High Prevalence of Primary Aldosteronism in Patients with Type 2 Diabetes Mellitus and Hypertension
Abstract
1. Introduction
2. Materials and Methods
2.1. Hormone Assays
2.2. Statistical Analyses
3. Results
3.1. Patient Characteristics
3.2. Normal Cutoffs for DCVT
3.3. PA Prevalence
3.4. Hyper-Response to ACTH Stimulation
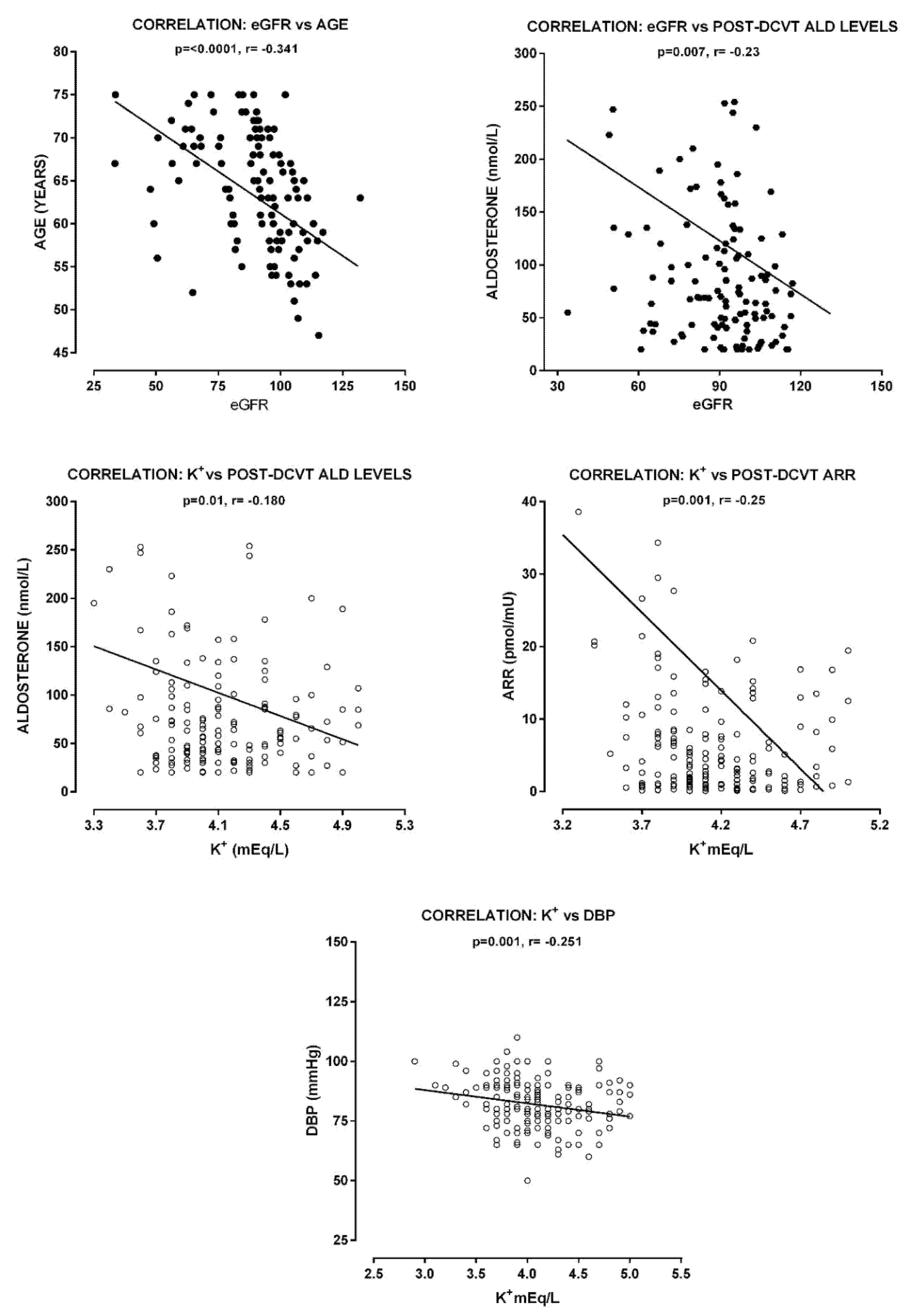
3.5. Correlations
3.6. Treatment
4. Discussion
5. Conclusions
Author Contributions
Funding
Institutional Review Board Statement
Informed Consent Statement
Data Availability Statement
Conflicts of Interest
References
- Sowers, J.R. Diabetes mellitus and vascular disease. Hypertension 2013, 61, 943–947. [Google Scholar] [CrossRef]
- Ferrannini, E.; Cushman, W.C. Diabetes and hypertension: The bad companions. Lancet 2012, 380, 601–610. [Google Scholar] [CrossRef]
- Adler, A.I.; Stratton, I.M.; Neil, H.A.W.; Yudkin, J.S.; Matthews, D.R.; Cull, C.A.; Wright, A.D.; Turner, R.C.; Holman, R.R. Association of systolic blood pressure with macrovascular and microvascular complications of type 2 diabetes (UKPDS 36): Prospective observational study. BMJ 2000, 321, 412–419. [Google Scholar] [CrossRef]
- Joseph, J.J.; Tcheugui, J.B.E.; Effoe, V.S.; Hsueh, W.A.; Allison, M.A.; Golden, S.H. Renin-Angiotensin-Aldosterone System, Glucose Metabolism and Incident Type 2 Diabetes Mellitus: MESA. J. Am. Heart Assoc. 2018, 7, e009890. [Google Scholar] [CrossRef]
- Fischer, E.; Adolf, C.; Pallauf, A.; Then, C.; Bidlingmaier, M.; Beuschlein, F.; Seissler, J.; Reincke, M. Aldosterone Excess Impairs First Phase Insulin Secretion in Primary Aldosteronism. J. Clin. Endocrinol. Metab. 2013, 98, 2513–2520. [Google Scholar] [CrossRef] [PubMed]
- Freel, E.M.; Connell, J.M. Mechanisms of Hypertension: The Expanding Role of Aldosterone. J. Am. Soc. Nephrol. 2004, 15, 1993–2001. [Google Scholar] [CrossRef] [PubMed]
- Fuller, P.J.; Young, M.J. Mechanisms of Mineralocorticoid Action. Hypertension 2005, 46, 1227–1235. [Google Scholar] [CrossRef] [PubMed]
- Monticone, S.; D’Ascenzo, F.; Moretti, C.; Williams, T.A.; Veglio, F.; Gaita, F.; Mulatero, P. Cardiovascular events and target organ damage in primary aldosteronism compared with essential hypertension: A systematic review and meta-analysis. Lancet Diabetes Endocrinol. 2018, 6, 41–50. [Google Scholar] [CrossRef]
