In Search of Novel Degradation-Resistant Monomers for Adhesive Dentistry: A Systematic Review and Meta-Analysis
Abstract
1. Introduction
2. Materials and Methods
2.1. Literature Search, Inclusion and Exclusion Criteria
2.1.1. Inclusion Criteria
2.1.2. Exclusion Criteria
2.2. Data Extraction
2.3. Quality Assessment
2.4. Meta-Analysis
3. Results
3.1. Search Strategy
3.2. Systematic Review
3.3. RoB Analysis of the Studies
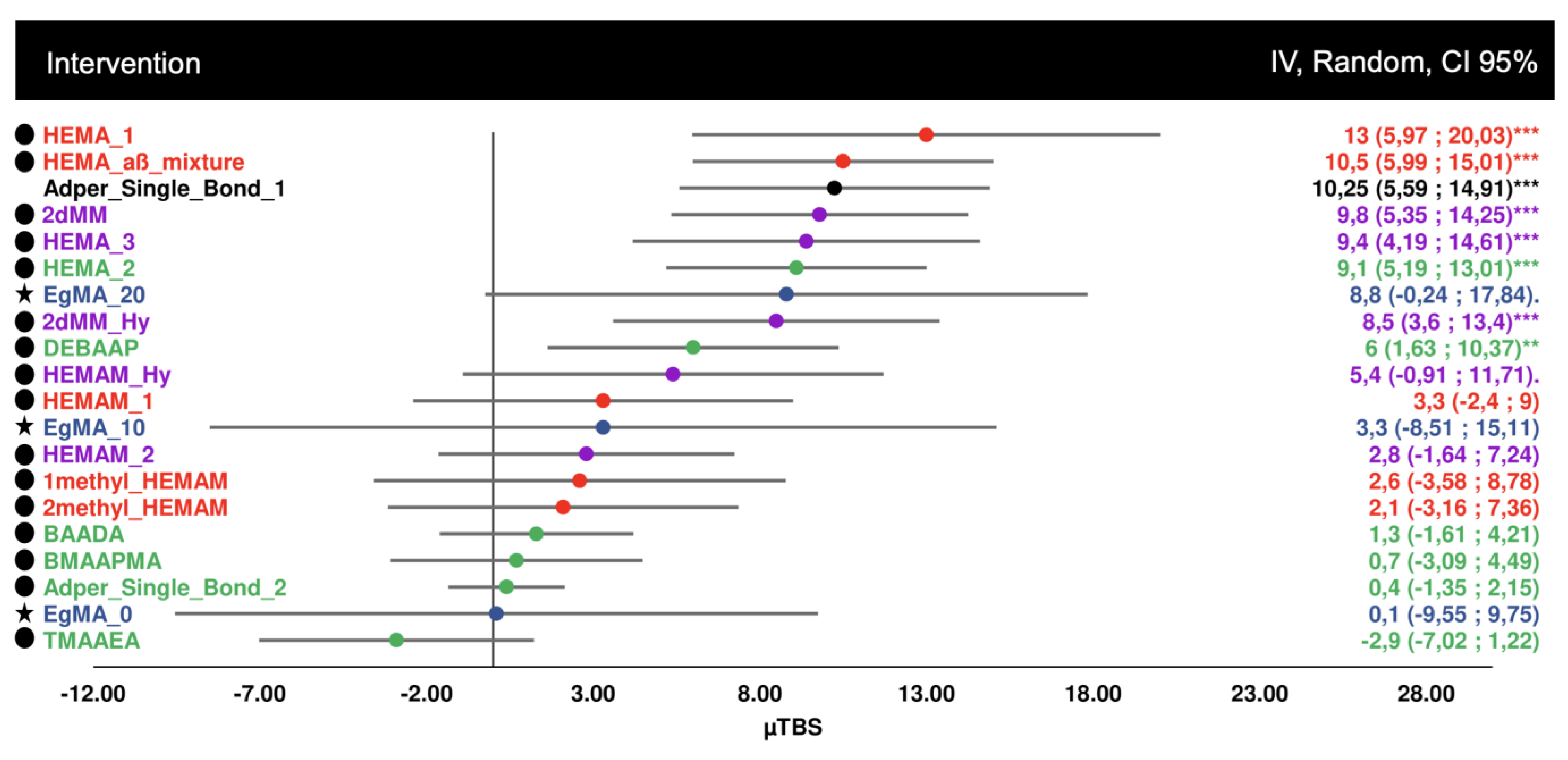
3.4. Meta-Analyses
4. Discussion
5. Conclusions
Author Contributions
Funding
Institutional Review Board Statement
Informed Consent Statement
Data Availability Statement
Conflicts of Interest
References
- Tezvergil-Mutluay, A.; Pashley, D.; Mutluay, M.M. Long-Term Durability of Dental Adhesives. Curr. Oral Health Rep. 2015, 2, 174–181. [Google Scholar] [CrossRef]
 - Perdigão, J. Current Perspectives on Dental Adhesion: (1) Dentin Adhesion-Not There Yet. Jpn. Dent. Sci. Rev. 2020, 56, 190–207. [Google Scholar] [CrossRef] [PubMed]
 - Buonocore, M.G. A Simple Method of Increasing the Adhesion of Acrylic Filling Materials to Enamel Surfaces. J. Dent. Res. 1955, 34, 849–853. [Google Scholar] [CrossRef] [PubMed]
 - Perdigão, J.; Araujo, E.; Ramos, R.Q.; Gomes, G.; Pizzolotto, L. Adhesive Dentistry: Current Concepts and Clinical Considerations. J. Esthet. Restor. Dent. 2021, 33, 51–68. [Google Scholar] [CrossRef]
 - Vinagre, A.; Ramos, J. Adhesion in Restorative Dentistry. Adhes.-Appl. Prop. 2016. [Google Scholar] [CrossRef]
 - Breschi, L.; Maravic, T.; Comba, A.; Cunha, S.R.; Loguercio, A.D.; Reis, A.; Hass, V.; Cadenaro, M.; Mancuso, E.; Mayer-Santos, E.; et al. Chlorhexidine Preserves the Hybrid Layer in Vitro after 10-Years Aging. Dent. Mater. 2020, 36, 672–680. [Google Scholar] [CrossRef]
 - Spencer, P.; Ye, Q.; Song, L.; Parthasarathy, R.; Boone, K.; Misra, A.; Tamerler, C. Threats to Adhesive/Dentin Interfacial Integrity and next Generation Bio-Enabled Multifunctional Adhesives. J. Biomed. Mater. Res. B Appl. Biomater. 2019, 107, 2673–2683. [Google Scholar] [CrossRef]
 - Van Meerbeek, B.; Yoshihara, K.; Van Landuyt, K.; Yoshida, Y.; Peumans, M. From Buonocore’s Pioneering Acid-Etch Technique to Self-Adhering Restoratives. A Status Perspective of Rapidly Advancing Dental Adhesive Technology. J. Adhes. Dent. 2020, 22, 7–34. [Google Scholar] [CrossRef]
 - Jaffer, F.; Finer, Y.; Santerre, J.P. Interactions between Resin Monomers and Commercial Composite Resins with Human Saliva Derived Esterases. Biomaterials 2002, 23, 1707–1719. [Google Scholar] [CrossRef]
 - Tjäderhane, L. Dentin Bonding: Can We Make It Last? Oper. Dent. 2015, 40, 4–18. [Google Scholar] [CrossRef]
 - Betancourt, D.E.; Baldion, P.A.; Castellanos, J.E. Resin-Dentin Bonding Interface: Mechanisms of Degradation and Strategies for Stabilization of the Hybrid Layer. Int. J. Biomater. 2019, 2019, 5268342. [Google Scholar] [CrossRef] [PubMed]
 - Sano, H. Microtensile Testing, Nanoleakage, and Biodegradation of Resin-Dentin Bonds. J. Dent. Res. 2006, 85, 11–14. [Google Scholar] [CrossRef]
 - Li, Y.; Carrera, C.; Chen, R.; Li, J.; Lenton, P.; Rudney, J.D.; Jones, R.S.; Aparicio, C.; Fok, A. Degradation in the Dentin–Composite Interface Subjected to Multi-Species Biofilm Challenges. Acta Biomater. 2014, 10, 375–383. [Google Scholar] [CrossRef]
 - De Munck, J.; Van Landuyt, K.; Peumans, M.; Poitevin, A.; Lambrechts, P.; Braem, M.; Van Meerbeek, B. A Critical Review of the Durability of Adhesion to Tooth Tissue: Methods and Results. J. Dent. Res. 2005, 84, 118–132. [Google Scholar] [CrossRef] [PubMed]
 - Santerre, J.P.; Shajii, L.; Leung, B.W. Relation of Dental Composite Formulations to Their Degradation and the Release of Hydrolyzed Polymeric-Resin-Derived Products. Crit. Rev. Oral Biol. Med. 2001, 12, 136–151. [Google Scholar] [CrossRef] [PubMed]
