Preparation of Au@ZnO Nanofilms by Combining Magnetron Sputtering and Post-Annealing for Selective Detection of Isopropanol
Abstract
:1. Introduction
2. Experimental Section
3. Results and Discussion
3.1. Structural and Morphological Characteristics
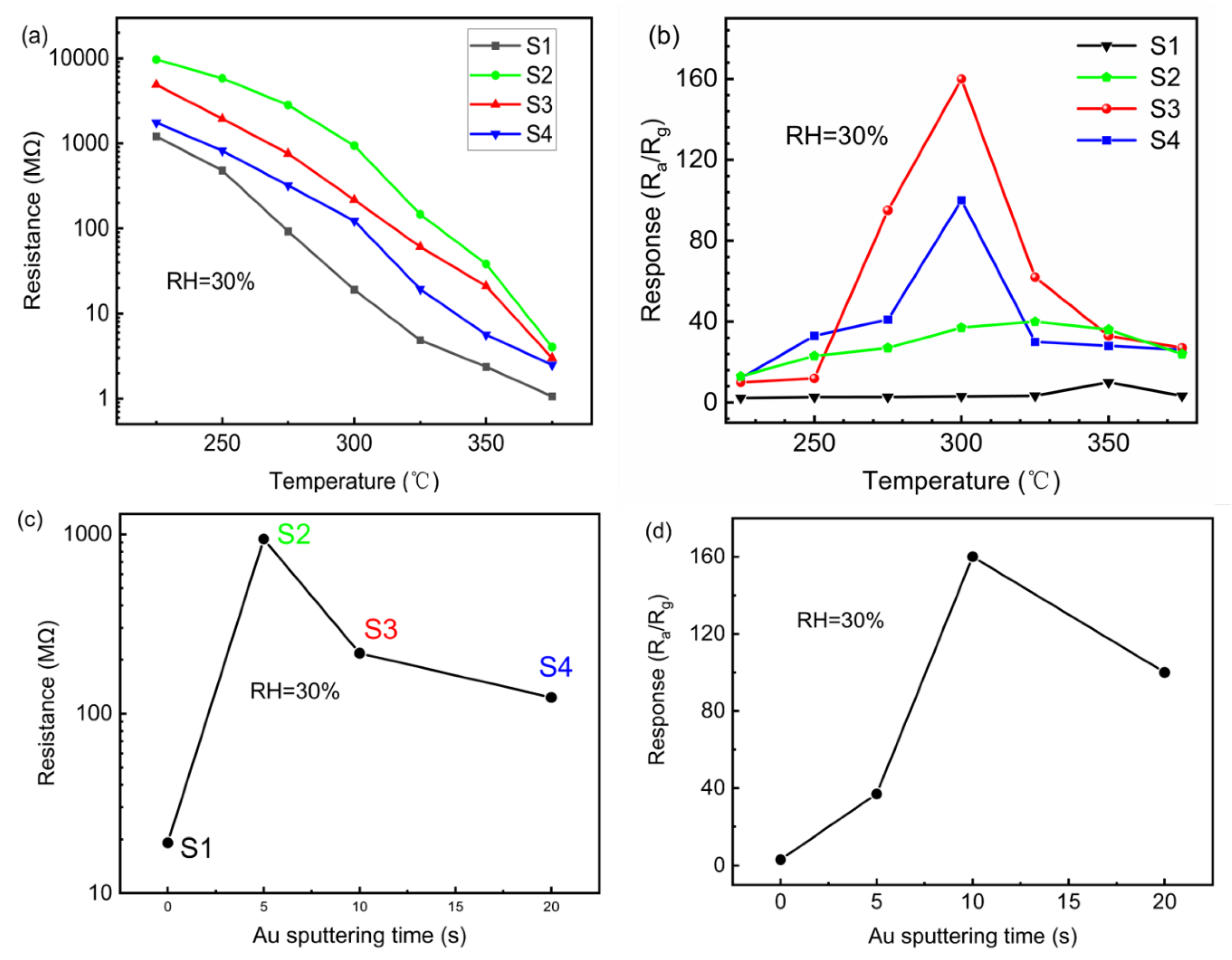
3.2. Gas Sensing Properties to IPA
3.3. Sensing Mechanism
4. Conclusions
Author Contributions
Funding
Data Availability Statement
Conflicts of Interest
References
- Steinmann, D.; Faber, T.; Auwärter, V.; Heringhaus, C. Akute intoxikation mit isopropanol. Der Anaesthesist 2009, 2, 149–152. [Google Scholar] [CrossRef] [PubMed]
- Verira, C.F.D.S.; Augusto, D.S.; Fancisco, M.F.; Rubens, M.F.; Adriano, P.M. Isopropanol-butanol-ethanol production by cell-immobilized vacuum fermentation. Bioresour. Technol. 2020, 344, 126313. [Google Scholar]
- Lin, Y.T.; Huang, C.W.; Wang, Y.H.; Wu, J.C.S. High Effective composite RGO/TiO2 photocatalysts to degrade isopropanol pollutant in semiconductor industry. Top. Catal. 2020, 63, 1240–1250. [Google Scholar] [CrossRef]
- Slaughter, R.J.; Mason, R.W.; Beasley, D.M.G.; Vale, J.A.; Schep, L.J. Isopropanol poisoning. Clin. Toxicol. 2014, 52, 470–478. [Google Scholar] [CrossRef]
- Zhang, Z.J.; Li, P.W.; Liu, L.P.; Ru, L.H.; Tang, H.X.; Feng, W.S. Amine-functionalized UiO-66 as a fluorescent sensor for highly selective detecting volatile organic compound biomarker of lung cancer. J. Solid State Chem. 2022, 305, 122623. [Google Scholar] [CrossRef]
- Natale, C.D.; Paolesse, R.; Martinelli, E.; Capuano, R. Solid-state gas sensors for breath analysis: A review. Anal. Chim. Acta 2014, 824, 1–17. [Google Scholar] [CrossRef]