- Destefano, F.; Ford, E.S.; Newman, J.; Stevenson, J.M.; Wetterhall, S.F.; Anda, R.F.; Vinicor, F. Risk factors for coronary heart disease mortality among persons with diabetes. Ann. Epidemiol. 1993, 3, 27–34. [Google Scholar] [CrossRef]
- Rossi, G.P.; Bernini, G.; Caliumi, C.; Desideri, G.; Fabris, B.; Ferri, C.; Ganzaroli, C.; Giacchetti, G.; Letizia, C.; Maccario, M.; et al. A Prospective Study of the Prevalence of Primary Aldosteronism in 1,125 Hypertensive Patients. J. Am. Coll. Cardiol. 2006, 48, 2293–2300. [Google Scholar] [CrossRef]
- Douma, S.; Petidis, K.; Doumas, M.; Papaefthimiou, P.; Triantafyllou, A.; Kartali, N.; Papadopoulos, N.; Vogiatzis, K.; Zamboulis, C. Prevalence of primary hyperaldosteronism in resistant hypertension: A retrospective observational study. Lancet 2008, 371, 1921–1926. [Google Scholar] [CrossRef]
- Gouli, A.; Kaltsas, G.; Tzonou, A.; Markou, A.; Androulakis, I.I.; Ragkou, D.; Vamvakidis, K.; Zografos, G.; Kontogeorgos, G.; Chrousos, G.P.; et al. High prevalence of autonomous aldosterone secretion among patients with essential hypertension. Eur. J. Clin. Investig. 2011, 41, 1227–1236. [Google Scholar] [CrossRef]
- Voulgaris, N.; Tyfoxylou, E.; Vlachou, S.; Kyriazi, E.; Gravvanis, C.; Kapsali, C.; Markou, A.; Papanastasiou, L.; Gryparis, A.; Kassi, E.; et al. Prevalence of Primary Aldosteronism Across the Stages of Hypertension Based on a New Combined Overnight Test. Horm. Metab. Res. 2021, 53, 461–469. [Google Scholar] [CrossRef] [PubMed]
- Brown, J.M.; Siddiqui, M.; Calhoun, D.A.; Carey, R.M.; Hopkins, P.N.; Williams, G.H.; Vaidya, A. The Unrecognized Prevalence of Primary Aldosteronism. A Cross-sectional Study. Ann. Intern. Med. 2020, 173, 10–20. [Google Scholar] [CrossRef] [PubMed]
- Markou, A.; Sertedaki, A.; Kaltsas, G.; Androulakis, I.I.; Marakaki, C.; Pappa, T.; Gouli, A.; Papanastasiou, L.; Fountoulakis, S.; Zacharoulis, A.; et al. Stress-induced Aldosterone Hyper-Secretion in a Substantial Subset of Patients with Essential Hypertension. J. Clin. Endocrinol. Metab. 2015, 100, 2857–2864. [Google Scholar] [CrossRef]
- Tsiavos, V.; Markou, A.; Papanastasiou, L.; Kounadi, T.; Androulakis, I.; Voulgaris, N.; Zachaki, A.; Kassi, E.; Kaltsas, G.; Chrousos, G.P.; et al. A new highly sensitive and specific overnight combined screening and diagnostic test for primary aldosteronism. Eur. J. Endocrinol. 2016, 175, 21–28. [Google Scholar] [CrossRef]
