Polygenic Risk Score Improves Cataract Prediction in East Asian Population
Abstract
1. Introduction
2. Materials and Methods
2.1. Study Population and Genome-Wide Association Study
2.2. Polygenic Risk Score (PRS) Analyses
2.3. Cross-Validation
3. Results
3.1. Participant Characteristics in TWB 2.0 and TWB 1.0
3.2. Cataract Risk Loci
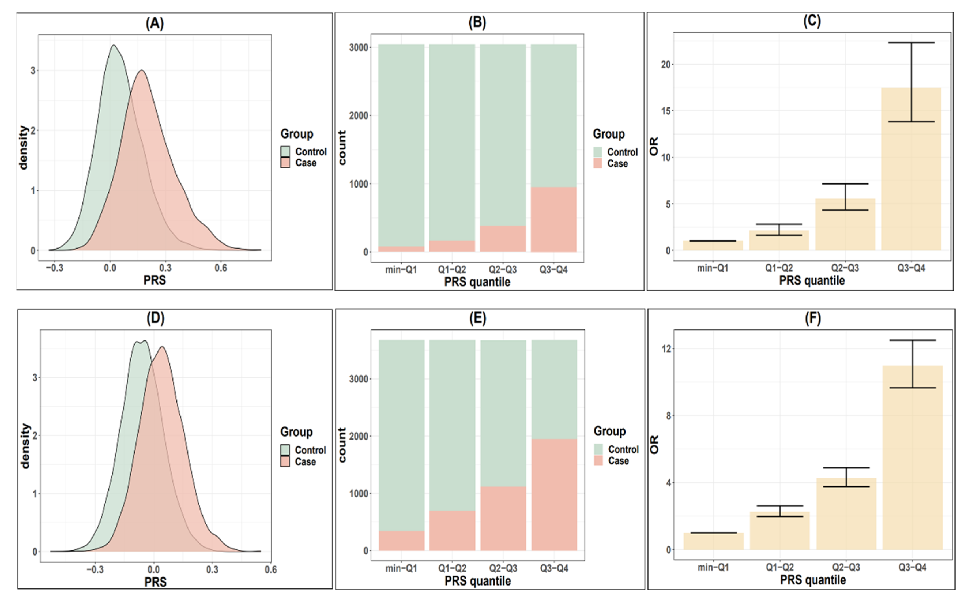
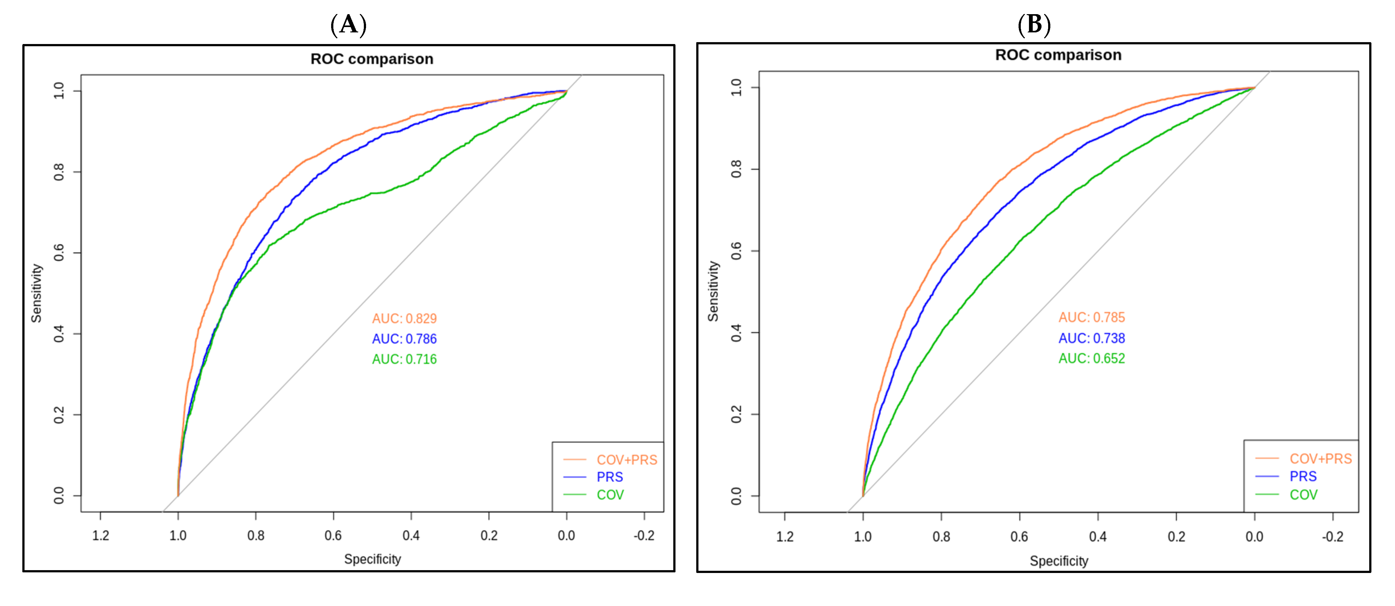
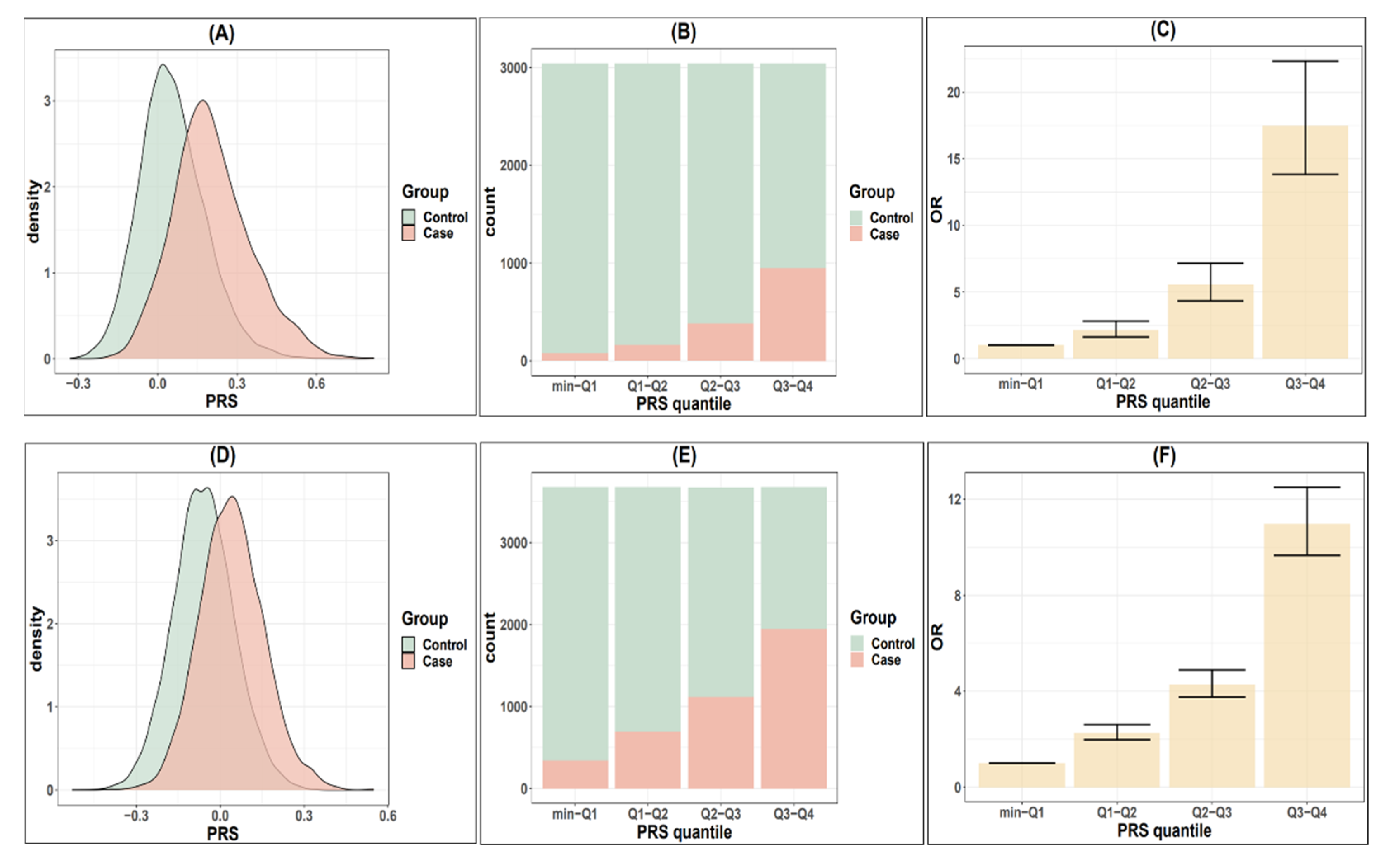
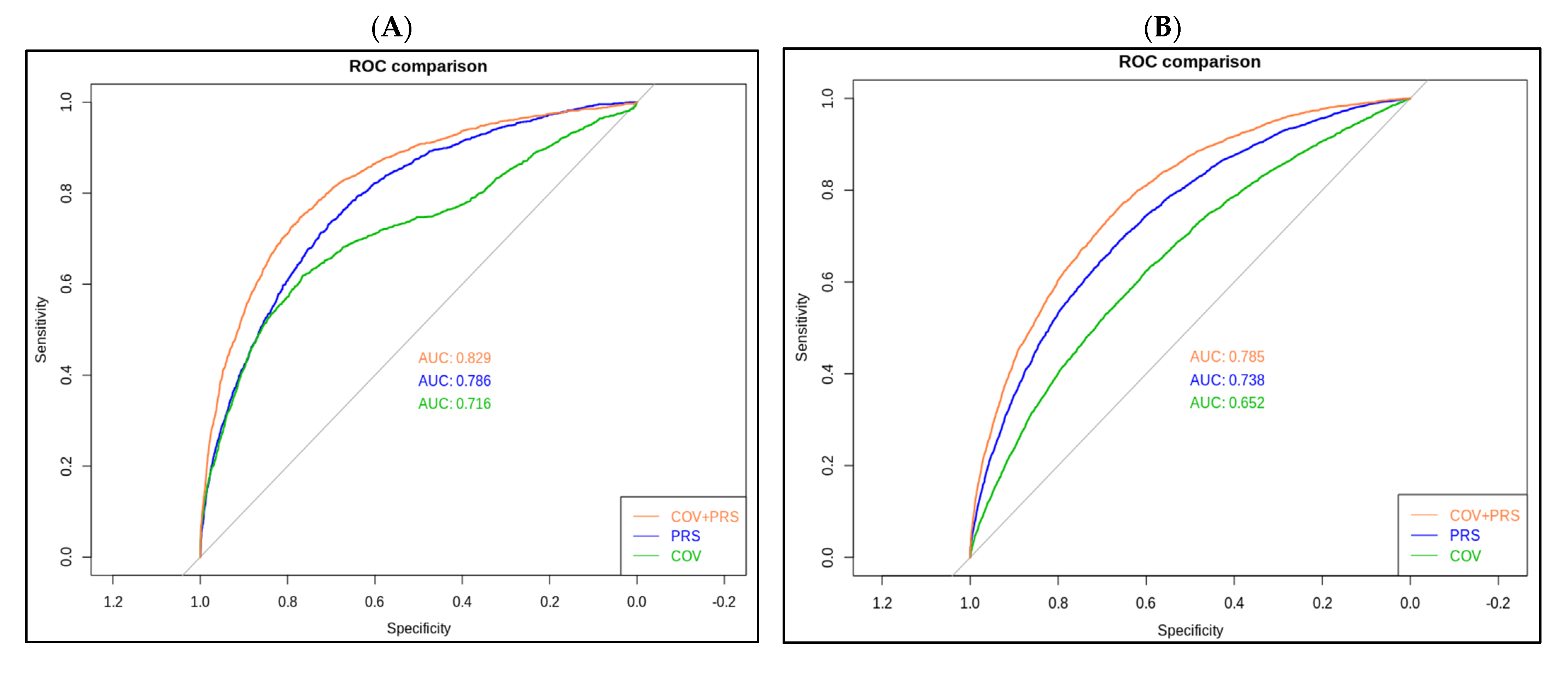
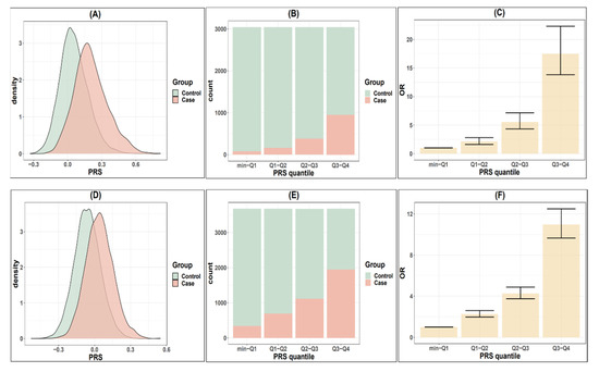
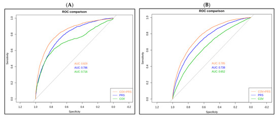
3.3. Polygenic Risk Score (PRS) and Cataract Risk Prediction
4. Discussion
Supplementary Materials
Author Contributions
Funding
Institutional Review Board Statement
Informed Consent Statement
Data Availability Statement
Conflicts of Interest
References
- Lee, C.M.; Afshari, N.A. The global state of cataract blindness. Curr. Opin. Ophthalmol. 2017, 28, 98–103. [Google Scholar] [CrossRef] [PubMed]
- Varma, S.; Devamanoharan, P.; Ali, A. Prevention of intracellular oxidative stress to lens by pyruvate and its ester. Free. Radic. Res. 1998, 28, 131–135. [Google Scholar] [CrossRef] [PubMed]
- Xu, J.; Fu, Q.; Chen, X.; Yao, K. Advances in pharmacotherapy of cataracts. Ann. Transl. Med. 2020, 8, 1552. [Google Scholar] [CrossRef]
- Lam, D.; Rao, S.K.; Ratra, V.; Liu, Y.; Mitchell, P.; King, J.; Tassignon, M.-J.; Jonas, J.; Pang, C.P.; Chang, D.F. Cataract. Nat. Rev. Dis. Primers 2015, 1, 1–15. [Google Scholar] [CrossRef]
- Group, E.E.S. Prophylaxis of postoperative endophthalmitis following cataract surgery: Results of the ESCRS multicenter study and identification of risk factors. J. Cataract. Refract. Surg. 2007, 33, 978–988. [Google Scholar]
- Hodge, W.G.; Whitcher, J.P.; Satariano, W. Risk factors for age-related cataracts. Epidemiol. Rev. 1995, 17, 336–346. [Google Scholar] [CrossRef] [PubMed]
- West, S.K.; Duncan, D.D.; Muñoz, B.; Rubin, G.S.; Fried, L.P.; Bandeen-Roche, K.; Schein, O.D. Sunlight exposure and risk of lens opacities in a population-based study: The Salisbury Eye Evaluation project. JAMA 1998, 280, 714–718. [Google Scholar] [CrossRef]
- Lindblad, B.E.; Håkansson, N.; Wolk, A. Smoking cessation and the risk of cataract: A prospective cohort study of cataract extraction among men. JAMA Ophthalmol. 2014, 132, 253–257. [Google Scholar] [CrossRef]
- Goralska, M.; Holley, B.L.; McGahan, M.C. Overexpression of H-and L-ferritin subunits in lens epithelial cells: Fe metabolism and cellular response to UVB irradiation. Investig. Ophthalmol. Vis. Sci. 2001, 42, 1721–1727. [Google Scholar]
- Skalka, H.W.; Prchal, J.T. Effect of corticosteroids on cataract formation. Arch. Ophthalmol. 1980, 98, 1773–1777. [Google Scholar] [CrossRef]
- Hammond, C.J.; Duncan, D.D.; Snieder, H.; de Lange, M.; West, S.K.; Spector, T.D.; Gilbert, C.E. The heritability of age-related cortical cataract: The twin eye study. Investig. Ophthalmol. Vis. Sci. 2001, 42, 601–605. [Google Scholar]
- Choquet, H.; Melles, R.B.; Anand, D.; Yin, J.; Cuellar-Partida, G.; Wang, W.; Hoffmann, T.J.; Nair, K.S.; Hysi, P.G.; Lachke, S.A. A large multiethnic GWAS meta-analysis of cataract identifies new risk loci and sex-specific effects. Nat. Commun. 2021, 12, 3595. [Google Scholar] [CrossRef]
