In Vitro Effects of Mitochondria-Targeted Antioxidants in a Small-Cell Carcinoma of the Ovary of Hypercalcemic Type and in Type 1 and Type 2 Endometrial Cancer
Abstract
1. Introduction
2. Materials and Methods
2.1. Reagents
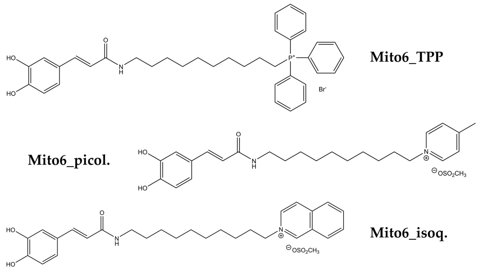
2.2. Chemistry
2.3. Cell Culture Conditions
2.4. Cell Viability and Cytotoxicity Assays
2.5. Cell Morphology Evaluation
2.6. Mitochondrial Membrane Potential (Δψm) Assessment
2.7. Intracellular Reactive Oxygen and Nitrogen Species (ROS/RNS) Assessment
2.8. Statistical Analysis and Software
3. Results
3.1. Mito6_TPP, Mito6_picol., and Mito6_isoq. Induce Decrease in Tumor Cells’ Viability at Low Concentrations
3.2. Mito6_TPP and Mito6_isoq. Induce Alterations in Cell Morphology
3.3. Mito6_TPP and Mito6_isoq. Induce Chromatin Condensation and Nuclear Fragmentation
3.4. Mito6_TPP and Mito6_isoq. Induce Reduction of Mitochondrial Membrane Potential (Δψm)
3.5. Mito6_TPP, Mito6_picol. and Mito6_isoq. Induce a Reduction of Intracellular ROS
3.6. Mito6_picol. and Mito6_isoq. Comply with Lipinski’s Rules for Oral Bioavailability
4. Discussion
5. Conclusions
6. Patents
Supplementary Materials
Author Contributions
Funding
Institutional Review Board Statement
Informed Consent Statement
Data Availability Statement
Acknowledgments
Conflicts of Interest
Abbreviations
References
- Bray, F.; Ferlay, J.; Soerjomataram, I.; Siegel, R.L.; Torre, L.A.; Jemal, A. Global cancer statistics 2018: GLOBOCAN estimates of incidence and mortality worldwide for 36 cancers in 185 countries. CA Cancer J. Clin. 2018, 68, 394–424. [Google Scholar] [CrossRef] [PubMed]
- Ferlay, J.L.M.; Ervik, M.; Lam, F.; Colombet, M.; Mery, L.; Piñeros, M.; Znaor, A.; Soerjomataram, I.; Bray, F. Global Cancer Obser-vatory: Cancer Tomorrow. Int. Agency Res. Cancer 2020. Available online: https://gco.iarc.fr/today/home (accessed on 10 January 2022).
- Witkowski, L.; Goudie, C.; Foulkes, W.D.; McCluggage, W.G. Small-Cell Carcinoma of the Ovary of Hypercalcemic Type (Malignant Rhabdoid Tumor of the Ovary): A Review with Recent Developments on Pathogenesis. Surg. Pathol. Clin. 2016, 9, 215–226. [Google Scholar] [CrossRef] [PubMed]
- Zhang, S.; Gong, T.-T.; Liu, F.-H.; Jiang, Y.-T.; Sun, H.; Ma, X.-X.; Zhao, Y.-H.; Wu, Q.-J. Global, Regional, and National Burden of Endometrial Cancer, 1990–2017: Results From the Global Burden of Disease Study. Front. Oncol. 2019, 9, 1440. [Google Scholar] [CrossRef]
- Ryan, A.J.; Susil, B.; Jobling, T.W.; Oehler, M.K. Endometrial cancer. Cell Tissue Res. 2005, 322, 53–61. [Google Scholar] [CrossRef] [PubMed]
- Otify, M.; Fuller, J.; Ross, J.; Shaikh, H.; Johns, J. Endometrial pathology in the postmenopausal woman-an evidence based approach to management. Obstet. Gynaecol. 2014, 17, 29–38. [Google Scholar] [CrossRef]
- Hsu, H.-C.; Tsai, S.-Y.; Wu, S.-L.; Jeang, S.-R.; Ho, M.-Y.; Liou, W.-S.; Chiang, A.-J.; Chang, T.-H. Longitudinal perceptions of the side effects of chemotherapy in patients with gynecological cancer. Support. Care Cancer 2017, 25, 3457–3464. [Google Scholar] [CrossRef]
