Simultaneous Detection of Serotonin and 17β-Estradiol Using rGO/SPCE Modified with Cu(II) Complex: A Novel Approach for PMDD Diagnosis
Abstract
1. Introduction
2. Materials and Methods
2.1. Reagents
2.2. Apparatus
2.3. Fabrication of Cu(LNO2)2/rGO/SPCE
2.4. Electrochemical Measurements
3. Results
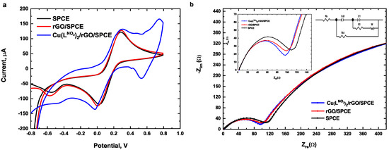
3.1. Morphological Characterization of Cu(LNO2)2/rGO/SPCE
3.2. Electrochemical Characterization of Cu(LNO2)2/rGO/SPCE
3.3. Electrochemical Performance of Cu(LNO2)2/rGO/SPCE
3.4. Optimization of Parameters for LSV Serotonin and 17β-Estradiol Simultaneous Detection
3.5. Analytical Performance of Cu(LNO2)2/rGO/SPCE
3.6. Repeatability, Stability, and Selectivity of the Cu(LNO2)2/rGO/SPCE
3.7. Evaluation of the Performance of Cu(LNO2)2/rGO/SPCE for Detection Serotonin and 17β-Estradiol
4. Conclusions
Supplementary Materials
Author Contributions
Funding
Institutional Review Board Statement
Informed Consent Statement
Data Availability Statement
Acknowledgments
Conflicts of Interest
References
- Halbreich, U.; Borenstein, J.; Pearlstein, T. The Prevalence, Impairment, Impact, and Burden of Premenstrual Dysphoric Disorder (PMS/PMDD). Psychoneuroendocrinology 2003, 28, 1–23. [Google Scholar] [CrossRef]
- Hofmeister, S.; Bodden, S.; College, M. Premenstrual Syndrome and Premenstrual Dysphoric Disorder. Am. Fam. Physician 2016, 94, 236–240. [Google Scholar]
- Ducasse, D.; Jaussent, I.; Olié, E.; Guillaume, S. Personality Traits of Suicidality Are Associated with Premenstrual Syndrome and Premenstrual Dysphoric Disorder in a Suicidal Women Sample. PLoS ONE 2016, 11, e0148653. [Google Scholar] [CrossRef]
- Slyepchenko, A.; Minuzzi, L.; Frey, B.N. Comorbid Premenstrual Dysphoric Disorder and Bipolar Disorder: A Review. Front. Psychiatry 2021, 12, 719241. [Google Scholar] [CrossRef]
- American Psychiatric Association. Diagnostic and Statistical Manual of Mental Disorders (DSM-5), 5th ed.; American Psychiatric Association: Washington, DC, USA, 2013. [Google Scholar]
- Hantsoo, L.; Epperson, C.N. Premenstrual Dysphoric Disorder: Epidemiology and Treatment. Curr. Psychiatry Rep. 2015, 28, 87. [Google Scholar] [CrossRef] [PubMed]
- Prasad, D.; Wollenhaupt-Aguiar, B.; Kidd, K.N.; Cardoso, T.D.A.; Frey, B.N. Suicidal Risk in Women with Premenstrual Syndrome and Premenstrual Dysphoric Disorder: A Systematic Review and Meta-Analysis. J. Women’s Health 2021, 30, 1693–1707. [Google Scholar] [CrossRef]
- Leenaars, A.A.; Dogra, T.D.; Girdhar, S.; Dattagupta, S.; Leenaars, L. Menstruation and suicide: A histopathological study. Crisis 2009, 30, 202–207. [Google Scholar] [CrossRef]
- Papadopoulou, A.; Efstathiou, V.; Christodoulou, C.; Gournellis, R. Clinical and Psychometric Features of Psychiatric Patients after a Suicide Attempt in Relation with Menstrual Cycle Phases. Arch. Women’s Ment. Health 2019, 22, 605–611. [Google Scholar] [CrossRef]
- Yan, H.; Ding, Y.; Guo, W. Suicidality in Patients with Premenstrual Dysphoric Disorder—A Systematic Review and Meta-Analysis. J. Affect. Disord. 2021, 295, 339–346. [Google Scholar] [CrossRef]
- Osborn, E.; Brooks, J.; Brien, P.M.S.O.; Wittkowski, A. Suicidality in Women with Premenstrual Dysphoric Disorder: A Systematic Literature Review. Arch. Women’s Ment. Health 2021, 24, 173–184. [Google Scholar] [CrossRef]