- Liao, J.; Su, X.; Chen, P.; Wang, X.; Xu, L.; Li, X.; Thean, L.; Tan, C.; Tan, A.G.; Tay, W.-T. Meta-analysis of genome-wide association studies in multiethnic Asians identifies two loci for age-related nuclear cataract. Hum. Mol. Genet. 2014, 23, 6119–6128. [Google Scholar] [CrossRef] [PubMed]
- Wei, C.-Y.; Yang, J.-H.; Yeh, E.-C.; Tsai, M.-F.; Kao, H.-J.; Lo, C.-Z.; Chang, L.-P.; Lin, W.-J.; Hsieh, F.-J.; Belsare, S. Genetic profiles of 103,106 individuals in the Taiwan Biobank provide insights into the health and history of Han Chinese. NPJ Genom. Med. 2021, 6, 1–10. [Google Scholar] [CrossRef] [PubMed]
- Chen, C.-H.; Yang, J.-H.; Chiang, C.W.; Hsiung, C.-N.; Wu, P.-E.; Chang, L.-C.; Chu, H.-W.; Chang, J.; Song, I.-W.; Yang, S.-L. Population structure of Han Chinese in the modern Taiwanese population based on 10,000 participants in the Taiwan Biobank project. Hum. Mol. Genet. 2016, 25, 5321–5331. [Google Scholar] [CrossRef] [PubMed]
- Purcell, S.; Neale, B.; Todd-Brown, K.; Thomas, L.; Ferreira, M.A.; Bender, D.; Maller, J.; Sklar, P.; De Bakker, P.I.; Daly, M.J. PLINK: A tool set for whole-genome association and population-based linkage analyses. Am. J. Hum. Genet. 2007, 81, 559–575. [Google Scholar] [CrossRef]
- Collister, J.A.; Liu, X.; Clifton, L. Calculating Polygenic Risk Scores (PRS) in UK Biobank: A Practical Guide for Epidemiologists. Front. Genet. 2022, 13. [Google Scholar] [CrossRef]
- Hanley, J.A.; McNeil, B.J. The meaning and use of the area under a receiver operating characteristic (ROC) curve. Radiology 1982, 143, 29–36. [Google Scholar] [CrossRef]
- Watanabe, S.; Opper, M. Asymptotic equivalence of Bayes cross validation and widely applicable information criterion in singular learning theory. J. Mach. Learn. Res. 2010, 11, 3571–3594. [Google Scholar]
- Gkisser, S. Predictive Inference: An Introduction; Chapman and Hall/CRC: Boca Raton, FL, USA, 2017. [Google Scholar]
- Kohavi, R. A Study of Cross-Validation and Bootstrap for Accuracy Estimation and Model Selection; Ijcai: Montreal, QC, Canada, 1995; pp. 1137–1145. [Google Scholar]
- Ishigaki, K.; Akiyama, M.; Kanai, M.; Takahashi, A.; Kawakami, E.; Sugishita, H.; Sakaue, S.; Matoba, N.; Low, S.-K.; Okada, Y. Large-scale genome-wide association study in a Japanese population identifies novel susceptibility loci across different diseases. Nat. Genet. 2020, 52, 669–679. [Google Scholar] [CrossRef]
- Hou, R.; Cole, S.A.; Graff, M.; Haack, K.; Laston, S.; Comuzzie, A.G.; Mehta, N.R.; Ryan, K.; Cousminer, D.L.; Zemel, B.S. Genetic variants affecting bone mineral density and bone mineral content at multiple skeletal sites in Hispanic children. Bone 2020, 132, 115175. [Google Scholar] [CrossRef] [PubMed]
- McAllister, K.; Yarwood, A.; Bowes, J.; Orozco, G.; Viatte, S.; Diogo, D.; Hocking, L.J.; Steer, S.; Wordsworth, P.; Wilson, A. Brief Report: Identification of BACH2 and RAD51B as Rheumatoid Arthritis Susceptibility Loci in a Meta-Analysis of Genome-Wide Data. Arthritis Rheum. 2013, 65, 3058–3062. [Google Scholar] [CrossRef] [PubMed]
- Voruganti, V.S.; Laston, S.; Haack, K.; Mehta, N.R.; Cole, S.A.; Butte, N.F.; Comuzzie, A.G. Serum uric acid concentrations and SLC2A9 genetic variation in Hispanic children: The Viva La Familia Study. Am. J. Clin. Nutr. 2015, 101, 725–732. [Google Scholar] [CrossRef]