- Sun, J.; Wei, Q.; Zhou, Y.; Wang, J.; Liu, Q.; Xu, H. A systematic analysis of FDA-approved anticancer drugs. BMC Syst. Biol. 2017, 11, 1–17. [Google Scholar] [CrossRef]
- Winkler, G.C.; Barle, E.L.; Galati, G.; Kluwe, W.M. Functional differentiation of cytotoxic cancer drugs and targeted cancer therapeutics. Regul. Toxicol. Pharmacol. 2014, 70, 46–53. [Google Scholar] [CrossRef]
- Xu, J.; Zhang, B.-C.; Li, X.-L.; Xu, W.-H.; Zhou, J.; Shen, L.; Wei, Q.-C. Chemosensitization and radiosensitization of a lung cancer cell line A549 induced by a composite polymer micelle. Discov. Med. 2016, 22, 7–17. [Google Scholar]
- Han, M.; Vakili, M.R.; Abyaneh, H.S.; Molavi, O.; Lai, R.; Lavasanifar, A. Mitochondrial Delivery of Doxorubicin via Triphenylphosphine Modification for Overcoming Drug Resistance in MDA-MB-435/DOX Cells. Mol. Pharm. 2014, 11, 2640–2649. [Google Scholar] [CrossRef] [PubMed]
- Neuzil, J.; Dong, L.-F.; Rohlena, J.; Truksa, J.; Ralph, S.J. Classification of mitocans, anti-cancer drugs acting on mitochondria. Mitochondrion 2012, 13, 199–208. [Google Scholar] [CrossRef] [PubMed]
- Nguyen, C.; Pandey, S. Exploiting Mitochondrial Vulnerabilities to Trigger Apoptosis Selectively in Cancer Cells. Cancers 2019, 11, 916. [Google Scholar] [CrossRef] [PubMed]
- Wang, J.; Li, J.; Xiao, Y.; Fu, B.; Qin, Z. TPP-based mitocans: A potent strategy for anticancer drug design. RSC Med. Chem. 2020, 11, 858–875. [Google Scholar] [CrossRef]
- Yang, Y.; Karakhanova, S.; Hartwig, W.; D’Haese, J.G.; Philippov, P.P.; Werner, J.; Bazhin, A.V. Mitochondria and Mitochondrial ROS in Cancer: Novel Targets for Anticancer Therapy. J. Cell. Physiol. 2016, 231, 2570–2581. [Google Scholar] [CrossRef] [PubMed]
- Porporato, P.E.; Filigheddu, N.; Pedro, J.M.B.-S.; Kroemer, G.; Galluzzi, L. Mitochondrial metabolism and cancer. Cell Res. 2018, 28, 265–280. [Google Scholar] [CrossRef]
- Lleonart, M.E.; Grodzicki, R.; Graifer, D.M.; Lyakhovich, A. Mitochondrial dysfunction and potential anticancer therapy. Med. Res. Rev. 2017, 37, 1275–1298. [Google Scholar] [CrossRef]
- Hayden, E.C. Cancer complexity slows quest for cure. Nature 2008, 455, 148. [Google Scholar] [CrossRef] [PubMed]
- Dong, L.; Neuzil, J. Targeting mitochondria as an anticancer strategy. Cancer Commun. 2019, 39, 63. [Google Scholar] [CrossRef]
- Vasan, K.; Werner, M.; Chandel, N.S. Mitochondrial Metabolism as a Target for Cancer Therapy. Cell Metab. 2020, 32, 341–352. [Google Scholar] [CrossRef]
- Dong, L.; Gopalan, V.; Holland, O.; Neuzil, J. Mitocans Revisited: Mitochondrial Targeting as Efficient Anti-cancer Therapy. Int. J. Mol. Sci. 2020, 21, 7941. [Google Scholar] [CrossRef]
- Athreya, K.; Xavier, M.F. Antioxidants in the Treatment of Cancer. Nutr. Cancer 2017, 69, 1099–1104. [Google Scholar] [CrossRef] [PubMed]
- Ismail, T.; Kim, Y.; Lee, H.; Lee, D.-S.; Lee, H.-S. Interplay Between Mitochondrial Peroxiredoxins and ROS in Cancer Development and Progression. Int. J. Mol. Sci. 2019, 20, 4407. [Google Scholar] [CrossRef] [PubMed]