 - Pashley, D.H.; Tay, F.R.; Yiu, C.; Hashimoto, M.; Breschi, L.; Carvalho, R.M.; Ito, S. Collagen Degradation by Host-Derived Enzymes during Aging. J. Dent. Res. 2004, 83, 216–221. [Google Scholar] [CrossRef] [PubMed]
 - Gale, M.S.; Darvell, B.W. Thermal Cycling Procedures for Laboratory Testing of Dental Restorations. J. Dent. 1999, 27, 89–99. [Google Scholar] [CrossRef]
 - Moszner, N.; Hirt, T. New Polymer-Chemical Developments in Clinical Dental Polymer Materials: Enamel-Dentin Adhesives and Restorative Composites. J. Polym. Sci. Part A Polym. Chem. 2012, 50, 4369–4402. [Google Scholar] [CrossRef]
 - Salim Al-Ani, A.A.; Mutluay, M.; Stape, T.H.S.; Tjäderhane, L.; Tezvergil-Mutluay, A. Effect of Various Dimethyl Sulfoxide Concentrations on the Durability of Dentin Bonding and Hybrid Layer Quality. Dent. Mater. J. 2018, 37, 501–505. [Google Scholar] [CrossRef]
 - Wang, X.; Huyang, G.; Palagummi, S.V.; Liu, X.; Skrtic, D.; Beauchamp, C.; Bowen, R.; Sun, J. High Performance Dental Resin Composites with Hydrolytically Stable Monomers. Dent. Mater. 2018, 34, 228–237. [Google Scholar] [CrossRef]
 - Szczesio-Wlodarczyk, A.; Sokolowski, J.; Kleczewska, J.; Bociong, K. Ageing of Dental Composites Based on Methacrylate Resins—A Critical Review of the Causes and Method of Assessment. Polymers 2020, 12, 882. [Google Scholar] [CrossRef] [PubMed]
 - Page, M.J.; McKenzie, J.E.; Bossuyt, P.M.; Boutron, I.; Hoffmann, T.C.; Mulrow, C.D.; Shamseer, L.; Tetzlaff, J.M.; Akl, E.A.; Brennan, S.E.; et al. The PRISMA 2020 Statement: An Updated Guideline for Reporting Systematic Reviews. PLoS Med. 2021, 18, e1003583. [Google Scholar] [CrossRef] [PubMed]
 - Delgado, A.H.; Sauro, S.; Lima, A.F.; Loguercio, A.D.; Della Bona, A.; Mazzoni, A.; Collares, F.M.; Staxrud, F.; Ferracane, J.; Tsoi, J.; et al. RoBDEMAT: A risk of bias tool and guideline to support reporting of pre-clinical dental materials research and assessment of systematic reviews. J. Dent. 2022, 127, 104350. [Google Scholar] [CrossRef] [PubMed]
 - Viechtbauer, W. Conducting Meta-Analyses in R with the Metafor Package. J. Stat. Softw. 2010, 36, 1–48. [Google Scholar] [CrossRef]
 - Owen, R.K.; Bradbury, N.; Xin, Y.; Cooper, N.; Sutton, A. MetaInsight: An Interactive Web-Based Tool for Analyzing, Interrogating, and Visualizing Network Meta-Analyses Using R-Shiny and Netmeta. Res. Synth. Methods 2019, 10, 569–581. [Google Scholar] [CrossRef] [PubMed]
 - Fugolin, A.P.; Lewis, S.; Logan, M.G.; Ferracane, J.L.; Pfeifer, C.S. Methacrylamide–Methacrylate Hybrid Monomers for Dental Applications. Dent. Mater. 2020, 36, 1028–1037. [Google Scholar] [CrossRef]
 - Gong, H.; Guo, X.; Cao, D.; Gao, P.; Feng, D.; Zhang, X.; Shi, Z.; Zhang, Y.; Zhu, S.; Cui, Z. Photopolymerizable and Moisture-Curable Polyurethanes for Dental Adhesive Applications to Increase Restoration Durability. J. Mater. Chem. B 2019, 7, 744–754. [Google Scholar] [CrossRef]
 - Fugolin, A.P.; Navarro, O.; Logan, M.G.; Huynh, V.; França, C.M.; Ferracane, J.L.; Pfeifer, C.S. Synthesis of Di- and Triacrylamides with Tertiary Amine Cores and Their Evaluation as Monomers in Dental Adhesive Interfaces. Acta Biomater. 2020, 115, 148–159. [Google Scholar] [CrossRef]
 - Guo, X.; Cheng, Q.; Wang, H.; Yu, G.; Tian, Z.; Shi, Z.; Cui, Z.; Zhu, S. Synthesis, Characterization, and Aging Resistance of the Polyurethane Dimethacrylate Layer for Dental Restorations. Eur. J. Oral Sci. 2020, 128, 89–99. [Google Scholar] [CrossRef]
 - Zhao, Y.; He, X.; Wang, H.H.; Zhu, J.; Wang, H.H.; Zheng, Y.; Zhu, S.; Cui, Z. Synthesis of an Urushiol Derivative and Its Use for Hydrolysis Resistance in Dentin Adhesive. RSC Adv. 2021, 11, 18448–18457. [Google Scholar] [CrossRef]
