Some Energy Issues for a Nanoscale Electrostatic Potential Well in Saline Solutions
Abstract
1. Introduction
2. Materials and Methods
3. Results and Discussion
3.1. Charge Distribution in the Electrostatic Potential
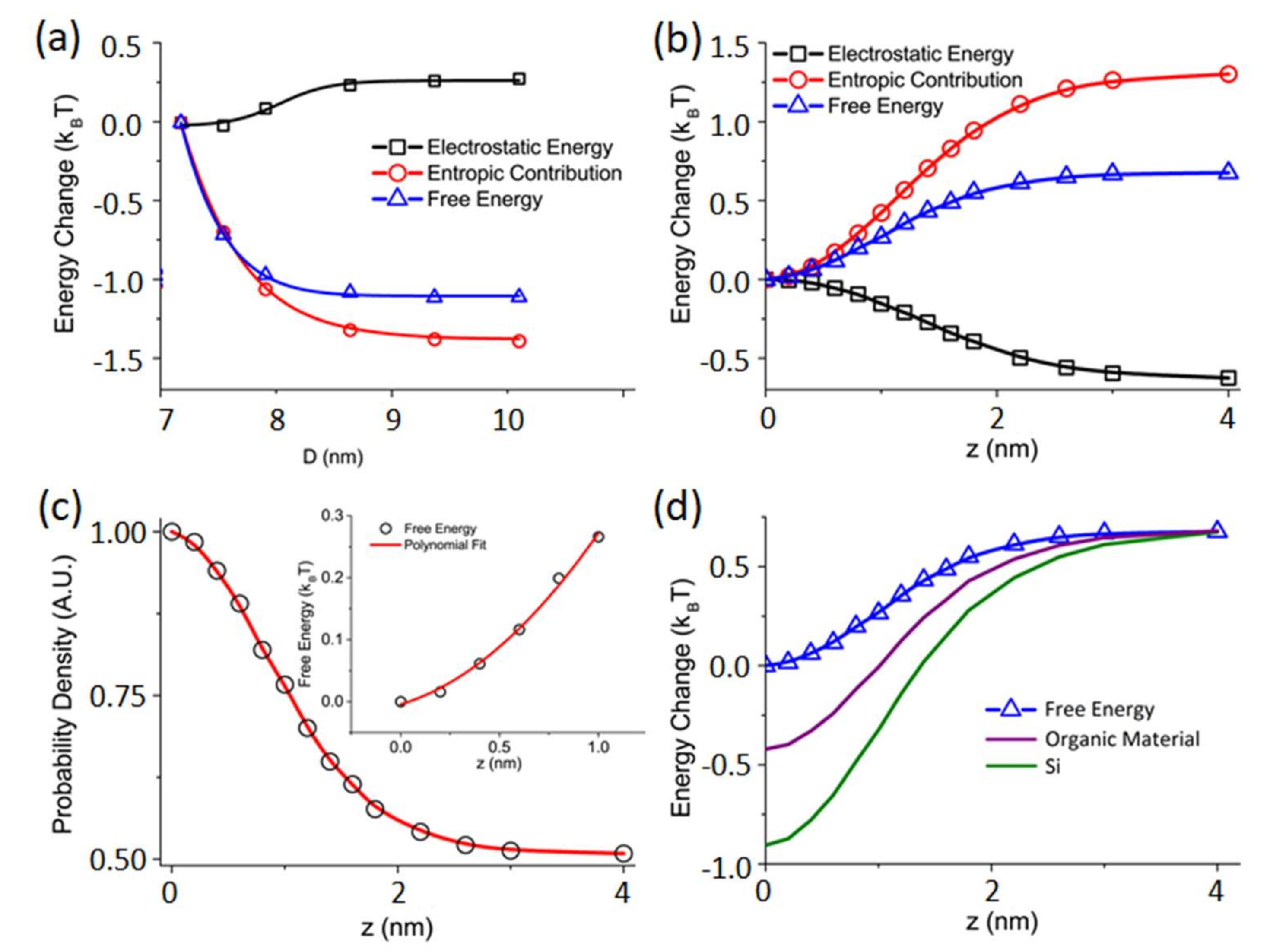
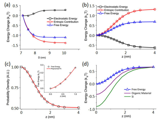
3.2. Effect of the Energy on the Trapping Performance of Nanoscale Electric Potential Trapping Wells in a Saline Solution
3.3. Trapping Capacity between Two-Pentagon Nanostructures
4. Conclusions
Author Contributions
Funding
Acknowledgments
Conflicts of Interest
References
- Cao, B.-Y.; Sun, J.; Chen, M.; Guo, Z.-Y. Molecular Momentum Transport at Fluid-Solid Interfaces in MEMS/NEMS: A Review. Int. J. Mol. Sci. 2009, 10, 4638–4706. [Google Scholar] [CrossRef] [PubMed]
- Sikder, U.; Usai, G.; Yen, T.-T.; Horace-Herron, K.; Hutin, L.; Liu, T.-J.K. Back-End-of-Line Nano-Electro-Mechanical Switches for Reconfigurable Interconnects. IEEE Electron Device Lett. 2020, 41, 625–628. [Google Scholar] [CrossRef]
- Maity, R.; Maity, N.P.; Baishya, S. An Efficient Model of Nanoelectromechanical Systems Based Ultrasonic Sensor With Fringing Field Effects. IEEE Sens. J. 2020, 20, 1746–1753. [Google Scholar] [CrossRef]
- Mendes, R.G.; Wrobel, P.S.; Bachmatiuk, A.; Sun, J.; Gemming, T.; Liu, Z.; Ruemmeli, M.H. Carbon Nanostructures as a Multi-Functional Platform for Sensing Applications. Chemosensors 2018, 6, 60. [Google Scholar] [CrossRef]
- Qiu, S.; Weng, Y.; Li, Y.; Chen, Y.; Pan, Y.; Liu, J.; Lin, W.; Chen, X.; Li, M.; Lin, T.; et al. Raman profile alterations of irradiated human nasopharyngeal cancer cells detected with laser tweezer Raman spectroscopy. RSC Adv. 2020, 10, 14368–14373. [Google Scholar] [CrossRef]
- Padgett, M.; Bowman, R. Tweezers with a twist. Nat. Photonics 2011, 5, 343–348. [Google Scholar] [CrossRef]
- Anderegg, L.; Cheuk, L.W.; Bao, Y.; Burchesky, S.; Doyle, J.M. An Optical Tweezer Array of Ultracold Molecules. Science 2019, 365, 1156–1158. [Google Scholar] [CrossRef]
- Norcia, M.A.; Young, A.W.; Eckner, W.J.; Oelker, E.; Kaufman, A.M. Seconds-scale coherence in a tweezer-array optical clock. arXiv 2019, arXiv:1904.10934. [Google Scholar] [CrossRef]
- Barredo, D.; De, L.S.; Lienhard, V.; Lahaye, T.; Browaeys, A. An atom-by-atom assembler of defect-free arbitrary two-dimensional atomic arrays. Science 2016, 354, 1021–1023. [Google Scholar] [CrossRef]
