Selective Determination of 4,4′-Oxydianiline (4,4′-ODA) in Plastic Packaging Using Molecularly Imprinted Polymer Sensor Integrated with Pyrolyzed Copper/Carbon Composite
Abstract
1. Introduction
2. Materials and Methods
2.1. Chemicals and Apparatus
2.2. Sample Preparation
2.3. Preparation of MIP, CNT-n/Cu/C/MIP/GCE
2.4. Electrochemical Measurements
2.4.1. Analytical Application Tests of the Sensor
2.4.2. Evaluation of the Sensor’s Selectivity
2.4.3. Reproducibility and Stability of the Sensor
2.5. Real Sample Test
3. Results
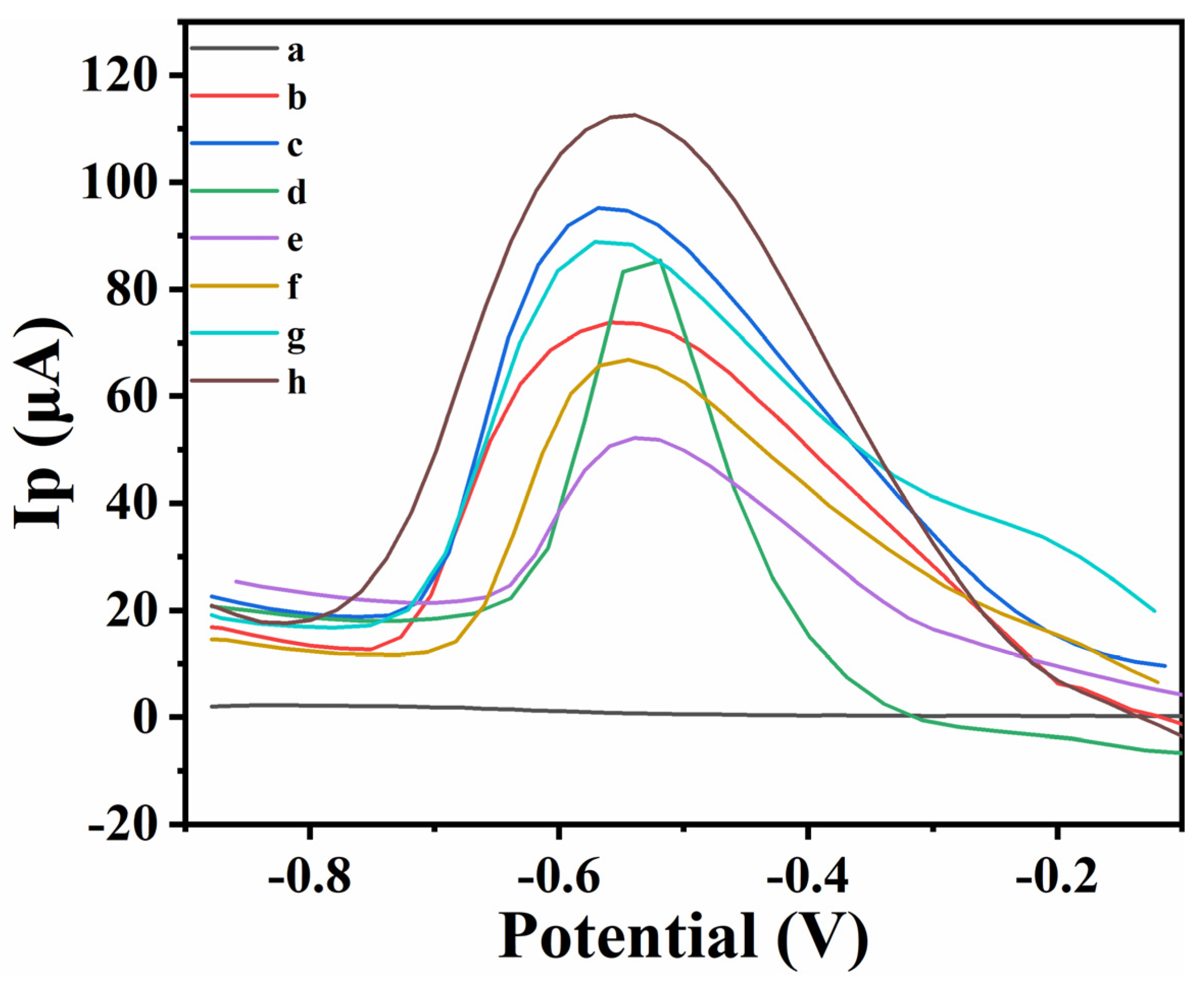
3.1. Material Characterizations
3.2. Electrochemical Behavior
3.3. Analytical Application of CNT-2/Cu/C/MIP/GCE for 4,4′-ODA
3.4. Selectivity Assessment of the Imprinted Sensor
3.5. Sensor Reproducibility and Stability
3.6. Real Sample Test
4. Conclusions
Author Contributions
Funding
Institutional Review Board Statement
Informed Consent Statement
Data Availability Statement
Acknowledgments
Conflicts of Interest
References
- The European Commission. Commission Regulation (EC) No 552/2009 of 22 June 2009 amending Regulation (EC) No1907/2006 of the European Parliament and of the Council on the Registration, Evaluation, Authorisation and Restriction of Chemicals(REACH) as regards Annex XVII, 552/2009. Off. J. Eur. Comm. 2009. Available online: https://eur-lex.europa.eu/eli/reg/2009/552/oj (accessed on 15 May 2024).
- Regulation-2016/1416-EN-EUR-Lex (Europa.eu). Available online: https://eur-lex.europa.eu/eli/reg/2016/1416/oj (accessed on 15 May 2024).
- IARC Monographs Volume 127: Some Aromatic Amines and Related Compounds. Available online: https://www.iarc.who.int/news-events/iarc-monographs-volume-127-some-aromatic-amines-and-related-compounds/ (accessed on 15 May 2024).
- IARC Monographs on the Identification of Carcinogenic Hazards to Humans. Available online: https://monographs.iarc.who.int/list-of-classifications (accessed on 15 May 2024).
- Talaska, G. Aromatic amines and human urinary bladder cancer: Exposure sources and epidemiology. J. Environ. Sci. Health C Environ. Carcinog. Ecotoxicol. Rev. 2003, 21, 29–43. [Google Scholar] [CrossRef] [PubMed]
