Abstract
Dragon fruit (Hylocereus spp.), a globally popular tropical fruit, is highly regarded for its unique sensory attributes and potential health benefits. However, the volatile organic compound (VOC) profiles that define its aroma and flavor are underexplored. This exploratory study investigates the VOC profiles of Australian-grown and imported dragon fruit, focusing on free volatiles and glycosidically bound volatiles released through acid and enzymatic hydrolysis. The analysis aims to uncover the competitive advantages of Australian-grown dragon fruit, providing a scientific foundation for establishing industry standards in Australia, where such standards are currently absent. Using gas chromatography–mass spectrometry (GC-MS) and statistical analysis such as principal component analysis (PCA), this study revealed significant differences in VOC profiles influenced by variety and growing region. Northern Territory-grown white-fleshed dragon fruit (NTW) displayed the most diverse and unique volatile profile, with key unique contributors such as acetoin, phenylethyl alcohol, and prenol, highlighting its potential as a premium product. Despite regional similarities, Queensland-grown white- (QLDW) and red-fleshed (QLDR) dragon fruit exhibited distinct profiles, with compounds such as farnesol and linoleic acid ethyl ester serving as distinguishing markers. Overseas white- (OverseasW) and red-fleshed (OverseasR) samples had less complex profiles, likely related to earlier harvesting and postharvest treatments, emphasizing the impact of such practices on volatile complexity. Glycosidically bound volatiles were identified as latent precursors that enhance aroma during ripening and processing. This research underscores the importance of VOC profiling in potentially assisting with establishing industry standards for Australian dragon fruit, enabling the differentiation of domestic varieties from imports and enhancing market competitiveness. As this is a novel and exploratory study, future research should prioritize the identification of unknown compounds and refine methodologies to better understand the dynamic changes in VOCs during storage and ripening. These findings provide valuable insights for optimizing postharvest practices and developing standards that support the Australian dragon fruit industry’s growth and global positioning.
1. Introduction
Dragon fruit was first introduced to Australia during the 1970s, with its cultivation subsequently expanding to several regions, including Queensland (QLD), the Northern Territory (NT), Western Australia (WA), and New South Wales (NSW) [1]. By 2010, the NT emerged as the leading production region, hosting approximately 35,000 planting sites (each site containing around three individual plants) and contributing over 60% of national production, which comprised more than 50,000 planting sites in total [2]. Additionally, Southeast Queensland has experienced significant growth in cultivation, driven by increasing market demand, and thus, this research primarily focuses on Northern Territory-grown and Queensland-grown dragon fruit to represent the Australian market.
Volatile organic compounds (VOCs) are critical determinants of fruit aroma and flavor, significantly influencing consumer preferences and market value. In dragon fruit (Hylocereus spp.), VOCs contribute to sensory appeal, defining its distinct aroma and enhancing its desirability in both domestic and international markets. While free volatiles directly impact aroma, glycosidically bound volatiles remain odorless, inactive precursors until enzymatic or acid hydrolysis liberates their aromatic aglycones [3]. These bound volatiles act as a suppressed precursor of aroma compounds, holding the potential to intensify the fruit’s flavor profile and sensory complexity when appropriately activated.
Glycosylation plays a pivotal role in the modulation of volatile compounds, where aglycones are chemically conjugated to sugar moieties to form non-volatile glycosides [4]. This process stabilizes volatile compounds by storing them in a bound state, which can later be hydrolyzed under specific enzymatic or chemical conditions to release aromatic aglycones. Such mechanisms are well documented in grapes, where glycosidically bound aroma compounds such as monoterpenes, C13 norisoprenoids, and benzene derivatives are stored in vacuoles and released during fermentation or aging [5,6]. For instance, the attachment of glucose to the hydroxyl group of an aglycone forms a β-D-glucopyranoside linkage, which can be cleaved by acid or enzymatic hydrolysis to liberate the free volatile compound and glucose [7].
Understanding this glycosylation pathway is crucial for dragon fruit, as a significant portion of its aroma profile is hypothesized to reside in glycosidically bound forms, like cupuacu, tamarillo, mango, and banana. Cupuacu (Theobroma grandiflorum), a tropical Amazonian fruit, exhibits significant aroma potential due to its glycosidically bound volatile compounds. Studies revealed that the enzymatic hydrolysis of glycosidic extracts released a diverse range of aglycones, with 47 identified compounds, of which 24 were unique to the bound fraction and absent in the free volatile pool. Key aglycones included linalool, 2-phenylethanol, and (Z)-2,6-dimethyl-octa-2,7-dien-1,6-diol, which contribute significantly to the fruit’s aroma profile. Glycosides such as linalyl glucopyranosides and rutinosides were also identified, highlighting their role as aroma precursors that can release volatiles during enzymatic or chemical hydrolysis. These findings emphasize the importance of glycosidically bound volatiles in enhancing the sensory quality of cupuacu and its derived products [8]. Tamarillo (Solanum betaceum) contains both free and glycosidically bound volatile compounds that influence its characteristic aroma. Research on tamarillo juices prepared from three New Zealand cultivars demonstrated a rich diversity of glycosidically bound volatiles, including monoterpenes (e.g., linalool and α-terpineol), C13-norisoprenoids (e.g., 3-hydroxy-β-damascone), and phenolic compounds (e.g., vanillin). Aglycones released through enzymatic hydrolysis were identified as potential markers for distinguishing cultivars and ripening stages. These bound volatiles serve as latent aroma contributors that can enhance the flavor profile of tamarillo products when released under specific conditions, such as acidic or enzymatic hydrolysis [9]. The African mango (Mangifera indica) is another tropical fruit rich in glycosidically bound volatiles. Studies have identified a diverse array of aglycones released upon hydrolysis, including monoterpenes (e.g., linalool oxides and α-terpineol), C13-norisoprenoids (e.g., vomifoliol and megastigmane derivatives), and phenolic compounds (e.g., vanillin). These bound volatiles, which can be enzymatically or chemically released, significantly contribute to the fruit’s aroma during ripening and processing. Additionally, the presence of specific glycosides, such as benzyl and phenylethyl rutinosides, further highlights the mango’s complex flavor potential and its application in enhancing the sensory quality of processed mango products [10]. The banana (Musa spp.) is well known for its characteristic aroma, which is partly influenced by glycosidically bound volatiles. Research on two banana cultivars, Valery and Pequeña Enana, revealed the presence of 25 aglycones released from glycosidic precursors, including alcohols (e.g., 2-phenylethanol), acids (e.g., benzoic acid), and esters. These compounds are biogenetically derived from fatty acids and shikimic acid pathways. Glycosidically bound volatiles serve as precursors that can be hydrolyzed during ripening or processing, contributing to the complex aroma profile of the banana and its products [11]. The study highlights the role of glycosides in aroma biogenesis and their potential for enhancing flavor quality in processed banana products. Similarly, applying this knowledge could uncover new strategies for intensifying dragon fruit’s aroma and flavor during postharvest handling and processing.
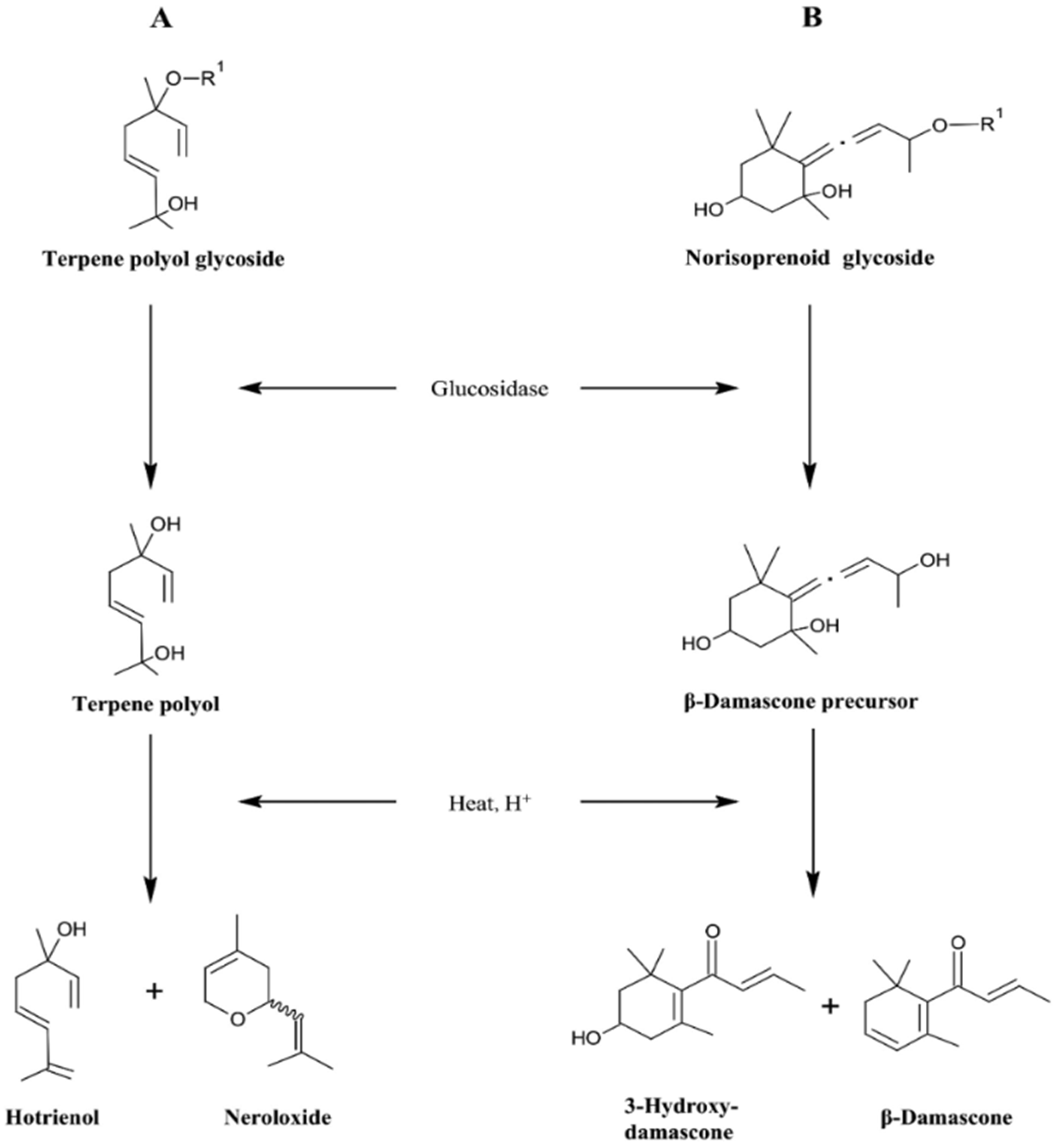
The hydrolysis of glycosides depends on several factors, including the structure of the aglycone and the conditions under which the reaction occurs. Monosaccharide glycosides are typically hydrolyzed by exo- or endoglycosidases, releasing the aglycone directly from β-D-glucose [7]. In contrast, disaccharide glycosides require a sequential hydrolysis process involving multiple glycosidases, such as α-arabinofuranosidase, α-rhamnosidase, or β-glucosidase, or single-step hydrolysis facilitated by diglycosidases [12,13]. The liberation of glycosidically bound volatiles is influenced by external conditions such as temperature and pH. For example, terpene polyol glycosides require relatively high temperatures and acidic conditions to release aromatic monoterpenes [14]. Similarly, the formation of β-damascenone from its norisoprenoid precursor involves enzymatic hydrolysis followed by acid-catalyzed rearrangements, demonstrating the importance of combined chemical and enzymatic processes in volatile release [15]. This dual pathway of hydrolysis is illustrated in Figure 1, where terpene polyol glycosides and norisoprenoid glycosides undergo distinct mechanisms to produce free volatile compounds. It is also worth noting that flavor compounds bound to glycosides can be released during consumption through the action of salivary microflora. Saliva contains enzymes, notably β-glucosidases produced by oral bacteria, which hydrolyze glycosidic bonds, releasing volatile aglycones that contribute to flavor perception. This process is significant in the consumption of various foods and beverages, where glycoside-bound aroma compounds are present [16]. The activity of these microbial enzymes in the oral cavity plays a crucial role in modulating flavor release during eating.
Figure 1.
Hydrolysis pathways of glycosidically bound volatiles [4]. (A) Terpene polyol glycosides release terpene polyols and, subsequently, aromatic compounds such as hotrienol and neroloxide through enzymatic and chemical hydrolysis. (B) Norisoprenoid glycosides yield β-damascenone precursors via enzymatic hydrolysis, followed by acid-catalyzed rearrangements to produce β-damascenone.