 - Alkattan, R.; Banerji, S.; Deb, S. A Multi-Functional Dentine Bonding System Combining a Phosphate Monomer with Eugenyl Methacrylate. Dent. Mater. 2022, 38, 1030–1043. [Google Scholar] [CrossRef] [PubMed]
 - Fugolin, A.P.A.P.; Logan, M.G.M.G.; Kendall, A.J.A.J.; Ferracane, J.L.J.L.; Pfeifer, C.S.C.S. Effect of Side-Group Methylation on the Performance of Methacrylamides and Methacrylates for Dentin Hybridization. Dent. Mater. 2021, 37, 805–815. [Google Scholar] [CrossRef] [PubMed]
 - Yu, F.; Luo, M.L.; Xu, R.C.; Huang, L.; Yu, H.H.; Meng, M.; Jia, J.Q.; Hu, Z.H.; Wu, W.Z.; Tay, F.R.; et al. A Novel Dentin Bonding Scheme Based on Extrafibrillar Demineralization Combined with Covalent Adhesion Using a Dry-Bonding Technique. Bioact. Mater. 2021, 6, 3557–3567. [Google Scholar] [CrossRef] [PubMed]
 - Zhao, Y.; He, X.; Wang, H.; Wang, H.; Shi, Z.; Zhu, S.; Cui, Z. Polyphenol-Enriched Extract of Lacquer Sap Used as a Dentine Primer with Benefits of Improving Collagen Cross-Linking and Antibacterial Functions. ACS Biomater. Sci. Eng. 2022, 8, 3741–3753. [Google Scholar] [CrossRef] [PubMed]
 - Decha, N.; Talungchit, S.; Iawsipo, P.; Pikulngam, A.; Saiprasert, P.; Tansakul, C. Synthesis and Characterization of New Hydrolytic-Resistant Dental Resin Adhesive Monomer HMTAF. Des. Monomers Polym. 2019, 22, 106–113. [Google Scholar] [CrossRef] [PubMed]
 - Frassetto, A.; Breschi, L.; Turco, G.; Marchesi, G.; Di Lenarda, R.; Tay, F.R.; Pashley, D.H.; Cadenaro, M. Mechanisms of Degradation of the Hybrid Layer in Adhesive Dentistry and Therapeutic Agents to Improve Bond Durability—A Literature Review. Dent. Mater. 2016, 32, e41–e53. [Google Scholar] [CrossRef] [PubMed]
 - Fugolin; Pfeifer New Resins for Dental Composites. J. Dent. Res. 2017, 96, 1085. [CrossRef] [PubMed]
 - Delaviz, Y.; Finer, Y.; Santerre, J.P. Biodegradation of Resin Composites and Adhesives by Oral Bacteria and Saliva: A Rationale for New Material Designs That Consider the Clinical Environment and Treatment Challenges. Dent. Mater. 2014, 30, 16–32. [Google Scholar] [CrossRef] [PubMed]
 - Fugolin, A.P.; Dobson, A.; Mbiya, W.; Navarro, O.; Ferracane, J.L.; Pfeifer, C.S. Use of (Meth)Acrylamides as Alternative Monomers in Dental Adhesive Systems. Dent. Mater. 2019, 35, 686. [Google Scholar] [CrossRef] [PubMed]
 - Rodrigues, S.B.; Petzhold, C.L.; Gamba, D.; Leitune, V.C.B.; Collares, F.M. Acrylamides and Methacrylamides as Alternative Monomers for Dental Adhesives. Dent. Mater. 2018, 34, 1634–1644. [Google Scholar] [CrossRef] [PubMed]
 - Jeong, H.; Cho, Y.A.; Cho, Y.; Kang, E.; Ahn, H.W.; Hong, J. Durable Urushiol-Based Nanofilm with Water Repellency for Clear Overlay Appliances in Dentistry. ACS Biomater. Sci. Eng. 2016, 2, 344–348. [Google Scholar] [CrossRef] [PubMed]
 - Cho, J.Y.; Park, K.Y.; Kim, S.J.; Oh, S.; Moon, J.H. Antimicrobial Activity of the Synthesized Non-Allergenic Urushiol Derivatives. Biosci. Biotechnol. Biochem. 2015, 79, 1915–1918. [Google Scholar] [CrossRef] [PubMed]
 - Suk, K.T.; Kim, H.S.; Kim, M.Y.; Kim, J.W.; Uh, Y.; Jang, I.H.; Kim, S.K.; Choi, E.H.; Kim, M.J.; Joo, J.S.; et al. In Vitro Antibacterial and Morphological Effects of the Urushiol Component of the Sap of the Korean Lacquer Tree (Rhus Vernicifera Stokes) on Helicobacter Pylori. J. Korean Med. Sci. 2010, 25, 399–404. [Google Scholar] [CrossRef] [PubMed][Green Version]
 - Alkattan, R.; Koller, G.; Banerji, S.; Deb, S. Bis[2-(Methacryloyloxy) Ethyl] Phosphate as a Primer for Enamel and Dentine. J. Dent. Res. 2021, 100, 1081–1089. [Google Scholar] [CrossRef] [PubMed]
 - Xu, R.; Yu, F.; Huang, L.; Zhou, W.; Wang, Y.; Wang, F.; Sun, X.; Chang, G.; Fang, M.; Zhang, L.; et al. Isocyanate-Terminated Urethane-Based Dental Adhesive Bridges Dentinal Matrix Collagen with Adhesive Resin. Acta Biomater. 2019, 83, 140–152. [Google Scholar] [CrossRef] [PubMed]