- Markou, A.; Kaltsas, G.A.; Papanastasiou, L.; Gravvanis, C.; Voulgaris, N.; Kanti, G.; Zografos, G.N.; Chrousos, G.; Piaditis, G. Enhanced performance of a modified diagnostic test of primary aldosteronism in patients with adrenal adenomas. Eur. J. Endocrinol. 2022, 186, 265–273. [Google Scholar] [CrossRef]
- Jefic, D.; Mohiuddin, N.; Alsabbagh, R.; Fadanelli, M.; Steigerwalt, S. The Prevalence of Primary Aldosteronism in Diabetic Patients. J. Clin. Hypertens. 2006, 8, 253–256. [Google Scholar] [CrossRef]
- Umpierrez, G.E.; Cantey, P.; Smiley, D.; Palacio, A.; Temponi, D.; Luster, K.; Chapman, A. Primary Aldosteronism in Diabetic Subjects with Resistant Hypertension. Diabetes Care 2007, 30, 1699–1703. [Google Scholar] [CrossRef]
- Mukherjee, J.J.; Khoo, C.M.; Thai, A.C.; Chionh, S.B.; Pin, L.; Lee, K.O. Type 2 diabetic patients with resistant hypertension should be screened for primary aldosteronism. Diabetes Vasc. Dis. Res. 2010, 7, 6–13. [Google Scholar] [CrossRef]
- Li, N.; Wang, M.; Wang, H.; Zhang, D.; Wang, X.; Zu, F.; Chang, G.; Zhou, K. Prevalence of Primary Aldosteronism in Hypertensive Subjects with Hyperglycemia. Clin. Exp. Hypertens. 2013, 35, 175–182. [Google Scholar] [CrossRef] [PubMed]
- Tancredi, M.; Johannsson, G.; Eliasson, B.; Eggertsen, R.; Lindblad, U.; Dahlqvist, S.; Imberg, H.; Lind, M. Prevalence of primary aldosteronism among patients with type 2 diabetes. Clin. Endocrinol. 2017, 87, 233–241. [Google Scholar] [CrossRef] [PubMed]
- Hu, Y.; Zhang, J.; Liu, W.; Su, X. Determining the Prevalence of Primary Aldosteronismin Patients with New-onset Type 2 Diabetes and Hypertension. J. Clin. Endocrinol. Metab. 2020, 105, 1079–1085. [Google Scholar] [CrossRef]
- Memon, S.S.; Lila, A.; Barnabas, R.; Goroshi, M.; Sarathi, V.; Shivane, V.; Patil, V.; Shah, N.; Bandgar, T. Prevalence of primary aldosteronism in type 2 diabetes mellitus and hypertension: A prospective study from Western India. Clin. Endocrinol. 2022, 96, 539–548. [Google Scholar] [CrossRef] [PubMed]
- Papanastasiou, L.; Markou, A.; Pappa, T.; Gouli, A.; Tsounas, P.; Fountoulakis, S.; Kounadi, T.; Tsiama, V.; Dasou, A.; Gryparis, A.; et al. Primary aldosteronism in hypertensive patients: Clinical implications and target therapy. Eur. J. Clin. Investig. 2014, 44, 697–706. [Google Scholar] [CrossRef] [PubMed]