- EPA/Office of Pollution Prevention and Toxics; High Production Volume Information System (HPVIS) on 4,4′-oxybis-Benzenamine (CAS No: 101-80-4). Available online: https://cdxapps.epa.gov/oms-substance-registry-services/substance-list-details/98 (accessed on 9 November 2009).
- Zhu, J.P.; Aikawa, B. Determination of aniline and related mono-aromatic amines in indoor air in selected Canadian residences by a modified thermal desorption GC/MS method. Environ. Int. 2004, 30, 135–143. [Google Scholar] [CrossRef]
- Chen, X.L.; Li, Z.B.; Zhu, Y.X.; Xu, J.G. Sensitive fluorimetric method for the determination of aniline by using tetra-substituted amino aluminium phthalocyanine. Anal. Chim. Acta 2004, 505, 283–287. [Google Scholar] [CrossRef]
- Yu, X.P.; Tan, L.; Yu, Y.L.; Xia, Y.; Guan, Z.; Gu, J.; Wang, J.; Chen, H.; Jiang, F. Insights into the hydrated electron generation from UV/aniline: Mechanism and quantum efficiency. Chemosphere 2022, 287, 132292. [Google Scholar] [CrossRef]
- Jayapal, M.; Jagadeesan, H.; Krishnasamy, V.; Shanmugam, G.; Muniyappan, V.; Chidambaram, D.; Krishnamurthy, S. Demonstration of a plant-microbe integrated system for treatment of real-time textile industry wastewater. Environ. Pollut. 2022, 302, 119009. [Google Scholar] [CrossRef] [PubMed]
- BelBruno, J.J. Molecularly imprinted polymers. Chem. Rev. 2019, 119, 94–119. [Google Scholar] [CrossRef]
- Chen, L.X.; Wang, X.Y.; Lu, W.H.; Wu, X.Q.; Li, J.H. Molecular imprinting: Perspectives and applications. Chem. Soc. Rev. 2016, 45, 2137–2211. [Google Scholar] [CrossRef] [PubMed]
- Yang, Y.K.; Yan, W.Y.; Guo, C.X.; Zhang, J.H.; Yu, L.G.; Zhang, G.H.; Wang, X.M.; Fang, G.Z.; Sun, D.D. Magnetic molecularly imprinted electrochemical sensors: A review. Anal. Chim. Acta 2020, 1106, 1–21. [Google Scholar] [CrossRef]
- Çorman, M.E.; Ozcelikay, G.; Cetinkaya, A.; Kaya, S.I.; Armutcu, C.; Özgür, E.; Uzun, L.; Ozkan, S.A. Metal-organic frameworks as an alternative smart sensing platform for designing molecularly imprinted electrochemical sensors. TrAC Trends Anal. Chem. 2022, 150, 116573. [Google Scholar] [CrossRef]
