Quantification of Pharmaceutical Bitterness Using a Membrane Electrode Based on a Hydrophobic Tetrakis [3,5-Bis (trifluoromethyl) phenyl] Borate
Abstract
1. Introduction
2. Materials and Methods
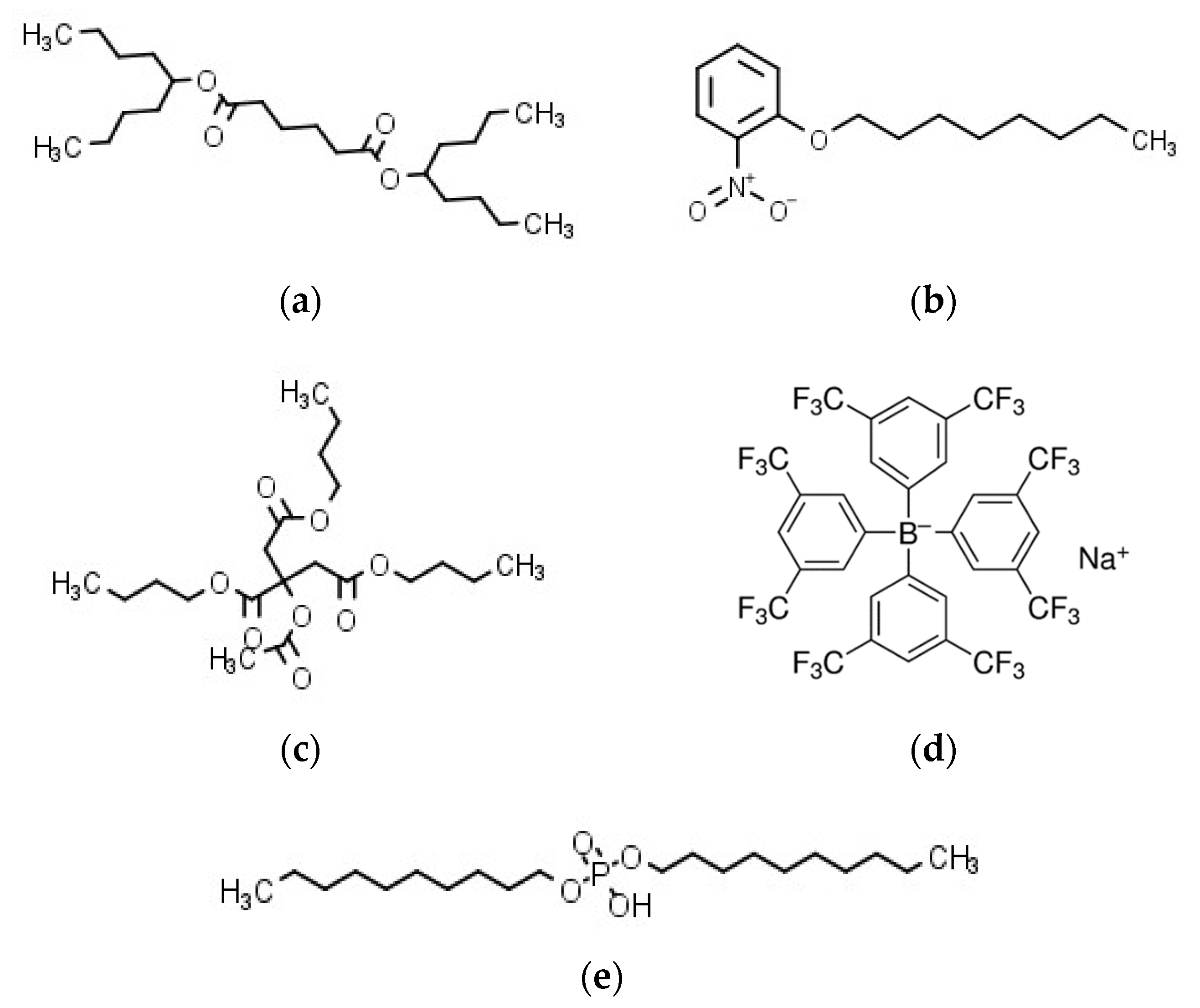
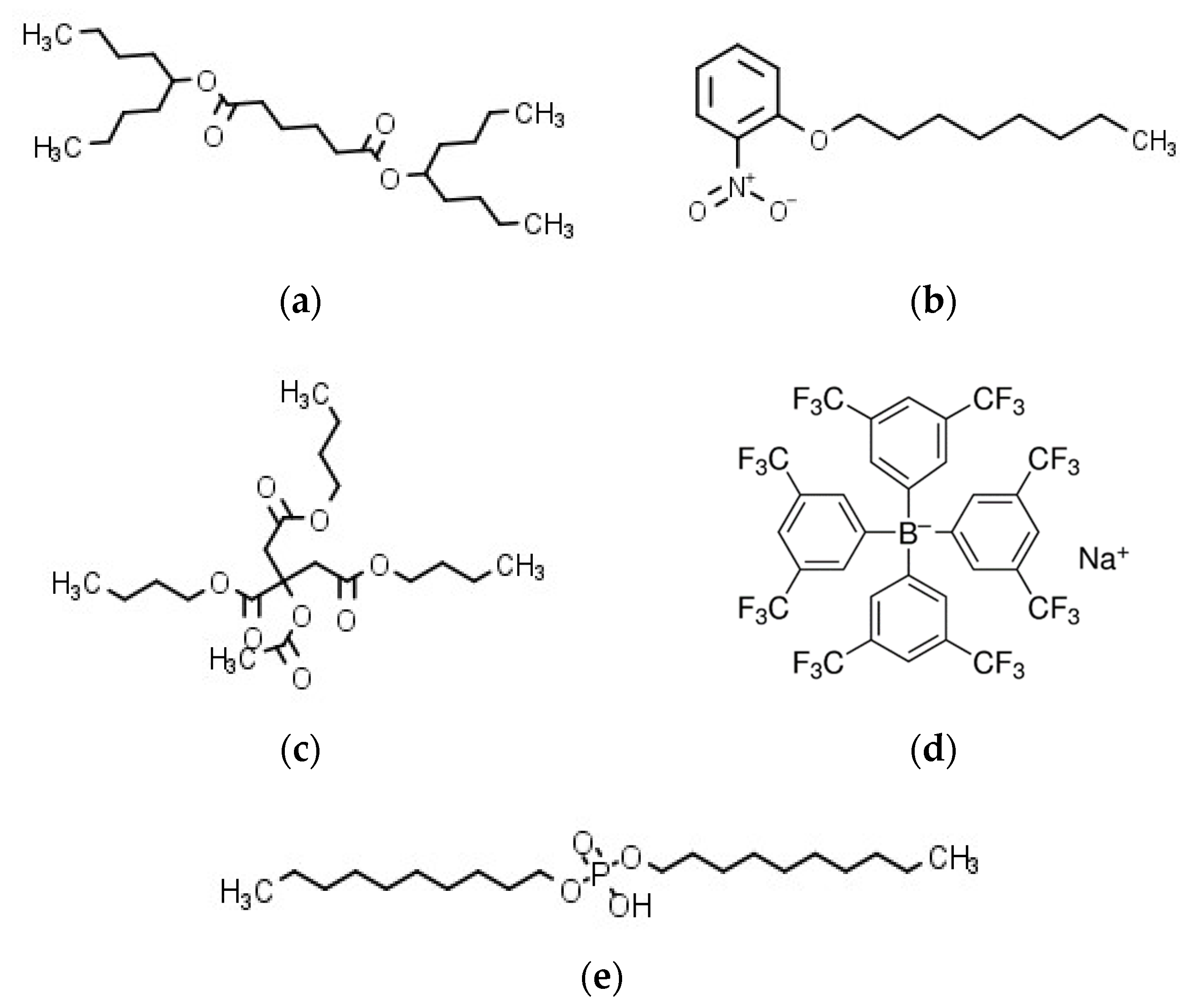
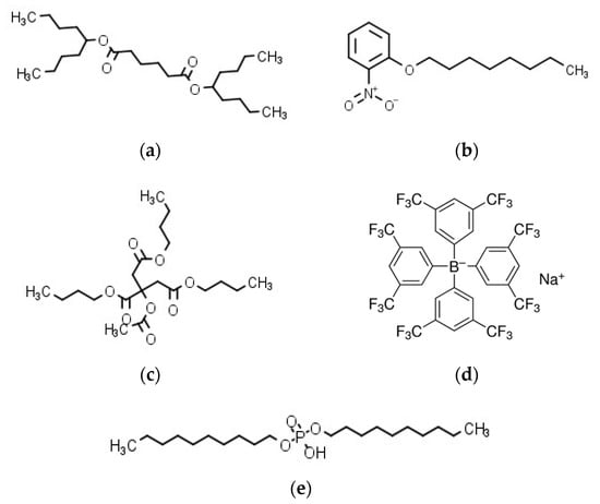
2.1. Materials
2.2. Fabrication Process of the Sensor Electrode
2.3. Measurement Procedure
2.4. Investigation of TFPB Contents
2.5. Contact Angle
2.6. Adsorption Amount
2.7. Evaluation of TFPB-NPOE Membranes
2.8. Long-Term Stability Test
3. Results and Discussion
3.1. Bitterness Responses with TFPB-BBPA-TBAC Membranes
3.1.1. Sensor Responses
3.1.2. Characteristics of Adsorption
3.2. Evaluation of Bitterness Sensining with TFPB-NPOE Membranes
4. Conclusions
Author Contributions
Funding
Institutional Review Board Statement
Informed Consent Statement
Data Availability Statement
Conflicts of Interest
References
- Mennella, J.; Spector, A.; Reed, D.C. Bad taste of medicines. Clin. Ther. 2013, 35, 1225–1246. [Google Scholar] [CrossRef] [PubMed]
- Anand, V.; Kataria, M.; Kukkar, V.; Saharan, V.; Choudhury, P.K. The latest trends in the taste assessment of pharmaceuticals. Drug Discov. Today 2007, 12, 257–265. [Google Scholar] [CrossRef] [PubMed]
- Winquist, F. Voltammetric electronic tongues–Basic principles and applications. Microchim. Acta 2008, 163, 3–10. [Google Scholar] [CrossRef]
- Facure, M.H.M.; Mercante, L.A.; Mattoso, L.H.C.; Correa, D.S. Detection of trace levels of organophosphate pesticides using an electronic tongue based on graphene hybrid nanocomposites. Talanta 2017, 167, 59–66. [Google Scholar] [CrossRef]
- Ciosek, P.; Wróblewski, W. Sensor arrays for liquid sensing—Electronic tongue systems. Analyst 2007, 132, 963–978. [Google Scholar] [CrossRef] [PubMed]