- Kabakov, E.; Norymberg, C.; Osher, E.; Koffler, M.; Tordjman, K.; Greenman, Y.; Stern, N. Prevalence of Hypertension in Type 2 Diabetes Mellitus: Impact of the Tightening Definition of High Blood Pressure and Association with Confounding Risk Factors. J. Cardiometabolic Syndr. 2006, 1, 95–101. [Google Scholar] [CrossRef]
- Keenan, N.L.; Rosendorf, K.A. Prevalence of hypertension and controlled hypertension–United States. 2005–2008. MMWR Surveill Summ. 2011, 60, 94–97. [Google Scholar]
- Rydén, L.; Grant, P.J.; Anker, S.D.; Berne, C.; Cosentino, F.; Danchin, N.; Deaton, C.; Escaned, J.; Hammes, H.-P.; Huikuri, H.; et al. ESC Guidelines on diabetes, pre-diabetes, and cardiovascular diseases developed in collaboration with the EASD. Eur. Heart J. 2013, 34, 3035–3087. [Google Scholar]
- Fox, C.S.; Golden, S.H.; Anderson, C.; Bray, G.A.; Burke, L.E.; de Boer, I.H.; Deedwania, P.; Eckel, R.H.; Ershow, A.G.; Fradkin, J.; et al. Update on Prevention of Cardiovascular Disease in Adults with Type 2 Diabetes Mellitus in Light of Recent Evidence: A Scientific Statement From the American Heart Association and the American Diabetes Association. Diabetes Care 2015, 38, 1777–1803. [Google Scholar] [CrossRef]
- Mancia, G.; Schumacher, H.; Redon, J.; Verdecchia, P.; Schmieder, R.; Jennings, G.; Yusoff, K.; Ryden, L.; Liu, G.L.; Teo, K.; et al. Blood Pressure Targets Recommended by Guidelines and Incidence of Cardiovascular and Renal Events in the Ongoing Telmisartan Alone and in Combination with Ramipril Global Endpoint Trial (ONTARGET). Circulation 2011, 124, 1727–1736. [Google Scholar] [CrossRef]
- DuPont, J.J.; Jaffe, I.Z. 30 years of the mineralocorticoid receptor: The role of the mineralocorticoid receptor in the vasculature. J. Endocrinol. 2017, 234, T67–T82. [Google Scholar] [CrossRef] [PubMed]
- Espinel, E.; Agraz, I.; Ibernon, M.; Ramos, N.; Fort, J.; Serón, D. Renal Biopsy in Type 2 Diabetic Patients. J. Clin. Med. 2015, 4, 998–1009. [Google Scholar] [CrossRef] [PubMed]
- Bakris, G.L.; Agarwal, R.; Anker, S.D.; Pitt, B.; Ruilope, L.M.; Rossing, P.; Kolkhof, P.; Nowack, C.; Schloemer, P.; Joseph, A.; et al. Effect of Finerenone on Chronic Kidney Disease Outcomes in Type 2 Diabetes. N. Engl. J. Med. 2020, 383, 2219–2229. [Google Scholar] [CrossRef] [PubMed]