 - Gu, L.S.; Cai, X.; Guo, J.M.; Pashley, D.H.; Breschi, L.; Xu, H.H.K.; Wang, X.Y.; Tay, F.R.; Niu, L.N. Chitosan-Based Extrafibrillar Demineralization for Dentin Bonding. J. Dent. Res. 2019, 98, 186–193. [Google Scholar] [CrossRef] [PubMed]
 - Guo, J.M.; Makvandi, P.; Wei, C.C.; Chen, J.H.; Xu, H.K.; Breschi, L.; Pashley, D.H.; Huang, C.; Niu, L.N.; Tay, F.R. Polymer Conjugation Optimizes EDTA as a Calcium-Chelating Agent That Exclusively Removes Extrafibrillar Minerals from Mineralized Collagen. Acta Biomater. 2019, 90, 424–440. [Google Scholar] [CrossRef] [PubMed]
 - Guibal, E. Interactions of Metal Ions with Chitosan-Based Sorbents: A Review. Sep. Purif. Technol. 2004, 38, 43–74. [Google Scholar] [CrossRef]
 - Tatiana, N.M.; Cornelia, V.; Tatia, R.; Aurica, C. Hybrid Collagen/PNIPAAM Hydrogel Nanocomposites for Tissue Engineering Application. Colloid Polym. Sci. 2018, 296, 1555–1571. [Google Scholar] [CrossRef]
 - Nishiyama, N.; Suzuki, K.; Asakura, T.; Komatsu, K.; Nemoto, K. Adhesion of N-Methacryloyl-ω-Amino Acid Primers to Collagen Analyzed by 13C NMR. J. Dent. Res. 2001, 80, 855–859. [Google Scholar] [CrossRef] [PubMed]
 - Kovács, E.; Rózsa, B.; Csomos, A.; Csizmadia, I.G.; Mucsi, Z. Amide Activation in Ground and Excited States. Molecules 2018, 23, 2859. [Google Scholar] [CrossRef] [PubMed]
 - DeRuiter, J. Principles of Drug Action 1: Amides and Related Functional Groups. Amides 2005, 1, 1–16. [Google Scholar]
 - Spencer, P.; Wang, Y. Adhesive Phase Separation at the Dentin Interface under Wet Bonding Conditions. J. Biomed. Mater. Res. 2002, 62, 447–456. [Google Scholar] [CrossRef] [PubMed]
 - Mayinger, F.; Reymus, M.; Liebermann, A.; Richter, M.; Kubryk, P.; Grorekappenberg, H.; Bogna, S. Impact of Polymerization and Storage on the Degree of Conversion and Mechanical Properties of Veneering Resin Composites. Dent. Mater. J. 2021, 40, 487–497. [Google Scholar] [CrossRef] [PubMed]
 - Pfeifer, C.S.; Shelton, Z.R.; Braga, R.R.; Windmoller, D.; MacHado, J.C.; Stansbury, J.W. Characterization of Dimethacrylate Polymeric Networks: A Study of the Crosslinked Structure Formed by Monomers Used in Dental Composites. Eur. Polym. J. 2011, 47, 162. [Google Scholar] [CrossRef]
 - Carvalho, R.M.; Mendonça, J.S.; Santiago, S.L.; Silveira, R.R.; Garcia, F.C.P.; Tay, F.R.; Pashley, D.H. Effects of HEMA/Solvent Combinations on Bond Strength to Dentin. J. Dent. Res. 2003, 82, 597–601. [Google Scholar] [CrossRef]
 - Tjäderhane, L.; Mehtälä, P.; Scaffa, P.; Vidal, C.; Pääkkönen, V.; Breschi, L.; Hebling, J.; Tay, F.R.; Nascimento, F.D.; Pashley, D.H.; et al. The Effect of Dimethyl Sulfoxide (DMSO) on Dentin Bonding and Nanoleakage of Etch-and-Rinse Adhesives. Dent. Mater. 2013, 29, 1055–1062. [Google Scholar] [CrossRef]
 - Geurtsen, W.; Lehmann, F.; Spahl, W.; Leyhausen, G. Cytotoxicity of 35 Dental Resin Composite Monomers/Additives in Permanent 3T3 and Three Human Primary Fibroblast Cultures. J. Biomed. Mater. Res. 1998, 41, 474–480. [Google Scholar] [CrossRef]
 - Vishnyakov, A.; Lyubartsev, A.P.; Laaksonen, A. Molecular Dynamics Simulations of Dimethyl Sulfoxide and Dimethyl Sulfoxide-Water Mixture. J. Phys. Chem. A 2001, 105, 1702–1710. [Google Scholar] [CrossRef]
 - Zhang, Z.; Li, K.; Yang, H.; Yu, J.; Huang, C. The Influence of Dimethyl Sulfoxide on Resin–Dentin Bonding: A Systematic Review. Int. J. Adhes. Adhes. 2022, 113, 103037. [Google Scholar] [CrossRef]
 - Stape, T.H.S.; Mutluay, M.M.; Tjäderhane, L.; Uurasjärvi, E.; Koistinen, A.; Tezvergil-Mutluay, A. The Pursuit of Resin-Dentin Bond Durability: Simultaneous Enhancement of Collagen Structure and Polymer Network Formation in Hybrid Layers. Dent. Mater. 2021, 37, 1083–1095. [Google Scholar] [CrossRef] [PubMed]
