone-Releasing Hormone (GHRH) Leads to Reduced Proliferation and Apoptosis in MDA231 Breast Cancer Cells. Endocrine 2002, 18, 85–90. [Google Scholar] [CrossRef]
- Gan, J.; Ke, X.; Jiang, J.; Dong, H.; Yao, Z.; Lin, Y.; Lin, W.; Wu, X.; Yan, S.; Zhuang, Y.; et al. Growth hormone-releasing hormone receptor antagonists inhibit human gastric cancer through downregulation of PAK1-STAT3/NF-κB signaling. Proc. Natl. Acad. Sci. USA 2016, 113, 14745–14750. [Google Scholar] [CrossRef]
- Hohla, F.; Moder, A.; Mayrhauser, U.; Hauser-Kronberger, C.; Schally, A.V.; Varga, J.L.; Zarandi, M.; Buchholz, S.; Huber, R.; Aigner, E.; et al. Differential expression of GHRH receptor and its splice variant 1 in human normal and malignant mucosa of the oesophagus and colon. Int. J. Oncol. 2008, 33, 137–143. [Google Scholar] [CrossRef]
- Hohla, F.; Buchholz, S.; Schally, A.V.; Seitz, S.; Rick, F.G.; Szalontay, L.; Varga, J.L.; Zarandi, M.; Halmos, G.; Vidaurre, I.; et al. GHRH antagonist causes DNA damage leading to p21 mediated cell cycle arrest and apoptosis in human colon cancer cells. Cell Cycle 2009, 8, 3149–3156. [Google Scholar] [CrossRef]
- Henderson-Jackson, E.B.; Helm, J.; Ghayouri, M.; Hakam, A.; Nasir, A.; Leon, M.; Bui, M.; Yeatman, T.; Coppola, D. Correlation between Mcl-1 and pAKT protein expression in colorectal cancer. Int. J. Clin. Exp. Pathol. 2010, 3, 768–774. [Google Scholar]
- Cao, F.; Wang, S.; Wang, H.; Tang, W. Fibroblast activation protein-α in tumor cells promotes colorectal cancer angiogenesis via the Akt and ERK signaling pathways. Mol. Med. Rep. 2017, 17, 2593–2599. [Google Scholar] [CrossRef]
- Tsutsumi, S.; Neckers, L. Extracellular heat shock protein 90: A role for a molecular chaperone in cell motility and cancer metastasis. Cancer Sci. 2007, 98, 1536–1539. [Google Scholar] [CrossRef]
- Goetz, M.P.; Toft, D.O.; Ames, M.M.; Erlichman, C. The Hsp90 chaperone complex as a novel target for cancer therapy. Ann. Oncol. 2003, 14, 1169–1176. [Google Scholar] [CrossRef]
- Yun, C.W.; Kim, H.J.; Lim, J.H.; Lee, S.H. Heat Shock Proteins: Agents of Cancer Development and Therapeutic Targets in Anti-Cancer Therapy. Cells 2019, 9, 60. [Google Scholar] [CrossRef]
- Chen, J.S.; Hsu, Y.M.; Chen, C.C.; Chen, L.L.; Lee, C.C.; Huang, T.S. Secreted heat shock protein 90α induces colorectal cancer cell invasion through CD91/LRP-1 and NF-κB-mediated integrin αV expression. J. Biol. Chem. 2010, 285, 25458–25466. [Google Scholar] [CrossRef]
- Wang, X.; Song, X.; Zhuo, W.; Fu, Y.; Shi, H.; Liang, Y.; Tong, M.; Chang, G.; Luo, Y. The regulatory mechanism of Hsp90α secretion and its function in tumor malignancy. Proc. Natl. Acad. Sci. USA 2009, 106, 21288–21293. [Google Scholar] [CrossRef]