The study of glycosidically bound volatiles holds particular relevance for the Australian dragon fruit industry. Profiling the bound volatiles in locally grown dragon fruit could uncover unique compounds that differentiate it from imported varieties, providing a competitive edge in domestic and global markets. For example, similar research in grapes has revealed that glycosidically bound volatiles significantly influence the sensory complexity of wine, contributing floral, fruity, and other desirable notes [17]. Applying these methodologies to dragon fruit could identify latent aroma potential, enhancing its sensory appeal and positioning Australian-grown varieties as premium products.
Furthermore, understanding glycosylation pathways and hydrolysis mechanisms could inform best practices in postharvest handling, storage, and processing to preserve or enhance aroma intensity. Research indicates that during ripening and storage, bound volatiles accumulate in the early stages and are enzymatically or chemically converted into free volatiles later, enhancing the fruit’s aroma profile [18,19]. Deglycosylation, facilitated by β-glucosidase activity or acid hydrolysis, can improve aroma intensity in fruits during storage and processing, as shown in studies on citrus and grapes [20]. By optimizing these processes for dragon fruit, growers and producers could maximize the fruit’s sensory potential, improving its market competitiveness.
Despite significant advancements in understanding glycosidically bound volatiles in other fruits, the role of these compounds in dragon fruit remains largely uncharacterized, presenting a critical knowledge gap. This study aims to address this gap by profiling glycosidically bound volatiles in dragon fruit, providing valuable insights into the fruit’s aroma profile. Profiling the volatile organic compounds (VOCs) of Australian-grown dragon fruit and comparing them with imported samples could identify unique markers that can differentiate local dragon fruits. By establishing these markers, we seek to provide a scientific foundation for developing industry standards that ensure the authenticity and freshness of Australian-grown dragon fruit in the market. By combining the study of bound volatiles with existing knowledge of free volatiles, this research offers a holistic approach to understanding the aroma complexity of dragon fruit and its implications for the Australian industry.
2. Materials and Methods
2.1. Chemicals and Reagents
Dichloromethane (DCM, GC-MS grade), n-hexane (GC-MS grade), methanol (LC-MS grade), and β-glucosidase (from almond, ≥4 U/mg) were purchased from Sigma-Aldrich Australia. Hydrochloric acid (AR grade) and sodium acetate (AR grade) were purchased from Chemsupply Australia. All aqueous solutions were made using Milli-Q water. All solutions were stored at 4 °C in a refrigerator until they were used.
2.2. Sample Preparation and Extraction
Freshly harvested dragon fruit samples (28–30 days after flowering, 500 g ± 25 g in weight), including both white- (Hylocereus undatus) and red-fleshed varieties (Hylocereus polyrhizus), were collected from four farms located in Sunshine Coast, Queensland (QLDW and QLDR), and white fruit was collected from two farms in Humpty Doo, the Northern Territory (NTW). Overseas-grown white- and red-fleshed dragon fruit samples (originally from Vietnam: OverseasW and OverseasR) were procured from JE Tipper, a distributor based in Brisbane, QLD. It is worth noting that this study aims to evaluate the quality of dragon fruit available to Australian consumers, focusing on a comparison between locally grown and imported samples as they are presented in the retail market. However, the primary aim is not merely to compare local and imported dragon fruit in terms of sustainability or supply chain length but rather to provide a scientific foundation for differentiating Australian-grown dragon fruit based on volatile organic compound (VOC) profiles. This differentiation is crucial for establishing industry standards that can help consumers identify and verify the authenticity and freshness of locally grown dragon fruit in the market.
All samples underwent cleaning with tap water, followed by air-drying. The peels were removed, and the edible pulp containing seeds was homogenized using a NutriBullet 600 Series food blender. To ensure representativeness, five fruits from each farm were pooled to create a composite sample. Table 1 summarizes the detailed Brix° (tested by the refractometer PAL-1, ATAGO) and pH (tested by the pH meter Orion Star™ A211 Benchtop pH Meter, Thermo Fisher Scientific, Scoresby, Australia) of these homogenized samples. The homogenized pulp was subsequently freeze-dried for 72 h using an FTS Flexi-Dry freeze dryer (−55 °C at 50 mTorr), after which it was ground into a fine powder using a Breville Coffee and Spice grinder to prepare for further analysis.
Table 1.
Summary of Brix and pH of samples.
For the profiling of free volatile compounds in dragon fruit, the extraction method was adapted from a protocol initially developed for ginger by Johnson et al. [21] in our laboratory. Precisely 1 g of freeze-dried dragon fruit powder was combined with 5 mL of dichloromethane (DCM) in a glass tube. The mixture underwent sonication for 30 min in an ice bath using a Soniclean 250HT sonicator. Following sonication, the sample was centrifuged at 1300 rpm for 6 min using a Heraeus Megafuge 16 centrifuge (Thermo Scientific). The resulting supernatant was carefully separated, and this extraction process was repeated three more times with fresh aliquots of 5 mL DCM. The combined supernatants were concentrated to approximately 200 µL using a Ratek 4 Block Digital Dry Block Heater with a 12-way nitrogen manifold. The concentrated sample was transferred to gas chromatography (GC) vials with inserts for subsequent GC-MS analysis. Each sample was prepared in six replicates for volatile extraction: two replicates for the analysis of free volatiles, and four replicates for the analysis of glycosidically bound volatiles, which were released through acid and enzymatic hydrolysis (two replicates for each hydrolysis method). The methods for acid and enzymatic hydrolysis are described in Section 2.3.
2.3. Acid and Enzymatic Hydrolysis
To explore the occurrence of glycosidically bonded volatile compound precursors following the extraction of total free volatile compounds, two hydrolysis methods were employed: acid hydrolysis and enzymatic hydrolysis. Both methods were modified from those used for grape analysis [22,23] based on equipment and chemical availability. For acid hydrolysis, the residue remaining from the volatile extraction was pre-dried using a nitrogen evaporator and combined with 5 mL of 0.01 M HCl buffer (pH = 2). The mixture was incubated at 80 °C for 2 h in a Memmert UM300 oven. For enzymatic hydrolysis, the residue remaining from the volatile extraction was mixed with 5 mL of sodium acetate buffer (pH 5.0) and 0.5 mL of β-glucosidase enzyme solution, providing an enzyme activity of 10 units per sample. This mixture was incubated at 40 °C for 18 h in an oven. Following both hydrolysis treatments, the released volatile compounds from their respective glycosidically bound precursor forms were extracted using the same protocol described in Section 2.2.
2.4. GC-MS Parameters
Gas chromatography–mass spectrometry (GC-MS) analysis was conducted to profile the volatile compounds extracted using dichloromethane (DCM). Instrument parameters were modified from a protocol developed by Johnson et al. [21] in our laboratory. The analysis was performed on a Shimadzu GCMS-QP2010 Plus system equipped with an AOC-20i autosampler and an Agilent J&W GC DB-5ms column (30 m × 0.25 mm, 0.25 µm film thickness). A rigorous rinsing protocol was employed, involving three rinses with DCM, hexane, and methanol before and after each injection. Samples were injected in split mode with a split ratio of 30.0, using an injection volume of 1 µL at an injection temperature of 250 °C. Helium was utilized as the carrier gas, maintaining a flow rate of 1.23 mL/min at a column pressure of 79.0 kPa. The oven temperature program began at 80 °C, increased at a rate of 10 °C/min to a final temperature of 230 °C, and was held at 230 °C for 25 min, resulting in a total run time of 40 min. The ion source and interface temperatures were both set to 230 °C. The mass spectrometer operated in scan mode, capturing mass-to-charge ratios (m/z) in the range of 30–450 from 2 to 40 min of the analysis. Peaks in the total ion chromatogram (TIC) were integrated if their slope exceeded 1000 counts/min and the peak height surpassed 100,000 counts. As this analysis is an exploratory experiment, tentative compound identification was performed by comparing the obtained mass spectra only with reference spectra in the NIST library https://chemdata.nist.gov/ (accessed on 28 November 2024) with similarity above 85%.
2.5. Statistical Analysis
All samples were analyzed in duplicate. Shimadzu GCMS Solution Version 4.54 was used for data acquisition and processing. NIST 14 was used for peak identification. Venn diagram and principal component analysis (PCA) were conducted using R studio (Version 4.3.2).
3. Results
3.1. Profiling of Free Volatile Compounds
There were 30 compounds tentatively identified (7 unknown compounds included) across all samples, as outlined in Table 2. Figure 2 presents the total ion chromatograms (TICs) of the dragon fruit samples (QLDW, QLDR, NTW, OverseasW, and OverseasR). The compounds belong to diverse chemical classes, such as ketones, fatty acids, alcohols, hydrocarbons, and aldehydes, each contributing distinct sensory attributes to the overall aroma profile of the fruit.
Table 2.
Profile of free volatile compounds in dragon fruit.

Figure 2.
Total ion chromatograms of free volatile compounds extracted from dragon fruit samples. Peak number corresponds to Table 2. (a) QLDW; (b) QLDR; (c) NTW; (d) OverseasW; (e) OverseasR. Note: X axis—retention time (mins); Y axis:—peak intensity counts.
Saturated fatty alcohols, such as 1-tetradecanol, 1-hexadecanol, and 1-nonadecanol, were the most prevalent compounds and were detected across all samples (QLDW, QLDR, NTW, OverseasW, and OverseasR). These compounds have been previously reported in white- and red-fleshed dragon fruit [35,36,37] and are associated with coconut-like and waxy floral odors, which are likely integral to the characteristic aroma of dragon fruit, irrespective of variety or geographic origin.
NTW samples exhibited a distinctive volatile profile characterized by the presence of acetoin and acetic acid, compounds contributing buttery, creamy, and sour notes. These compounds are often produced during metabolic pathways involving fermentation or oxidative processes [38]. Specific enzymes, such as those involved in the breakdown of sugars (e.g., pyruvate decarboxylase or alcohol dehydrogenase), might be more active in NTW samples, or NTW samples may harbor unique microbial communities due to regional environmental conditions or differences in handling and processing methods, leading to the accumulation of these compounds [39]. In contrast, Overseas samples showed a less diverse range of free volatile compounds, which could be attributed to differences in postharvest handling, earlier harvesting, or climatic factors at the site of cultivation. The reduced complexity in the volatile profile of Overseas samples may explain why they are often perceived as having a less intense aroma.
Retention time comparisons offered insights into the potential identities of the seven unidentified compounds. For instance, Unknown A, detected in QLDW, had a retention time close to nerolidol, a sesquiterpene alcohol with woody and floral notes, suggesting that it could be a structurally related sesquiterpenoid. Similarly, Unknown B and Unknown C, both detected in QLDR, eluted close to tetradecanoic acid, implying that they might belong to a similar chemical family, potentially as saturated fatty acid derivatives. Another notable case is Unknown F, detected in OverseasW and OverseasR, which had a retention time close to that of oleic acid, raising the possibility that Unknown F might be an unsaturated fatty acid or its isomer. The consistent occurrence of certain unknowns across multiple samples indicates their potential significance in dragon fruit aroma and warrants further investigation.
3.2. Profiling of Glycosidic Volatile Compounds Released by Acid Hydrolysis
The profiling of glycosidically bound volatiles released through acid hydrolysis revealed a distinct and diverse array of compounds in dragon fruit samples, highlighting the suppressed aroma potential of this tropical fruit. Glycosidically bound volatiles are chemically tethered to sugar moieties, remaining odorless and non-volatile under natural conditions [3]. In this study, 26 compounds, including 8 previously unidentified (Unknown H to Unknown N), were detected across five dragon fruit samples (QLDW, QLDR, NTW, OverseasW, and OverseasR), as listed in Table 3. Figure 3 presents the total ion chromatograms (TICs) of volatile compounds released by acid hydrolysis in dragon fruit samples. These findings underscore the significant role of glycosidically bound volatiles in defining the aroma complexity and varietal differentiation of dragon fruit.
Table 3.
Profile of volatile compounds released by acid hydrolysis in dragon fruit.

Figure 3.
Total ion chromatograms of volatile compounds released by acid hydrolysis from dragon fruit samples. Peak number corresponds to Table 3. (a) QLDW; (b) QLDR; (c) NTW; (d) OverseasW; (e) OverseasR. Note: X axis—retention time (mins); Y axis—peak intensity counts.
Several compounds were released through acid hydrolysis, emphasizing their existence as glycosidically bound reservoirs. For instance, acetoin, a ketone with a buttery and creamy odor, was detected exclusively in NTW from the bound form only. This suggests that acetoin exists predominantly in a bound form in NTW, contributing to its latent sensory profile. In the food industry, acetoin is valued for its flavor-enhancing properties and is commonly used as a food additive to impart a rich, buttery taste [42]. In plant systems, acetoin has been identified as a volatile compound contributing to aroma profiles. For instance, in litchi fruit, acetoin is among the volatile organic compounds that define its unique aroma [43]. Additionally, acetoin has been found to promote plant growth and alleviate saline stress, indicating its role beyond mere flavor contribution [44]. The presence of acetoin in dragon fruit, particularly in the NTW sample, suggests its contribution to the fruit’s distinctive aroma and flavor profile. This highlights the complex interplay of metabolic pathways in fruits, where both plant and microbial activities can influence the accumulation of flavor compounds like acetoin. Similarly, acetic acid, an organic acid with a sour aroma, was liberated only in NTW, further reinforcing the distinctiveness of this variety. The presence of these compounds underscores NTW’s unique metabolic pathways, likely influenced by microbial factors and environmental conditions in the Northern Territory.