- Khairallah, M.; Kahloun, R.; Bourne, R.; Limburg, H.; Flaxman, S.R.; Jonas, J.B.; Keeffe, J.; Leasher, J.; Naidoo, K.; Pesudovs, K. Number of people blind or visually impaired by cataract worldwide and in world regions, 1990 to 2010. Investig. Ophthalmol. Vis. Sci. 2015, 56, 6762–6769. [Google Scholar] [CrossRef] [PubMed]
- Fu, C.; Xu, J.; Jia, Z.; Yao, K.; Chen, X. Cataract-causing mutations L45P and Y46D promote γC-crystallin aggregation by disturbing hydrogen bonds network in the second Greek key motif. Int. J. Biol. Macromol. 2021, 167, 470–478. [Google Scholar] [CrossRef]
- Li, J.; Chen, X.; Yan, Y.; Yao, K. Molecular genetics of congenital cataracts. Exp. Eye Res. 2020, 191, 107872. [Google Scholar] [CrossRef]
- Yang, J.; Liu, J.; Zhao, S.; Tian, F. N6-methyladenosine METTL3 modulates the proliferation and apoptosis of lens epithelial cells in diabetic cataract. Mol. Ther. Nucleic Acids 2020, 20, 111–116. [Google Scholar] [CrossRef]
- Liu, X.-C.; Guo, X.-H.; Chen, B.; Li, Z.-H.; Liu, X.-F. Association between the 8-oxoguanine DNA glycosylase gene Ser326Cys polymorphism and age-related cataract: A systematic review and meta-analysis. Int. Ophthalmol. 2018, 38, 1451–1457. [Google Scholar] [CrossRef]
- Gillespie, R.L.; Lloyd, I.C.; Black, G.C. The use of autozygosity mapping and next-generation sequencing in understanding anterior segment defects caused by an abnormal development of the lens. Hum. Hered. 2014, 77, 118–137. [Google Scholar] [CrossRef]
- Smith, J.E.; Traboulsi, E.I. Malformations of the anterior segment of the eye. Genet. Dis. Eye 2012, 2, 92–108. [Google Scholar]
- Huang, G.-Y.; Xie, L.-J.; Linask, K.L.; Zhang, C.; Zhao, X.-Q.; Yang, Y.; Zhou, G.-M.; Wu, Y.-J.; Marquez-Rosado, L.; McElhinney, D.B. Evaluating the role of connexin43 in congenital heart disease: Screening for mutations in patients with outflow tract anomalies and the analysis of knock-in mouse models. J. Cardiovasc. Dis. Res. 2011, 2, 206–212. [Google Scholar] [CrossRef] [PubMed]
- Xiao, S.; Shimura, D.; Baum, R.; Hernandez, D.M.; Agvanian, S.; Nagaoka, Y.; Katsumata, M.; Lampe, P.D.; Kleber, A.G.; Hong, T. Auxiliary trafficking subunit GJA1-20k protects connexin-43 from degradation and limits ventricular arrhythmias. J. Clin. Investig. 2020, 130, 4858–4870. [Google Scholar] [CrossRef] [PubMed]
- Fenwick, A.; Richardson, R.; Butterworth, J.; Barron, M.; Dixon, M. Novel mutations in GJA1 cause oculodentodigital syndrome. J. Dent. Res. 2008, 87, 1021–1026. [Google Scholar] [CrossRef] [PubMed]
- Hu, Y.; Chen, I.-P.; de Almeida, S.; Tiziani, V.; Do Amaral, C.M.R.; Gowrishankar, K.; Passos-Bueno, M.R.; Reichenberger, E.J. A novel autosomal recessive GJA1 missense mutation linked to Craniometaphyseal dysplasia. PLoS ONE 2013, 8, e73576. [Google Scholar] [CrossRef] [PubMed]
- Salameh, A.; Haunschild, J.; Bräuchle, P.; Peim, O.; Seidel, T.; Reitmann, M.; Kostelka, M.; Bakhtiary, F.; Dhein, S.; Dähnert, I. On the role of the gap junction protein Cx43 (GJA1) in human cardiac malformations with Fallot-pathology. A study on paediatric cardiac specimen. PLoS ONE 2014, 9, e95344. [Google Scholar] [CrossRef]
- Liu, X.Z.; Xia, X.J.; Adams, J.; Chen, Z.Y.; Welch, K.O.; Tekin, M.; Ouyang, X.M.; Kristiansen, A.; Pandya, A.; Balkany, T. Mutations in GJA1 (connexin 43) are associated with non-syndromic autosomal recessive deafness. Hum. Mol. Genet. 2001, 10, 2945–2951. [Google Scholar] [CrossRef]