- Chen, W.-S.; Lee, C.-C.; Hsu, Y.-M.; Chen, C.-C.; Huang, T.-S. Identification of heat shock protein 90α as an IMH-2 epitope-associated protein and correlation of its mRNA overexpression with colorectal cancer metastasis and poor prognosis. Int. J. Color. Dis. 2011, 26, 1009–1017. [Google Scholar] [CrossRef]
- Albakova, Z.; Siam, M.K.S.; Sacitharan, P.K.; Ziganshin, R.H.; Ryazantsev, D.Y.; Sapozhnikov, A.M. Extracellular heat shock proteins and cancer: New perspectives. Transl. Oncol. 2020, 14, 100995. [Google Scholar] [CrossRef]
- Kocsis, J.; Madaras, B.; Tóth, É.K.; Füst, G.; Prohászka, Z. Serum level of soluble 70-kD heat shock protein is associated with high mortality in patients with colorectal cancer without distant metastasis. Cell Stress Chaperones 2010, 15, 143–151. [Google Scholar] [CrossRef]
- Gráf, L.; Barabás, L.; Madaras, B.; Garam, N.; Maláti, É.; Horváth, L.; Prohászka, Z.; Horváth, Z.; Kocsis, J. High serum Hsp70 level predicts poor survival in colorectal cancer: Results obtained in an independent validation cohort. Cancer Biomark. 2018, 23, 539–547. [Google Scholar] [CrossRef]
- Zoltan, L.; Farkas, R.; Schally, A.V.; Pozsgai, E.; Papp, A.; Bognár, L.; Tornoczki, T.; Mangel, L.; Bellyei, S. Possible Predictive Markers of Response to Therapy in Esophageal Squamous Cell Cancer. Pathol. Oncol. Res. 2017, 25, 279–288. [Google Scholar] [CrossRef] [PubMed]
- Du, D.; Su, Z.; Wang, D.; Liu, W.; Wei, Z. Optimal Interval to Surgery After Neoadjuvant Chemoradiotherapy in Rectal Cancer: A Systematic Review and Meta-analysis. Clin. Color. Cancer 2018, 17, 13–24. [Google Scholar] [CrossRef] [PubMed]
- Curtis, N.J.; West, M.A.; Salib, E.; Ockrim, J.; Allison, A.S.; Dalton, R.; Francis, N.K. Time from colorectal cancer diagnosis to laparoscopic curative surgery—Is there a safe window for prehabilitation? Int. J. Color. Dis. 2018, 33, 979–983. [Google Scholar] [CrossRef] [PubMed]
- Mihmanlı, M.; Gürbulak, E.K.; Akgün, İ.E.; Celayir, M.F.; Yazıcı, P.; Tunçel, D.; Bek, T.T.; Öz, A.; Ömeroğlu, S. Delaying surgery after neoadjuvant chemoradiotherapy improves prognosis of rectal cancer. World J. Gastrointest. Oncol. 2016, 8, 695. [Google Scholar] [CrossRef]
- Kalady, M.F.; de Campos-Lobato, L.F.; Stocchi, L.; Geisler, D.P.; Dietz, D.; Lavery, I.C.; Fazio, V.W. Predictive Factors of Pathologic Complete Response After Neoadjuvant Chemoradiation for Rectal Cancer. Ann. Surg. 2009, 250, 582–589. [Google Scholar] [CrossRef]
- Petrelli, F.; Sgroi, G.; Sarti, E.; Barni, S. Increasing the interval between neoadjuvant chemoradiotherapy and surgery in rectal cancer: A meta-analysis of published studies. Ann. Surg. 2016, 263, 458–464. [Google Scholar] [CrossRef]
- Das, P.; Skibber, J.M.; Rodriguez-Bigas, M.A.; Feig, B.W.; Chang, G.J.; Wolff, R.A.; Eng, C.; Krishnan, S.; Janjan, N.A.; Crane, C.H. Predictors of tumor response and downstaging in patients who receive preoperative chemoradiation for rectal cancer. Cancer 2007, 109, 1750–1755. [Google Scholar] [CrossRef]