- Marx, Í.; Rodrigues, N.; Dias, L.G.; Veloso, A.C.A.; Pereira, J.A.; Drunkler, D.A.; Peres, A.M. Sensory classification of table olives using an electronic tongue: Analysis of aqueous pastes and brines. Talanta 2017, 162, 98–106. [Google Scholar] [CrossRef]
- Citterio, D.; Suzuki, K. Smart taste sensors. Anal. Chem. 2008, 80, 3965–3972. [Google Scholar]
- Nuñez, L.; Cetó, X.; Pividori, M.I.; Zanoni, M.V.B.; del Valle, M. Development and application of an electronic tongue for detection and monitoring of nitrate, nitrite and ammonium levels in waters. Microchem. J. 2013, 110, 273–279. [Google Scholar] [CrossRef]
- Daikuzono, C.M.; Dantas, C.A.R.; Volpati, D.; Constantino, C.J.L.; Piazzetta, M.H.O.; Gobbi, A.L.; Taylor, D.M.; Oliveira, O.N.; Riul, A. Microfluidic electronic tongue. Sens. Actuators B Chem. 2015, 207, 1129–1135. [Google Scholar] [CrossRef]
- Wu, X.; Tahara, Y.; Yatabe, R.; Toko, K. Taste sensor: Electronic tongue with lipid membranes. Anal. Sci. 2020, 36, 147–159. [Google Scholar] [CrossRef]
- Hayashi, N.; Ujihara, T.; Chen, R.; Irie, K.; Ikezaki, H. Objective evaluation methods for the bitter and astringent taste intensities of black and oolong teas by a taste sensor. Food Res. Int. 2013, 53, 816–821. [Google Scholar] [CrossRef]
- Kobayashi, Y.; Habara, M.; Ikezazki, H.; Chen, R.; Naito, Y.; Toko, K. Advanced taste sensors based on artificial lipids with global selectivity to basic taste qualities and high correlation to sensory scores. Sensors 2010, 10, 3411–3443. [Google Scholar] [CrossRef] [PubMed]
- Tahara, Y.; Toko, K. Electronic tongues-a review. IEEE Sens. J. 2013, 13, 3001–3011. [Google Scholar] [CrossRef]
- Ito, M.; Wada, K.; Yoshida, M.; Hazekawa, M. Quantitative evaluation of bitterness of H-1-receptor antagonists and masking effect of acesulfame potassium, an artificial sweetener, using a taste sensor. Sens. Mater. 2013, 25, 17–30. [Google Scholar]