- Gao, M.; Qiao, M.; An, L.; Wang, G.; Wang, J.; Song, C.; Wei, F.; Yu, Y.; Gong, T.; Gao, D. Brain Reactivity to Emotional Stimuli in Women with Premenstrual Dysphoric Disorder and Related Personality Characteristics. Aging 2021, 13, 19529–19541. [Google Scholar] [CrossRef]
- Critchley, H.O.; Babayev, E.; Bulun, S.E.; Clark, S.; Garcia-Grau, I.; Gregersen, P.K.; Kilcoyne, A.; Kim, J.-Y.; Lavender, M.; Marsh, E.E.; et al. Expert Reviews Menstruation: Science and Society. Am. J. Obstet. Gynecol. 2020, 223, 624–664. [Google Scholar] [CrossRef]
- Nappi, R.E.; Cucinella, L.; Bosoni, D.; Righi, A.; Battista, F.; Molinaro, P.; Stincardini, G.; Piccinino, M.; Rossini, R.; Tiranini, L. Premenstrual Syndrome and Premenstrual Dysphoric Disorder as Centrally Based Disorders. Endocrines 2022, 3, 127–138. [Google Scholar] [CrossRef]
- Nayman, S.; Beddig, T.; Reinhard, I.; Kuehner, C. Effects of Cognitive Emotion Regulation Strategies on Mood and Cortisol in Daily Life in Women with Premenstrual Dysphoric Disorder. Psychol. Med. 2023, 53, 5342–5352. [Google Scholar] [CrossRef] [PubMed]
- Hantsoo, L.; Epperson, C.N. Allopregnanolone in Premenstrual Dysphoric Disorder (PMDD): Evidence for Dysregulated Sensitivity to GABA-A Receptor Modulating Neuroactive Steroids across the Menstrual Cycle. Neurobiol. Stress 2020, 12, 100213. [Google Scholar] [CrossRef]
- Dubol, M.; Epperson, C.N.; Lanzenberger, R.; Sundström-poromaa, I. Neuroimaging Premenstrual Dysphoric Disorder: A Systematic and Critical Review. Front. Neuroendocrinol. 2020, 57, 100838. [Google Scholar] [CrossRef]
- Alevizou, F.; Vousoura, E.; Leonardou, A. Premenstrual Dysphoric Disorder: A Critical Review of Its Phenomenology, Etiology, Treatment and Clinical Status. Curr. Women’s Health Rev. 2018, 14, 59–66. [Google Scholar] [CrossRef]
- Andrzej, M.; Diana, J. Premenstrual Syndrome: From Etiology to Treatment. Maturitas 2006, 55S, S47–S54. [Google Scholar] [CrossRef]
- Wu, Z.; Zhang, C.; Yang, C.; Zhang, X.; Wu, E. Simultaneous Quantitative Determination of Norgestrel and Progesterone in Human Serum by High-Performance Liquid Chromatography-Tandem Mass Spectrometry with Atmospheric Pressure Chemical Ionization. Analyst 2000, 125, 2201–2205. [Google Scholar] [CrossRef]
- Pucci, V.; Bugamelli, F.; Mandrioli, R.; Luppi, B.; Raggi, M.A. Determination of Progesterone in Commercial Formulations and in Non Conventional Micellar Systems. J. Pharm. Biomed. Anal. 2003, 30, 1549–1559. [Google Scholar] [CrossRef]
- Cao, W.; Gong, P.; Liu, W.; Zhuang, M.; Yang, J. A Sensitive Flow Injection Chemiluminescence Method for the Determination of Progesterone. Drug Test. Anal. 2013, 5, 242–246. [Google Scholar] [CrossRef]
- Mishra, A.; Joy, K.P. HPLC-Electrochemical Detection of Ovarian Estradiol-17β and Catecholestrogens in the catfish Heteropneustes fossilis: Seasonal and Periovulatory Changes. Gen. Comp. Endocrinol. 2006, 145, 84–91. [Google Scholar] [CrossRef]
- Sun, M.; Du, L.; Gao, S.; Bao, Y.; Wang, S. Determination of 17β-Oestradiol by Fluorescence Immunoassay with Streptavidin-Conjugated Quantum Dots as Label. Steroids 2010, 75, 400–403. [Google Scholar] [CrossRef] [PubMed]