 - Maciel, K.T.; Carvalho, R.M.; Ringle, R.D.; Preston, C.D.; Russell, C.M.; Pashley, D.H. The Effects of Acetone, Ethanol, HEMA, and Air on the Stiffness of Human Decalcified Dentin Matrix. J. Dent. Res. 1996, 75, 1851–1858. [Google Scholar] [CrossRef] [PubMed]
 - Rojo, L.; Vazquez, B.; Parra, J.; Bravo, A.L.; Deb, S.; San Roman, J. From Natural Products to Polymeric Derivatives of “Eugenol”: A New Approach for Preparation of Dental Composites and Orthopedic Bone Cements. Biomacromolecules 2006, 7, 2751–2761. [Google Scholar] [CrossRef]
 - Almaroof, A.; Niazi, S.A.; Rojo, L.; Mannocci, F.; Deb, S. Influence of a Polymerizable Eugenol Derivative on the Antibacterial Activity and Wettability of a Resin Composite for Intracanal Post Cementation and Core Build-up Restoration. Dent. Mater. 2016, 32, 929–939. [Google Scholar] [CrossRef] [PubMed]
 - Rojo, L.; Vázquez, B.; Román, J.S.; Deb, S. Eugenol Functionalized Poly(Acrylic Acid) Derivatives in the Formation of Glass-Ionomer Cements. Dent. Mater. 2008, 24, 1709–1716. [Google Scholar] [CrossRef] [PubMed]
 - Pashley, D.H.; Carvalho, R.M. Dentine Permeability and Dentine Adhesion. J. Dent. 1997, 25, 355–372. [Google Scholar] [CrossRef]
 - Breschi, L.; Mazzoni, A.; Ruggeri, A.; Cadenaro, M.; Di Lenarda, R.; De Stefano Dorigo, E. Dental Adhesion Review: Aging and Stability of the Bonded Interface. Dent. Mater. 2008, 24, 90–101. [Google Scholar] [CrossRef]
 - Li, B.; Zhu, X.; Ma, L.; Wang, F.; Liu, X.; Yang, X.; Zhou, J.; Tan, J.; Pashley, D.H.; Tay, F.R. Selective Demineralisation of Dentine Extrafibrillar Minerals-A Potential Method to Eliminate Water-Wet Bonding in the Etch-and-Rinse Technique. J. Dent. 2016, 52, 55–62. [Google Scholar] [CrossRef]
 - Marshall, G.W.; Marshall, S.J.; Kinney, J.H.; Balooch, M. The Dentin Substrate: Structure and Properties Related to Bonding. J. Dent. 1997, 25, 441–458. [Google Scholar] [CrossRef]
 - Nakabayashi, N. The Hybrid Layer: A Resin-Dentin Composite. Proc. Finn. Dent. Soc. 1992, 88 (Suppl. 1), 321–329. [Google Scholar]
 - Ferracane, J.L. Hygroscopic and Hydrolytic Effects in Dental Polymer Networks. Dent. Mater. 2006, 22, 211–222. [Google Scholar] [CrossRef] [PubMed]
 - Tay, F.R.; Pashley, D.H.; Garcìa-Godoy, F.; Yiu, C.K.Y. Single-Step, Self-Etch Adhesives Behave as Permeable Membranes after Polymerization. Part II. Silver Tracer Penetration Evidence. Am. J. Dent. 2004, 17, 315–322. [Google Scholar] [PubMed]
 - Ito, S.; Hashimoto, M.; Wadgaonkar, B.; Svizero, N.; Carvalho, R.M.; Yiu, C.; Rueggeberg, F.A.; Foulger, S.; Saito, T.; Nishitani, Y.; et al. Effects of Resin Hydrophilicity on Water Sorption and Changes in Modulus of Elasticity. Biomaterials 2005, 26, 6449–6459. [Google Scholar] [CrossRef] [PubMed]
 - Dickens, S.H.; Flaim, G.M.; Floyd, C.J.E. Effects of Adhesive, Base and Diluent Monomers on Water Sorption and Conversion of Experimental Resins. Dent. Mater. 2010, 26, 675–681. [Google Scholar] [CrossRef] [PubMed]
 - Silikas, N.; Watts, D.C. High Pressure Liquid Chromatography of Dentin Primers and Bonding Agents. Dent. Mater. 2000, 16, 81–88. [Google Scholar] [CrossRef] [PubMed]
 - Parthasarathy, R.; Misra, A.; Park, J.; Ye, Q.; Spencer, P. Diffusion Coefficients of Water and Leachables in Methacrylate-Based Crosslinked Polymers Using Absorption Experiments. J. Mater. Sci. Mater. Med. 2012, 23, 1157. [Google Scholar] [CrossRef] [PubMed]
 - Armstrong, S.; Breschi, L.; Özcan, M.; Pfefferkorn, F.; Ferrari, M.; Van Meerbeek, B. Academy of Dental Materials guidance on in vitro testing of dental composite bonding effectiveness to dentin/enamel using micro-tensile bond strength (μTBS) approach. Dent. Mater. 2017, 33, 133–143. [Google Scholar] [CrossRef]
 