- De Middeleer, G.; Dubruel, P.; De Saeger, S. Molecularly imprinted polymers immobilized on 3D printed scaffolds as novel solid phase extraction sorbent for metergoline. Anal. Chim. Acta 2017, 986, 57–70. [Google Scholar] [CrossRef] [PubMed]
- Cui, Y.H.; Ding, L.; Ding, J. Recent advances of magnetic molecularly imprinted materials: From materials design to complex sample pretreatment. TrAC Trends Anal. Chem. 2022, 147, 116514. [Google Scholar] [CrossRef]
- Kaya, S.I.; Cetinkaya, A.; Ozkan, S.A. Molecularly imprinted polymers as highly selective sorbents in sample preparation techniques and their applications in environmental water analysis. Trends Environ. Anal. Chem. 2023, 37, e00193. [Google Scholar] [CrossRef]
- Ahmad, R.; Griffete, N.; Lamouri, A.; Felidj, N.; Chehimi, M.M.; Mangeney, C. Nanocomposites of gold nanoparticles@molecularly imprinted polymers: Chemistry, processing, and applications in sensors. Chem. Mater. 2015, 27, 5464–5478. [Google Scholar] [CrossRef]
- Mustafa, Y.L.; Keirouz, A.; Leese, H.S. Molecularly imprinted polymers in diagnostics: Accessing analytes in biofluids. J. Mater Chem. B 2022, 10, 7418–7449. [Google Scholar] [CrossRef]
- Haupt, K.; Rangel, P.X.M.; Bui, B.T.S. Molecularly imprinted polymers: Antibody mimics for bioimaging and therapy. Chem. Rev. 2020, 120, 9554–9582. [Google Scholar] [CrossRef]
- Rao, H.B.; Liu, X.; Ding, F.; Wan, Y.; Zhao, X.; Liang, R.X.; Zou, P.; Wang, Y.Y.; Wang, X.X.; Zhao, Q.B. Nitrogen-doped carbonnanosheet frameworks decorated with Fe and molecularly imprinted polymer forsimultaneous detection of mebendazole and catechol. Chem. Eng. J. 2018, 338, 478–487. [Google Scholar] [CrossRef]
- Del Blanco, S.G.; Donato, L.; Drioli, E. Development of molecularly imprinted membranes for selective recognition of primary amines in organic medium. Sep. Purif. Technol. 2012, 87, 40–46. [Google Scholar] [CrossRef]
- Chen, N.N.; Chen, L.; Cheng, Y.X.; Zhao, K.; Wu, X.H.; Xian, Y.Z. Molecularly imprinted polymer grafted graphene for simultaneous electrochemical sensing of 4,4-methylene diphenylamine and aniline by differential pulse voltammetry. Talanta 2015, 132, 155–161. [Google Scholar] [CrossRef]