- Liou, G.-Y.; Storz, P. Reactive oxygen species in cancer. Free Radic. Res. 2010, 44, 479–496. [Google Scholar] [CrossRef] [PubMed]
- Sullivan, L.B.; Chandel, N.S. Mitochondrial reactive oxygen species and cancer. Cancer Metab. 2014, 2, 17. [Google Scholar] [CrossRef] [PubMed]
- Cheng, G.; Zielonka, J.; McAllister, D.M.; Mackinnon, A.C., Jr.; Joseph, J.; Dwinell, M.B.; Kalyanaraman, B. Mitochondria-targeted vitamin E analogs inhibit breast cancer cell energy metabolism and promote cell death. BMC Cancer 2013, 13, 285. [Google Scholar] [CrossRef]
- Battogtokh, G.; Choi, Y.S.; Kang, D.S.; Park, S.J.; Shim, M.S.; Huh, K.M.; Cho, Y.-Y.; Lee, J.Y.; Lee, H.S.; Kang, H.C. Mitochondria-targeting drug conjugates for cytotoxic, anti-oxidizing and sensing purposes: Current strategies and future perspectives. Acta Pharm. Sin. B 2018, 8, 862–880. [Google Scholar] [CrossRef] [PubMed]
- Benfeito, S.; Fernandes, C.; Vilar, S.; Remião, F.; Uriarte, E.; Borges, F. Exploring the Multi-Target Performance of Mito-chondriotropic Antioxidants against the Pivotal Alzheimer’s Disease Pathophysiological Hallmarks. Molecules 2020, 25, 276. [Google Scholar] [CrossRef]
- Zielonka, J.; Joseph, J.; Sikora, A.; Hardy, M.; Ouari, O.; Vasquez-Vivar, J.; Cheng, G.; Lopez, M.; Kalyanaraman, B. Mitochondria-Targeted Triphenylphosphonium-Based Compounds: Syntheses, Mechanisms of Action, and Therapeutic and Diagnostic Applications. Chem. Rev. 2017, 117, 10043–10120. [Google Scholar] [CrossRef]
- Paulo, J.O. Mitocans: Mitochondrially Targeted Anti-cancer Drugs. In Mitochondrial Biology and Experimental Therapeutics Dordrecht; Springer: Berlin/Heidelberg, Germany, 2018; pp. 613–635. [Google Scholar] [CrossRef]
- Wang, J.Y.; Li, J.Q.; Xiao, Y.M.; Fu, B.; Qin, Z.H. Triphenylphosphonium (TPP)-Based Antioxidants: A New Perspective on Antioxidant Design. ChemMedChem 2020, 15, 404–410. [Google Scholar] [CrossRef]
- Sandoval-Acuña, C.; Fuentes-Retamal, S.; Guzmán-Rivera, D.; Silva, L.P.; Madrid-Rojas, M.; Rebolledo, S.; Castro-Castillo, V.; Pavani, M.; Catalán, M.; Maya, J.D.; et al. Destabilization of mitochondrial functions as a target against breast cancer progression: Role of TPP + -linked-polyhydroxybenzoates. Toxicol. Appl. Pharmacol. 2016, 309, 2–14. [Google Scholar] [CrossRef]
- Rahman, F.-U.; Bhatti, M.Z.; Ali, A.; Duong, H.-Q.; Zhang, Y.; Yang, B.; Koppireddi, S.; Lin, Y.; Wang, H.; Li, Z.-T.; et al. Homo- and heteroleptic Pt(II) complexes of ONN donor hydrazone and 4-picoline: A synthetic, structural and detailed mechanistic anticancer investigation. Eur. J. Med. Chem. 2018, 143, 1039–1052. [Google Scholar] [CrossRef]
- Rahman, F.-U.; Ali, A.; Guo, R.; Zhang, Y.-C.; Wang, H.; Li, Z.-T.; Zhang, D.-W. Synthesis and anticancer activities of a novel class of mono- and di-metallic Pt(ii)(salicylaldiminato)(DMSO or Picolino)Cl complexes. Dalton Trans. 2015, 44, 2166–2175. [Google Scholar] [CrossRef] [PubMed]