- Tahara, Y.; Hattori, T.; Wu, X.; Yatabe, R.; Ikezaki, H.; Habara, M.; Toko, K. Development of sweetness sensor for high-potency sweeteners using lipid polymer membrane. In Proceedings of the 2017 ISOCS/IEEE International Symposium on Olfaction and Electronic Nose (ISOEN), Montreal, QC, Canada, 28–31 May 2017; pp. 265–266. [Google Scholar]
- Kobayashi, Y.; Hamada, H.; Yamaguchi, Y.; Ikezaki, H.; Toko, K. Development of an artificial lipid-based membrane sensor with high selectivity and sensitivity to the bitterness of drugs and with high correlation with sensory score. IEEJ Trans. Electr. Electron. Eng. 2009, 4, 710–719. [Google Scholar] [CrossRef]
- Wu, X.; Onitake, H.; Huang, Z.; Shiino, T.; Tahara, Y.; Yatabe, R.; Ikezaki, H.; Toko, K. Improved durability and sensitivity of bitterness-sensing membrane for medicines. Sensors 2017, 17, 2541. [Google Scholar] [CrossRef]
- Kobayashi, H.; Sonoda, T.; Iwamoto, H.; Yoshimura, M. Tetrakis [3,5-di( F -Methyl) phenyl] borate as the first Efficient negatively charged phase transfer catalyst. Kinetic evidences. Chem. Lett. 1981, 10, 579–580. [Google Scholar] [CrossRef]
- Nishida, H.; Takada, N.; Yoshimura, M.; Sonoda, T.; Kobayashi, H. Tetrakis [3,5-bis(trifluoromethyl) phenyl] borate. Highly lipophilic stable anionic agent for solvent-extraction of cations. Bull. Chem. Soc. Jpn. 1984, 57, 2600–2604. [Google Scholar] [CrossRef]
- Nishi, N.; Imakura, S.; Kakiuchi, T. Wide electrochemical window at the interface between water and a hydrophobic room-temperature ionic liquid of tetrakis [3,5-bis(trifluoromethyl) phenyl] borate. Anal. Chem. 2006, 78, 2726–2731. [Google Scholar] [CrossRef]
- Ichikawa, J.; Kobayashi, H.; Sonoda, T. Anionic phase-transfer catalysis with TFPB ion. J. Synth. Org. Chem. Jpn. 1988, 46, 943–954. [Google Scholar] [CrossRef][Green Version]
- Peper, S.; Gonczy, C. Potentiometric response characteristics of membrane-based Cs+-selective electrodes containing ionophore-functionalized polymeric microspheres. Int. J. Electrochem. 2011, 2011, 1–8. [Google Scholar] [CrossRef]
