Beneficial Effects of Resveratrol and γ-Cyclodextrin on the Hematological and Biochemical Parameters of Healthy Wistar Rats Treated with Cisplatin: A PCA Approach
Abstract
1. Introduction
2. Materials and Methods
2.1. Animals
2.2. Materials, Drugs, and Hematological and Biochemical Kits
2.3. Preparation of γ-CD/Rv/CP Ternary Complexes and γ-CD/Rv and γ-CD/CP Binary Complexes in Solution
2.4. Experimental Design
2.5. Hematological and Biochemical Investigations
2.6. Molecular Modeling and γ-CD Docking of Resveratrol and Cisplatin
2.7. Data and PCA Multivariate Statistical Analyses
3. Results
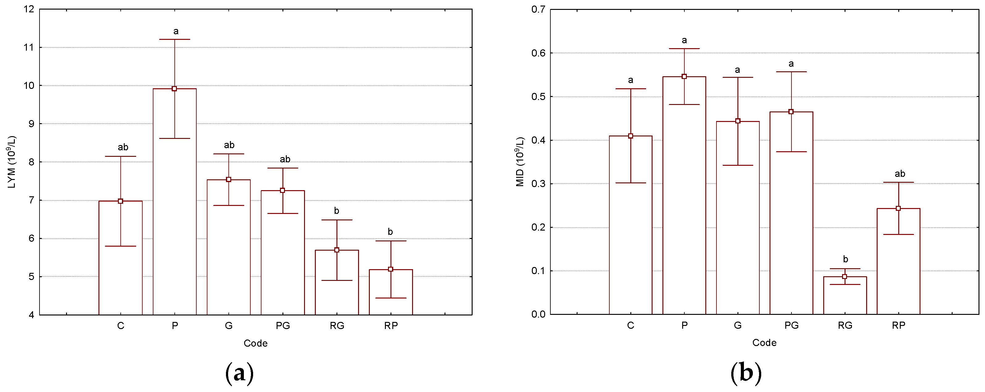
3.1. Hematological Parameters
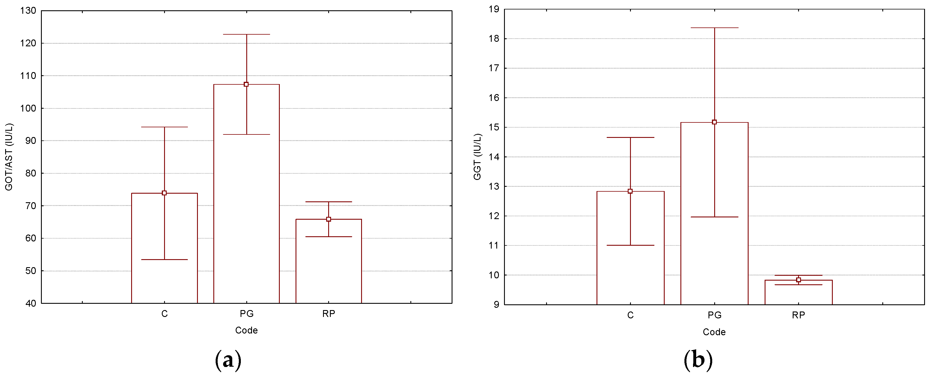
3.2. Biochemical Parameters
3.3. Principal Component Analysis of the Hematological and Biochemical Parameters
3.4. Molecular Modeling and Docking of Resveratrol and Cisplatin in γ-CD
4. Discussion
5. Conclusions
Supplementary Materials
Author Contributions
Funding
Institutional Review Board Statement
Informed Consent Statement
Data Availability Statement
Acknowledgments
Conflicts of Interest
References
- Hassanpour, S.H.; Dehghani, M. Review of cancer from perspective of molecular. J. Cancer Res. Pract. 2017, 4, 127–129. [Google Scholar] [CrossRef]
- WHO Collaborating Centre for Drug Statistics Methodology. ATC/DDD Index 2023; Norwegian Institute of Public Health: Oslo, Norway, 2023; Available online: https://www.whocc.no/atc_ddd_index (accessed on 3 August 2023).