- Ying, G.G.; Kookana, R.S.; Chen, Z. On-Line Solid-Phase Extraction and Fluorescence Detection of Selected Endocrine Disrupting Chemicals in Water by High-Performance Liquid Chromatography. J. Environ. Sci. Health Part B 2002, 37, 225–234. [Google Scholar] [CrossRef] [PubMed]
- Ly, D.; Kang, K.; Choi, J.-Y.; Ishihara, A.; Back, K.; Lee, S.-G. HPLC Analysis of Serotonin, Tryptamine, Tyramine, and the Hydroxycinnamic Acid Amides of Serotonin and Tyramine in Food Vegetables. J. Med. Food 2008, 11, 385–389. [Google Scholar] [CrossRef] [PubMed]
- Pussard, E.; Guigueno, N.; Adam, O.; Giudicelli, J.F. Validation of HPLC-Amperometric Detection to Measure Serotonin in Plasma, Platelets, Whole Blood, and Urine. Clin. Chem. 1996, 42, 1086–1091. [Google Scholar] [CrossRef] [PubMed]
- Yılmaz, A.; Bilgi, M.; Yılmaz, M.; Atıcı, T. Ultra-Sensitive Electrochemical Sensors for Simultaneous Determination of Dopamine and Serotonin Based on Titanium Oxide-Gold Nanoparticles-Poly Nile Blue (in Deep Eutectic Solvent). Electrochim. Acta 2023, 467, 143046. [Google Scholar] [CrossRef]
- Fazl, F.; Gholivand, M.B. High Performance Electrochemical Method for Simultaneous Determination Dopamine, Serotonin, and Tryptophan by ZrO2–CuO Co-Doped CeO2 Modified Carbon Paste Electrode. Talanta 2022, 239, 122982. [Google Scholar] [CrossRef] [PubMed]
- Musa, A.M.; Kiely, J.; Luxton, R.; Honeychurch, K.C. Correction to: An Electrochemical Screen-Printed Sensor Based on Gold-Nanoparticle-Decorated Reduced Graphene Oxide–Carbon Nanotubes Composites for the Determination of 17-β Estradiol. Biosensors 2023, 13, 756. [Google Scholar] [CrossRef]
- Xie, P.; Liu, Z.; Huang, S.; Chen, J.; Yan, Y.; Li, N.; Zhang, M.; Jin, M.; Shui, L. A Sensitive Electrochemical Sensor Based on Wrinkled Mesoporous Carbon Nanomaterials for Rapid and Reliable Assay of 17β-Estradiol. Electrochim. Acta 2022, 408, 139960. [Google Scholar] [CrossRef]
- Cortés, P.; Castroagudín, M.; Kesternich, V.; Pérez-Fehrmann, M.; Carmona, E.; Zaragoza, G.; Vizcarra, A.; Hernández-Saravia, L.P.; Nelson, R. Ligand Influence in Electrocatalytic Properties of Cu(II) Triazole Complexes for Hydrogen Peroxide Detection in Aqueous Media. Dalton Trans. 2023, 52, 1476–1486. [Google Scholar] [CrossRef] [PubMed]
- Hernández-Saravia, L.P.; Núñez, C.; Castroagudín, M.; Bertotti, M.; Vizcarra, A.; Arriaza, B.; Nelson, R. Development of a Fast and Simple Electrochemical Sensor for Trace Determination of Sulfite Using Copper(II) Triazole Complexes. Microchem. J. 2024, 201, 110560. [Google Scholar] [CrossRef]
- Su, M.; Lan, H.; Tian, L.; Jiang, M.; Cao, X.; Zhu, C.; Yu, C. Ti3C2Tx-Reduced Graphene Oxide Nanocomposite-Based Electrochemical Sensor for Serotonin in Human Biofluids. Sens. Actuators B Chem. 2022, 367, 132019. [Google Scholar] [CrossRef]
- Nehru, L.; Chinnathambi, S.; Fazio, E.; Neri, F.; Leonardi, S.G.; Bonavita, A.; Neri, G. Electrochemical Sensing of Serotonin by a Modified MnO2-Graphene Electrode. Biosensors 2020, 10, 33. [Google Scholar] [CrossRef] [PubMed]
- Dăscălescu, D.; Apetrei, C. Nanomaterials Based Electrochemical Sensors for Serotonin Detection: A Review. Chemosensors 2021, 9, 14. [Google Scholar] [CrossRef]