- Pfenniger, A.; Wohlwend, A.; Kwak, B.R. Mutations in connexin genes and disease. Eur. J. Clin. Investig. 2011, 41, 103–116. [Google Scholar] [CrossRef]
- Hammerschlag, A.R.; Stringer, S.; De Leeuw, C.A.; Sniekers, S.; Taskesen, E.; Watanabe, K.; Blanken, T.F.; Dekker, K.; Te Lindert, B.H.; Wassing, R. Genome-wide association analysis of insomnia complaints identifies risk genes and genetic overlap with psychiatric and metabolic traits. Nat. Genet. 2017, 49, 1584–1592. [Google Scholar] [CrossRef]
- Li, Q.; He, Q.; Baral, S.; Mao, L.; Li, Y.; Jin, H.; Chen, S.; An, T.; Xia, Y.; Hu, B. MicroRNA-493 regulates angiogenesis in a rat model of ischemic stroke by targeting MIF. FEBS J. 2016, 283, 1720–1733. [Google Scholar] [CrossRef]
- Soliman, M.; Andreeva, K.; Nasraoui, O.; Cooper, N.G. A causal mediation model of ischemia reperfusion injury in the retina. PLoS ONE 2017, 12, e0187426. [Google Scholar] [CrossRef]
- Ricketts, S.L.; Pettitt, L.; McLaughlin, B.; Jenkins, C.A.; Mellersh, C.S. A novel locus on canine chromosome 13 is associated with cataract in the Australian Shepherd breed of domestic dog. Mamm. Genome 2015, 26, 257–263. [Google Scholar] [CrossRef] [PubMed]
- Glastonbury, C.A.; Viñuela, A.; Buil, A.; Halldorsson, G.H.; Thorleifsson, G.; Helgason, H.; Thorsteinsdottir, U.; Stefansson, K.; Dermitzakis, E.T.; Spector, T.D. Adiposity-dependent regulatory effects on multi-tissue transcriptomes. Am. J. Hum. Genet. 2016, 99, 567–579. [Google Scholar] [CrossRef] [PubMed]
- Gorgas, K.; Teigler, A.; Komljenovic, D.; Just, W.W. The ether lipid-deficient mouse: Tracking down plasmalogen functions. Biochim. Biophys. Acta (BBA) Mol. Cell Res. 2006, 1763, 1511–1526. [Google Scholar] [CrossRef] [PubMed]
- Watschinger, K.; Keller, M.A.; Golderer, G.; Hermann, M.; Maglione, M.; Sarg, B.; Lindner, H.H.; Hermetter, A.; Werner-Felmayer, G.; Konrat, R. Identification of the gene encoding alkylglycerol monooxygenase defines a third class of tetrahydrobiopterin-dependent enzymes. Proc. Natl. Acad. Sci. USA 2010, 107, 13672–13677. [Google Scholar] [CrossRef]
- Sailer, S.; Keller, M.A.; Werner, E.R.; Watschinger, K. The emerging physiological role of AGMO 10 years after its gene identification. Life 2021, 11, 88. [Google Scholar] [CrossRef]
- Franceschini, N.; Van Rooij, F.J.; Prins, B.P.; Feitosa, M.F.; Karakas, M.; Eckfeldt, J.H.; Folsom, A.R.; Kopp, J.; Vaez, A.; Andrews, J.S. Discovery and fine mapping of serum protein loci through transethnic meta-analysis. Am. J. Hum. Genet. 2012, 91, 744–753. [Google Scholar] [CrossRef][Green Version]
- Sinnott-Armstrong, N.; Tanigawa, Y.; Amar, D.; Mars, N.; Benner, C.; Aguirre, M.; Venkataraman, G.R.; Wainberg, M.; Ollila, H.M.; Kiiskinen, T. Genetics of 35 blood and urine biomarkers in the UK Biobank. Nat. Genet. 2021, 53, 185–194. [Google Scholar] [CrossRef]
- Ruth, K.S.; Day, F.R.; Tyrrell, J.; Thompson, D.J.; Wood, A.R.; Mahajan, A.; Beaumont, R.N.; Wittemans, L.; Martin, S.; Busch, A.S. Using human genetics to understand the disease impacts of testosterone in men and women. Nat. Med. 2020, 26, 252–258. [Google Scholar] [CrossRef]