- Gasser, G.; Ott, I.; Metzler-Nolte, N. Organometallic Anticancer Compounds. J. Med. Chem. 2011, 54, 3–25. [Google Scholar] [CrossRef] [PubMed]
- Scattolin, T.; Voloshkin, V.A.; Visentin, F.; Nolan, S.P. A critical review of palladium organometallic anticancer agents. Cell Rep. Phys. Sci. 2021, 2, 100446. [Google Scholar] [CrossRef]
- Zhang, P.; Sadler, P.J. Advances in the design of organometallic anticancer complexes. J. Organomet. Chem. 2017, 839, 5–14. [Google Scholar] [CrossRef]
- Pinzani, V.; Bressolle, F.; Haug, I.J.; Galtier, M.; Blayac, J.P.; Balmès, P. Cisplatin-induced renal toxicity and toxicity-modulating strategies: A review. Cancer Chemother. Pharmacol. 1994, 35, 1–9. [Google Scholar]
- Corbeau, A.; Kuipers, S.C.; de-Boer, S.M.; Horeweg, N.; Hoogeman, M.S.; Godart, J.; Nout, R.A. Correlations between bone marrow radiation dose and hematologic toxicity in locally advanced cervical cancer patients receiving chemoradiation with cisplatin: A systematic review. Radiother. Oncol. 2021, 164, 128–137. [Google Scholar] [CrossRef]
- De-Felice, F.; Belgioia, L.; Alterio, D.; Bonomo, P.; Maddalo, M.; Paiar, F.; Denaro, N.; Corvò, R.; Merlotti, A.; Bossi, P.; et al. Survival and toxicity of weekly cisplatin chemoradiotherapy versus three-weekly cisplatin chemoradiotherapy for head and neck cancer: A systematic review and meta-analysis endorsed by the Italian Association of Radiotherapy and Clinical Oncology (AIRO). Crit. Rev. Oncol./Hematol. 2021, 162, 103345. [Google Scholar] [CrossRef]
- Leite, E.A.; Giuberti, C.d.S.; Wainstein, A.J.A.; Wainstein, A.P.D.L.; Coelho, L.G.V.; Lana, Â.M.Q.; Savassi-Rocha, P.R.; De-Oliveira, M.C. Acute toxicity of long-circulating and pH-sensitive liposomes containing cisplatin in mice after intraperitoneal administration. Life Sci. 2009, 84, 641–649. [Google Scholar] [CrossRef]
- Shruthi, S.; Shenoy, K.B. Septilin: A versatile anticlastogenic, antigenotoxic, antioxidant and histoprotective herbo-mineral formulation on cisplatin-induced toxicity in mice. Mutat. Res.-Genet. Toxicol. Environ. Mutagen. 2022, 874–875, 503441. [Google Scholar] [CrossRef]
- Souza, L.F.; Pagno, C.H.; Medeiros, N.d.S.; Barbosa, S.; dos-Santos, P.C.P.; Rios, A.; Achaval, M.; de-Jong, E.V. The effect of the carotenoid bixin and annatto seeds on hematological markers and nephrotoxicity in rats subjected to chronic treatment with cisplatin. Rev. Bras. Farmacogn. 2016, 26, 446–450. [Google Scholar] [CrossRef]
- Jia, Y.; Zhou, D.; Jia, Q.; Ying, Y.; Chen, S. Synergistic and attenuated effect of HSS in combination treatment with docetaxel plus cisplatin in human non-small-cell lung SPC-A-1 tumor xenograft. Biomed. Pharmacother. 2016, 79, 27–34. [Google Scholar] [CrossRef]