| Database | Search Strategy | 
|---|---|
| PubMed/Medline | (“degradation resistant” OR “ester free” OR “hydroly* resistan*” OR “ether based” OR “hydrolytic stability” OR “methacrylamide based” OR “ether linkage” OR “ether group”) AND (resin OR adhes* OR “dentin bonding agent” OR “dental polymer” OR “dental adhes*”) AND (dentin* OR “hybrid layer”) AND (bond* OR “bond strength” OR “tensile strength” OR “bond interface” OR “aging”) | 
| Scopus | TITLE-ABS-KEY ((“degradation resistant”) OR (“ester free”) OR (“hydroly* resistan*”) OR (“ether based”) OR (“hydrolytic stability”) OR (“methacrylamide based”) OR (“ether linkage”) OR (“ether group”)) AND ((“resin”) OR (adhes*) OR (“dentin bonding agent”) OR (“dental polymer”) OR (“dental adhes*”)) AND ((dentin*) OR (“hybrid layer”)) AND ((bond*) OR (“bond strength”) OR (“tensile strength”) OR (“bond interface”) OR (“aging”)) | 
| SciELO | ((degradation resistant) OR (ester free) OR (hydroly* resistan*) OR (ether based) OR (hydrolytic stability) OR (methacrylamide based) OR (ether linkage) OR (ether group)) AND ((resin) OR (adhes*) OR (dentin bonding agent) OR (dental polymer) OR (dental adhes*)) AND ((dentin*) OR (hybrid layer)) AND ((bond*) OR (bond strength) OR (tensile strength) OR (bond interface) OR (aging)) | 
| EMBASE | ((“degradation resistant” or “ester free” or “hydroly* resistan*” or “ether based” or “hydrolytic stability” or “methacrylamide based” or “ether linkage” or “ether group”) and (resin or adhes* or “dentin bonding agent” or “dental polymer” or “dental adhes*”) and (dentin* or “hybrid layer”) and (bond* or “bond strength” or “tensile strength” or “bond interface” or “aging”)) | 
| Author | Country | Sample Size  | Experimental Monomer | Experimental Groups | Aging Method | Aging Period | Conclusion | 
|---|---|---|---|---|---|---|---|
| Fugolin et al. (2020) [26] | United States | n = 6 | 2-hydroxyethyl methacrylate (HEMA) N-hydroxyethyl methacrylamide (HEMAM) N-hydroxyethyl methacrylamide with Methacrylate functionality (HEMAM Hy) HEMAM modified with methyl substituents on the first (alpha) carbon (2dMM) 2dMM with methacrylate functionalities (2dMM Hy) HEMAM modified with ethyl substituents on the first (alpha) carbon (2EM) 2EM with methacrylate functionalities (2EM Hy)  | Control group: Adper Single Bond [ER] (3M ESPE) Exp_1: Experimental adhesive with HEMA Exp_2: Experimental adhesive with HEMAM Exp_3: Experimental adhesive with HEMAM Hy Exp_4: Experimental adhesive with 2dMM Exp_5: Experimental adhesive with 2dMM Hy  | Water storage | 6 months | The hybrid versions methacrylate/methacrylamide showed lower values of water sorption and solubility. The µTBS values between 48 h and 6 months were reduced only for the HEMA and both 2dMM materials. | 
| Fugolin et al. (2020) [28] | United States | n = 6 | N, N-Diethyl-1,3-bis(acrylamido)propane (DEBAAP) N, N-Bis[(3-methylaminoacryl) propyl] methylamine (BMAAPMA) Tris[(2-methylaminoacryl) ethyl] amine (TMAAEA) N, N’-bis(acrylamido) 1,4-diazepane (BAADA)  | Control group: Adper Single Bond 2 [ER] (3M ESPE) Exp_1: Experimental adhesive with 2-Hydroxyethyl methacrylate (HEMA) Exp_2: Experimental adhesive with DEBAAP Exp_3: Experimental adhesive with BMAAPMA Exp_4: Experimental adhesive with TMAAEA Exp_5: Experimental adhesive with BAADA  | Water storage (distilled water) | 6 months | The acrylamide-containing materials presented enhanced interfacial bond strength stability compared to the methacrylate control and demonstrated higher water sorption. | 