- York, N.; Halbach, P.; Chiu, M.A.; Bird, I.M.; Pillers, D.-A.M.; Pattnaik, B.R. Oxytocin (OXT)-stimulated inhibition of Kir7. 1 activity is through PIP2-dependent Ca2+ response of the oxytocin receptor in the retinal pigment epithelium in vitro. Cell. Signal. 2017, 37, 93–102. [Google Scholar] [CrossRef]
- Cattaneo, Z.; Daini, R.; Malaspina, M.; Manai, F.; Lillo, M.; Fermi, V.; Schiavi, S.; Suchan, B.; Comincini, S. Congenital prosopagnosia is associated with a genetic variation in the oxytocin receptor (OXTR) gene: An exploratory study. Neuroscience 2016, 339, 162–173. [Google Scholar] [CrossRef]
- Kimura, T.; Tanizawa, O.; Mori, K.; Brownstein, M.J.; Okayama, H. Structure and expression of a human oxytocin receptor. Nature 1992, 356, 526–529. [Google Scholar] [CrossRef] [PubMed]
- Gaudet, P.; Livstone, M.S.; Lewis, S.E.; Thomas, P.D. Phylogenetic-based propagation of functional annotations within the Gene Ontology consortium. Brief. Bioinform. 2011, 12, 449–462. [Google Scholar] [CrossRef] [PubMed]
- Yang, Y. RNA-seq analysis of ageing human retinal pigment epithelium: Unexpected up-regulation of visual cycle gene transcription. J. Cell Mol. Med. 2021, 25, 5572. [Google Scholar]
- Mustafa, O.M.; Daoud, Y.J. Breastfeeding and Maternal Age-Related Cataract in the US Population. Ophthalmic Epidemiol. 2021, 28, 244–249. [Google Scholar] [CrossRef]
- Cai, D.; Purkayastha, S. A new horizon: Oxytocin as a novel therapeutic option for obesity and diabetes. Drug Discov. Today Dis. Mech. 2013, 10, e63–e68. [Google Scholar] [CrossRef]
- Angelini, C. Limb-girdle muscular dystrophy type 2A. In Genetic Neuromuscular Disorders; Springer: Berlin/Heidelberg, Germany, 2014; pp. 39–45. [Google Scholar]
- Macias, A.; Gambin, T.; Szafranski, P.; Jhangiani, S.N.; Kolasa, A.; Obersztyn, E.; Lupski, J.R.; Stankiewicz, P.; Kaminska, A. CAV3 mutation in a patient with transient hyperCKemia and myalgia. Neurol. I Neurochir. Pol. 2016, 50, 468–473. [Google Scholar] [CrossRef][Green Version]
- Catteruccia, M.; Sanna, T.; Santorelli, F.M.; Tessa, A.; Di Giacopo, R.; Sauchelli, D.; Verbo, A.; Monaco, M.L.; Servidei, S. Rippling muscle disease and cardiomyopathy associated with a mutation in the CAV3 gene. Neuromuscul. Disord. 2009, 19, 779–783. [Google Scholar] [CrossRef]
- Veyckemans, F.; Scholtes, J.L. Myotonic dystrophies type 1 and 2: Anesthetic care. Pediatric Anesth. 2013, 23, 794–803. [Google Scholar] [CrossRef]
- Olson, N.J.; Ornstein, D.L.; Linos, K. Survey of ERG expression in normal bone marrow and myeloid neoplasms. J. Hematop. 2020, 13, 5–12. [Google Scholar] [CrossRef]
- Rahman, M.T.; Muppala, S.; Wu, J.; Krukovets, I.; Solovjev, D.; Verbovetskiy, D.; Obiako, C.; Plow, E.F.; Stenina-Adognravi, O. Effects of thrombospondin-4 on pro-inflammatory phenotype differentiation and apoptosis in macrophages. Cell Death Dis. 2020, 11, 1–14. [Google Scholar] [CrossRef]
- Ichikawa, H.; Shimizu, K.; Hayashi, Y.; Ohki, M. An RNA-binding protein gene, TLS/FUS, is fused to ERG in human myeloid leukemia with t (16; 21) chromosomal translocation. Cancer Res. 1994, 54, 2865–2868. [Google Scholar] [PubMed]
- Toda, Y.; Nagai, Y.; Shimomura, D.; Kishimori, C.; Tsuda, K.; Fukutsuka, K.; Hayashida, M.; Ohno, H. Acute basophilic leukemia associated with the t (16; 21)(p11; q22)/FUS-ERG fusion gene. Clin. Case Rep. 2017, 5, 1938. [Google Scholar] [CrossRef] [PubMed]