- Restivo, A.; Zorcolo, L.; Cocco, I.M.F.; Manunza, R.; Margiani, C.; Marongiu, L.; Casula, G. Elevated CEA Levels and Low Distance of the Tumor from the Anal Verge are Predictors of Incomplete Response to Chemoradiation in Patients with Rectal Cancer. Ann. Surg. Oncol. 2012, 20, 864–871. [Google Scholar] [CrossRef]
- Huang, Y.; Lee, D.; Young, C. Predictors for complete pathological response for stage II and III rectal cancer following neoadjuvant therapy—A systematic review and meta-analysis. Am. J. Surg. 2020, 220, 300–308. [Google Scholar] [CrossRef]
- Yang, Y.; Wang, G.; He, J.; Ren, S.; Wu, F.; Zhang, J.; Wang, F. Gender differences in colorectal cancer survival: A meta-analysis. Int. J. Cancer 2017, 141, 1942–1949. [Google Scholar] [CrossRef]






| Factor | N = 109 |
|---|---|
| Age (years) | |
| ≤60 >60 | 60 (55%) 49 (45%) |
| Sex | |
| Male Female | 55 (50%) 54 (50%) |
| Clinical T stage | |
| cT2 cT3 cT4 | 4 (4%) 93 (85%) 12 (11%) |
| Clinical N stage | |
| cN0 cN1-2 | 41 (38%) 68 (62%) |
| Distance from AV (cm) | |
| <5 5–10 >10 | 34 (31%) 43 (40%) 32 (29%) |
| Time to surgery (weeks) | |
| ≤7 >7 | 64 (59%) 45 (41%) |
| AV: anal verge |
| Markers | Immunhistochemical Expression | |||
|---|---|---|---|---|
| Low Intensity | High Intensity | |||
| 0 | + | ++ | +++ | |
| SOUL | 44 (40%) | 65 (60%) | ||
| Hsp 16.2 | 50 (46%) | 59 (54%) | ||
| Hsp 90 | 36 (33%) | 73 (67%) | ||
| p-Akt | 26 (24%) | 83 (76%) | ||
| GHRH-R | 36 (33%) | 73 (67%) | ||
| Markers | Case No (n = 109) | Good Response (n = 52) | Poor Response (n = 57) | p | |
|---|---|---|---|---|---|
| SOUL | Low intensity | 44 (40%) | 20 (18%) | 24 (22%) | 0.699 |
| High intensity | 65 (60%) | 32 (30%) | 33 (30%) | ||
| Hsp 16.2 | Low intensity | 50 (46%) | 28 (26%) | 22 (20%) | 0.111 |
| High intensity | 59 (54%) | 24 (22%) | 35 (32%) | ||
| HSP90 | Low intensity | 36 (33%) | 20 (18%) | 16 (15%) | 0.249 |
| High intensity | 73 (67%) | 32 (30%) | 41 (37%) | ||
| P-AKT | Low intensity | 26 (24%) | 12 (11%) | 14 (13%) | 0.856 |
| High intensity | 83 (76%) | 40 (37%) | 43 (39%) | ||
| GHRH-R | Low intensity | 36 (33%) | 22 (20%) | 14 (13%) | 0.049 |
| High intensity | 73 (67%) | 30 (28%) | 43 (39%) |
| Clinical Factor | Case No (n = 109) | Good Response (n = 52) | Poor Response (n = 57) | p | |
|---|---|---|---|---|---|
| Age (years) | ≤60 | 60 (55%) | 30 (27.5%) | 30 (27.5%) | 0.596 |
| >60 | 49 (45%) | 22 (20%) | 27 (25%) | ||
| Sex | Male | 55 (50%) | 28 (26%) | 27 (25%) | 0.499 |
| Female | 54 (50%) | 24 (22%) | 30 (27%) | ||
| Clinical T stage * | cT2 | 4 (4%) | 4 (4%) | 0 (0%) | 0.068 |
| cT3 | 93 (85%) | 44 (40%) | 49 (45%) | ||