| Fugolin et al. (2021) [32] | United States | n = 6 | 2-hydroxyethyl methacrylamide (HEMAM) 2-hydroxy-1-methylethyl methacrylamide (1-methyl HEMAM) 2-hydroxy-2-methylethyl methacrylamide (2-methyl HEMAM)  | Control group: Adper Single Bond [ER] (3M ESPE, St. Paul, MN, USA) Exp_1: Experimental adhesive with 2-hydroxyethylmethacrylate (HEMA) Exp_2: Experimental adhesive with 72% β-substituted 2-hydroxy-2-methylethyl methacrylamide and 28% α-substituted 2-hydroxy 1-methylethyl methacrylate (HEMA α-β mixture) Exp_3: Experimental adhesive with HEMAM Exp_4: Experimental adhesive with 1-methyl HEMAM Exp_5: Experimental adhesive with 2-methyl HEMAM  | Water storage (distilled water) | 6 months | Methacrylamides presented increased resistance to hydrolysis and higher bond strengths than the analogous methacrylates. | 
| Yu et al. (2021) [33]  | China | n = 10 | Adhesive based on collagen reactive monomer (CBA)  | Control group_1: Solobond M [ER] (VOCO) + phosphoric acid + Dry Bonding technique Control group_2: Solobond M [ER] (VOCO) + phosphoric acid + Wet Bonding technique Control goup_3: Solobond M [ER] (VOCO) + 1 wt% of carboxymethyl chitosan (CMCS) + Dry Bonding technique Control group_4: SolobondM [ER] (VOCO) + 1 wt% of carboxymethyl chitosan (CMCS) + Wet Bonding technique Exp_1: Experimental adhesive with CBA + phosphoric acid + Dry Bonding technique Exp_2: Experimental adhesive with CBA + phosphoric acid + Wet Bonding technique Exp_3: Experimental adhesive with CBA + 1 wt% of carboxymethyl chitosan (CMCS) + Dry Bonding technique Exp_4: Experimental adhesive with CBA + 1 wt% of carboxymethyl chitosan (CMCS) + Wet Bonding technique  | Thermocycling | 30,000 cycles | The bonding scheme containing CMCS and CBA achieved promising dentin bonding strength and durability when used with the dry-bonding technique. | 
| Zhao et al. (2021) [30] | China | n = 9 | Urushiol derivatives | Control group: Adper Single Bond 2 [ER] (3M, St. Paul, MN, USA). Exp_1: Experimental adhesive with 55 wt% of urushiol derivative and 45 wt% of HEMA Exp_2: Experimental adhesive with 60 wt% of urushiol derivative and 40 wt% of HEMA Exp_3: Experimental adhesive with 65 wt% of urushiol derivative and 35 wt% of HEMA Exp_4: Experimental adhesive with 70 wt% of urushiol derivative and 30 wt% of HEMA  | Thermocycling | 5000 cycles | The water sorption/solubility of the novel urushiol derivative monomer was significantly lower, whilst the µTBS were higher compared to the control group. | 
| Alkattan et al. (2022) [31] | United Kingdom | n = 6 | Eugenyl methacrylate  (EgMA)  | Control group: Experimental adhesive without Eugenyl methacrylate (EgMA0) Exp_1: Experimental adhesive with eugenyl methacrylate at concentration of 10 wt% (EgMA10) Exp_2: Experimental adhesive with eugenyl methacrylate at concentration of 20 wt% (EgMA20)  | Water storage (distilled water) | 6 months | Higher concentrations of EgMA in the adhesive significantly demonstrated lower water sorption and solubility and improved bond durability after aging. | 
| Zhao et al. (2022) [34] | China | n = 6 | Urushiol derivatives | Control group: Adper Single Bond 2 [ER] (3M, St. Paul) Exp_1: Experimental primer with Ethanol Exp_2: Experimental primer with urushiol at concentration of 0.1 wt% dissolved in ethanol (Ethanol Urushiol 0.1%) Exp_3: Experimental primer with urushiol at concentration of 0.5 wt% dissolved in ethanol (Ethanol Urushiol 0.5%) Exp_4: Experimental primer with urushiol at concentration of 0.7 wt% dissolved in ethanol (Ethanol Urushiol 0.7%) Exp_5: Experimental primer with urushiol at concentration of 1 wt% dissolved in ethanol (Ethanol Urushiol 1%) Exp_6: Experimental primer with DMSO Exp_7: Experimental primer with urushiol at concentration of 0.1 wt% dissolved in DMSO (DMSO Urushiol 0.1%) Exp_8: Experimental primer with urushiol at concentration of 0.5 wt% dissolved in DMSO (DMSO Urushiol 0.5%) Exp_9: Experimental primer with urushiol at concentration of 0.7 wt% dissolved in DMSO (DMSO Urushiol 0.7%) Exp_10: Experimental primer with urushiol at concentration of 1 wt% dissolved in DMSO (DMSO Urushiol 1%)  | Thermocycling | 5000 cycles | The application of urushiol primer shoved improved bonding strength, particularly after aging. | 