- Jee, D.; Kang, S.; Huang, S.; Park, S. Polygenetic-Risk Scores Related to Crystallin Metabolism Are Associated with Age-Related Cataract Formation and Interact with Hyperglycemia, Hypertension, Western-Style Diet, and Na Intake. Nutrients 2020, 12, 3534. [Google Scholar] [CrossRef] [PubMed]



| Discovery TWB2.0 (n = 20,335) | Validation TWB1.0 (n = 7993) | Statistics and p-Values (Case < 60) 2 | Statistics and p-Values (Case > 60) 2 | |||||||||
|---|---|---|---|---|---|---|---|---|---|---|---|---|
| Variables | Case < 60 (n = 1959) | Case ≥ 60 (n = 5120) | Control (n = 13,256) | p-Values (Case < 60) 1 | p-Values (Case ≥ 60) 1 | Case < 60 (n = 757) | Case ≥ 60 (n = 2246) | Control (n = 4990) | p-Values (Case < 60) 1 | p-Values (Case ≥ 60) 1 | ||
| Sex | ||||||||||||
| Male (%) | 490 (25.01) | 1500 (29.30) | 4898 (36.95) | <2.2 × 10−16 | <2.2 × 10−16 | 337 (44.12) | 998 (44.43) | 2610 (52.30) | 7.65 × 10−5 | 6.86 × 10−10 | <2.2 × 10−16 | <2.2 × 10−16 | 
| Female (%) | 1469 (74.99) | 3620 (70.70) | 8358 (63.05) | 420 (55.48) | 1248 (55.57) | 2380 (47.70) | ||||||
| Age (years) | 54.04 ± 5.34 | 65.11 ± 3.11 | 63.68 ± 2.84 | <2.2 × 10−16 | <2.2 × 10−16 | 53.08 ± 6.12 | 66.24 ± 3.60 | 64.4 ± 3.37 | <2.2 × 10−16 | <2.2 × 10−16 | 5.079 × 10−9 | <2.2 × 10−16 | 
| BMI | 23.94 ± 3.81 | 24.13 ± 3.41 | 24.42 ± 3.42 | 1.46 × 10−7 | 2.071 × 10−7 | 24.3454 ± 3.713 | 24.3618 ± 3.330 | 24.4594 ± 3.231 | 0.4242 | 0.2448 | 0.09964 | 0.05096 | 
| Diabetes | ||||||||||||
| No (%) | 1771 (90.40) | 4284 (83.67) | 12,028 (90.74) | <2.2 × 10−16 | <2.2 × 10−16 | 650 (85.87) | 1862 (82.90) | 4457 (89.32) | <2.2 × 10−16 | 8.636 × 10−7 | 0.04622 | 0.4888 | 
| Yes (%) | 188 (9.60) | 836 (16.33) | 1228 (9.26) | 107 (14.13) | 384 (17.10) | 533 (10.68) | ||||||
| Hypertension | ||||||||||||
| No (%) | 1632 (83.31) | 3607 (70.45) | 9948 (75.05) | <2.2 × 10−16 | <2.2 × 10−16 | 632 (83.49) | 1530 (68.12) | 3634 (72.83) | <2.2 × 10−16 | <2.2 × 10−16 | 0.5577 | 0.01028 | 
| Yes (%) | 327 (16.69) | 1513 (29.55) | 3308 (24.95) | 125 (16.51) | 716 (31.88) | 1356 (27.14) | ||||||
| Hyperlipidemia | ||||||||||||
| No (%) | 1691 (86.32) | 4106 (80.20) | 11,431 (86.23) | <2.2 × 10−16 | <2.2 × 10−16 | 653 (86.26) | 1806 (80.41) | 4260 (85.37) | <2.2 × 10−16 | <2.2 × 10−16 | 0.8507 | 0.2707 | 
| Yes (%) | 268 (13.68) | 1014 (19.80) | 1825 (13.77) | 104 (13.74) | 440 (4.85) | 730 (14.93) | ||||||
| Asthma | ||||||||||||
| No (%) | 1886 (96.27) | 4899 (95.68) | 12,827 (96.76) | <2.2 × 10−16 | 3.394 × 10−16 | 721 (95.24) | 2137 (95.15) | 4838 (96.95) | <2.2 × 10−16 | 0.007776 | 0.1738 | 0.03337 | 
| Yes (%) | 73 (3.73) | 221 (4.32) | 429 (3.24) | 36 (4.76) | 109 (4.85) | 152 (3.05) | ||||||
| GFR | ||||||||||||
| >60 (%) | 1913 (97.70) | 4899 (95.78) | 12,828 (96.79) | 0.03452 | 0.0009946 | 736 (97.23) | 2115 (94.17) | 4814 (96.51) | 0.3662 | 5.97 × 10−6 | 0.02036 | 5.6 × 10−8 | 
| <60 (%) | 45 (2.30) | 216 (4.22) | 426 (3.21) | 21 (2.77) | 131 (5.83) | 174 (3.59) | ||||||
| Population | SNP 1 | CHR | Position | MAF (in Cases) | MAF (in Controls) | p-Value | OR | adj. P | Nearest Gene | 
|---|---|---|---|---|---|---|---|---|---|
| rs7513180 | 1 | 63874130 | 0.03579 | 0.02373 | 7.39 × 10−6 | 1.527 | 2.91 × 10−6 | ROR1 | |
| rs117994780 | 2 | 71677869 | 0.02517 | 0.01539 | 8.69 × 10−6 | 1.651 | 1.29 × 10−5 | DYSF | |
| rs237885 | 3 | 8753857 | 0.2696 | 0.305 | 7.55 × 10−6 | 0.8412 | 2.57 × 10−6 | OXTR | |