- Bai, Y.; Lu, Y.; Wang, K.; Cheng, Z.; Qu, Y.; Qiu, S.; Zhou, L.; Wu, Z.; Liu, H.; Zhao, J.; et al. Rapid Isolation and Multiplexed Detection of Exosome Tumor Markers Via Queued Beads Combined with Quantum Dots in a Microarray. Nano-Micro Lett. 2019, 11. [Google Scholar] [CrossRef]
- Xiao, Z.; Kim, H.; Min, J.K. Design, Implementation, and Analysis of a 3-D Magnetic Tweezer System With High Magnetic Field Gradient. IEEE Trans. Instrum. Meas. 2019, 68, 680–687. [Google Scholar]
- Ostrofet, E.; Papini, F.S.; Dulin, D. Correction-free force calibration for magnetic tweezers experiments. Sci. Rep. 2018, 8, 17811. [Google Scholar] [CrossRef] [PubMed]
- Yao, J.; Zhu, G.; Zhao, T.; Takei, M. Microfluidic device embedding electrodes for dielectrophoretic manipulation of cells—A review. Electrophoresis 2019, 40, 1166–1177. [Google Scholar] [CrossRef] [PubMed]
- Viefhues, M.; Eichhorn, R. DNA dielectrophoresis: Theory and applications a review. Electrophoresis 2017, 38, 1483–1506. [Google Scholar] [CrossRef]
- Liang, H.; Peng, Z.; Wu, J.; Chuang, H.S.; Wang, W. On-demand dielectrophoretic immobilization and high-resolution imaging of C. elegans in microfluids. Sens. Actuators B Chem. 2017, 259, 703–708. [Google Scholar]
- Sohani, M.; Ebrahimi, A.M. Time-dependent magnetic field effects on the stability regions of a Paul trap. Eur. Phys. J. Plus 2016, 131, 1–7. [Google Scholar] [CrossRef]
- Li, H.X.; Zhang, Y.; He, S.G.; Tong, X. Determination of the geometric parameters kappa(z) and kappa(r) of a linear Paul trap. Chin. J. Phys. 2019, 60, 61–67. [Google Scholar] [CrossRef]
- Figgatt, C.; Ostrander, A.; Linke, N.M.; Landsman, K.A.; Zhu, D.; Maslov, D.; Monroe, C. Parallel Entangling Operations on a Universal Ion Trap Quantum Computer. Nature 2018, 572, 368–372. [Google Scholar] [CrossRef]
- Oleshko, V.P.; Howe, J.M. Are electron tweezers possible? Ultramicroscopy 2011, 111, 1599–1606. [Google Scholar] [CrossRef]
- Angel Castellanos-Reyes, J.; Castrejon-Figueroa, J.; Maciel-Escudero, C.; Reyes-Coronado, A. Electronic tweezers for magnesium oxide nanoparticles. Mater. Today-Proc. 2019, 13, 341–348. [Google Scholar] [CrossRef]
- Sheng-Yong, X.; Wei-Qiang, S.; Meng, Z.; Jian, X.; Lian-Mao, P. Transmission electron microscope observation of a freestanding nanocrystal in a Coulomb potential well. Nanoscale 2010, 2, 248–253. [Google Scholar]