- Weijl, N.I.; Elsendoorn, T.J.; Lentjes, E.G.W.M.; Hopman, G.D.; Wipkink-Bakker, A.; Zwinderman, A.H.; Cleton, F.J.; Osanto, S. Supplementation with antioxidant micronutrients and chemotherapy-induced toxicity in cancer patients treated with cisplatin-based chemotherapy: A randomised, double-blind, placebo-controlled study. Eur. J. Cancer 2004, 40, 1713–1723. [Google Scholar] [CrossRef] [PubMed]
- Gidwani, B.; Vyas, A. A Comprehensive Review on Cyclodextrin-Based Carriers for Delivery of Chemotherapeutic Cytotoxic Anticancer Drugs. BioMed Res. Int. 2015, 2015, 198268. [Google Scholar] [CrossRef] [PubMed]
- Adeli, M.; Hakimpoor, F.; Parsamanesh, M.; Kalantari, M.; Sobhani, Z.; Attyabi, F. Quantum dot-pseudopolyrotaxane supramolecules as anticancer drug delivery systems. Polymer 2011, 52, 2401–2413. [Google Scholar] [CrossRef]
- Tian, B.; Hua, S.; Liu, J. Cyclodextrin-based delivery systems for chemotherapeutic anticancer drugs: A review. Carbohydr. Polym. 2020, 2020, 115805. [Google Scholar] [CrossRef]
- Tian, B.; Liu, Y.; Liu, J. Chitosan-based nanoscale and non-nanoscale delivery systems for anticancer drugs: A review. Eur. Polym. J. 2021, 154, 110533. [Google Scholar] [CrossRef]
- Altoom, N.; Ibrahim, S.M.; Othman, S.I.; Allam, A.A.; Alqhtani, H.A.; Al-Otaibi, F.S.; Abukhadra, M.R. Characterization of β-cyclodextrin/phillipsite (β-CD/Ph) composite as a potential carrier for oxaliplatin as therapy for colorectal cancer; loading, release, and cytotoxicity. Colloids Surf. A Physicochem. Eng. Asp. 2022, 648, 129144. [Google Scholar] [CrossRef]
- Upadhyay, A.K.; Singh, S.; Chhipa, R.R.; Vijayakumar, M.V.; Ajay, A.K.; Bhat, M.K. Methyl-β-cyclodextrin enhances the susceptibility of human breast cancer cells to carboplatin and 5-fluorouracil: Involvement of Akt, NF-κB and Bcl-2. Toxicol. Appl. Pharmacol. 2006, 216, 177–185. [Google Scholar] [CrossRef]
- Utsuki, T.; Brem, H.; Pitha, J.; Loftsson, T.; Kristmundsdottir, T.; Tyler, B.M.; Olivi, A. Potentiation of anticancer effects of microencapsulated carboplatin by hydroxypropyl α-cyclodextrin. J. Control. Release 1996, 40, 251–260. [Google Scholar] [CrossRef]
- Zhang, D.; Zhang, J.; Jiang, K.; Li, K.; Cong, Y.; Pu, S.; Jin, Y.; Lin, J. Preparation, characterisation and antitumour activity of β-, γ- and HP-β-cyclodextrin inclusion complexes of oxaliplatin. Spectrochim. Acta Part A Mol. Biomol. Spectrosc. 2016, 152, 501–508. [Google Scholar] [CrossRef]
- Matencio, A.; Dhakar, N.K.; Bessone, F.; Musso, G.; Cavalli, R.; Dianzani, C.; García-Carmona, F.; López-Nicolás, J.M.; Trotta, F. Study of oxyresveratrol complexes with insoluble cyclodextrin based nanosponges: Developing a novel way to obtain their complexation constants and application in an anticancer study. Carbohydr. Polym. 2020, 231, 115763. [Google Scholar] [CrossRef]
- Soo, E.; Thakur, S.; Qu, Z.; Jambhrunkar, S.; Parekh, H.S.; Popat, A. Enhancing delivery and cytotoxicity of resveratrol through a dual nanoencapsulation approach. J. Colloid Interface Sci. 2016, 462, 368–374. [Google Scholar] [CrossRef] [PubMed]