| cT4 | 12 (11%) | 4 (4%) | 8 (7%) | ||
| Clinical N stage | cN0 | 41 (%) | 18 (17%) | 23 (21%) | 0.537 |
| cN1–2 | 68 (%) | 34 (31%) | 34 (31%) | ||
| Distance from AV (cm) | <5 | 34 (31%) | 14 (13%) | 20 (18%) | 0.384 |
| 5–10 | 43 (39%) | 24 (22%) | 19 (17%) | ||
| >10 | 32 (30%) | 14 (13%) | 18 (17%) | ||
| Time to surgery (weeks) | ≤7 | 64 (59%) | 23 (21%) | 41 (38%) | 0.003 |
| >7 | 45 (41%) | 29 (27%) | 16 (14%) |
| B | SE | Sig. | Exp(B) | 95.0% CI for Exp(B) | ||
|---|---|---|---|---|---|---|
| Lower | Upper | |||||
| Hsp90 | −0.928 | 0.332 | 0.005 | 0.395 | 0.206 | 0.757 |
| GHRH-R | −2.015 | 0.562 | 0.000 | 0.133 | 0.044 | 0.401 |
| p-Akt | −0.666 | 0.470 | 0.157 | 0.514 | 0.205 | 1.291 |
| Response | 0.321 | 0.284 | 0.259 | 1.378 | 0.789 | 2.406 |
Disclaimer/Publisher’s Note: The statements, opinions and data contained in all publications are solely those of the individual author(s) and contributor(s) and not of MDPI and/or the editor(s). MDPI and/or the editor(s) disclaim responsibility for any injury to people or property resulting from any ideas, methods, instructions or products referred to in the content. |
© 2023 by the authors. Licensee MDPI, Basel, Switzerland. This article is an open access article distributed under the terms and conditions of the Creative Commons Attribution (CC BY) license (https://creativecommons.org/licenses/by/4.0/).
Share and Cite
Fodor, D.; Pozsgai, É.; Schally, A.V.; László, Z.; Gömöri, É.; Szabó, É.; Rumi, L.; Lőcsei, D.; Boronkai, Á.; Bellyei, S. Expression Levels of GHRH-Receptor, pAkt and Hsp90 Predict 10-Year Overall Survival in Patients with Locally Advanced Rectal Cancer. Biomedicines 2023, 11, 719. https://doi.org/10.3390/biomedicines11030719
Fodor D, Pozsgai É, Schally AV, László Z, Gömöri É, Szabó É, Rumi L, Lőcsei D, Boronkai Á, Bellyei S. Expression Levels of GHRH-Receptor, pAkt and Hsp90 Predict 10-Year Overall Survival in Patients with Locally Advanced Rectal Cancer. Biomedicines. 2023; 11(3):719. https://doi.org/10.3390/biomedicines11030719
Chicago/Turabian StyleFodor, Dávid, Éva Pozsgai, Andrew V. Schally, Zoltán László, Éva Gömöri, Éva Szabó, László Rumi, Dorottya Lőcsei, Árpád Boronkai, and Szabolcs Bellyei. 2023. "Expression Levels of GHRH-Receptor, pAkt and Hsp90 Predict 10-Year Overall Survival in Patients with Locally Advanced Rectal Cancer" Biomedicines 11, no. 3: 719. https://doi.org/10.3390/biomedicines11030719
APA StyleFodor, D., Pozsgai, É., Schally, A. V., László, Z., Gömöri, É., Szabó, É., Rumi, L., Lőcsei, D., Boronkai, Á., & Bellyei, S. (2023). Expression Levels of GHRH-Receptor, pAkt and Hsp90 Predict 10-Year Overall Survival in Patients with Locally Advanced Rectal Cancer. Biomedicines, 11(3), 719. https://doi.org/10.3390/biomedicines11030719