- Wakida, S.; Masadome, T.; Imato, T. Response mechanism of additive salt effects of potassium-selective neutral carrier based electrode using their liquid membrane based ion-sensitive field. Anal. Sci. 2001, 17, 15–18. [Google Scholar]
- Faozia, H.; Itadani, N.; Nomura, M.; Suzuki, K.; Yasui, T.; Takada, K.; Yuchi, A. Potential changes during in situ formation of carriers for cationic surfactant ion-selective electrodes by conditioning. J. Electroanal. Chem. 2013, 696, 20–23. [Google Scholar] [CrossRef]
- Ying, K.S.; Lee, Y.H.; Hassan, N.I.; Hasbullah, S.A. A new copper ionophore N1, N3-Bis [[3,5-bis(trifluoromethyl)phenyl] carbamothioyl] isophtalamide for potentiometric sensor. Sains Malays. 2018, 47, 2657–2666. [Google Scholar]
- Yatabe, R.; Noda, J.; Tahara, Y.; Naito, Y.; Ikezaki, H.; Toko, K. Analysis of a lipid/polymer membrane for bitterness sensing with a preconditioning process. Sensors 2015, 15, 22439–22450. [Google Scholar] [CrossRef]
- Harada, Y.; Tahara, Y.; Toko, K. Study of the relationship between taste sensor response and the amount of epigallocatechin gallate adsorbed onto a lipid-polymer membrane. Sensors 2015, 15, 6241–6249. [Google Scholar] [CrossRef]
- Fukagawa, T.; Tahara, Y.; Yasuura, M.; Habara, M.; Ikezaki, H.; Toko, K. Relationship between taste sensor response and amount of quinine adsorbed on lipid/polymer membrane. J. Innov. Electron. Commun. 2012, 2, 1–6. [Google Scholar]
- Toko, K.; Hara, D.; Tahara, Y.; Yasuura, M.; Ikezaki, H. Relationship between the amount of bitter substances adsorbed onto lipid/polymer membrane and the electric response of taste sensors. Sensors 2014, 14, 16274–16286. [Google Scholar] [CrossRef]
- Harada, Y.; Noda, J.; Yatabe, R.; Ikezaki, H.; Toko, K. Research on the changes to the lipid/polymer membrane used in the acidic bitterness sensor caused by preconditioning. Sensors 2016, 16, 230. [Google Scholar] [CrossRef]