| Parameter | HDM-2 (Mean ± SD) | EH-C (Mean ± SD) | NC (Mean ± SD) | p1 HDM-2 vs. EH-C | p2 HDM-2 vs. NC | p3 EH-C vs. NC |
|---|---|---|---|---|---|---|
| N | 137 | 61 | 23 | |||
| Age (years) | 63.01 ± 8.45 | 61.61 ± 7.74 | 61.70 ± 7.20 | NS | NS | NS |
| SBP (mmHg) | 142.10 ± 11.52 | 136.10 ± 21.58 | 116.40 ± 8.00 | NS | 0.0001 ** | 0.0001 ** |
| DBP (mmHg) | 82.76 ± 10.82 | 80.90 ± 11.48 | 76.50 ± 5.50 | NS | 0.0001 ** | 0.0001 ** |
| BMI (kg/m2) | 32.22 ± 5.80 | 29.25 ± 4.46 | 28.90 ± 6.50 | 0.001 * | 0.01 * | NS |
| HBA1c (%) | 6.54 ± 0.77 | 5.58 ± 0.48 | 5.60 ± 0.40 | 0.0001 ** | 0.0001 ** | NS |
| BG (mmol/L) | 6.75 ± 1.84 | 4.95 ± 0.62 | 5.03 ± 0.42 | 0.0001 ** | 0.0001 ** | NS |
| Na+ (mEq/L) | 139.40 ± 1.94 | 139.70 ± 1.60 | 141.10 ± 2.60 | NS | 0.01 | NS |
| K+ (mEq/L) | 4.08 ± 0.42 | 4.05 ± 0.30 | 4.20 ± 0.30 | NS | NS | NS |
| UrNa+ (mEq/24 h) | 146.20 ± 62.30 | 139.3 ± 56.73 | 121.00 ± 26.00 | NS | NS | NS |
| UrK+ (mEq/24 h) | 65.55 ± 22.90 | 56.08 ± 20.25 | 49.00 ± 17.30 | 0.01 * | 0.001 * | NS |
| UrK+/Na+ | 0.50 ± 0.20 | 0.42 ± 0.14 | 0.40 ± 1.20 | 0.02 * | 0.01 * | NS |
| Hormonal Values | EH-C (Mean ± SD) | HDM-2 (Mean ± SD) | p |
|---|---|---|---|
| N | 61 | 137 | |
| BASAL ALD (pmol/L) | 322.50 ± 464.20 | 295.10 ± 196.10 | 0.1 |
| BASAL REN (mIU/L) | 16.47 ± 13.67 | 14.83 ± 13.18 | 0.1 |
| BASAL ARR (pmol/mIU) | 19.92 ± 14.67 | 38.72 ± 63.20 | 0.02 * |
| BASAL F (nmol/L) | 377.10 ± 141.10 | 370.60 ± 133.70 | 0.9 |
| BASAL ACTH (pmol/L) | 4.94 ± 3.44 | 4.49 ± 2.62 | 0.8 |
| Post-DCVTALD (pmol/L) | 43.21 ± 19.33 | 122.70 ± 130.70 | <0.0001 ** |
| Post-DCVT REN (mlU/L) | 58.80 ± 103.20 | 37.84 ± 59.89 | 0.5 |
| Post-DCVT ARR (pmol/mIU) | 3.40 ± 2.73 | 20.69 ± 52.55 | 0.001 * |
| Post-DCVT F (nmol/L) | 47.41 ± 0.44 | 56.60 ± 27.48 | 0.04 * |
| Post-DCVT ACTH (pmol/L) | 1.32 ± 1.98 | 1.39 ± 0.28 | 0.2 |
| Hormonal Values | EH Upper Normal Cutoffs | PA-DM-2 with >Upper Normal Cutoff | EH-DM-2 with <Upper Normal Cutoff | Sensitivity % | Specificity % | Prevalence % of PA in DM-2 Patients |
|---|---|---|---|---|---|---|
| BASAL ARR pmol/mU | 64 | 17/47 | 83/90 | 36.20 | 92.20 | 12.40 (17/137) |
| POST-DCVT ALD pmol/L | 87 | 47/47 | 76/90 | 100 | 84.50 | 34.30 (47/137) |
| POST-DCVT ARR pmol/mU | 9 | 47/47 | 80/90 | 100 | 88.90 | 34.30 (47/137) |
| POST-DCVT ALD pmol/L and ARR pmol/mU | 87/9 | 47/47 | 90/90 | 100 | 100 | 34.30 (47/137) |