- Zheng, H.; Mirsaidov, U.M.; Wang, L.W.; Matsudaira, P. Electron beam manipulation of nanoparticles. Nano Lett. 2012, 12, 5644–5648. [Google Scholar] [CrossRef] [PubMed]
- Madhavi, K.; Nassiredin, M.; Philipp, K.; Vahid, S. Geometry-induced electrostatic trapping of nanometric objects in a fluid. Nature 2010, 467, 692–695. [Google Scholar]
- Madhavi, K. Electrostatic free energy for a confined nanoscale object in a fluid. J. Chem. Phys. 2013, 138, 114906. [Google Scholar]
- Xu, J.; Lei, Z.; Guo, J.; Huang, J.; Wang, W.; Reibetanz, U.; Xu, S. Trapping and Driving Individual Charged Micro-particles in Fluid with an Electrostatic Device. Nano-Micro Lett. 2016, 8, 270–281. [Google Scholar] [CrossRef] [PubMed]
- Pethig, R. Review Article-Dielectrophoresis: Status of the theory, technology, and applications. Biomicrofluidics 2010, 4. [Google Scholar] [CrossRef]
- Zheng, L.; Brody, J.P.; Burke, P.J. Electronic manipulation of DNA, proteins, and nanoparticles for potential circuit assembly. Biosens. Bioelectron. 2005, 20, 606–619. [Google Scholar] [CrossRef]
- Yang, L.X.; Zhang, G.C.; Fan, N.; Guo, J.; Peng, B. Minimum damping profile of micro/nano-robot and as the carrier for drug delivery: Theory study. J. Phys. Conf. Ser. 2019, 1209, 012019. [Google Scholar] [CrossRef]
- Halder, A.; Sun, Y. Biocompatible propulsion for biomedical micro/nano robotics. Biosens. Bioelectron. 2019, 139. [Google Scholar] [CrossRef]
- Malinska, M.; Jarzembska, K.N.; Goral, A.M.; Kutner, A.; Wozniak, K.; Dominiak, P.M. Sunitinib: From charge-density studies to interaction with proteins. Acta Cryst. Sect. D-Struct. Biol. 2014, 70, 1257–1270. [Google Scholar] [CrossRef]
- Berg, B.V.D.; Clemons, W.M.; Collinson, I.; Modis, Y.; Hartmann, E.; Harrison, S.C.; Rapoport, T.A. X-ray structure of a protein-conducting channel. Nature 2003, 427, 36–44. [Google Scholar] [CrossRef]
- Fried, S.D.; Boxer, S.G. Response to Comments on “Extreme electric fields power catalysis in the active site of ketosteroid isomerase“. Science 2014, 346, 1510–1514. [Google Scholar] [CrossRef]
- Jeronimo, L.; Ram Prasad, B.; Zhen, T.; Chu Arieh, W. Methyltransferases do not work by compression, cratic, or desolvation effects, but by electrostatic preorganization. Proteins Struct. Funct. Bioinform. 2015, 83, 318–330. [Google Scholar]
- Suydam, I.T.; Snow, C.D.; Pande, V.S.; Boxer, S.G. Electric fields at the active site of an enzyme: Direct comparison of experiment with theory. Science 2006, 313, 200–204. [Google Scholar] [CrossRef] [PubMed]