The release of 2,3-butanediol, a glycol with a creamy odor, further highlights NTW’s rich aroma potential. This compound, detected only in NTW, illustrates the significant contribution of glycosidically bound volatiles to its sensory complexity. The presence of both acetoin and 2,3-butanediol post-hydrolysis suggests that these compounds are synthesized and stored as glycosides within the fruit’s cellular structure. This glycosidic storage acts as a precursor for suppressed aroma compounds, which can be enzymatically released during ripening or postharvest processing to enhance sensory attributes [45]. The metabolic relationship between acetoin and 2,3-butanediol adds further importance. Acetoin serves as a precursor to 2,3-butanediol, facilitated by the enzyme 2,3-butanediol dehydrogenase. The co-detection of these compounds following hydrolysis indicates the active glycosylation of intermediates in the acetoin metabolic pathway, which may help stabilize these volatiles during fruit development and ripening [46]. Through the control of hydrolysis conditions, it may be possible to fine-tune the release of these aroma compounds, improving fruit quality and consumer satisfaction.
Alcohol compound 1-methoxy-2-propanol with sweet, ether-like aroma was released exclusively in NTW. This may result from the breakdown of larger glycosidic conjugates formed during primary metabolism, or they may represent intermediates recycled in stress- or defense-related biochemical pathways [47]. The detection of this compound in the dragon fruit volatile profile suggests its potential association with enzymatic activity linked to hydrolysis or adaptive metabolic changes triggered by environmental conditions [48].
Similarly, tridecane, an alkane hydrocarbon with an alkane-like odor, was identified in QLDW, QLDR, and NTW. Its consistent presence across Australian-grown samples suggests its foundational role in the regional aroma profile. The analysis also revealed the release of alkanes, such as ethane detected in NTW. Although these simple hydrocarbons contribute minimally to aroma, their presence reflects metabolic processes underlying glycosidic volatile release. The detection of ethane as a volatile compound released through enzymatic hydrolysis is noteworthy, particularly due to its role as a marker for lipid peroxidation and oxidative stress in plants [49]. Ethane is produced during the peroxidation of polyunsaturated fatty acids in cell membranes, a process initiated by reactive oxygen species (ROS) under stress conditions. This production of ethane serves as an indicator of oxidative damage within plant tissues [49]. In plant systems, ethane emission has been associated with various stress responses, including exposure to pollutants, pathogen attack, and environmental stresses such as drought and flooding [50]. For instance, studies have shown that ethane is released from plant tissues experiencing lipid peroxidation due to oxidative stress [51]. The presence of ethane in NTW and OverseasW samples suggests differences in metabolic activity, lipid oxidation, or precursor compound availability between these samples. This could imply that ethane’s presence, while not directly contributing to aroma, serves as a proxy for enzymatic activity or glycosidic bond cleavage efficiency. Moreover, ethane’s release alongside other volatiles in the enzymatic fraction highlights the broader complexity of metabolic and enzymatic processes within the dragon fruit matrix. By understanding these byproducts, researchers can gain insights into the pathways involved in aroma compound formation and how enzymatic hydrolysis modulates the overall volatile profile of dragon fruit. Thus, while ethane itself is not a primary aroma contributor, its detection provides a window into the biochemical transformations taking place during glycosidic volatile release.
Fatty alcohols such as 1-tetradecanol, 1-hexadecanol, and 1-nonadecanol were detected in both free and glycosidically bound forms, suggesting their dual role in contributing to dragon fruit aroma. These compounds, associated with coconut, waxy, and floral odors, respectively, were universally present across all samples, reinforcing their importance as core contributors to the aroma profile of dragon fruit. However, their bound forms act as hidden reservoirs, potentially enhancing aroma complexity during fruit ripening or postharvest processes. Glycosidically bound volatiles are non-volatile until they are enzymatically or chemically cleaved, which often occurs during the ripening or storage of fresh produce, thus releasing free volatiles that contribute significantly to the aroma profile of fruits. For example, in mangoes, as observed in the referenced study by Taiti et al. [52], volatile organic compounds such as esters, alcohols, and aldehydes increase during the postharvest ripening phase. These changes are attributed to enzymatic reactions, including the breakdown of glycosides, which release bound volatiles. Similarly, for dragon fruit, the presence of glycosidically bound fatty alcohols such as 1-tetradecanol, 1-hexadecanol, and 1-nonadecanol suggests that enzymatic hydrolysis could lead to their release during postharvest handling, thus enhancing the sensory profile of the fruit and potentially increasing consumer appeal. This mechanism underscores the dynamic nature of aroma development in fruits during postharvest storage. It also highlights the significance of understanding the bound volatile pool, as these compounds can be activated under specific conditions, such as changes in temperature, humidity, or enzymatic activity during storage and ripening. In mango, these processes are linked to increases in sweetness, reductions in acidity, and the synthesis of new aroma compounds, all of which align with consumer expectations for ripened fruit [52]. Similarly, for dragon fruit, leveraging the bound volatile reservoir could be an important factor in enhancing aroma intensity and complexity during postharvest storage, thus improving marketability and consumer satisfaction.
Saturated fatty acids, including hexadecanoic acid, tetradecanoic acid, and pentadecanoic acid, were released during acid hydrolysis. These compounds, known for their waxy sensory characteristics, were found across all samples, highlighting their universal role in dragon fruit aroma. The detection of oleic acid, an unsaturated fatty acid, in QLDR and NTW, and linoelaidic acid, a polyunsaturated fatty acid, in NTW, adds to the sensory diversity of these varieties. The presence of fatty acid ethyl esters, such as linoleic acid ethyl ester, in QLDR further emphasizes the role of glycosidically bound volatiles in shaping aroma distinctions. Notably, sesquiterpenoid alcohols such as farnesol were detected in all samples except OverseasR. Farnesol, with its floral and citrus–lime notes, highlights the potential of glycosidically bound volatiles to contribute to premium aroma characteristics in Australian-grown varieties. Its absence in OverseasR may be indicative of different metabolic or postharvest processes in imported samples.
A striking feature of this analysis was the presence of eight unknown compounds (Unknown F and Unknown H to Unknown N). These volatiles, liberated only through acid hydrolysis, exhibit unique distributions across the samples. For example, Unknown H and Unknown J were specific to QLDR, suggesting that they may serve as markers for this variety. Similarly, Unknown M and Unknown N were exclusive to OverseasR and OverseasW, respectively, reflecting their unique aroma precursors likely shaped by environmental or postharvest conditions.
The data reveal significant regional and varietal differences in the profiles of glycosidically bound volatiles. NTW emerged as the most distinct sample, with a diverse array of unique volatiles, including acetoin and 2,3-butanediol, which collectively contribute to creamy and sour sensory characteristics. QLDW and QLDR shared many volatiles but displayed distinct nuances, such as the presence of Unknown H and pentadecanoic acid in QLDR. Imported samples (OverseasW and OverseasR) exhibited lower overall diversity but retained unique compounds like [1,1′-bicyclopropyl]-2-octanoic acid, 2′-hexyl-, methyl ester and Unknown M, which could be indicative of their postharvest handling practices. Venn diagrams will be introduced in Section 4.1 to further demonstrate the regional and varietal differences in the profiles of free and glycosidic volatiles.
In conclusion, acid hydrolysis revealed the significant contribution of glycosidically bound volatiles to the aroma complexity and differentiation of dragon fruit. Australian-grown varieties, particularly NTW, demonstrated a greater diversity and richness of glycosidically bound volatiles compared to the imported samples. These findings highlight the potential of acid hydrolysis as a tool for uncovering latent aroma precursors and underscore the importance of glycosidically bound volatiles in differentiating dragon fruit varieties and growing regions. The identification of unique compounds specific to each sample provides valuable insights into the metabolic pathways influencing dragon fruit aroma and lays the groundwork for future research into their sensory and commercial significance.
3.3. Profiling of Glycosidic Volatile Compounds Released by Enzymatic Hydrolysis
Enzymatic hydrolysis using β-glucosidase uncovered a total of 21 volatile compounds, including 5 unknown compounds (Unknown O to Unknown S), from dragon fruit samples across five sources—QLDW, QLDR, NTW, OverseasW, and OverseasR—as listed in Table 4. These compounds, spanning multiple chemical classes such as ketones, alcohols, alkanes, fatty acids, and esters, provide evidence of glycosidically bound (glucosidically bound, in particular) volatiles acting as reservoirs for aroma potential. Figure 4 presents the total ion chromatograms (TICs) of volatile compounds released by acid hydrolysis in dragon fruit samples.
Table 4.
Profile of volatile compounds released by enzymatic hydrolysis in dragon fruit.

Figure 4.
Total ion chromatograms of volatile compounds from dragon fruit samples released by enzymatic hydrolysis. Peak number corresponds to Table 4. (a) QLDW; (b) QLDR; (c) NTW; (d) OverseasW; (e) OverseasR. Note: X axis—retention time (mins); Y axis—peak intensity counts.
The ketone acetoin, known for its buttery and creamy aroma, was uniquely released in NTW, underscoring the specificity of enzymatic hydrolysis in uncovering glycosidically bound volatiles associated with this variety. Similarly, the fruity-smelling alcohol prenol was released exclusively in NTW, further emphasizing the distinct aroma profile of this sample. Prenol is a precursor in the biosynthesis of isoprenoids, a large and diverse class of secondary metabolites involved in numerous physiological processes in plants. These include roles in growth regulation, photosynthesis (via carotenoid and chlorophyll biosynthesis), and plant defense mechanisms [54]. Its presence among enzymatically released volatiles might indicate the cleavage of glycosidic precursors containing prenyl groups, which could reflect metabolic adaptations or responses to environmental conditions [55]. Studies have shown that isoprenoids derived from prenol-related pathways can act as antioxidants or signaling molecules during oxidative stress [56]. Therefore, its detection in dragon fruit volatiles could provide insights into the fruit’s physiological state or the metabolic pathways activated during enzymatic treatments. Furthermore, the contribution of prenol to aroma and its metabolic significance make it an important marker for understanding the interplay between glycosidic volatile precursors and the overall volatile profile of dragon fruit.
Phenylethyl alcohol, a compound with a rose–honey-like aroma, was another compound specific to NTW. This compound significantly enhances the fruit’s sensory profile due to its low odor threshold, which allows even minimal concentrations to impart a distinct floral sweetness [57]. This compound was found in pineapple wine [58], mango wine [59], and apple flowers [60]. Such aromatic qualities are crucial in tropical fruits, influencing consumer preferences and perceptions of quality. Biochemically, phenylethyl alcohol is synthesized via the shikimate pathway, a fundamental metabolic route in plants responsible for producing aromatic amino acids [61]. In this pathway, phenylalanine is converted into phenylacetaldehyde, which is subsequently reduced to phenylethyl alcohol [61]. This biosynthetic process underscores the compound’s integral role in plant metabolism and its contribution to the aromatic profile of various plant species. The presence of phenylethyl alcohol in the enzymatically hydrolyzed fraction of dragon fruit indicates that it exists in glucosidically bound forms within the fruit’s matrix. Moreover, phenylethyl alcohol plays a role in plant defense mechanisms. Its antimicrobial properties contribute to the plant’s ability to deter pathogens, highlighting its function beyond mere aroma contribution [62]. The enzymatic release of phenylethyl alcohol from its glycosidic precursors enriches the fruit’s volatile profile and also reflects the plant’s adaptive responses to environmental stimuli.
Additionally, 1-methoxy-2-propanol, a sweet ether-like alcohol, was identified in NTW, providing further evidence of its unique aroma potential. Fatty alcohols, including 1-tetradecanol, 1-hexadecanol, and 1-nonadecanol, were consistently released across all samples. These alcohols are associated with coconut, waxy, and floral odors, respectively, and play a fundamental role in dragon fruit’s sensory baseline. The consistent release of these compounds via enzymatic hydrolysis highlights their importance as suppressed precursors to aroma, with implications for enhancing sensory complexity during natural ripening or postharvest processing. Saturated fatty acids, such as tetradecanoic acid and hexadecanoic acid, were also detected following enzymatic hydrolysis. Tetradecanoic acid was specific to NTW, while hexadecanoic acid was universally released across all samples. These waxy-scented compounds are integral to the sensory foundation of dragon fruit. Oleic acid, an unsaturated fatty acid, was released in NTW and OverseasW, while linoelaidic acid, a polyunsaturated fatty acid, was detected exclusively in NTW. These findings illustrate the ability of enzymatic hydrolysis to selectively liberate fatty acids that contribute to the distinct aroma profiles of individual samples.