- Baluta, S.; Zajac, D.; Szyszka, A.; Malecha, K.; Cabaj, J. Enzymatic Platforms for Sensitive Neurotransmitter Detection. Sensors 2020, 20, 423. [Google Scholar] [CrossRef] [PubMed]
- Xu, Q.; Luo, L.; Liu, Z.; Guo, Z.; Huang, X. Highly Sensitive and Selective Serotonin (5-HT) Electrochemical Sensor Based on Ultrafine Fe3O4 Nanoparticles Anchored on Carbon Spheres. Biosens. Bioelectron. 2023, 222, 114990. [Google Scholar] [CrossRef] [PubMed]
- Moraes, F.C.; Rossi, B.; Donatoni, M.C.; De Oliveira, K.T.; Pereira, E.C. Sensitive Determination of 17β-Estradiol in River Water Using a Graphene Based Electrochemical Sensor. Anal. Chim. Acta 2015, 881, 37–43. [Google Scholar] [CrossRef] [PubMed]
- Supchocksoonthorn, P.; Alvior Sinoy, M.C.; de Luna, M.D.G.; Paoprasert, P. Facile Fabrication of 17β-Estradiol Electrochemical Sensor Using Polyaniline/Carbon Dot-Coated Glassy Carbon Electrode with Synergistically Enhanced Electrochemical Stability. Talanta 2021, 235, 122782. [Google Scholar] [CrossRef] [PubMed]
- Wang, Z.; Wang, P.; Tu, X.; Wu, Y.; Zhan, G.; Li, C. A Novel Electrochemical Sensor for Estradiol Based on Nanoporous Polymeric Film Bearing Poly{1-butyl-3-[3-(N-pyrrole)propyl]imidazole dodecyl sulfonate} Moiety. Sens. Actuators B Chem. 2014, 193, 190–197. [Google Scholar] [CrossRef]
- Fu, H.; Wang, Y.; Dong, X.; Liu, Y.; Chen, Z.; Shen, Y.; Yang, C.; Dong, J.; Xu, Z. Application of Nickel Cobalt Oxide Nanoflakes for Electrochemical Sensing of Estriol in Milk. RSC Adv. 2016, 6, 65588–65593. [Google Scholar] [CrossRef]
- Ananthakrishnan, D.; Venkatesvaran, H.; Kannan, A.; Gandhi, S. Simplistic One-Pot Synthesis of an Inorganic–Organic Cubic Caged Material: A New Interface for Detecting Toxic Bisphenol-A Electrochemically. New J. Chem. 2020, 44, 20192–20202. [Google Scholar] [CrossRef]
- Masikini, M.; Ghica, E.; Baker, P.G.L.; Iwuoha, E.I.; Brett, C.M.A. Electrochemical Sensor Based on Multi-Walled Carbon Nanotube/Gold Nanoparticle Modified Glassy Carbon Electrode for Detection of Estradiol in Environmental Samples. Electroanalysis 2019, 31, 1925–1933. [Google Scholar] [CrossRef]
- Shrivastava, A.; Gupta, V.B. Methods for the Determination of Limit of Detection and Limit of Quantitation of the Analytical Methods. Chron. Young Sci. 2011, 2, 21–25. [Google Scholar] [CrossRef]
- Wu, B.; Yeasmin, S.; Liu, Y.; Cheng, L. Sensitive and Selective Electrochemical Sensor for Serotonin Detection Based on Ferrocene-Gold Nanoparticles Decorated Multiwall Carbon Nanotubes. Sens. Actuator B Chem. 2022, 354, 131216. [Google Scholar] [CrossRef]
- Boonkaew, S.; Dettlaff, A.; Bogdanowicz, R.; Jönsson-niedzió, M. Electrochemical Determination of Neurotransmitter Serotonin Using Boron/Nitrogen Co-Doped Diamond-Graphene Nanowall-Structured Particles. J. Electroanal. Chem. 2022, 926, 116938. [Google Scholar] [CrossRef]
- Deepa, S.; Kumara Swamy, B.E.; Vasantakumar Pai, K. Electrochemical Sensing Performance of Citicoline Sodium Modified Carbon Paste Electrode for Determination of Dopamine and Serotonin. Mater. Sci. Energy Technol. 2020, 3, 584–592. [Google Scholar] [CrossRef]
- Salova, A.; Mahmud, S.F.; Almasoudie, N.K.A.; Mohammed, N.; Albeer, A.A.; Amer, R.F. CuO-Cu2O Nanostructures as a Sensitive Sensing Platform for Electrochemical Sensing of Dopamine, Serotonin, Acetaminophen, and Caffeine Substances. Inorg. Chem. Commun. 2024, 161, 112065. [Google Scholar] [CrossRef]