- Gao, F.; Liu, H.; Li, L.; Guo, J.; Wang, Y.; Zhao, M.; Peng, S. Design, synthesis, and testing of an isoquinoline-3-carboxylic-based novel anti-tumor lead. Bioorg. Med. Chem. Lett. 2015, 25, 4434–4436. [Google Scholar] [CrossRef]
- Ding, D.; Guo, Y.-R.; Wu, R.-L.; Qi, W.-Y.; Xu, H.-M. Two new isoquinoline alkaloids from Scolopendra subspinipes mutilans induce cell cycle arrest and apoptosis in human glioma cancer U87 cells. Fitoterapia 2016, 110, 103–109. [Google Scholar] [CrossRef]
- Teixeira, J.; Soares, P.; Benfeito, S.; Gaspar, A.; Garrido, J.; Murphy, M.P.; Borges, F. Rational discovery and development of a mitochondria-targeted antioxidant based on cinnamic acid scaffold. Free Radic. Res. 2012, 46, 600–611. [Google Scholar] [CrossRef]
- Teixeira, J.; Cagide, F.; Benfeito, S.; Soares, P.; Garrido, J.; Baldeiras, I.; Ribeiro, J.A.; Pereira, C.M.; Silva, A.F.; Andrade, P.B.; et al. Development of a Mitochondriotropic Antioxidant Based on Caffeic Acid: Proof of Concept on Cellular and Mitochondrial Oxidative Stress Models. J. Med. Chem. 2017, 60, 7084–7098. [Google Scholar] [CrossRef] [PubMed]
- Benfeito, S.; Oliveira, C.; Fernandes, C.; Cagide, F.; Teixeira, J.; Amorim, R.; Garrido, J.; Martins, C.; Sarmento, B.; Silva, R.; et al. Fine-tuning the neuroprotective and blood-brain barrier permeability profile of multi-target agents designed to prevent progressive mitochondrial dysfunction. Eur. J. Med. Chem. 2019, 167, 525–545. [Google Scholar] [CrossRef] [PubMed]
- Castelbaum, A.J.; Ying, L.; Somkuti, S.G.; Sun, J.; Ilesanmi, A.O.; Lessey, B.A. Characterization of Integrin Expression in a Well Differentiated Endometrial Adenocarcinoma Cell Line (Ishikawa) J. Clin. Endocrinol. Metab. 1997, 82, 136–142. [Google Scholar] [CrossRef][Green Version]
- Albitar, L.; Pickett, G.; Morgan, M.; Davies, S.; Leslie, K. Models representing type I and type II human endometrial cancers: Ishikawa H and Hec50co cells. Gynecol. Oncol. 2007, 106, 52–64. [Google Scholar] [CrossRef]
- Karnezis, A.N.; Chen, S.Y.; Chow, C.; Yang, W.; Hendricks, W.P.; Ramos, P.; Briones, N.; Mes-Masson, A.-M.; Bosse, T.; Gilks, C.B.; et al. Re-assigning the histologic identities of COV434 and TOV-112D ovarian cancer cell lines. Gynecol. Oncol. 2021, 160, 568–578. [Google Scholar] [CrossRef]
- Amit, M.; Margulets, V.; Segev, H.; Shariki, K.; Laevsky, I.; Coleman, R.; Itskovitz-Eldor, J. Human Feeder Layers for Human Embryonic Stem Cells. Biol. Reprod. 2003, 68, 2150–2156. [Google Scholar] [CrossRef] [PubMed]
- Banerjee, K.; Vittal, R.R. Aspergillus fischeri Mediated Biosynthesis of Gold Nanoparticles and their Beneficially Comparative Effect on Normal and Cancer Cell Lines. Pharm. Nanotechnol. 2018, 5, 220–229. [Google Scholar] [CrossRef] [PubMed]
- Repetto, G.; del Peso, A.; Zurita, J.L. Neutral red uptake assay for the estimation of cell viability/cytotoxicity. Nat. Protoc. 2008, 3, 1125–1131. [Google Scholar] [CrossRef] [PubMed]
- Pierce Biotechnology. Instructions for Pierce LDH Cytotoxicity Assay Kit; Thermo Fisher Scientific: Waltham, MA, USA, 2014. [Google Scholar]