Farnesol, a sesquiterpenoid alcohol with delicate floral and citrus–lime notes, was identified in QLDW, QLDR, and OverseasW but was absent in OverseasR. This selective release underscores its potential as a varietal or regional marker for distinguishing Australian-grown dragon fruit from imported varieties. Among the previously unidentified compounds, Unknown O and Unknown R were specific to QLDR, while Unknown Q was detected in both NTW and OverseasR. Unknown S was present in QLDR and OverseasR, suggesting that these unknown volatiles may be linked to specific environmental factors or postharvest conditions influencing their release.
Esters also featured prominently in the glycosidically bound volatile profile. [1,1′-bicyclopropyl]-2-octanoic acid, 2′-hexyl-, methyl ester was released exclusively in QLDW and OverseasW, highlighting the role of β-glucosidase in unlocking the ester fraction. Linoleic acid ethyl ester, a fatty acid ester associated with a fatty aroma, was identified specifically in QLDR, further demonstrating the sample-specific enzymatic release of esters. The ability of β-glucosidase to release these compounds illustrates the complexity and diversity of dragon fruit’s glycosidically bound volatile precursors.
Overall, the enzymatically released VOC profiles demonstrated significant sample-specific variation. NTW emerged as the most distinctive sample, with unique releases such as acetoin, prenol, phenylethyl alcohol, and linoelaidic acid, highlighting its rich glycosidically bound volatile pool. QLDW and QLDR displayed substantial diversity, with the presence of both common compounds like fatty alcohols and sample-specific volatiles such as Unknown O and linoleic acid ethyl ester in QLDR. In contrast, the imported samples (OverseasW and OverseasR) exhibited lower diversity, with fewer unique compounds detected. However, the presence of Unknown S in both imported samples highlights potential environmental or postharvest factors influencing their volatile profiles.
These findings highlight the crucial role of β-glucosidase hydrolysis in uncovering glycosidically bound volatiles, specifically glucosidic bound volatile compounds, that contribute to the aroma complexity of dragon fruit. The enzymatic release of distinct volatile profiles underscores the potential of this technique to differentiate varieties and regions. NTW’s unique glycosidically bound volatiles reinforce its potential as a premium variety, while the diverse profiles of QLDW and QLDR highlight the richness of Australian-grown dragon fruit. This study provides valuable insights into the sensory potential of dragon fruit and underscores the importance of enzymatic hydrolysis in aroma profiling and quality differentiation.
4. Discussion
4.1. Distribution of Volatile Compounds in Different Dragon Fruit Samples (Venn Diagram)
Venn diagrams involve interpreting overlapping and non-overlapping regions to understand the relationships among different groups. The Venn diagrams in Figure 5 summarize the distribution of volatile compounds identified in dragon fruits and the differences between each group (QLDW, QLDR, NTW, OverseasW, and OverseasR), which provide insights into the unique and shared volatile organic compounds (VOCs) in dragon fruit samples from different regions. NTW consistently exhibits the highest number of unique VOCs across all profiling methods, underscoring its superior aroma complexity. For free volatiles, NTW has nine unique compounds, including acetoin (buttery and creamy), acetic acid (sour), 2,3-butanediol (fruity), and linoelaidic acid (a polyunsaturated fatty acid), among others. This variety in free volatiles suggests a highly diverse profile that contributes to its distinctive aroma. In comparison, QLDW has four unique compounds, such as glyceraldehyde (mild fruity) and tetradecanoic acid (waxy), which also reflect a notable level of aroma complexity. QLDR presents five unique VOCs, including nerolidol (woody and floral) and oxirane, tetradecyl- (pungent), highlighting its distinct aroma profile. On the other hand, the imported samples, OverseasW and OverseasR, lack unique free volatiles, indicating a simpler and less diverse profile likely due to earlier harvesting or postharvest handling practices.
Figure 5.
Venn diagrams of volatile compounds present in different dragon fruit types (QLDW, QLDR, NTW, OverseasW, and OverseasR). (A) shows free volatile compounds present in dragon fruits. (B) shows volatile compounds released by acid hydrolysis present in dragon fruit. (C) shows volatile compounds released by enzymatic hydrolysis present in dragon fruit.
The shared region in the free volatile Venn diagram involves seven compounds, including 1-tetradecanol (coconut-like), 1-hexadecanol (waxy floral), and farnesol (flowery, weak citrus–lime). These shared volatiles represent a core set of compounds that are common to dragon fruit aroma across all varieties and regions, regardless of origin. However, the greater diversity of unique volatiles in Australian samples, especially NTW and QLDW, suggests that they can be marketed as premium products with more complex aroma profiles.
In the case of volatiles released by acid hydrolysis, NTW again demonstrates its richness with seven unique compounds, including linoelaidic acid and hexadecanoic acid, which enhance the complexity of its bound volatile fraction. The existence of glucosidic forms of these two compounds has not been reported in any plants. The QLDW variety has one unique compound, while QLDR exhibits two unique volatiles, including pentadecanoic acid and an unidentified compound (Unknown H). Both imported samples have two unique glycosidic compounds, namely, [1,1′-Bicyclopropyl]-2-octanoic acid, 2′-hexyl-, methyl ester and Unknown N found in OverseasW, and Unknown I and M found in OverseasR. Notably, only four compounds are shared across all samples in this profiling method, a smaller overlap compared to free volatiles, suggesting that glycosidic volatiles are more reflective of genetic and environmental influences.
For enzymatically released glycosidic volatiles, NTW again leads with six unique compounds, including phenylethyl alcohol (rose–honey-like) and prenol (fruity). These volatiles are highly specific to enzymatic hydrolysis and emphasize NTW’s superior ability to release diverse bound volatiles. While prenol itself is present in plant tissues, the occurrence of its glucosidic forms—compounds where prenol is bonded to a glucose molecule—is less commonly reported. However, plants produce a wide array of glycosides, including those derived from terpenoids, which are prenol-based compounds. For instance, certain terpene glycosides have been identified in mushrooms, indicating that glycosidic forms of prenol derivatives exist in nature [63]. Additionally, prenol is a fundamental building block in the biosynthesis of various terpenoids in plants. Glycosylation is a common modification in plant secondary metabolism, enhancing the solubility, stability, and bioactivity of compounds. This process is facilitated by enzymes known as UDP-dependent glycosyltransferases (UGTs), which transfer sugar units to acceptor molecules, including terpenoids [64]. QLDW and QLDR show fewer unique volatiles, with QLDR containing three unique compounds, such as oxirane, tetradecyl- and tetradecanoic acid. Oxirane, tetradecyl-, also known as 1,2-epoxyhexadecane, is an epoxide derived from a tetradecyl chain. The current literature does not report the existence of glucosidic forms of oxirane, tetradecyl- in plants or other natural sources. Tetradecanoic acid, also known as myristic acid, is commonly found in animal and vegetable fats, notably in nutmeg, palm oil, and coconut oil [65]. While myristic acid is prevalent in these sources, there is limited evidence to suggest that it naturally occurs in glucosidic forms within plants. However, synthetic derivatives, such as acylated cholesterol glucosides where myristic acid is linked to a glucose moiety, have been studied for their biological activities. For example, one study reported the synthesis of a compound where myristic acid is acylated at the sugar C6-hydroxyl of a cholesterol glucoside, referred to as αCAG [66]. The imported varieties again show limited unique enzymatically released volatiles, with OverseasW exhibiting none and OverseasR containing only one unique compound (Unknown S). Only three compounds are shared across all samples in this method, further highlighting the specificity of enzymatically released volatiles compared to acid hydrolysis.
Across all three profiling methods, NTW emerges as the sample with the richest volatile profile, likely influenced by favorable growing conditions in the Northern Territory, such as climate and soil composition. The QLDW variety also demonstrates a significant level of aroma complexity, while QLDR, though somewhat less diverse, retains its distinctiveness. In contrast, the imported samples exhibit a lower diversity of both free and glycosidic volatiles, which may limit their sensory appeal compared to Australian-grown varieties. The consistent detection of a core set of volatiles shared across all samples highlights fundamental contributors to the aroma profile of dragon fruit, while the presence of unique volatiles in Australian varieties provides opportunities to establish these as quality markers for premium products.
The findings from these Venn diagrams suggest that Australian-grown dragon fruit, particularly NTW and QLDW, possess significant competitive advantages in terms of aroma complexity and sensory appeal. The unique volatile compounds identified in these samples could serve as markers for authenticity and quality assurance, supporting the development of industry standards that emphasize their superior profiles. These insights contribute to the academic understanding of dragon fruit volatile profiles and also offer practical applications for enhancing the competitiveness of Australian dragon fruit in domestic and international markets.
4.2. Principal Component Analysis (PCA)-Based Characterization of Dragon Fruit Volatile Profiles Across Varieties and Regions
Principal component analysis (PCA) was utilized to analyze the volatile profiles of five dragon fruit groups—QLDW, QLDR, NTW, OverseasW, and OverseasR. The objective was to identify patterns of variation in the volatile profiles and elucidate the relationships between compounds and sample groups. By reducing the complexity of the dataset, PCA enabled the visualization of group differentiation and the contributions of individual volatile compounds, offering insights into the uniqueness of Australian-grown dragon fruit compared to imported varieties. The key biplot output of PCA provides a comprehensive understanding of the volatile profiles and their relevance to group-specific differentiation. In the PCA plots, volatile compounds are represented by labels such as X1, X2, and X3. Each label corresponds to a specific volatile compound identified, with their contributions to sample differentiation based on their alignment with the principal components. The list of compounds and their corresponding labels is provided in Table A1 for reference.
The PCA biplot shown in Figure 6 combines information on the relationships among dragon fruit groups and the contributions of volatile compounds to sample differentiation. Dim1 (39.2% variance) and Dim2 (30.3% variance) collectively explain 69.5% of the total variability in the dataset, demonstrating that these two principal components capture most of the meaningful differences in the volatile profiles. The biplot is particularly valuable in simultaneously visualizing the unique characteristics of the dragon fruit groups and the volatiles responsible for driving these differences.
Figure 6.
PCA biplot of volatile compounds and dragon fruit samples (QLDW, QLDR, NTW, OverseasW, and OverseasR). Volatile compounds are labeled as X1, X2, …, Xn, corresponding to their respective compounds listed in Table A1. High-contribution compounds are positioned farther from the origin and aligned with specific principal components. The arrows represent individual volatile compounds, with their length indicating contribution and direction reflecting alignment with Dim1 (39.2% variance) and Dim2 (30.3% variance). Sample differentiation reflects unique volatile profiles, with NTW showing clear separation and Overseas samples clustering near the origin.
NTW emerges as the most distinct group, positioned on the far positive end of Dim1. This positioning highlights its unique volatile profile, which is significantly influenced by compounds such as X71 (phenylethyl alcohol, released by enzymatic hydrolysis) and X5 (1-methoxy-2-propanol, free volatile). The alignment of these high-contribution compounds with NTW suggests that they are not only more abundant in this group but also critical to its sensory differentiation. This distinctiveness can be attributed to the growing conditions in the Northern Territory, such as soil composition and higher temperatures, which may favor the biosynthesis of these volatiles. These compounds can also potentially serve as aroma markers for dragon fruit from the NT to differentiate it from other regions. The separation of NTW from the other groups highlights its potential as a premium product with a unique aromatic identity.
In contrast, QLDR is located far on the negative side of Dim1 and Dim2, distinctly separated from other samples. This clear separation reflects its unique varietal characteristics, with strong associations with volatiles such as X51 (Unknown J, released by acid hydrolysis), X48 (pentadecanoic acid, released by acid hydrolysis), and X19 (Unknown D, free volatile). These compounds likely contribute to the unique sensory attributes of QLDR, reinforcing its position as a distinctive variety. QLDW appears on the negative side of Dim1, moderately close to the center, suggesting a more balanced volatile profile with the reduced dominance of unique volatiles compared to other samples. Compounds closely associated with QLDW include X6 (glyceraldehyde, free volatile), X7 (dihydroxyacetone, free volatile), and X12 (Unknown A, free volatile). These volatiles contribute to fruity and sweet notes, which are characteristic of QLDW’s sensory profile.
OverseasW is farther away from QLDW, QLDR, and NTW, suggesting a distinct volatile profile compared to Australian-grown samples. Compounds such as X24 (Unknown F, free volatile), X60 (1-tetradecanol, released by enzymatic hydrolysis), and X61 (1-hexadecanol, released by enzymatic hydrolysis) are closely associated with this sample. These volatiles likely reflect postharvest handling practices, such as prolonged storage or transport conditions, which may influence the volatile composition of imported samples. OverseasR is located nearest to the center compared with other samples, reflecting a similarly generalized volatile profile. Significant compounds such as X50 (Unknown I, released by acid hydrolysis) and X54 (Unknown M, released by acid hydrolysis) are associated with OverseasR. While OverseasW and OverseasR are different varieties, their close clustering in the PCA biplot reflects shared influences from postharvest conditions and conserved volatiles. The slight separation along Dim2 highlights key varietal differences, with OverseasR associated with red-pigmented-variety volatiles (e.g., X76, Unknown S, released by enzymatic hydrolysis) and OverseasW linked to compounds specific to white varieties (e.g., X44, Unknown F, released by acid hydrolysis).