- Venuti, V.; Cannavà, C.; Cristiano, M.C.; Fresta, M.; Majolino, D.; Paolino, D.; Stancanelli, R.; Tommasini, S.; Ventura, C.A. A characterization study of resveratrol/sulfobutylether-β-cyclodextrin inclusion complex and in vitro anticancer activity. Colloids Surf. B Biointerfaces 2014, 115, 22–28. [Google Scholar] [CrossRef] [PubMed]
- Balaji, A.; Pandey, V.P.; Srinath, M.S.; Manavalan, R. Cytotoxic evaluation of cisplatin, cisplatin/hydroxypropyl-β-cyclodextrin complexes and their nanoparticles drug delivery systems. Biomed. Pharmacol. J. 2008, 1, 341–348. [Google Scholar]
- Darini, A.; Eslaminejad, T.; Mahani, S.N.N.; Ansari, M. Magnetogel Nanospheres Composed of Cisplatin-Loaded Alginate/β-Cyclodextrin as Controlled Release Drug Delivery. Adv. Pharm. Bull. 2019, 9, 571–577. [Google Scholar] [CrossRef]
- Du, X.-F.; Li, Y.; Long, J.; Zhang, W.; Wang, D.; Li, C.-R.; Zhao, M.-X.; Lai, Y. Fabrication of cisplatin-loaded polydopamine nanoparticles via supramolecular self-assembly for photoacoustic imaging guided chemo-photothermal cancer therapy. Appl. Mater. Today 2021, 23, 101019. [Google Scholar] [CrossRef]
- Panyosak, A. The Behavior of Nanovesicles of Physicochemical Profiles: Compose of β-Cyclodextrin and Cisplatin for Anti-Tumor Activity and Decrease Toxicity Affected Normal Surrounding Tumor Tissues. Trends Sci. 2023, 20, 4293. [Google Scholar] [CrossRef]
- Shi, Y.; Goodisman, J.; Dabrowiak, J.C. Cyclodextrin Capped Gold Nanoparticles as a Delivery Vehicle for a Prodrug of Cisplatin. Inorg. Chem. 2013, 52, 9418–9426. [Google Scholar] [CrossRef]
- Yoon, S.J.; Moon, Y.J.; Chun, H.J.; Yang, D.H. Doxorubicin·Hydrochloride/Cisplatin-Loaded Hydrogel/Nanosized (2-Hydroxypropyl)-Beta-Cyclodextrin Local Drug-Delivery System for Osteosarcoma Treatment In Vivo. Nanomaterials 2019, 9, 1652. [Google Scholar] [CrossRef]
- Zhu, W.; Li, Y.; Liu, L.; Chen, Y.; Xi, F. Supramolecular hydrogels as a universal scaffold for stepwise delivering Dox and Dox/cisplatin loaded block copolymer micelles. Int. J. Pharm. 2012, 437, 11–19. [Google Scholar] [CrossRef]
- Hădărugă, D.I.; Hădărugă, N.G.; Bandur, G.N.; Isengard, H.-D. Water content of flavonoid/cyclodextrin nanoparticles: Relationship with the structural descriptors of biologically active compounds. Food Chem. 2012, 132, 1651–1659. [Google Scholar] [CrossRef]
- Hădărugă, N.G.; Hădărugă, D.I. Stilbenes and Its Derivatives and Glycosides. In Handbook of Food Bioactive Ingredients: Properties and Applications; Jafari, S.M., Rashidinejad, A., Simal-Gandara, J., Eds.; Springer Nature Switzerland AG: Cham, Swizterland, 2023; pp. 1–63. [Google Scholar] [CrossRef]