- Benkovic, S.J.; Sharon, H.S. A perspective on enzyme catalysis. Science 2003, 301, 1196–1202. [Google Scholar] [CrossRef] [PubMed]
- Irina, A.; Vassylyeva, M.N.; Dmitri, S.; Vladimir, S.; Anna, P.; Noriyuki, I.; Naohiro, M.; Soichi, W.; Tahirov, T.H.; Vassylyev, D.G. Allosteric modulation of the RNA polymerase catalytic reaction is an essential component of transcription control by rifamycins. Cell 2005, 122, 351–363. [Google Scholar]
- Nelso, P.; Doniach, S. Biological Physics: Energy, Information, Life, 3rd ed.; W.H. Freeman and Company: New York, NY, USA, 2013. [Google Scholar]
- Duan, L.L.; Mei, Y.; Zhang, D.; Zhang, Q.G.; Zhang, J.Z.H. Folding of a helix at room temperature is critically aided by electrostatic polarization of intraprotein hydrogen bonds. J. Am. Chem. Soc. 2010, 132, 11159. [Google Scholar] [CrossRef]
- Cho, A.E.; Victor, G.; Berne, B.J.; Richard, F. Importance of accurate charges in molecular docking: Quantum mechanical/molecular mechanical (QM/MM) approach. J. Comput. Chem. 2005, 26, 915. [Google Scholar] [CrossRef]
- Frauke, G.T.; Schwarzl, S.M.; Annick, D.; Stefan, F.; Smith, J.C. Protein/ligand binding free energies calculated with quantum mechanics/molecular mechanics. J. Phys. Chem. B 2005, 109, 10474. [Google Scholar]
- Yi, C.; Sun, X.; Ye, J.; Ding, L.; Liu, M.; Yang, Z.; Lu, X.; Zhang, Y.; Ma, L.; Gu, W.; et al. Key residues of the receptor binding motif in the spike protein of SARS-CoV-2 that interact with ACE2 and neutralizing antibodies. Cell. Mol. Immunol. 2020. [Google Scholar] [CrossRef]
- Hussain, M.; Jabeen, N.; Raza, F.; Shabbir, S.; Baig, A.A.; Amanullah, A.; Aziz, B. Structural variations in human ACE2 may influence its binding with SARS-CoV-2 spike protein. J. Med Virol. 2020, 1–7. [Google Scholar] [CrossRef] [PubMed]
- Gascon, J.A.; Batista, V.S. QM/MM study of energy storage and molecular rearrangements due to the primary event in vision. Biophys. J. 2004, 87, 2931–2941. [Google Scholar] [CrossRef] [PubMed]
- Abrar, M.N.; Sagheer, M.; Hussain, S. Entropy generation during peristaltically flowing nanofluid in an axisymmetric channel with flexible walls. Phys. Scr. 2020, 95, 035206. [Google Scholar] [CrossRef]
- Dimova, M.; Devedjiev, Y.D. Protein crystal lattices are dynamic assemblies: The role of conformational entropy in the protein condensed phase. IUCrJ 2018, 5, 130–140. [Google Scholar] [CrossRef] [PubMed]