The biplot also reveals the relationships between volatile compounds and groups. Longer arrows, such as those for X71 (phenylethyl alcohol, released by enzymatic hydrolysis) and X23 (oleic acid, free volatile), indicate compounds that strongly influence group separation, particularly NTW. In contrast, shorter arrows near the origin, such as X13 (1-nonadecanol, free volatile) and X30 (9-octadecenamide, free volatile), represent core volatiles that are shared across multiple groups and contribute minimally to differentiation. This visualization underscores the importance of high-contribution compounds in defining group-specific profiles while providing a baseline of shared volatiles that constitute the characteristic aroma of dragon fruit.
4.3. Comparison of Volatile Compounds Released by Acid and Enzymatic Hydrolysis
Table 5 provides a comprehensive summary of the volatile organic compounds (VOCs) released from dragon fruit samples following acid hydrolysis (AH) and enzymatic hydrolysis (EH). These hydrolysis methods were employed to liberate glycosidically bound volatiles, allowing for a detailed comparison of their efficiency and specificity in releasing aroma-active compounds. The table highlights compounds detected under each treatment, with a tick (√) indicating detection and ND denoting compounds not detected. These data serve as a foundation for understanding the differential hydrolytic behavior of glycosidic bonds in dragon fruit and shed light on the contribution of bound volatiles to its overall aroma profile. By examining the similarities and differences in VOC release between AH and EH, this section aims to elucidate the mechanisms underpinning these processes and their implications for enhancing the sensory attributes of dragon fruit.
Table 5.
Comparison of volatile compounds released by acid and enzymatic hydrolysis in dragon fruit.
The differences in compounds released by acid hydrolysis (AH) and enzymatic hydrolysis (EH) reflect fundamental distinctions in the mechanisms underlying these processes and the interactions between glycosidic bonds and hydrolytic conditions. While some compounds are common to both methods, others are unique to either AH or EH, highlighting the specificity and scope of each hydrolytic pathway. Compounds such as 1-tetradecanol, 1-hexadecanol, and 1-nonadecanol were consistently detected in both AH and EH treatments, suggesting that their glycosidic bonds are relatively accessible to both mechanisms. These volatiles likely originate from glycosides with simple structures that do not pose significant steric or chemical barriers to hydrolysis. Glycosides with straightforward structures, such as monoglucosides, present minimal steric hindrance, facilitating their cleavage by both enzymatic and acidic hydrolysis [23]. This phenomenon has been observed in studies such as those of grapes, where simple glycosides readily undergo hydrolysis, liberating their corresponding volatile aglycones. For instance, research has demonstrated that monoterpene glycosides in grapes are efficiently hydrolyzed due to their uncomplicated structures, leading to the release of aromatic monoterpenes that contribute to the fruit’s aroma profile [67].
On the other hand, some compounds were found exclusively in AH or EH, reflecting the differences in hydrolytic mechanisms. The acid hydrolysis (AH) of glycosidic bonds operates through a non-specific mechanism that enables the cleavage of a wide array of glycosidic linkages, including those with significant steric hindrance or chemical resistance. The process initiates with the protonation of the glycosidic oxygen atom, leading to the formation of a conjugated acid. This protonation increases the electrophilicity of the anomeric carbon, facilitating the departure of the aglycone moiety and resulting in the cleavage of the glycosidic bond. The subsequent formation of a carbocation intermediate allows for the addition of a water molecule, completing the hydrolysis process. This mechanism is classified as unimolecular nucleophilic substitution (SN1), characterized by the rate-determining formation of a carbocation intermediate. The non-specific nature of this mechanism arises from its reliance on the inherent stability of the carbocation intermediate, rather than the specific structural features of the glycoside, enabling AH to effectively cleave glycosidic bonds regardless of steric hindrance or electronic factors [68]. The selective release of compounds like tetradecanoic acid during acid hydrolysis (AH) can be attributed to the specific capabilities of acidic conditions in addressing the structural complexity of certain glycosidic bonds. Glycosides with branched or sterically hindered configurations are less accessible to enzymatic hydrolysis (EH) because the active site of glycosidases cannot effectively engage with substrates that have spatial obstructions. Acid hydrolysis, on the other hand, bypasses this limitation through protonation, which destabilizes glycosidic bonds regardless of steric challenges. This allows AH to cleave a broader range of glycosides, including those resistant to enzymatic approaches. Moreover, the acidic environment during acid hydrolysis (AH) facilitates the formation of carbocation intermediates, which can undergo rearrangements such as hydride or alkyl shifts, leading to the production of structurally distinct volatile compounds [69]. These rearrangements are characteristic of acid-catalyzed processes and significantly influence the profile of released volatiles. For instance, β-damascenone, a key aroma compound in various fruits, is generated through an acid-catalyzed transformation of its glycosidic precursors. Studies have shown that under strong acidic conditions (pH 2.0) and elevated temperatures (90 °C), specific glycosidic precursors can be hydrolyzed to form β-damascenone, highlighting the role of acid-catalyzed reactions in the formation of such aroma compounds [15]. Furthermore, acid-induced dehydration reactions involve the elimination of water from alcohols, leading to the formation of alkenes. This process is facilitated by strong acids, such as sulfuric acid, which protonate the hydroxyl group of the alcohol, converting it into a better leaving group (water). The departure of water generates a carbocation intermediate, which can undergo rearrangements like hydride or alkyl shifts to form more stable carbocations before deprotonation yields the final alkene product. These rearrangements are characteristic of acid-catalyzed dehydration and significantly influence the profile of the resulting compounds. In contrast, enzymatic hydrolysis operates under milder, neutral pH conditions and involves specific enzyme–substrate interactions that do not generate such reactive carbocation intermediates, resulting in different reaction pathways and products [70]. Thus, the unique volatile products released during AH arise from its ability to cleave sterically hindered or complex glycosidic bonds and to induce chemical transformations, such as rearrangements and dehydration. These capabilities distinguish AH from EH and provide insights into why certain volatiles, such as tetradecanoic acid, are exclusive to acid hydrolysis.
Enzymatic hydrolysis (EH) plays a pivotal role in releasing volatile organic compounds (VOCs) from glycosidic precursors, a process that mirrors natural metabolic pathways responsible for aroma development in fruits. This enzymatic action is highly specific, targeting particular glycosidic bonds to liberate aroma-active aglycones. For instance, in grape and cherry juices, the application of specific glycosidase enzymes has been shown to significantly enhance the release of floral and fruity volatiles, thereby improving the overall aroma complexity of the fruit juices [71]. In contrast, acid hydrolysis (AH) employs a non-specific mechanism that can lead to the degradation or transformation of sensitive aroma compounds. The harsh conditions of AH may cause the loss of delicate volatiles or induce the formation of artifacts, resulting in a less desirable aroma profile. This distinction is evident in studies where enzymatic treatments of fruit juices have successfully released specific floral and fruity volatiles that were not detected following acid treatment, underscoring the importance of enzymatic specificity in preserving and enhancing fruit aroma [71]. Moreover, the enzymatic release of VOCs from glycosidic precursors aligns with the natural ripening processes of fruits, where endogenous enzymes hydrolyze glycosides to produce characteristic aromas. This natural enzymatic activity is crucial for the development of fruit flavor profiles, as it ensures the release of aroma compounds in a controlled manner, maintaining the integrity and balance of the fruit’s sensory attributes. Therefore, employing EH in industrial applications not only enhances the aroma quality of fruit products but also maintains the authenticity of their natural flavor profiles [72]. Thus, compounds such as phenylethyl alcohol and prenol, detected exclusively after enzymatic hydrolysis (EH), underscore the ability of this method to release aroma-active aglycones that are sensitive to harsh conditions. These volatiles are associated with biologically important glycosides and reflect the natural enzymatic processes occurring during fruit ripening, where specific glycosidases facilitate the controlled release of aromatic compounds. Unlike acid hydrolysis (AH), which can degrade or modify sensitive volatiles, EH ensures the preservation of these compounds, resulting in a more authentic and balanced aroma profile. This precision makes EH an invaluable tool in studying and optimizing fruit aroma, particularly for compounds that are critical to sensory quality yet vulnerable to chemical instability.
The observed differences in profiles between acid hydrolysis (AH) and enzymatic hydrolysis (EH) can be attributed to the stability of aglycones under varying hydrolytic conditions and the interactions within the fruit matrix. The degradation of thermally or pH-sensitive compounds under acidic hydrolysis (AH) conditions stems from the harsh environment, which often causes the chemical breakdown or rearrangement of labile compounds. For example, phenylethyl alcohol, a delicate aromatic compound, is prone to acid-catalyzed dehydration or oxidation, leading to its degradation and absence in AH profiles [73]. The fruit matrix plays a crucial role in modulating the efficiency of hydrolysis. Under acidic conditions, interactions between matrix components, such as proteins or polysaccharides, and the hydrolysis medium can alter the release dynamics of bound volatiles. These interactions may protect some aglycones while exposing others to degradation pathways. By contrast, EH involves specific enzyme–substrate interactions that allow for the controlled and selective release of VOCs, aligning with natural metabolic pathways [74]. The efficiency of enzymatic hydrolysis can be significantly influenced by interactions with specific components of the fruit matrix, such as polysaccharides and proteins. These interactions can either enhance or inhibit the activity of glycosidases, the enzymes responsible for breaking down glycosidic bonds. For instance, polysaccharides may form complexes with glycosidases, potentially altering the enzyme’s conformation and affecting its catalytic activity. Similarly, proteins present in the matrix can interact with glycosidases, leading to changes in enzyme functionality. These interactions are complex and can result in either the stabilization of the enzyme, enhancing its activity, or the formation of inhibitory complexes that reduce its effectiveness. Understanding these interactions is crucial for optimizing EH processes, as they directly impact the release of volatile organic compounds and the overall efficiency of hydrolysis [75].
In summary, the differences in volatile organic compounds (VOCs) released by acid hydrolysis (AH) and enzymatic hydrolysis (EH) are driven by the fundamental mechanisms of each process and the interactions between hydrolysis conditions, glycosidic bonds, and the fruit matrix. While AH operates through non-specific cleavage mechanisms that can degrade or transform sensitive compounds, it is effective in breaking sterically hindered glycosidic bonds and inducing chemical transformations like rearrangements and dehydration, resulting in unique volatile profiles. In contrast, EH provides a selective and controlled method for releasing VOCs, preserving delicate aglycones and aligning with natural enzymatic pathways found in ripening fruits. This specificity makes EH superior for maintaining authentic and balanced aroma profiles, as exemplified by the release of compounds such as phenylethyl alcohol and prenol. Additionally, the fruit matrix plays a critical role in modulating hydrolysis efficiency, with components like polysaccharides and proteins either enhancing or inhibiting enzyme activity. Together, these findings highlight the complementary roles of AH and EH in profiling VOCs and underscore the importance of choosing the appropriate hydrolysis method based on the target compounds and desired outcomes. The distinct VOC profiles of Australian-grown dragon fruit, particularly those from the Northern Territory (NTW), provide a strong basis for developing quality markers. These markers can be used to differentiate local products from imported ones, ensuring that consumers have access to authentic and fresh Australian-grown dragon fruit. This approach aligns with global practices in the fruit industry, where aroma profiling serves as a cornerstone for product differentiation and quality assurance.
4.4. Implications on Standard Establishment
The analysis of glycosidically bound volatile organic compounds (VOCs) released through enzymatic and acid hydrolysis has provided significant insights into the sensory and biochemical complexity of dragon fruit varieties. These findings have substantial implications for the establishment of industry standards, particularly for differentiating and promoting Australian-grown dragon fruits in competitive domestic and international markets.
Firstly, the distinct profiles of glycosidically bound volatiles among different samples underline the potential for aroma profiling to serve as a quality marker. Australian-grown varieties, particularly NTW and QLDR, demonstrated superior volatile compound complexity and unique VOCs, such as phenylethyl alcohol, prenol, and fatty alcohols, which were less prominent or were absent in imported varieties. These unique profiles can be leveraged to create region-specific standards that highlight the premium quality of Australian dragon fruits. Such standards could incorporate parameters for specific aroma compounds, offering a scientific basis for marketing claims and consumer assurances.