- Mukherjee, S.; Ghosh, M. Studies on performance evaluation of a green plasticizer made by enzymatic esterification of furfuryl alcohol and castor oil fatty acid. Carbohydr. Polym. 2017, 157, 1076–1084. [Google Scholar] [CrossRef]
- Watanabe, M.; Toko, K.; Sato, K.; Kina, K.; Takahashi, Y.; Iiyama, S. Charged impurities of plassticizer used for ion-selective electrode and taste sensor. Sens. Mater. 1998, 10, 103–112. [Google Scholar]













Publisher’s Note: MDPI stays neutral with regard to jurisdictional claims in published maps and institutional affiliations. |
© 2021 by the authors. Licensee MDPI, Basel, Switzerland. This article is an open access article distributed under the terms and conditions of the Creative Commons Attribution (CC BY) license (http://creativecommons.org/licenses/by/4.0/).
Share and Cite
Wu, X.; Shiino, T.; Tahara, Y.; Ikezaki, H.; Toko, K. Quantification of Pharmaceutical Bitterness Using a Membrane Electrode Based on a Hydrophobic Tetrakis [3,5-Bis (trifluoromethyl) phenyl] Borate. Chemosensors 2021, 9, 28. https://doi.org/10.3390/chemosensors9020028
Wu X, Shiino T, Tahara Y, Ikezaki H, Toko K. Quantification of Pharmaceutical Bitterness Using a Membrane Electrode Based on a Hydrophobic Tetrakis [3,5-Bis (trifluoromethyl) phenyl] Borate. Chemosensors. 2021; 9(2):28. https://doi.org/10.3390/chemosensors9020028
Chicago/Turabian StyleWu, Xiao, Takeshi Shiino, Yusuke Tahara, Hidekazu Ikezaki, and Kiyoshi Toko. 2021. "Quantification of Pharmaceutical Bitterness Using a Membrane Electrode Based on a Hydrophobic Tetrakis [3,5-Bis (trifluoromethyl) phenyl] Borate" Chemosensors 9, no. 2: 28. https://doi.org/10.3390/chemosensors9020028
APA StyleWu, X., Shiino, T., Tahara, Y., Ikezaki, H., & Toko, K. (2021). Quantification of Pharmaceutical Bitterness Using a Membrane Electrode Based on a Hydrophobic Tetrakis [3,5-Bis (trifluoromethyl) phenyl] Borate. Chemosensors, 9(2), 28. https://doi.org/10.3390/chemosensors9020028