- Zeng, C.; Li, Y.; Zhu, M.; Du, Z.; Liang, H.; Chen, Q.; Ye, H.; Li, R.; Liu, W. Simultaneous Detection of Norepinephrine and 5-Hydroxytryptophan Using Poly-Alizarin/Multi-Walled Carbon Nanotubes-Graphene Modified Carbon Fiber Microelectrode Array Sensor. Talanta 2024, 270, 125565. [Google Scholar] [CrossRef] [PubMed]
- Galvão, J.C.R.; Araujo, M.d.S.; Prete, M.C.; Neto, V.L.; Dall’Antonia, L.H.; Matos, R.; Tarley, C.R.T.; Medeiros, R.A. Electrochemical Determination of 17-β-Estradiol Using a Glassy Carbon Electrode Modified with α-Fe2O3 Nanoparticles Supported on Carbon Nanotubes. Molecules 2023, 28, 6372. [Google Scholar] [CrossRef] [PubMed]
- Tanrıkut, E.; Özcan, İ.; Sel, E.; Köytepe, S.; Savan, E.K. Simultaneous Electrochemical Detection of Estradiol and Testosterone Using Nickel Ferrite Oxide Doped Mesoporous Carbon Nanocomposite Modified Sensor. J. Electrochem. Soc. 2020, 167, 124107. [Google Scholar] [CrossRef]
- Souza, M.B.; Santos, J.S.; Pontes, M.S.; Nunes, L.R.; Oliveira, I.P.; Lopez Ayme, A.J.; Santiago, E.F.; Grillo, R.; Fiorucci, A.R.; Arruda, G.J. CeO2 Nanostructured Electrochemical Sensor for the Simultaneous Recognition of Diethylstilbestrol and 17β-Estradiol Hormones. Sci. Total Environ. 2022, 805, 150348. [Google Scholar] [CrossRef]
- Marques, G.L.; Rocha, L.R.; Prete, M.C.; Gorla, F.A.; Moscardi dos Santos, D.; Segatelli, M.G.; Teixeira Tarley, C.R. Development of Electrochemical Platform Based on Molecularly Imprinted Poly(Methacrylic Acid) Grafted on Iniferter-Modified Carbon Nanotubes for 17β-Estradiol Determination in Water Samples. Electroanalysis 2021, 33, 568–578. [Google Scholar] [CrossRef]
- Sandoval-Rojas, A.P.; Ibarra, L.; Cortés, M.T.; Macías, M.A.; Suescun, L.; Hurtado, J. Synthesis and Characterization of Copper(II) Complexes Containing Acetate and N,N-Donor Ligands, and Their Electrochemical Behavior in Dopamine Detection. J. Electroanal. Chem. 2017, 805, 60–67. [Google Scholar] [CrossRef]
- Sanghavi, B.J.; Mobin, S.M.; Mathur, P.; Lahiri, G.K.; Srivastava, A.K. Biomimetic Sensor for Certain Catecholamines Employing Copper(II) Complex and Silver Nanoparticle Modified Glassy Carbon Paste Electrode. Biosens. Bioelectron. 2013, 39, 124–132. [Google Scholar] [CrossRef] [PubMed]
- Boulkroune, M.; Chibani, A.; Geneste, F. Monocopper Complex Based on N-Tripodal Ligand Immobilized in a Nafion® Film for Biomimetic Detection of Catechols: Application to Dopamine. Electrochim. Acta 2016, 221, 80–85. [Google Scholar] [CrossRef]
- Kikuchi, H.; Nakatani, Y.; Seki, Y.; Yu, X.; Sekiyama, T.; Sato-Suzuki, I.; Arita, H. Decreased Blood Serotonin in the Premenstrual Phase Enhances Negative Mood in Healthy Women. J. Psychosom. Obstet. Gynecol. 2010, 31, 83–89. [Google Scholar] [CrossRef] [PubMed]
- Carretti, N.; Florio, P.; Bertolin, A.; Costa, C.V.L.; Allegri, G.; Zilli, G. Serum Fluctuations of Total and Free Tryptophan Levels during the Menstrual Cycle Are Related to Gonadotrophins and Reflect Brain Serotonin Utilization. Hum. Reprod. 2005, 20, 1548–1553. [Google Scholar] [CrossRef]











| Analyte | Electrode | Lineal Range µmol L−1 | LOD nmol L−1 | Sample | Ref. |
|---|---|---|---|---|---|