Furthermore, the identification of glycosidically bound volatiles emphasizes their role as latent precursors of aroma potential in dragon fruit which can be unlocked during ripening or postharvest handling. By including parameters that account for both free and bound volatile profiles, standards can better capture the full sensory potential of dragon fruit. This approach aligns with similar advancements in other fruit industries, such as grape [76] and mango [10], where glycosidic volatiles are used as markers for quality and sensory appeal. For instance, the presence of specific fatty alcohols and acids, which contribute to waxy and floral aromas, could be incorporated into quality benchmarks, enhancing the perceived uniqueness of Australian-grown dragon fruits.
This study also highlights the need to consider the impacts of postharvest treatments and environmental conditions on VOC profiles. Imported samples exhibited lower aroma complexity, potentially due to earlier harvesting, extended storage, or suboptimal handling conditions. This observation underscores the importance of including postharvest handling practices within standard frameworks to preserve aroma quality. By adopting protocols that minimize the loss of glycosidically bound volatiles during transportation and storage, producers can ensure that the sensory qualities of dragon fruit remain intact, aligning with consumer expectations for premium fruits.
Lastly, the findings for regional and varietal differences in glycosidically bound volatiles provide a basis for developing geographic indications (GIs) for Australian dragon fruits. NTW’s distinctive profile, marked by high levels of unique VOCs, supports its potential as a premium product with a protected designation of origin. Establishing such designations can help differentiate Australian dragon fruits in global markets, creating added value and fostering consumer loyalty.
In conclusion, the profiling of glycosidically bound volatiles offers a robust framework for refining and elevating industry standards for dragon fruit. By incorporating these findings into quality benchmarks, Australian producers can enhance their competitive edge, positioning their products as superior in aroma complexity and sensory appeal. Future research into the biosynthetic pathways and environmental factors influencing VOCs will further refine these standards, supporting the growth of a sustainable and high-value dragon fruit industry.
4.5. Recommendations for Future Research
To build upon the findings of this study, it is imperative to refine the experimental design and address key limitations to enhance the depth and applicability of future research. First, the experimental design needs to incorporate a larger and more diverse sample set, including dragon fruit from additional regions and varieties, to ensure the broader representativeness of findings. A more systematic sampling strategy that accounts for seasonal variations, cultivation practices, and postharvest conditions could provide more robust insights into the factors influencing volatile organic compound profiles. Second, future studies should prioritize the identification and characterization of unknown compounds. This study identified several unknown VOCs that could play crucial roles in differentiating dragon fruit varieties and contributing to sensory profiles. Advanced analytical techniques, such as high-resolution mass spectrometry (HRMS), should be employed to elucidate the structures and potential functions of these compounds. Third, to better understand the biochemical mechanisms underpinning VOC release, it would be beneficial to examine the role of enzymatic activity, glycosidic precursors, and environmental conditions. Studies incorporating enzyme assays, transcriptomic profiling, and isotope-labeled precursors could provide insights into the pathways governing VOC biosynthesis and release during both enzymatic and acid hydrolysis. Furthermore, postharvest studies should also be expanded with quantitative analytical techniques to explore how handling practices, storage conditions, and packaging methods influence VOC stability and release over time. The potential for glycosidically bound volatiles to act as reservoirs for aroma compounds under different postharvest conditions should be systematically investigated, providing insights into optimizing fruit quality during distribution and retail.
By addressing these recommendations, future research will not only advance our understanding of the chemical and sensory properties of dragon fruit but also support the establishment of industry standards and promote the global competitiveness of Australian-grown varieties.
5. Research Limitations and Recommendations for Future Research
There were two major limitations in this exploratory study: sample preparation and the compound reporting procedure. For sample preparation, freeze-dried samples were utilized instead of fresh samples. The freeze-drying technique has been reported to cause volatile compounds to degrade, leading to incomprehensible volatile profiles [77]. However, this technique offers critical advantages that align with the objectives of this project, which includes other studies on exploring shelf-life, phytochemical volatile profiles, and metabolomics. Freeze-drying stabilizes samples by halting enzymatic and microbial activity, minimizing the variability introduced by a differing water content in frozen–thawed samples, enabling consistent and reliable comparisons across all analyses [78,79]. Moreover, the long-term stability provided by freeze-dried samples was essential for managing the multi-stage analytical workflow of this project. To address this concern, future research could incorporate complementary analyses using fresh samples to further assess the impact of freeze-drying on volatile profiles and validate the robustness of the current findings.
Incorporating retention indices (RIs) as a complementary metric to strengthen compound identification in GC-MS analyses is important. As highlighted in a recent review by Marriott [80], the use of RI standards is a recognized approach for improving identification confidence. However, due to resource constraints, additional GC-MS runs with RI standards could not be performed during this exploratory study. Future research will prioritize RI-based identification to provide a more robust analytical framework for compound characterization. Additionally, the value of adhering to the minimum reporting standards suggested by the Metabolomics Standards Initiative (MSI) lies in ensuring consistency, reproducibility, and transparency in volatile-related studies [81]. While this study has detailed the analytical platform, mass spectral matching criteria, and identification levels for the reported compounds, further efforts to meet MSI Level 1 identification criteria could enhance the rigor of findings. These improvements will be a focus of subsequent investigations, aimed at achieving higher confidence in compound identification and addressing the complexities of untargeted metabolomics studies. While this study provides valuable insights through tentative compound identification based on spectral matching, future work will integrate RI standards and stricter adherence to MSI guidelines to further strengthen the reliability and reproducibility of findings.
Moreover, this exploratory study only involved samples from Vietnam, and no other regions were included regarding imported samples. More comprehensive studies on different regions are recommended in future research.
6. Conclusions
The findings of this study provide valuable insights into the VOC profiles of Australian-grown dragon fruit, offering a scientific basis for establishing industry standards that differentiate local products from imported ones. By integrating VOC profiling into quality benchmarks, these standards can enhance the sensory appeal and market competitiveness of Australian-grown dragon fruit, supporting the growth of a sustainable and high-value industry. By profiling both free and glycosidically bound volatiles released through acid and enzymatic hydrolysis, this research highlights the distinct aroma potential and chemical complexity of Australian-grown dragon fruits, particularly those from the Northern Territory (NTW). These profiles not only differentiate Australian varieties from their imported counterparts but also underscore the impact of growing regions, varietal characteristics, and postharvest practices on VOC composition.
The comparative analysis of hydrolysis methods revealed that acid hydrolysis (AH) and enzymatic hydrolysis (EH) have distinct advantages and limitations, each contributing unique insights into the bound volatile precursor. AH proved effective in releasing compounds from sterically hindered or chemically resistant glycosides, while EH demonstrated specificity in preserving and releasing sensitive volatiles aligned with natural enzymatic processes. The complementary nature of these methods underscores the importance of employing diverse analytical approaches to comprehensively profile the aroma potential of dragon fruit. Furthermore, this study’s focus on glycosidically bound volatiles highlights their critical role as latent precursors of aroma, which can be leveraged during postharvest handling and processing to enhance sensory appeal. The identification of unique volatiles, such as phenylethyl alcohol and prenol, in Australian-grown varieties provides a foundation for developing quality markers and regional branding strategies. These findings align with global practices in the fruit industry, where aroma profiling serves as a cornerstone for product differentiation and quality assurance.
The implications of this research can assist with the establishment of robust industry standards for Australian dragon fruit. By integrating VOC profiling into quality benchmarks, these standards can capture the full sensory potential of dragon fruit, emphasizing its uniqueness and competitive edge in domestic and international markets. The development of such standards, informed by scientific evidence, will support the growth of a sustainable and high-value dragon fruit industry in Australia. Future research should aim to refine the identification of unknown compounds and further explore the biosynthetic pathways influencing VOC profiles. Additionally, understanding the environmental and postharvest factors that shape these profiles will be essential for optimizing production and marketing strategies. By addressing these gaps, the findings of this study lay the groundwork for advancing both the scientific understanding and commercial potential of dragon fruit.
Author Contributions
Conceptualization, S.-Y.C. and M.N.; methodology, S.-Y.C.; validation, S.-Y.C.; formal analysis, S.-Y.C.; investigation, S.-Y.C. and M.N.; resources, S.-Y.C.; data curation, S.-Y.C.; writing—original draft preparation, S.-Y.C.; writing—review and editing, C.-Y.X., M.S.M. and M.N.; visualization, S.-Y.C.; supervision, C.-Y.X., M.S.M. and M.N.; project administration, M.N.; funding acquisition, C.-Y.X. and M.S.M. All authors have read and agreed to the published version of the manuscript.
Funding
This research was funded by CRCNA and the CQ University Elevate Scholarship and International Excellence Award (project code: HE3997).
Data Availability Statement
The original contributions presented in this study are included in the article. For further inquiries, please contact the corresponding authors.
Acknowledgments
The authors are thankful to growers from the Australian Dragon Fruit Growers Association (ADFGA) and JE Tipper for assisting with sample collection. The authors acknowledge the financial support of the Cooperative Research Centre for Developing Northern Australia which is part of the Australian Government’s Cooperative Research Centre Program (CRCP). The CRCNA also acknowledges the financial and in-kind support of the project participants. The authors would also like to acknowledge Alan Niscioli, the Agriculture Branch, Department of Agriculture and Fisheries of the Northern Territory Government, for local facilitation in the NT. Cheng-Yuan Xu’s position is funded by the Regional Research Collaboration Program project ‘Research Institute for Northern Agriculture and Drought Resilience’, which is supported by the Australian Government Department of Education. All the authors acknowledge Alan Pollnitz and Leigh Francis for their effort in reviewing this manuscript.
Conflicts of Interest
The authors declare no conflicts of interest.
Appendix A
Table A1.
List of compounds and their corresponding labels used in PCA plots in this work.
Table A1.
List of compounds and their corresponding labels used in PCA plots in this work.
| Compound Number | Compound |
|---|---|
| X1 | Acetoin_free |
| X2 | Tridecane_free |
| X3 | Acetic acid_free |
| X4 | 2,3-Butanediol_free |
| X5 | 1-Methoxy-2-propanol_free |
| X6 | Glyceraldehyde_free |
| X7 | Dihydroxyacetone_free |
| X8 | 1-Tetradecanol_free |
| X9 | Oxirane, tetradecyl-_free |
| X10 | 1-Hexadecanol_free |
| X11 | Nerolidol_free |
| X12 | Unknown A_free |
| X13 | 1-Nonadecanol_free |
| X14 | Unknown B_free |
| X15 | Tetradecanoic acid_free |
| X16 | Unknown C_free |
| X17 | trans-Geranylgeraniol_free |
| X18 | Farnesol_free |
| X19 | Unknown D_free |
| X20 | Unknown E_free |
| X21 | Hexadecanoic acid_free |
| X22 | Octadecanoic acid_free |
| X23 | Oleic acid_free |
| X24 | Unknown F_free |
| X25 | Squalene_free |
| X26 | Linoleic acid ethyl ester_free |
| X27 | Linoelaidic acid_free |
| X28 | [1,1′-Bicyclopropyl]-2-octanoic acid, 2′-hexyl-, methyl ester_free |
| X29 | Unknown G_free |
| X30 | 9-Octadecenamide_free |
| X31 | Acetoin_acid |
| X32 | Tridecane_acid |
| X33 | Acetic acid_acid |
| X34 | 2,3-Butanediol_acid |
| X35 | 1-Methoxy-2-propanol_acid |
| X36 | 1-Tetradecanol_acid |
| X37 | Oxirane, tetradecyl-_acid |
| X38 | 1-Hexadecanol_acid |
| X39 | 1-Nonadecanol_acid |
| X40 | Tetradecanoic acid_acid |
| X41 | Farnesol_acid |
| X42 | Hexadecanoic acid_acid |
| X43 | Oleic acid_acid |
| X44 | Unknown F_acid |
| X45 | Linoleic acid ethyl ester_acid |
| X46 | Linoelaidic acid_acid |
| X47 | Ethane_acid |
| X48 | Pentadecanoic acid_acid |
| X49 | Unknown H_acid |
| X50 | Unknown I_acid |
| X51 | Unknown J_acid |
| X52 | Unknown K_acid |
| X53 | Unknown L_acid |
| X54 | Unknown M_acid |
| X55 | Unknown N_acid |
| X56 | [1,1′-Bicyclopropyl]-2-octanoic acid, 2′-hexyl-, methyl ester_acid |
| X57 | Acetoin_enzyme |
| X58 | Tridecane_enzyme |
| X59 | 1-Methoxy-2-propanol_enzyme |
| X60 | 1-Tetradecanol_enzyme |
| X61 | 1-Hexadecanol_enzyme |
| X62 | 1-Nonadecanol_enzyme |
| X63 | Tetradecanoic acid_enzyme |
| X64 | Farnesol_enzyme |
| X65 | Hexadecanoic acid_enzyme |
| X66 | Oleic acid_enzyme |
| X67 | Linoleic acid ethyl ester_enzyme |
| X68 | Linoelaidic acid_enzyme |
| X69 | Prenol_enzyme |
| X70 | Ethane_enzyme |
| X71 | Phenylethyl alcohol_enzyme |
| X72 | Unknown O_enzyme |
| X73 | Unknown P_enzyme |
| X74 | Unknown Q_enzyme |
| X75 | Unknown R_enzyme |
| X76 | Unknown S_enzyme |
| X77 | [1,1′-Bicyclopropyl]-2-octanoic acid, 2′-hexyl-, methyl ester_enzyme |
Note: compound names ending with “_free”—free volatile compounds identified; “_acid”—volatile compounds released by acid hydrolysis; “_enzyme”—volatile compounds released by enzymatic hydrolysis.