| rs3814411 | 3 | 112333058 | 0.02214 | 0.01307 | 8.50 × 10−6 | 1.709 | 1.98 × 10−5 | CD200 | |
| rs143616043 | 5 | 51456733 | 0.02783 | 0.04289 | 9.11 × 10−6 | 0.6389 | 7.82 × 10−6 | ISL1 | |
| Younger | rs146654893 | 9 | 21619135 | 0.01959 | 0.01118 | 9.11 × 10−6 | 1.766 | 2.67 × 10−5 | F2Z2F3 | 
| Population | rs117753381 | 10 | 10644914 | 0.02692 | 0.01619 | 2.15 × 10−6 | 1.681 | 3.29 × 10−6 | CELF2 | 
| (<60) | rs77137422 | 12 | 20324909 | 0.04933 | 0.03411 | 2.03 × 10−6 | 1.469 | 1.04 × 10−5 | PDE3A | 
| rs9788929 | 16 | 16829414 | 0.1914 | 0.1625 | 6.27 × 10−6 | 1.22 | 3.30 × 10−5 | XYLT1 | |
| rs374431 | 19 | 58279347 | 0.4243 | 0.4625 | 7.44 × 10−6 | 0.8563 | 1.07 × 10−5 | ZNF8-ERVK3-1 | |
| rs13046594 | 21 | 38436779 | 0.05021 | 0.03464 | 1.51 × 10−6 | 1.473 | 3.97 × 10−6 | ERG | |
| rs738096 | 22 | 17773177 | 0.3911 | 0.4289 | 8.24 × 10−6 | 0.8552 | 1.78 × 10−5 | BID | |
| rs76079963 | 22 | 48857843 | 0.03724 | 0.02495 | 8.57 × 10−6 | 1.511 | 1.33 × 10−4 | TAFA5 | |
| rs140318176 | 2 | 125365220 | 0.01348 | 0.02041 | 9.91 × 10−6 | 0.656 | 3.95 × 10−5 | - | |
| rs11133245 | 4 | 53154174 | 0.1834 | 0.2045 | 6.53 × 10−6 | 0.8737 | 7.65 × 10−6 | SCFD2 | |
| rs145208055 | 4 | 8895796 | 0.02181 | 0.01371 | 2.82 × 10−8 | 1.604 | 4.61 × 10−7 | HMX1 | |
| rs1521224 | 6 | 121973799 | 0.06622 | 0.08051 | 4.15 × 10−6 | 0.81 | 5.45 × 10−6 | HSF2 | |
| rs9345070 | 6 | 91015542 | 0.4682 | 0.4958 | 2.05 × 10−6 | 0.8952 | 3.39 × 10−6 | MAP3K7 | |
| Older | rs74774546 | 6 | 121787961 | 0.1254 | 0.1461 | 3.32 × 10−7 | 0.8378 | 1.10 × 10−6 | GJA1 | 
| Population | rs4726966 | 7 | 148387557 | 0.04967 | 0.06191 | 7.70 × 10−6 | 0.7919 | 2.23 × 10−5 | CNTNAP2 | 
| (≥60) | rs148814099 | 9 | 89141883 | 0.01917 | 0.01285 | 7.57 × 10−6 | 1.501 | 2.44 × 10−5 | SHC3 | 
| rs10781570 | 10 | 132372299 | 0.1387 | 0.1214 | 8.37 × 10−6 | 1.166 | 3.21 × 10−5 | LRRC27 | |
| rs28503213 | 18 | 77663436 | 0.2459 | 0.2238 | 6.25 × 10−6 | 1.131 | 3.40 × 10−5 | GALR1 | |
| rs2272537 | 19 | 35704684 | 0.1347 | 0.1173 | 6.83 × 10−6 | 1.171 | 2.36 × 10−6 | ZBTB32 | |
| rs56792854 | 19 | 35737488 | 0.1316 | 0.1147 | 8.82 × 10−6 | 1.17 | 2.96 × 10−6 | KMT2B | |
| rs60128322 | 19 | 35768908 | 0.1351 | 0.1179 | 7.63 × 10−6 | 1.169 | 1.61 × 10−6 | PROSER3 | 
| Case < 60 | Case > 60 | |||||||
|---|---|---|---|---|---|---|---|---|
| Tuning Parameters 1 | N SNPs | Mean PRS | AUC (95% CI) | Top N SNPs Included | Mean PRS | AUC (95% CI) | ||
| Case | Control | TWB2.0 | for PRS Calculation | Case | Control | TWB2.0 | ||
| p ≤ 10−4 and r2 < 0.2 | 95 | 0.0733 | 0.0130 | 0.7129 (0.6996, 0.7262) | 131 | 0.0138 | −0.0250 | 0.6693 (0.6597, 0.6790) | 
| p ≤ 10−4 and r2 < 0.04 | 90 | 0.0818 | 0.0238 | 0.7102 (0.6969, 0.7235) | 130 | 0.0152 | −0.0231 | 0.6697 (0.6600, 0.6793) | 
| p ≤ 2.5 × 10−4 and r2 < 0.2 | 228 | 0.1925 | 0.0366 | 0.7874 (0.7756, 0.7993) | 292 | 0.0404 | −0.0616 | 0.7383 (0.7295, 0.7472) | 
| p ≤ 2.5 × 10−4 and r2 < 0.04 | 218 | 0.2046 | 0.0555 | 0.7862 (0.7743, 0.7980) | 287 | 0.0415 | −0.0595 | 0.7385 (0.7296, 0.7473) | 
| p ≤ 5 × 10−4 and r2 < 0.2 | 428 | 0.3733 | 0.0602 | 0.8528 (0.8430, 0.8626) | 547 | 0.1099 | −0.0896 | 0.7907 (0.7826, 0.7987) | 
| p ≤ 5 × 10−4 and r2 < 0.04 | 415 | 0.3814 | 0.0810 | 0.8527 (0.8429, 08625) | 535 | 0.1134 | −0.0830 | 0.7903 (0.7822, 0.7983) | 