- Hădărugă, N.G.; Popescu, G.; Gligor-(Pane), D.; Mitroi, C.L.; Stanciu, S.M.; Hădărugă, D.I. Discrimination of β-cyclodextrin/hazelnut (Corylus avellana L.) oil/flavonoid glycoside and flavonolignan ternary complexes by Fourier-transform infrared spectroscopy coupled with principal component analysis. Beilstein J. Org. Chem. 2023, 19, 380–398. [Google Scholar] [CrossRef] [PubMed]
- Riviş, A.; Hădărugă, N.G.; Gârban, Z.; Hădărugă, D.I. Titanocene/cyclodextrin supramolecular systems: A theoretical approach. Chem. Cent. J. 2012, 6, 129. [Google Scholar] [CrossRef]
- Halsey, L.G.; Curran-Everett, D.; Vowler, S.L.; Drummond, G.B. The fickle P value generates irreproducible results. Nat. Methods 2015, 12, 179–185. [Google Scholar] [CrossRef] [PubMed]
- Hofmann, M.; Meyer-Nieberg, S. Time to dispense with the p-value in OR? Rationale and implications of the statement of the American Statistical Association (ASA) on p-values. Cent. Eur. J. Oper. Res. 2018, 26, 193–214. [Google Scholar] [CrossRef]
- Goodman, S. A Dirty Dozen: Twelve P-Value Misconceptions. Semin. Hematol. 2008, 45, 135–140. [Google Scholar] [CrossRef]
- Tukey, J.W. Exploratory Data Analysis; Addison-Wesley Publ. Co.: Reading, MA, USA, 1977. [Google Scholar]
- McBride, G.; Cole, R.G.; Westbrooke, I.; Jowett, I. Assessing environmentally significant effects: A better strength-of-evidence than a single P value? Environ. Monit. Assess. 2014, 186, 2729–2740. [Google Scholar] [CrossRef]
- Abdi, H.; Williams, L.J. Tukey’s Honestly Significant Difference (HSD) Test. In Encyclopedia of Research Design; Salkind, N., Ed.; Sage: Thousand Oaks, CA, USA, 2010; pp. 1–5. [Google Scholar]
- Nanda, A.; Mohapatra, B.B.; Mahapatra, A.P.K.; Mahapatra, A.P.K.; Mahapatra, A.P.K. Multiple comparison test by Tukey’s honestly significant difference (HSD): Do the confident level control type I error. Int. J. Stat. Appl. Math. 2021, 6, 59–65. [Google Scholar] [CrossRef]
- Obinna, V.C.; Agu, G.O. Haematological and Biochemical Profile of Wistar Rats Exposed to Chloroform Stem Extract of Portulaca oleracea Linn. (Purslane). Annu. Res. Rev. Biol. 2021, 36, 69076. [Google Scholar] [CrossRef]
- Femi-Oloye, O.P.; Owoloye, A.; Olatunji-Ojo, A.M.; Abiodun, A.C.; Adewumi, B.; Ibitoye, B.O.; Oloye, F.F.; Izegaegbe, J.I.; Adebayo, T.M.; Adedoja, A.J.; et al. Effects of commonly used food additives on haematological parameters of Wistar rats. Heliyon 2020, 6, e05221. [Google Scholar] [CrossRef]
- Matsuzawa, T.; Hayashi, Y.; Nomura, M.; Unno, T.; Igarashi, T.; Furuya, T.; Sekita, K.; Ono, A.; Kurokawa, Y.; Hayashi, Y. A survey of the values of clinical chemistry parameters obtained for a common rat blood sample in ninety-eight Japanese laboratories. J. Toxicol. Sci. 1997, 22, 25–45. [Google Scholar] [CrossRef] [PubMed][Green Version]
- Normal Clinical Chemistry and Hematology Reference Values—Pathology Services, University Animal Care, Quality Care for Research Animals, the University of Arizona. Available online: https://uac.arizona.edu (accessed on 3 August 2023).