Figure A1.
TIC of blank for free volatile compound analysis. Note: X axis—retention time (mins); Y axis—peak intensity counts.
Figure A1.
TIC of blank for free volatile compound analysis. Note: X axis—retention time (mins); Y axis—peak intensity counts.

Figure A2.
TIC of blank for analysis of volatile compounds released by acid hydrolysis. Peak i: 2,4-Decadienal; ii: Hexanoic acid; iii: 2-Heptaflurobutyroxypentadecane; iv: 2-Nonen-1-ol; v: Triethylene glycol monododecyl ether; vi: Octaethylene glycol monododecyl ether. Note: X axis—retention time (mins); Y axis—peak intensity counts.
Figure A2.
TIC of blank for analysis of volatile compounds released by acid hydrolysis. Peak i: 2,4-Decadienal; ii: Hexanoic acid; iii: 2-Heptaflurobutyroxypentadecane; iv: 2-Nonen-1-ol; v: Triethylene glycol monododecyl ether; vi: Octaethylene glycol monododecyl ether. Note: X axis—retention time (mins); Y axis—peak intensity counts.

Figure A3.
TIC of blank for analysis of volatile compounds released by enzymatic hydrolysis. Peak I: Acetic acid; II: Cerasynt; III: Octaethylene glycol monododecyl ether. Note: X axis—retention time (mins); Y axis—peak intensity counts.
Figure A3.
TIC of blank for analysis of volatile compounds released by enzymatic hydrolysis. Peak I: Acetic acid; II: Cerasynt; III: Octaethylene glycol monododecyl ether. Note: X axis—retention time (mins); Y axis—peak intensity counts.

References
- Salvin, S.; Bourke, M.; Byrne, T. The New Crop Industries Handbook; RIRDC: Canberra, Australia, 2004.
- Diczbalis, Y. Tropical Exotic Fruit Industry: Strategic Direction Setting 2012–2015; RIRDC: Canberra, Australia, 2012.
- Stahl-Biskup, E.; Intert, F.; Holthuijzen, J.; Stengele, M.; Schulz, G. Glycosidically bound volatiles—A review 1986–1991. Flavour Fragr. J. 1993, 8, 61–80. [Google Scholar] [CrossRef]
- Liang, Z.; Fang, Z.; Pai, A.; Luo, J.; Gan, R.; Gao, Y.; Lu, J.; Zhang, P. Glycosidically bound aroma precursors in fruits: A comprehensive review. Crit. Rev. Food Sci. Nutr. 2022, 62, 215–243. [Google Scholar] [CrossRef] [PubMed]
- Schreier, P.; Drawert, F.; Junker, A. Identification of volatile constituents from grapes. J. Agric. Food Chem. 1976, 24, 331–336. [Google Scholar] [CrossRef]
- Winterhalter, P.; Skouroumounis, G.K. Glycoconjugated aroma compounds: Occurrence, role and biotechnological transformation. Biotechnol. Aroma Compd. 2006, 23, 73–105. [Google Scholar]
- Sarry, J.-E.; Günata, Z. Plant and microbial glycoside hydrolases: Volatile release from glycosidic aroma precursors. Food Chem. 2004, 87, 509–521. [Google Scholar] [CrossRef]
- Boulanger, R.; Crouzet, J. Free and bound flavour components of Amazonian fruits: 3-glycosidically bound components of cupuacu. Food Chem. 2000, 70, 463–470. [Google Scholar] [CrossRef]
- Chen, X.; Fedrizzi, B.; Kilmartin, P.A.; Quek, S.Y. Free and glycosidic volatiles in tamarillo (Solanum betaceum Cav. syn. Cyphomandra betacea Sendt.) juices prepared from three cultivars grown in New Zealand. J. Agric. Food Chem. 2021, 69, 4518–4532. [Google Scholar] [CrossRef] [PubMed]
- Sakho, M.; Chassagne, D.; Crouzet, J. African mango glycosidically bound volatile compounds. J. Agric. Food Chem. 1997, 45, 883–888. [Google Scholar] [CrossRef]
- Pérez, A.G.; Cert, A.; Ríos, J.J.; Olías, J.M. Free and glycosidically bound volatile compounds from two banana cultivars: Valery and Pequena Enana. J. Agric. Food Chem. 1997, 45, 4393–4397. [Google Scholar] [CrossRef]
- Gunata, Z.; Bitteur, S.; Brillouet, J.-M.; Bayonove, C.; Cordonnier, R. Sequential enzymic hydrolysis of potentially aromatic glycosides from grape. Carbohydr. Res. 1988, 184, 139–149. [Google Scholar] [CrossRef]
- Günata, Z.; Blondeel, C.; Vallier, M.; Lepoutre, J.; Sapis, J.; Watanabe, N. An endoglycosidase from grape berry skin of cv. M. Alexandria hydrolyzing potentially aromatic disaccharide glycosides. J. Agric. Food Chem. 1998, 46, 2748–2753. [Google Scholar] [CrossRef]
- Vasserot, Y.; Arnaud, A.; Galzy, P. Monoterpenol glycosides in plants and their biotechnological transformation. Acta Biotechnol. 1995, 15, 77–95. [Google Scholar] [CrossRef]
- Kinoshita, T.; Hirata, S.; Yang, Z.; Baldermann, S.; Kitayama, E.; Matsumoto, S.; Suzuki, M.; Fleischmann, P.; Winterhalter, P.; Watanabe, N. Formation of damascenone derived from glycosidically bound precursors in green tea infusions. Food Chem. 2010, 123, 601–606. [Google Scholar] [CrossRef]
- Muradova, M.; Proskura, A.; Canon, F.; Aleksandrova, I.; Schwartz, M.; Heydel, J.-M.; Baranenko, D.; Nadtochii, L.; Neiers, F. Unlocking Flavor Potential Using Microbial β-Glucosidases in Food Processing. Foods 2023, 12, 4484. [Google Scholar] [CrossRef] [PubMed]
- de Morais Souto, B.; Barbosa, M.F.; Sales, R.M.M.; Moura, S.C.; Araújo, A.d.R.B.; Quirino, B.F. The potential of β-glucosidases for aroma and flavor improvement in the food industry. Microbe 2023, 1, 100004. [Google Scholar] [CrossRef]
- Gao, J.; Wu, B.-P.; Gao, L.-X.; Liu, H.-R.; Zhang, B.; Sun, C.-D.; Chen, K.-S. Glycosidically bound volatiles as affected by ripening stages of Satsuma mandarin fruit. Food Chem. 2018, 240, 1097–1105. [Google Scholar] [CrossRef]
- Yu, A.N.; Yang, Y.N.; Yang, Y.; Zheng, F.P.; Sun, B.G. Free and bound volatile compounds in the Rubus coreanus fruits of different ripening stages. J. Food Biochem. 2019, 43, e12964. [Google Scholar] [CrossRef] [PubMed]
- Chen, X.; Quek, S.Y.; Fedrizzi, B.; Kilmartin, P.A. Characterization of free and glycosidically bound volatile compounds from tamarillo (Solanum betaceum Cav.) with considerations on hydrolysis strategies and incubation time. LWT 2020, 124, 109178. [Google Scholar] [CrossRef]
- Johnson, J.B.; Mani, J.S.; White, S.; Brown, P.; Naiker, M. Pungent and volatile constituents of dried Australian ginger. Curr. Res. Food Sci. 2021, 4, 612–618. [Google Scholar] [CrossRef] [PubMed]
- Hampel, D.; Robinson, A.L.; Johnson, A.; Ebeler, S.E. Direct hydrolysis and analysis of glycosidically bound aroma compounds in grapes and wines: Comparison of hydrolysis conditions and sample preparation methods. Aust. J. Grape Wine Res. 2014, 20, 361–377. [Google Scholar] [CrossRef]
- Dziadas, M.; Jeleń, H.H. Comparison of enzymatic and acid hydrolysis of bound flavor compounds in model system and grapes. Food Chem. 2016, 190, 412–418. [Google Scholar] [CrossRef]
- Muttray, A.; Gosepath, J.; Brieger, J.; Faldum, A.; Mayer-Popken, O.; Jung, D.; Roßbach, B.; Mann, W.; Letzel, S. Acute effects of an exposure to 100 ppm 1-methoxypropanol-2 on the upper airways of human subjects. Toxicol. Lett. 2013, 220, 187–192. [Google Scholar] [CrossRef] [PubMed]
- Dibello, E.; Gamenara, D.; Seoane, G. Preparation of O-Protected Glyceraldehydes as Building Blocks in Organic Synthesis. Org. Prep. Proced. Int. 2015, 47, 415–442. [Google Scholar] [CrossRef]
- Green, S.; Whalen, E.; Molokie, E. Dihydroxyacetone: Production and uses. J. Biochem. Microbiol. Technol. Eng. 1961, 3, 351–355. [Google Scholar] [CrossRef]
- Niemirich, O.; Frolova, N.; Ustymenko, I.; Havrysh, A. Differences in the composition of vocable compounds in fresh and dried mixed heat supply of white rolled cabbage. Ukr. Food J. 2020, 9, 864–872. [Google Scholar] [CrossRef]
- Nistor, A.-M.; Niculaua, M.; Luchian, C.-E.; Cotan, Ș.-D.; Teliban, I.-V.; Cotea, V.V. Negative influence of temperature over flavor compounds from wine. Lucr. Ştiinţifice Ser. Hortic. 2017, 60, 127–132. [Google Scholar]
- Wang, Y.; Kays, S. Contribution of volatile compounds to the characteristic aroma of BakedJewel’ Sweetpotatoes. J. Am. Soc. Hortic. Sci. 2000, 125, 638–643. [Google Scholar] [CrossRef]
- Li, J.; Yu, X.; Shan, Q.; Shi, Z.; Li, J.; Zhao, X.; Chang, C.; Yu, J. Integrated volatile metabolomic and transcriptomic analysis provides insights into the regulation of floral scents between two contrasting varieties of Lonicera japonica. Front. Plant Sci. 2022, 13, 989036. [Google Scholar] [CrossRef] [PubMed]
- Osawa, C.; Gonçalves, L.; Da Silva, M. Odor significance of the volatiles formed during deep-frying with palm olein. J. Am. Oil Chem. Soc. 2013, 90, 183–189. [Google Scholar] [CrossRef]
- Sumi, E.; Anandan, R.; Rajesh, R.; Ravishankar, C.; Mathew, S. Nutraceutical and therapeutic applications of squalene. Fish. Technol. 2018, 55, 229–237. [Google Scholar]
- Niu, Y.; Liu, Y.; Xiao, Z. Evaluation of perceptual interactions between ester aroma components in Langjiu by GC-MS, GC-O, sensory analysis, and vector model. Foods 2020, 9, 183. [Google Scholar] [CrossRef] [PubMed]
- Ou, C.; Bi, X.; Liu, Y.; Fu, T.; Ouyang, Q.; Li, S.; Chen, C. Thermal degradation of capsaicin and dihydrocapsaicin: Mechanism and hazards of volatile products. J. Anal. Appl. Pyrolysis 2024, 182, 106714. [Google Scholar] [CrossRef]
- Ho, P.L.; Tran, D.T.; Hertog, M.L.; Nicolaï, B.M. Effect of controlled atmosphere storage on the quality attributes and volatile organic compounds profile of dragon fruit (Hylocereus undatus). Postharvest Biol. Technol. 2021, 173, 111406. [Google Scholar] [CrossRef]
- Wu, Q.; Gao, H.; You, Z.; Zhang, Z.; Zhu, H.; He, M.; He, J.; Duan, X.; Jiang, Y.; Yun, Z. Multiple metabolomics comparatively investigated the pulp breakdown of four dragon fruit cultivars during postharvest storage. Food Res. Int. 2023, 164, 112410. [Google Scholar] [CrossRef] [PubMed]
- Li, Y.; Zhao, H.; Liu, X. Influence of inoculation with different non-Saccharomyces yeasts and Saccharomyces cerevisiae on the aroma chemical composition and sensorial features of red dragon fruit wine. Int. J. Food Eng. 2024, 20, 743–754. [Google Scholar] [CrossRef]
- Xiao, Z.; Lu, J.R. Generation of acetoin and its derivatives in foods. J. Agric. Food Chem. 2014, 62, 6487–6497. [Google Scholar] [CrossRef]
- Juni, E. Mechanisms of formation of acetoin by bacteria. J. Biol. Chem. 1952, 195, 715–726. [Google Scholar] [CrossRef]