| p ≤ 7.5 × 10−4 and r2 < 0.2 | 643 | 0.5352 | 0.0641 | 0.8915 (0.8833, 0.8998) | 809 | 0.2018 | −0.0912 | 0.823 (0.8156, 0.8305) | 
| p ≤ 7.5 × 10−4 and r2 < 0.04 | 617 | 0.5358 | 0.0836 | 0.8913 (0.8831, 0.8996) | 787 | 0.2065 | −0.0810 | 0.8226 (0.8151, 0.8300) | 
| p ≤ 10−3 and r2 < 0.2 | 838 | 0.6788 | 0.0521 | 0.9166 (0.9095, 0.9237) | 1024 | 0.2918 | −0.0917 | 0.8464 (0.8394, 0.8533) | 
| p ≤ 10−3 and r2 < 0.04 | 804 | 0.6716 | 0.0700 | 0.9165 (0.9094, 0.9236) | 991 | 0.2942 | −0.0812 | 0.8461 (0.8391, 0.8530) | 
| (min,Q1) | (Q1,Q2) | (Q2,Q3) | (Q3,Q4) | ||
|---|---|---|---|---|---|
| Case <60, N = 1567 | 77 | 159 | 382 | 949 | |
| Younger | (age < 60%) | 4.91% | 10.15% | 24.38% | 60.56% | 
| Population | Control, N = 10,603 | 2965 | 2884 | 2660 | 2094 | 
| (age < 60) 1 | (n,%) | 27.96% | 27.20% | 25.09% | 19.75% | 
| OR for case (95% C.I) | 1 | 2.12 (1.62, 2.81) | 5.52 (4.33, 7.15) | 17.45 (13.84, 22.33) | |
| Case >60, N = 4095 | 341 | 691 | 1119 | 1944 | |
| Older | (age ≥ 60,%) | 8.33% | 16.87% | 27.33% | 47.47% | 
| Population | Control, N = 10,603 | 3333 | 2984 | 2555 | 1731 | 
| (age ≥ 60) 1 | (n,%) | 31.43% | 28.14% | 24.10% | 16.33% | 
| OR for case (95% C.I) | 1 | 2.26 (1.97, 2.60) | 4.28 (3.75, 4.89) | 10.97 (9.66, 12.50) | 
| High PRS Group | Reference Group | OR for Case < 60 (95% C.I) | OR1 for Case ≥ 60 (95% C.I) | 
|---|---|---|---|
| Top 25% | Remaining 75% | 6.24 (5.58, 6.98) | 4.63 (4.28, 5.02) | 
| Top 20% | Remaining 80% | 6.26 (5.59, 7.00) | 4.77 (4.38, 5.20) | 
| Top 10% | Remaining 90% | 7.09 (6.22, 8.08) | 5.48 (4.89, 6.14) | 
| Top 5% | Remaining 95% | 9.16 (7.73, 10.85) | 6.74 (5.74, 7.94) | 
| Publisher’s Note: MDPI stays neutral with regard to jurisdictional claims in published maps and institutional affiliations. | 
© 2022 by the authors. Licensee MDPI, Basel, Switzerland. This article is an open access article distributed under the terms and conditions of the Creative Commons Attribution (CC BY) license (https://creativecommons.org/licenses/by/4.0/).
Share and Cite
Hsu, C.-C.; Chuang, H.-K.; Hsiao, Y.-J.; Teng, Y.-C.; Chiang, P.-H.; Wang, Y.-J.; Lin, T.-Y.; Tsai, P.-H.; Weng, C.-C.; Lin, T.-C.; et al. Polygenic Risk Score Improves Cataract Prediction in East Asian Population. Biomedicines 2022, 10, 1920. https://doi.org/10.3390/biomedicines10081920
Hsu C-C, Chuang H-K, Hsiao Y-J, Teng Y-C, Chiang P-H, Wang Y-J, Lin T-Y, Tsai P-H, Weng C-C, Lin T-C, et al. Polygenic Risk Score Improves Cataract Prediction in East Asian Population. Biomedicines. 2022; 10(8):1920. https://doi.org/10.3390/biomedicines10081920
Chicago/Turabian StyleHsu, Chih-Chien, Hao-Kai Chuang, Yu-Jer Hsiao, Yuan-Chi Teng, Pin-Hsuan Chiang, Yu-Jun Wang, Ting-Yi Lin, Ping-Hsing Tsai, Chang-Chi Weng, Tai-Chi Lin, and et al. 2022. "Polygenic Risk Score Improves Cataract Prediction in East Asian Population" Biomedicines 10, no. 8: 1920. https://doi.org/10.3390/biomedicines10081920
APA StyleHsu, C.-C., Chuang, H.-K., Hsiao, Y.-J., Teng, Y.-C., Chiang, P.-H., Wang, Y.-J., Lin, T.-Y., Tsai, P.-H., Weng, C.-C., Lin, T.-C., Hwang, D.-K., & Hsieh, A.-R. (2022). Polygenic Risk Score Improves Cataract Prediction in East Asian Population. Biomedicines, 10(8), 1920. https://doi.org/10.3390/biomedicines10081920
 
         
                                                

 
       