- Baltă, C.; Hădărugă, N.G.; Plesa-(Mitar), C.M.; Ghibu, D.; Gârban, G.; Gârban, Z.; Hădărugă, D.I. Hematological properties of cisplatin and its Ficaria verna Huds. extracts/β-cyclodextrin complexes in rats. J. Agroaliment. Process. Technol. 2012, 18, 358–361. [Google Scholar]
- Gür, F.M.; Bilgiç, S. Silymarin, an antioxidant flavonoid, protects the liver from the toxicity of the anticancer drug paclitaxel. Tissue Cell 2023, 83, 102158. [Google Scholar] [CrossRef] [PubMed]
- Hădărugă, N.G.; Chirilă, C.A.; Szakal, R.N.; Gălan, I.M.; Simandi, M.D.; Bujancă, G.S.; David, I.; Riviş, A.; Stanciu, S.M.; Hădărugă, D.I. FTIR–PCA approach on raw and thermally processed chicken lipids stabilized by nano-encapsulation in β-cyclodextrin. Foods 2022, 11, 3632. [Google Scholar] [CrossRef]
- Hădărugă, D.I.; Hădărugă, N.G.; Costescu, C.I.; David, I.; Gruia, A.T. Thermal and oxidative stability of the Ocimum basilicum L. essential oil/β-cyclodextrin supramolecular system. Beilstein J. Org. Chem. 2014, 10, 2809–2820. [Google Scholar] [CrossRef]
- Medeleanu, M.A.; Hădărugă, D.I.; Muntean, C.V.; Popescu, G.; Rada, M.; Hegheş, A.; Zippenfening, S.E.; Lucan-(Banciu), C.A.; Velciov, A.B.; Bandur, G.N.; et al. Structure-property relationships on recrystallized β-cyclodextrin solvates: A focus on X-ray diffractometry, FTIR and thermal analyses. Carbohydr. Polym. 2021, 265, 118079. [Google Scholar] [CrossRef]





| Code | Male/Female Ratio | Weight (g) | Solution Volume (mL) |
|---|---|---|---|
| “C” | 4/2 | 254.8 ± 23.9 | 2.55 ± 0.24 |
| “P” | 2/4 | 266.8 ± 37.3 | 2.67 ± 0.37 |
| “G” | 2/4 | 240.3 ± 31.9 | 2.40 ± 0.32 |
| “PG” | 2/4 | 246.3 ± 61.3 | 2.46 ± 0.61 |
| “RG” | 2/4 | 254.0 ± 23.0 | 2.54 ± 0.23 |
| “RP” | 2/4 | 235.3 ± 45.1 | 2.35 ± 0.45 |
| Code | Energy of the Guest Molecules (kcal/mol) | Energy of the Complex (kcal/mol) | Host–Guest Interaction Energy (kcal/mol) |
|---|---|---|---|
| “PG” | 1.84 | 82.63 | 10.50 |
| “RG” | −4.44 | 68.92 | 17.93 |
| “RP” | −2.6 | 62.21 | 26.48 |
Disclaimer/Publisher’s Note: The statements, opinions and data contained in all publications are solely those of the individual author(s) and contributor(s) and not of MDPI and/or the editor(s). MDPI and/or the editor(s) disclaim responsibility for any injury to people or property resulting from any ideas, methods, instructions or products referred to in the content. |
© 2023 by the authors. Licensee MDPI, Basel, Switzerland. This article is an open access article distributed under the terms and conditions of the Creative Commons Attribution (CC BY) license (https://creativecommons.org/licenses/by/4.0/).
Share and Cite
Hădărugă, N.-G.; Gârban, Z.; Baltă, C.; Muselin, F.; Hădărugă, D.-I.; Riviş, M. Beneficial Effects of Resveratrol and γ-Cyclodextrin on the Hematological and Biochemical Parameters of Healthy Wistar Rats Treated with Cisplatin: A PCA Approach. Biomedicines 2023, 11, 2726. https://doi.org/10.3390/biomedicines11102726
Hădărugă N-G, Gârban Z, Baltă C, Muselin F, Hădărugă D-I, Riviş M. Beneficial Effects of Resveratrol and γ-Cyclodextrin on the Hematological and Biochemical Parameters of Healthy Wistar Rats Treated with Cisplatin: A PCA Approach. Biomedicines. 2023; 11(10):2726. https://doi.org/10.3390/biomedicines11102726
Chicago/Turabian StyleHădărugă, Nicoleta-Gabriela, Zeno Gârban, Cornel Baltă, Florin Muselin, Daniel-Ioan Hădărugă, and Mircea Riviş. 2023. "Beneficial Effects of Resveratrol and γ-Cyclodextrin on the Hematological and Biochemical Parameters of Healthy Wistar Rats Treated with Cisplatin: A PCA Approach" Biomedicines 11, no. 10: 2726. https://doi.org/10.3390/biomedicines11102726
APA StyleHădărugă, N.-G., Gârban, Z., Baltă, C., Muselin, F., Hădărugă, D.-I., & Riviş, M. (2023). Beneficial Effects of Resveratrol and γ-Cyclodextrin on the Hematological and Biochemical Parameters of Healthy Wistar Rats Treated with Cisplatin: A PCA Approach. Biomedicines, 11(10), 2726. https://doi.org/10.3390/biomedicines11102726