- Moreira-Pinto, B.; Costa, L.; Felgueira, E.; Fonseca, B.; Rebelo, I. Low Doses of Resveratrol Protect Human Granulosa Cells from Induced-Oxidative Stress. Antioxidants 2021, 10, 561. [Google Scholar] [CrossRef]
- Crowley, L.; Marfell, B.J.; Waterhouse, N.J. Analyzing Cell Death by Nuclear Staining with Hoechst 33342. Cold Spring Harb. Protoc. 2016, 9. [Google Scholar] [CrossRef]
- Sivandzade, F.; Bhalerao, A.; Cucullo, L. Analysis of the Mitochondrial Membrane Potential Using the Cationic JC-1 Dye as a Sensitive Fluorescent Probe. Bio-Protocol 2019, 9, 3128. [Google Scholar] [CrossRef]
- Bak, M.-J.; Jeong, W.-S.; Kim, K.-B. Detoxifying effect of fermented black ginseng on H2O2-induced oxidative stress in HepG2 cells. Int. J. Mol. Med. 2014, 34, 1516–1522. [Google Scholar] [CrossRef]
- Gomes, A.; Fernandes, E.; Lima, J.L.F.C. Fluorescence probes used for detection of reactive oxygen species. J. Biochem. Biophys. Methods 2005, 65, 45–80. [Google Scholar] [CrossRef]
- Patrick, G.L. An Introduction to Medicinal Chemistry; Oxford University Press: Docklands, VIC, Australia, 2013. [Google Scholar]
- Antonenko, Y.N.; Khailova, L.S.; Knorre, D.A.; Markova, O.V.; Rokitskaya, T.I.; Ilyasova, T.M.; Severina, I.I.; Kotova, E.A.; Karavaeva, Y.E.; Prikhodko, A.S.; et al. Penetrating Cations Enhance Uncoupling Activity of Anionic Protonophores in Mitochondria. PLoS ONE 2013, 8, 61902. [Google Scholar] [CrossRef]
- Iaubasarova, I.R.; Khailova, L.S.; Nazarov, P.A.; Rokitskaya, T.I.; Silachev, D.N.; Danilina, T.I.; Plotnikov, E.Y.; Denisov, S.S.; Kirsanov, R.S.; Korshunova, G.A.; et al. Linking 7-Nitrobenzo-2-oxa-1,3-diazole (NBD) to Triphenylphosphonium Yields Mitochondria-Targeted Protonophore and Antibacterial Agent. Biochem. Mosc. 2020, 85, 1578–1590. [Google Scholar] [CrossRef]
- Severin, F.F.; Severina, I.I.; Antonenko, Y.N.; Rokitskaya, T.I.; Cherepanov, D.A.; Mokhova, E.N.; Vyssokikh, M.Y.; Pustovidko, A.V.; Markova, O.V.; Yaguzhinsky, L.S.; et al. Penetrating cation/fatty acid anion pair as a mitochondria-targeted protonophore. Proc. Natl. Acad. Sci. USA 2009, 107, 663–668. [Google Scholar] [CrossRef]
- Arfin, S.; Jha, N.K.; Jha, S.K.; Kesari, K.K.; Ruokolainen, J.; Roychoudhury, S.; Rathi, B.; Kumar, D. Oxidative Stress in Cancer Cell Metabolism. Antioxidants 2021, 10, 642. [Google Scholar] [CrossRef] [PubMed]
- Shao, J.; Li, M.; Guo, Z.; Jin, C.; Zhang, F.; Ou, C.; Xie, Y.; Tan, S.; Wang, Z.; Zheng, S.; et al. TPP-related mitochondrial targeting copper (II) complex induces p53-dependent apoptosis in hepatoma cells through ROS-mediated activation of Drp. Cell Commun. Signal. 2019, 17, 149. [Google Scholar] [CrossRef] [PubMed]
- Shi, L.; Gao, L.-L.; Cai, S.-Z.; Xiong, Q.-W.; Ma, Z.-R. A novel selective mitochondrial-targeted curcumin analog with remarkable cytotoxicity in glioma cells. Eur. J. Med. Chem. 2021, 221, 113528. [Google Scholar] [CrossRef] [PubMed]
- Su, Y.; Tu, Y.; Lin, H.; Wang, M.-M.; Zhang, G.-D.; Yang, J.; Liu, H.-K.; Su, Z. Mitochondria-targeted Pt(IV) prodrugs conjugated with an aggregation-induced emission luminogen against breast cancer cells by dual modulation of apoptosis and autophagy inhibition. J. Inorg. Biochem. 2021, 226, 111653. [Google Scholar] [CrossRef]