- Shi, T.; Cheng, Z.Y.; Liu, T.; Zhang, Y.L. Application of up-conversion molecularly imprinted nanoprobe for selective recognition and straightforward detection of 4- aminobiphenyl. Spectrochim. Acta A Mol. Biomol. Spectrosc. 2022, 265, 120405. [Google Scholar] [CrossRef]
- Couto, R.A.S.; Costa, S.S.; Mounssef, B.; Pacheco, J.G.; Fernandes, E.; Carvalho, F.; Rodrigues, C.M.P.; Delerue-Matos, C.; Braga, A.A.C.; Gonçalves, L.M.; et al. Electrochemical sensing of ecstasy with electropolymerized molecularly imprinted poly(o-phenylenediamine) polymer on the surface of disposable screen-printed carbon electrodes. Sens. Actuators B Chem. 2019, 290, 378–386. [Google Scholar] [CrossRef]
- Ghaani, M.; Büyüktaş, D.; Carullo, D.; Farris, S. Development of a New Electrochemical Sensor Based on Molecularly Imprinted Biopolymer for Determination of 4,4′ -Methylene Diphenyl Diamine. Sensors 2023, 23, 46. [Google Scholar] [CrossRef] [PubMed]
- Lu, L.J.; Ning, H.Y.; Guo, J.P.; Guo, C.; Pan, L.; Lu, L.X. Synthesis, Evaluation, and Electrochemical Detection Application of Magnetic Molecularly Imprinted Polymers for 4,4′-Methylenedianiline from Food-Contact Materials. Adv. Polym. Technol. 2023, 2023, 9306542. [Google Scholar] [CrossRef]
- Liu, Y.; Dang, X.P.; Ding, H.Y.; Chen, H.X. Specific recognition and solid phase extraction of three primary aromatic amines based on molecularly imprinted polymer monolith for the migration detection in food contact materials. Microchem. J. 2022, 182, 107895. [Google Scholar] [CrossRef]
- Yu, X.L.; Liu, H.; Diao, J.X.; Sun, Y.; Wang, Y.C. Magnetic molecularly imprinted polymer nanoparticles for separating aromatic amines from azo dyes-Synthesis, characterization and application. Sep. Purif. Technol. 2018, 204, 213–219. [Google Scholar] [CrossRef]
- Liu, Y.; Dang, X.P.; Zhang, S.C.; Hu, Y.L.; Chen, H.X. Migration detection of six aromatic amines in polyamide food contact materials by HPLC after molecularly imprinted polymer pipette tip solid phase extraction. Food. Packag. Shelf. 2023, 36, 101029. [Google Scholar] [CrossRef]
- GB 31604.52-2021; National Standard for Food Safety—Determination of the Migration of Aromatic Primary Amines from Materials and Products in Contact with Food. National Standard of the People’s Republic of China: Beijing, China, 2021.