| Before Treatment | After Treatment | ||
|---|---|---|---|
| Follow-Up Parameters | Mean ± SD | Mean ± SD | p |
| SBP (mmHg) | 144.6 ± 13.9 | 126.0 ± 8.7 | <0.0001 ** |
| DBP (mmHg) | 86.2 ± 9.4 | 79.7 ± 5.7 | <0.0001 ** |
| Serum K+(mEq/L) | 3.9 ± 0.4 | 4.4 ± 0.4 | <0.0001 ** |
| Renin (mIU/L) | 8.0 ± 5.9 | 18.4 ± 13.7 | <0.0001 ** |
| Aldosterone (pmol/L) | 335.0 ± 182.0 | 1142.0 ± 615.0 | <0.0001 ** |
| Follow-up (months): 11.0 ± 1.7, Min: 9, Max: 14 | |||
| Eplerenone (mg/day):112.0 ± 59.0, Min: 50 mg, Max: 250 mg | |||
Publisher’s Note: MDPI stays neutral with regard to jurisdictional claims in published maps and institutional affiliations. |
© 2022 by the authors. Licensee MDPI, Basel, Switzerland. This article is an open access article distributed under the terms and conditions of the Creative Commons Attribution (CC BY) license (https://creativecommons.org/licenses/by/4.0/).
Share and Cite
Tyfoxylou, E.; Voulgaris, N.; Gravvanis, C.; Vlachou, S.; Markou, A.; Papanastasiou, L.; Tentolouris, N.; Kassi, E.; Kaltsas, G.; Chrousos, G.P.; et al. High Prevalence of Primary Aldosteronism in Patients with Type 2 Diabetes Mellitus and Hypertension. Biomedicines 2022, 10, 2308. https://doi.org/10.3390/biomedicines10092308
Tyfoxylou E, Voulgaris N, Gravvanis C, Vlachou S, Markou A, Papanastasiou L, Tentolouris N, Kassi E, Kaltsas G, Chrousos GP, et al. High Prevalence of Primary Aldosteronism in Patients with Type 2 Diabetes Mellitus and Hypertension. Biomedicines. 2022; 10(9):2308. https://doi.org/10.3390/biomedicines10092308
Chicago/Turabian StyleTyfoxylou, Ernestini, Nick Voulgaris, Chris Gravvanis, Sophia Vlachou, Athina Markou, Labrini Papanastasiou, Nikolaos Tentolouris, Eva Kassi, Gregory Kaltsas, George P. Chrousos, and et al. 2022. "High Prevalence of Primary Aldosteronism in Patients with Type 2 Diabetes Mellitus and Hypertension" Biomedicines 10, no. 9: 2308. https://doi.org/10.3390/biomedicines10092308
APA StyleTyfoxylou, E., Voulgaris, N., Gravvanis, C., Vlachou, S., Markou, A., Papanastasiou, L., Tentolouris, N., Kassi, E., Kaltsas, G., Chrousos, G. P., & Piaditis, G. P. (2022). High Prevalence of Primary Aldosteronism in Patients with Type 2 Diabetes Mellitus and Hypertension. Biomedicines, 10(9), 2308. https://doi.org/10.3390/biomedicines10092308