- Majdodin, N.; Baniyaghoob, S.; Tahvildari, K.; Vahid, A. A Comprehensive Review of Classic and Modern Natural Gas Odorants. Iran. J. Chem. Chem. Eng. (IJCCE) 2024, 43, 2831–2854. [Google Scholar]
- Liu, C.; Yang, P.; Wang, H.; Song, H. Identification of odor compounds and odor-active compounds of yogurt using DHS, SPME, SAFE, and SBSE/GC-O-MS. LWT 2022, 154, 112689. [Google Scholar] [CrossRef]
- Wright, M.; Klasson, K.T.; Kimura, K. Production of acetoin from sweet sorghum syrup and beet juice via fermentation. Sugar Tech 2020, 22, 354–359. [Google Scholar] [CrossRef]
- Liu, Z.; Zhao, M.; Li, J. Aroma volatiles in litchi fruit: A mini-review. Horticulturae 2022, 8, 1166. [Google Scholar] [CrossRef]
- Zhou, C.; Shen, H.; Yan, S.; Ma, C.; Leng, J.; Song, Y.; Gao, N. Acetoin Promotes Plant Growth and Alleviates Saline Stress by Activating Metabolic Pathways in Lettuce Seedlings. Plants 2024, 13, 3312. [Google Scholar] [CrossRef] [PubMed]
- Petrov, K.; Petrova, P. Current advances in microbial production of acetoin and 2,3-butanediol by Bacillus spp. Fermentation 2021, 7, 307. [Google Scholar] [CrossRef]
- Zhang, L.; Singh, R.; Sivakumar, D.; Guo, Z.; Li, J.; Chen, F.; He, Y.; Guan, X.; Kang, Y.C.; Lee, J.-K. An artificial synthetic pathway for acetoin, 2, 3-butanediol, and 2-butanol production from ethanol using cell free multi-enzyme catalysis. Green Chem. 2018, 20, 230–242. [Google Scholar] [CrossRef]
- Zhang, W.; Wang, S.; Yang, J.; Kang, C.; Huang, L.; Guo, L. Glycosylation of plant secondary metabolites: Regulating from chaos to harmony. Environ. Exp. Bot. 2022, 194, 104703. [Google Scholar] [CrossRef]
- Musilova, L.; Ridl, J.; Polivkova, M.; Macek, T.; Uhlik, O. Effects of secondary plant metabolites on microbial populations: Changes in community structure and metabolic activity in contaminated environments. Int. J. Mol. Sci. 2016, 17, 1205. [Google Scholar] [CrossRef]
- Harren, F.J.; Cristescu, S.M. Online, real-time detection of volatile emissions from plant tissue. AoB Plants 2013, 5, plt003. [Google Scholar] [CrossRef] [PubMed]
- Kimmerer, T.W.; Kozlowski, T.T. Ethylene, ethane, acetaldehyde, and ethanol production by plants under stress. Plant Physiol. 1982, 69, 840–847. [Google Scholar] [CrossRef]
- Santosa, I.; Ram, P.; Boamfa, E.; Laarhoven, L.; Reuss, J.; Jackson, M.; Harren, F. Patterns of peroxidative ethane emission from submerged rice seedlings indicate that damage from reactive oxygen species takes place during submergence and is not necessarily a post-anoxic phenomenon. Planta 2007, 226, 193–202. [Google Scholar] [CrossRef] [PubMed]
- Taiti, C.; Costa, C.; Menesatti, P.; Caparrotta, S.; Bazihizina, N.; Azzarello, E.; Petrucci, W.A.; Masi, E.; Giordani, E. Use of volatile organic compounds and physicochemical parameters for monitoring the post-harvest ripening of imported tropical fruits. Eur. Food Res. Technol. 2015, 241, 91–102. [Google Scholar] [CrossRef]
- Scognamiglio, J.; Jones, L.; Letizia, C.; Api, A. Fragrance material review on phenylethyl alcohol. Food Chem. Toxicol. 2012, 50, S224–S239. [Google Scholar] [CrossRef] [PubMed]
- Vranová, E.; Coman, D.; Gruissem, W. Structure and dynamics of the isoprenoid pathway network. Mol. Plant 2012, 5, 318–333. [Google Scholar] [CrossRef] [PubMed]
- Schwab, W.; Davidovich-Rikanati, R.; Lewinsohn, E. Biosynthesis of plant-derived flavor compounds. Plant J. 2008, 54, 712–732. [Google Scholar] [CrossRef] [PubMed]
- Dudareva, N.; Klempien, A.; Muhlemann, J.K.; Kaplan, I. Biosynthesis, function and metabolic engineering of plant volatile organic compounds. New Phytol. 2013, 198, 16–32. [Google Scholar] [CrossRef] [PubMed]
- Croy, I.; Lange, K.; Krone, F.; Negoias, S.; Seo, H.-S.; Hummel, T. Comparison between odor thresholds for phenyl ethyl alcohol and butanol. Chem. Senses 2009, 34, 523–527. [Google Scholar] [CrossRef]
- Jiang, Y.; Ma, L.; Yuan, Y.; Gong, X.; Lin, L. Changes of aroma components of pineapple wine during fermentation with ADT strain. In IOP Conference Series: Materials Science and Engineering; IOP Publishing: Bristol, UK, 2018; p. 052004. [Google Scholar]
- Shuai, X.; Zhang, M.; Ma, F.; Du, L. Analysis of Volatile Components in Gui Qi Mango Fruit Wine. In IOP Conference Series: Earth and Environmental Science; IOP Publishing: Bristol, UK, 2020; p. 022041. [Google Scholar]
- Omata, A.; Yomogida, K.; Nakamura, S.; Hashimoto, S.; Koba, S.; Furukawa, K.; Noro, S. Volatile components of apple flowers. Flavour Fragr. J. 1990, 5, 19–22. [Google Scholar] [CrossRef]
- Shende, V.V.; Bauman, K.D.; Moore, B.S. The shikimate pathway: Gateway to metabolic diversity. Nat. Prod. Rep. 2024, 41, 604–648. [Google Scholar] [CrossRef] [PubMed]
- Kumar, A.; Zhimo, V.Y.; Biasi, A.; Feygenberg, O.; Salim, S.; White, J.F.; Wisniewski, M.; Droby, S. Microbial volatiles: Prospects for plant defense and disease management. In Food Security and Plant Disease Management; Kumar, A., Droby, S., Eds.; Elsevier: Amsterdam, The Netherlands, 2021; pp. 387–404. [Google Scholar]
- Li, X.-B.; Hu, C.-M.; Li, C.-H.; Ji, G.-Y.; Luo, S.-Z.; Cao, Y.; Ji, K.-P.; Tan, Q.; Bao, D.-P.; Shang, J.-J. LC/MS-and GC/MS-based metabolomic profiling to determine changes in flavor quality and bioactive components of Phlebopus portentosus under low-temperature storage. Front. Nutr. 2023, 10, 1168025. [Google Scholar] [CrossRef] [PubMed]
- Lu, X.; Huang, L.; Scheller, H.V.; Keasling, J.D. Medicinal terpenoid UDP-glycosyltransferases in plants: Recent advances and research strategies. J. Exp. Bot. 2023, 74, 1343–1357. [Google Scholar] [CrossRef]
- Rahman, H.; Sitompul, J.P.; Tjokrodiningrat, S. The composition of fatty acids in several vegetable oils from Indonesia. Biodiversitas J. Biol. Divers. 2022, 23, 2167–2176. [Google Scholar] [CrossRef]
- Davis, R.A.; Fettinger, J.C.; Gervay-Hague, J. Tandem glycosyl iodide glycosylation and regioselective enzymatic acylation affords 6-O-tetradecanoyl-α-d-cholesterylglycosides. J. Org. Chem. 2014, 79, 8447–8452. [Google Scholar] [CrossRef] [PubMed]
- Zhu, F.; Du, B.; Ma, Y.; Li, J. The glycosidic aroma precursors in wine: Occurrence, characterization and potential biological applications. Phytochem. Rev. 2017, 16, 565–571. [Google Scholar] [CrossRef]
- Timell, T. The acid hydrolysis of glycosides: I. General conditions and the effect of the nature of the aglycone. Can. J. Chem. 1964, 42, 1456–1472. [Google Scholar] [CrossRef]
- Saunders, M.; Chandrasekhar, J.; Schleyer, P.V.R. Rearrangements of carbocations. In Organic Chemistry: A Series of Monographs; Elsevier: Amsterdam, The Netherlands, 1980; Volume 42, pp. 1–53. [Google Scholar]
- Manassen, J. The Mechanism of Dehydration of Alcohols. In Advances in Catalysis; Academic Press: Cambridge, MA, USA, 1966; p. 49. [Google Scholar]
- Wang, Z.; Chen, K.; Liu, C.; Ma, L.; Li, J. Effects of glycosidase on glycoside-bound aroma compounds in grape and cherry juice. J. Food Sci. Technol. 2023, 60, 761–771. [Google Scholar] [CrossRef] [PubMed]
- Lu, H.; Zhao, H.; Zhong, T.; Chen, D.; Wu, Y.; Xie, Z. Molecular Regulatory Mechanisms Affecting Fruit Aroma. Foods 2024, 13, 1870. [Google Scholar] [CrossRef] [PubMed]
- Liu, B.; Xu, X.-Q.; Cai, J.; Lan, Y.-B.; Zhu, B.-Q.; Wang, J. The free and enzyme-released volatile compounds of distinctive Vitis amurensis var. Zuoshanyi grapes in China. Eur. Food Res. Technol. 2015, 240, 985–997. [Google Scholar] [CrossRef]
- Baig, K. Interaction of enzymes with lignocellulosic materials: Causes, mechanism and influencing factors. Bioresour. Bioprocess. 2020, 7, 1–19. [Google Scholar] [CrossRef]
- Zhang, S.; Wang, K.; Qin, Y.; Zhu, S.; Gao, Q.; Liu, D. The synthesis, biological activities and applications of protein–polysaccharide conjugates in food system: A review. Food Qual. Saf. 2023, 7, fyad006. [Google Scholar] [CrossRef]
- Ghaste, M.; Narduzzi, L.; Carlin, S.; Vrhovsek, U.; Shulaev, V.; Mattivi, F. Chemical composition of volatile aroma metabolites and their glycosylated precursors that can uniquely differentiate individual grape cultivars. Food Chem. 2015, 188, 309–319. [Google Scholar] [CrossRef] [PubMed]
- Harguindeguy, M.; Fissore, D. On the effects of freeze-drying processes on the nutritional properties of foodstuff: A review. Dry Technol. 2020, 38, 846–868. [Google Scholar] [CrossRef]
- Oikawa, A.; Otsuka, T.; Jikumaru, Y.; Yamaguchi, S.; Matsuda, F.; Nakabayashi, R.; Takashina, T.; Isuzugawa, K.; Saito, K.; Shiratake, K. Effects of freeze-drying of samples on metabolite levels in metabolome analyses. J. Sep. Sci. 2011, 34, 3561–3567. [Google Scholar] [CrossRef] [PubMed]
- Shofian, N.M.; Hamid, A.A.; Osman, A.; Saari, N.; Anwar, F.; Dek, M.S.P.; Hairuddin, M.R. Effect of freeze-drying on the antioxidant compounds and antioxidant activity of selected tropical fruits. Int. J. Mol. Sci. 2011, 12, 4678–4692. [Google Scholar] [CrossRef]
- Bizzo, H.R.; Brilhante, N.S.; Nolvachai, Y.; Marriott, P.J. Use and abuse of retention indices in gas chromatography. J. Chromatogr. A 2023, 1708, 464376. [Google Scholar] [CrossRef] [PubMed]
- Summer, L.; Amberg, A.; Barrett, D.; Beale, M.; Beger, R.; Daykin, C.; Fan, T.; Fiehn, O.; Goodacre, R.; Griffin, J. Proposed minimum reporting standards for chemical analysis. Metabolomics 2007, 3, 211–221. [Google Scholar] [CrossRef] [PubMed]
Disclaimer/Publisher’s Note: The statements, opinions and data contained in all publications are solely those of the individual author(s) and contributor(s) and not of MDPI and/or the editor(s). MDPI and/or the editor(s) disclaim responsibility for any injury to people or property resulting from any ideas, methods, instructions or products referred to in the content. |
© 2025 by the authors. Licensee MDPI, Basel, Switzerland. This article is an open access article distributed under the terms and conditions of the Creative Commons Attribution (CC BY) license (https://creativecommons.org/licenses/by/4.0/).

































