- Lei, Y.L.; Shu, Y.J.; Peng, J.H.; Tang, Y.J.; Huo, J.C. Synthesis and properties of low coefficient of thermal expansion copolyimides derived from biphenyltetracarboxylic dianhydride with p-phenylenediamine and 4,4′-oxydialinine. E-Polymer 2016, 16, 295–302. [Google Scholar] [CrossRef]
- Zeinali, S.; Homayoonnia, S.; Homayoonnia, G. Comparative investigation of interdigitated and parallel-plate capacitive gas sensors based on Cu-BTC nanoparticles for selective detection of polar and apolar VOCs indoors. Sens. Actuat. B Chem. 2019, 278, 153–164. [Google Scholar] [CrossRef]
- Deng, T.; Men, X.L.; Jiao, X.C.; Wang, J. CNTs decorated Cu-BTC with catalytic effect for high-stability lithium-sulfur batteries. Ceram. Int. 2022, 48, 4352–4360. [Google Scholar] [CrossRef]
- Shi, Z.D.; Sheng, J.; Yang, Z.Y.; Liu, Z.Y.; Chen, S.; Wang, M.; Wang, L.D.; Fei, W.D. Facile synthesis of high-performance carbon nanosheet/Cu composites from copper formate. Carbon 2020, 165, 349–357. [Google Scholar] [CrossRef]
- Hassan, S.E.D.; Salem, S.S.; Fouda, A.; Awad, M.A.; El-Gamal, M.S.; Abdo, A.M. New approach for antimicrobial activity and bio-control of various pathogens by biosynthesized copper nanoparticles using endophytic actinomycetes. J. Radiat. Res. Appl. Sci. 2018, 11, 262–270. [Google Scholar] [CrossRef]
- Gao, L.L.; Cao, Y.X.; Wang, J.; Ren, H.B.; Wang, J.H.; Huang, J.R. Construction of polypyrrole coated hollow cobalt manganate nanocages as an effective sulfur host for lithiumsulfur batteries. Ceram. Int. 2020, 46, 18224–18233. [Google Scholar] [CrossRef]
- Wang, Y.G.; Lu, Y.; Luo, R.J.; Zhang, Y.G.; Guo, Y.; Yu, Q.H.; Liu, X.M.; Kim, J.K.; Luo, Y.S. Densely-stacked N-doped mesoporous TiO2/carbon microsphere derived from outdated milk as high performance electrode material for energy storages. Ceram. Int. 2018, 44, 16265–16272. [Google Scholar] [CrossRef]
- Wang, Y.C.; Wei, Y.H.; Wang, B.Y.; Jing, P.; Zhang, Y.; Zhang, Y.; Wang, Q.; Wu, H. Bio-assisted engineering of hierarchical porous carbon nanofiber host in-situ embedded with iron carbide nanocatalysts toward high-performance Li–S batteries. Carbon 2021, 177, 60–70. [Google Scholar] [CrossRef]
- Hu, P.F.; Yuan, A.H.; Meng, C.F.; Chen, H.T.; Zhou, H. Strategies to optimize the lithium storage capability of the metal-organic framework copper-1,3,5-trimesic acid (Cu-BTC). Chemelectrochem 2020, 7, 4003–4009. [Google Scholar] [CrossRef]
- Ma, M.M.; Zhang, Y.; Liu, J. Adsorption of 4,4′-diaminodiphenyl ether on molecularly imprinted polymer and its application in an interfacial potentiometry with double poles sensor. Chem. Pap. 2022, 76, 1691–1705. [Google Scholar] [CrossRef]
- Domínguez, C.S.H.; Vicente, C.Q.J.; Hernández, P.; Hernández, L. Sub-monolayer assemblies of octanethiol and octadecylthiol at gold electrodes for the direct analysis of 4,4′-oxydianiline in wastewaters and shoe-dyeing samples. Talanta 2008, 74, 1014–1019. [Google Scholar] [CrossRef]
- Pozo, M.D.; Sánchez-Sánchez, C.; Vázquez, L.; Blanco, E.; Petit-Domínguez, M.D.; Martín-Gago, J.Á.; Casero, E.; Quintana, C. Differential pulse voltammetric determination of the carcinogenic diamine 4,4′-oxydianiline by electrochemical preconcentration on a MoS2 based sensor. Microchim. Acta 2019, 186, 793. [Google Scholar] [CrossRef]