| 48 h | EC50 (μM)–Mean (CI 95%) 1 | |||||
|---|---|---|---|---|---|---|
| MTT Assay | NR Assay | |||||
| Mito6_TPP | Mito6_picol. | Mito6_isoq. | Mito6_TPP | Mito6_picol. | Mito6_isoq. | |
| Ishikawa | 2.453 | 23.56 | 15.39 | 15.69 | 84.44 | 36.94 |
| (1.859–3.188) | (18.36–30.69) | (11.49–20.39) | (13.47–18.29) | (70.97–105.2) | (31.15–44.21) | |
| Hec50co | 1.872 | 13.82 | 9.554 | 35.41 | 197.3 | 150.4 |
| (1.355–2.530) | (8.240–24.37) | (6.105–14.78) | (30.32–41.67) | (139.5–350.2) | (111.7–251.7) | |
| COV434 | 2.367 | 15.89 | 7.156 | 9.107 | 62.46 | 39.97 |
| (1.802–3.054) | (12.31–20.53) | (5.021–10.07) | (7.122–11.58) | (56.43–69.54) | (32.63–49.84) | |
| HFF-1 | 44.54 | >100 | >100 | 56.98 | >100 | 96.96 |
| (34.53–59.93) | --- | --- | (47.18–70.11) | --- | (81.95–121.3) | |
| Lipinski’s Rules | Veber’s Rules | |||||||
|---|---|---|---|---|---|---|---|---|
| MW | logP | HBA | HBD | Lipinski’s Violations | PSA | NRB | Veber’s Violations | |
| ≤500 | ≤+5 | ≤10 | ≤5 | ≤140 | ≤10 | |||
| Mito6_TPP | 580.728 | 8.65 | 3 | 3 | 2 | 69.56 | 16 | 1 |
| Mito6_picol. | 411.565 | 1.34 | 3 | 3 | 0 | 73.44 | 13 | 1 |
| Mito6_isoq. | 447.598 | 1.82 | 3 | 3 | 0 | 73.44 | 13 | 1 |
Publisher’s Note: MDPI stays neutral with regard to jurisdictional claims in published maps and institutional affiliations. |
© 2022 by the authors. Licensee MDPI, Basel, Switzerland. This article is an open access article distributed under the terms and conditions of the Creative Commons Attribution (CC BY) license (https://creativecommons.org/licenses/by/4.0/).
Share and Cite
Castelôa, M.; Moreira-Pinto, B.; Benfeito, S.; Borges, F.; Fonseca, B.M.; Rebelo, I. In Vitro Effects of Mitochondria-Targeted Antioxidants in a Small-Cell Carcinoma of the Ovary of Hypercalcemic Type and in Type 1 and Type 2 Endometrial Cancer. Biomedicines 2022, 10, 800. https://doi.org/10.3390/biomedicines10040800
Castelôa M, Moreira-Pinto B, Benfeito S, Borges F, Fonseca BM, Rebelo I. In Vitro Effects of Mitochondria-Targeted Antioxidants in a Small-Cell Carcinoma of the Ovary of Hypercalcemic Type and in Type 1 and Type 2 Endometrial Cancer. Biomedicines. 2022; 10(4):800. https://doi.org/10.3390/biomedicines10040800
Chicago/Turabian StyleCastelôa, Mariana, Beatriz Moreira-Pinto, Sofia Benfeito, Fernanda Borges, Bruno M. Fonseca, and Irene Rebelo. 2022. "In Vitro Effects of Mitochondria-Targeted Antioxidants in a Small-Cell Carcinoma of the Ovary of Hypercalcemic Type and in Type 1 and Type 2 Endometrial Cancer" Biomedicines 10, no. 4: 800. https://doi.org/10.3390/biomedicines10040800
APA StyleCastelôa, M., Moreira-Pinto, B., Benfeito, S., Borges, F., Fonseca, B. M., & Rebelo, I. (2022). In Vitro Effects of Mitochondria-Targeted Antioxidants in a Small-Cell Carcinoma of the Ovary of Hypercalcemic Type and in Type 1 and Type 2 Endometrial Cancer. Biomedicines, 10(4), 800. https://doi.org/10.3390/biomedicines10040800