- Roudbari, M.A.; Jorshari, T.D.; Arani, A.G.; Lu, C.; Rabczuk, T. Transient responses of two mutually interacting single-walled boron nitride nanotubes induced by a moving nanoparticle. Eur. J. Mech. A-Solids 2020, 82, 103978. [Google Scholar] [CrossRef]
- De Luca, S.; Chen, F.; Seal, P.; Stenzel, M.H.; Smith, S.C. Binding and Release between Polymeric Carrier and Protein Drug: pH-Mediated Interplay of Coulomb Forces, Hydrogen Bonding, van der Waals Interactions, and Entropy. Biomacromolecules 2017, 18, 3665–3677. [Google Scholar] [CrossRef]
- Munday, D.L. Surfaces, Interfaces and Colloids—Principles and Applications, 2nd ed.; Myers, D., Ed.; Wiley-VCH: New York, NY, USA, 1999. [Google Scholar]
- Evans, D.F.; Wennerström, H. The Colloidal Domain: Where Physics, Chemistry, Biology, and Technology Meet; VCH Publishers: New York, NY, USA, 1999. [Google Scholar]
- Stigter, D. Evaluation of the counterion condensation theory of polyelectrolytes. Biophys. J. 1995, 69, 380. [Google Scholar] [CrossRef]
- Theodoor, J.; Overbeek, G. The role of energy and entropy in the electrical double layer. Colloids Surf. 1990, 51, 61–75. [Google Scholar] [CrossRef]
- Hamaker, H.C. The London—van der Waals attraction between spherical particles. Physica 1937, 4, 1058–1072. [Google Scholar] [CrossRef]




© 2020 by the authors. Licensee MDPI, Basel, Switzerland. This article is an open access article distributed under the terms and conditions of the Creative Commons Attribution (CC BY) license (http://creativecommons.org/licenses/by/4.0/).
Share and Cite
Guo, J.; Lei, Z.; Wang, F.; Xu, J.; Xu, S. Some Energy Issues for a Nanoscale Electrostatic Potential Well in Saline Solutions. Chemosensors 2020, 8, 50. https://doi.org/10.3390/chemosensors8030050
Guo J, Lei Z, Wang F, Xu J, Xu S. Some Energy Issues for a Nanoscale Electrostatic Potential Well in Saline Solutions. Chemosensors. 2020; 8(3):50. https://doi.org/10.3390/chemosensors8030050
Chicago/Turabian StyleGuo, Jingkun, Zijin Lei, Fan Wang, Jingjing Xu, and Shengyong Xu. 2020. "Some Energy Issues for a Nanoscale Electrostatic Potential Well in Saline Solutions" Chemosensors 8, no. 3: 50. https://doi.org/10.3390/chemosensors8030050
APA StyleGuo, J., Lei, Z., Wang, F., Xu, J., & Xu, S. (2020). Some Energy Issues for a Nanoscale Electrostatic Potential Well in Saline Solutions. Chemosensors, 8(3), 50. https://doi.org/10.3390/chemosensors8030050