| Sample | Method | No. | Add (μM) | Found (μM) | Recovery (%) | RSD (%) |
|---|---|---|---|---|---|---|
| Nylon Spatula Sample 1 | — | 0 | — | — | — | |
| Electrochemical Sensor | 1 | 4 | 4.14 | 103.5 | 1.58 | |
| 2 | 6 | 6.06 | 101.0 | 0.51 | ||
| 3 | 10 | 9.97 | 99.7 | 3.99 | ||
| LC-MS/MS | 1 | 4 | 4.05 | 101.25 | 1.26 | |
| 2 | 6 | 6.06 | 101 | 0.45 | ||
| 3 | 10 | 9.98 | 99.8 | 3.65 | ||
| Nylon Spatula Sample 2 | — | 0 | — | — | — | |
| Electrochemical Sensor | 1 | 4 | 4.06 | 101.5 | 3.01 | |
| 2 | 6 | 5.83 | 97.2 | 1.57 | ||
| 3 | 10 | 9.63 | 96.3 | 4.25 | ||
| LC-MS/MS | 1 | 4 | 3.96 | 99.0 | 2.62 | |
| 2 | 6 | 5.90 | 98.3 | 1.46 | ||
| 3 | 10 | 9.85 | 98.5 | 3.85 | ||
| Nylon Spatula Sample 3 | — | 0 | — | — | — | |
| Electrochemical Sensor | 1 | 4 | 3.99 | 99.8 | 2.82 | |
| 2 | 6 | 5.18 | 86.3 | 3.01 | ||
| 3 | 10 | 9.81 | 98.1 | 2.98 | ||
| LC-MS/MS | 1 | 4 | 4.08 | 102 | 2.52 | |
| 2 | 6 | 5.68 | 94.7 | 2.88 | ||
| 3 | 10 | 9.92 | 99.2 | 2.43 |
| Electrode | Method | Linear Range (μM) | Detection Limit (μM) | Reference |
|---|---|---|---|---|
| 4,4′–DIADPE–MIP–G–PCEs | Interfacial potentiometry with double poles | 0.10–500 µM | 0.0463 | [41] |
| C18 modified Au electrode | SWV | 0.05–1.50 | 0.04 | [42] |
| C8 modified Au electrode | 0.1–1 | 0.06 | ||
| MoS2/GCE | DPV | 0.24–1 | 0.08 | [43] |
| CNT-2/Cu/C/MIP/GCE | DPV | 0.15–10, 10–100 | 0.05 | This work |
Disclaimer/Publisher’s Note: The statements, opinions and data contained in all publications are solely those of the individual author(s) and contributor(s) and not of MDPI and/or the editor(s). MDPI and/or the editor(s) disclaim responsibility for any injury to people or property resulting from any ideas, methods, instructions or products referred to in the content. |
© 2024 by the authors. Licensee MDPI, Basel, Switzerland. This article is an open access article distributed under the terms and conditions of the Creative Commons Attribution (CC BY) license (https://creativecommons.org/licenses/by/4.0/).
Share and Cite
Zhou, X.; Ye, P.; Huang, Z.; Yang, C.; Ren, J.; Wang, J.; Tang, S. Selective Determination of 4,4′-Oxydianiline (4,4′-ODA) in Plastic Packaging Using Molecularly Imprinted Polymer Sensor Integrated with Pyrolyzed Copper/Carbon Composite. Chemosensors 2024, 12, 121. https://doi.org/10.3390/chemosensors12070121
Zhou X, Ye P, Huang Z, Yang C, Ren J, Wang J, Tang S. Selective Determination of 4,4′-Oxydianiline (4,4′-ODA) in Plastic Packaging Using Molecularly Imprinted Polymer Sensor Integrated with Pyrolyzed Copper/Carbon Composite. Chemosensors. 2024; 12(7):121. https://doi.org/10.3390/chemosensors12070121
Chicago/Turabian StyleZhou, Xuejun, Pengcheng Ye, Zhiding Huang, Chun Yang, Jiefang Ren, Jin Wang, and Shali Tang. 2024. "Selective Determination of 4,4′-Oxydianiline (4,4′-ODA) in Plastic Packaging Using Molecularly Imprinted Polymer Sensor Integrated with Pyrolyzed Copper/Carbon Composite" Chemosensors 12, no. 7: 121. https://doi.org/10.3390/chemosensors12070121
APA StyleZhou, X., Ye, P., Huang, Z., Yang, C., Ren, J., Wang, J., & Tang, S. (2024). Selective Determination of 4,4′-Oxydianiline (4,4′-ODA) in Plastic Packaging Using Molecularly Imprinted Polymer Sensor Integrated with Pyrolyzed Copper/Carbon Composite. Chemosensors, 12(7), 121. https://doi.org/10.3390/chemosensors12070121