| ER = Etch-and-rinse; µTBS = microtensile bond strength | |||||||
| Author | D1: Bias in Planning and Allocation | D2: Bias in Specimen Preparation | D3: Bias in Outcome Assessment | D4: Bias in Data Treatment and Reporting | |||||
|---|---|---|---|---|---|---|---|---|---|
| Control Group | Sample Size Calculation  | Correct Randomization of Samples  | Identical Experimental Conditions  | Standardization of Samples and Materials | Adequate and Standardized Testing Procedures/ Outcomes  | Blinding of the Testing Operator  | Appropriate Statistical Analysis  | Correct Reporting of Outcomes  | |
| Fugolin et al. (2020) [26] | Reported | Not reported | Not reported | Reported | Reported | Insufficiently reported  | Not reported | Insufficiently reported  | Insufficiently reported | 
| Fugolin et al. (2020) [28] | Reported | Not reported | Not reported | Reported | Reported | Insufficiently reported  | Not reported | Insufficiently reported  | Insufficiently reported | 
| Fugolin et al. (2021) [32] | Reported | Not reported | Not reported | Reported | Reported | Insufficiently reported  | Not reported | Insufficiently reported  | Insufficiently reported | 
| Yu et al. (2021) [33]  | Reported | Not reported | Not reported | Insufficiently reported  | Reported | Insufficiently reported  | Not reported | Reported | Insufficiently reported | 
| Zhao et al. (2021) [30] | Reported | Not reported | Insufficiently reported  | Insufficiently reported  | Reported | Insufficiently reported  | Not reported | Reported | Reported | 
| Alkattan et al. (2022) [30] | Reported | Not reported | Not reported | Insufficiently reported  | Reported | Insufficiently reported  | Not reported | Reported | Reported | 
| Zhao et al. (2022) [34] | Reported | Not reported | Insufficiently reported  | Insufficiently reported  | Insufficiently reported  | Not reported | Not reported | Insufficiently reported  | Insufficiently reported | 
Publisher’s Note: MDPI stays neutral with regard to jurisdictional claims in published maps and institutional affiliations.  | 
© 2022 by the authors. Licensee MDPI, Basel, Switzerland. This article is an open access article distributed under the terms and conditions of the Creative Commons Attribution (CC BY) license (https://creativecommons.org/licenses/by/4.0/).
Share and Cite
Mocharko, V.; Mascarenhas, P.; Azul, A.M.; Delgado, A.H.S. In Search of Novel Degradation-Resistant Monomers for Adhesive Dentistry: A Systematic Review and Meta-Analysis. Biomedicines 2022, 10, 3104. https://doi.org/10.3390/biomedicines10123104
Mocharko V, Mascarenhas P, Azul AM, Delgado AHS. In Search of Novel Degradation-Resistant Monomers for Adhesive Dentistry: A Systematic Review and Meta-Analysis. Biomedicines. 2022; 10(12):3104. https://doi.org/10.3390/biomedicines10123104
Chicago/Turabian StyleMocharko, Vlasta, Paulo Mascarenhas, Ana Mano Azul, and António H. S. Delgado. 2022. "In Search of Novel Degradation-Resistant Monomers for Adhesive Dentistry: A Systematic Review and Meta-Analysis" Biomedicines 10, no. 12: 3104. https://doi.org/10.3390/biomedicines10123104
APA StyleMocharko, V., Mascarenhas, P., Azul, A. M., & Delgado, A. H. S. (2022). In Search of Novel Degradation-Resistant Monomers for Adhesive Dentistry: A Systematic Review and Meta-Analysis. Biomedicines, 10(12), 3104. https://doi.org/10.3390/biomedicines10123104
        