| Serotonin | FeC-AuNPs-MWCNT/SPCE | 0.05–20 | 17 | urine | [46] |
| DGNW/SPGE | 1–500 | 280 | urine | [47] | |
| TiO2NP/AuNP/PNBDES/SPCE | 0.3–20 | 2.47 | human blood serum | [28] | |
| CDP-Choline/MCPE | 10–30 | 3960 | No reported | [48] | |
| ZrO2–CuO–CeO2/Gr/CPE | 7.9–205 | 3.49 | human urine/plasma samples | [29] | |
| ITO/CuO-Cu2O | 2–100 | 120 | human blood serum | [49] | |
| p-AZ/MWCNT-GR/CFMEA | 0.1–20 | 14.2 | human serum | [50] | |
| Cu(LNO2)2/rGO/SPCE | 2–42 | 42 | human serum/Urine | This Work | |
| 17β-estradiol | α-Fe2O3-CNT/GCE | 0.005–0.1 | 4.4 | pharmaceutical/lake water/synthetic urine | [51] |
| rGO-AuNPs/CNT/SPE | 0.05–1.00 | 3 | drinking water | [30] | |
| NiFe2O4-MC/GCE | 0.02–0.566 | 6.88 | estradiol in tablet | [52] | |
| wMC/GCE | 0.05–10.0 | 8.3 | Milk/real water | [31] | |
| CDs-PANI/GCE | 0.001–100 | 43 | human serum/different types of water | [35] | |
| CeO2 NPs/CPE | 0.01–0.1 | 1.3/4.3 | underground and lake water | [53] | |
| MIP-MWCNT/GCE | 0.05–5.00 | 10 | natural water samples | [54] | |
| Cu(LNO2)2/rGO/SPCE | 2–42 | 53 | human serum/Urine | This work |
| Sample | Analyte | Added, mmol L−1 | Found mmol L−1 | Recovery, % | RSD, % |
|---|---|---|---|---|---|
| Human Serum * | Serotonin | 0.15 | 0.134 | 89.3 | 2.8 |
| 17β-estradiol | 0.15 | 0.121 | 85.1 | 6.9 | |
| Human Urine † | Serotonin | 0.15 | 0.145 | 96.7 | 1.9 |
| 17β-estradiol | 0.15 | 0.144 | 96.0 | 4.3 |
Disclaimer/Publisher’s Note: The statements, opinions and data contained in all publications are solely those of the individual author(s) and contributor(s) and not of MDPI and/or the editor(s). MDPI and/or the editor(s) disclaim responsibility for any injury to people or property resulting from any ideas, methods, instructions or products referred to in the content. |
© 2024 by the authors. Licensee MDPI, Basel, Switzerland. This article is an open access article distributed under the terms and conditions of the Creative Commons Attribution (CC BY) license (https://creativecommons.org/licenses/by/4.0/).
Share and Cite
Núñez, C.; Nelson, R.; Tabilo, G.; Pefaur, P.; Castillo, R.; Mestra, A. Simultaneous Detection of Serotonin and 17β-Estradiol Using rGO/SPCE Modified with Cu(II) Complex: A Novel Approach for PMDD Diagnosis. Chemosensors 2024, 12, 164. https://doi.org/10.3390/chemosensors12080164
Núñez C, Nelson R, Tabilo G, Pefaur P, Castillo R, Mestra A. Simultaneous Detection of Serotonin and 17β-Estradiol Using rGO/SPCE Modified with Cu(II) Complex: A Novel Approach for PMDD Diagnosis. Chemosensors. 2024; 12(8):164. https://doi.org/10.3390/chemosensors12080164
Chicago/Turabian StyleNúñez, Claudia, Ronald Nelson, Gerald Tabilo, Paulina Pefaur, Rodrigo Castillo, and Alifhers Mestra. 2024. "Simultaneous Detection of Serotonin and 17β-Estradiol Using rGO/SPCE Modified with Cu(II) Complex: A Novel Approach for PMDD Diagnosis" Chemosensors 12, no. 8: 164. https://doi.org/10.3390/chemosensors12080164
APA StyleNúñez, C., Nelson, R., Tabilo, G., Pefaur, P., Castillo, R., & Mestra, A. (2024). Simultaneous Detection of Serotonin and 17β-Estradiol Using rGO/SPCE Modified with Cu(II) Complex: A Novel Approach for PMDD Diagnosis. Chemosensors, 12(8), 164. https://doi.org/10.3390/chemosensors12080164