- Salimi, M.; Hosseini, S.M.R.M. Smartphone-based detection of lung cancer-related volatile organic compounds (VOCs) using rapid synthesized ZnO nanosheet. Sens. Actuators B Chem. 2021, 344, 130127. [Google Scholar] [CrossRef]
- Malik, R.; Tomer, V.K.; Mishra, Y.K.; Lin, L. Functional gas sensing nanomaterials: A panoramic view. Appl. Phys. Rev. 2020, 7, 021301. [Google Scholar] [CrossRef] [Green Version]
- Zhou, T.; Zhang, T. Recent progress of nanostructured sensing materials from 0D to 3D: Overview of structure–property-application relationship for gas sensors. Small Methods 2021, 5, 2100215. [Google Scholar] [CrossRef]
- Wu, J.; Yang, Y.L.; Liu, Z.G.; Wang, G.D. Strong sulfur passivation effects on the gas sensitivity of an In0.3Ga0.7As surface quantum dots coupling structure. J. Cryst. Growth 2021, 560–561, 126058. [Google Scholar] [CrossRef]
- Guo, L.; Zhang, B.; Yang, X.; Zhang, S.; Wang, Y.; Wang, G.; Zhang, Z. Sensing platform of PdO-ZnO-In2O3 nanofibers using MOF templated catalysts for triethylamine detection. Sens. Actuators B Chem. 2021, 343, 130126. [Google Scholar] [CrossRef]
- Liu, X.H.; Wang, H.; Li, X.; Liu, D.; Wan, J.; Lai, X.; Hao, S.; Zhang, Q.; Chen, X. Fern-like metal-organic frameworks derived In2O3/ZnO nanocomposite for superior triethylamine sensing properties. Sens. Actuators B Chem. 2021, 345, 130424. [Google Scholar] [CrossRef]
- Jiao, M.; Chien, N.V.; Duy, N.V.; Hoa, N.D.; Hieu, N.V.; Hjort, K.; Nguyen, H. On-chip hydrothermal growth of ZnO nanorods at low temperature for highly selective NO2 gas sensor. Mater. Lett. 2016, 169, 231–235. [Google Scholar] [CrossRef]
- Wang, H.; Li, Y.; Wang, C.; Li, Y.; Bai, J.; Liu, Y.; Zhou, L.; Liu, F.; Shimanoe, K.; Lu, G. N-pentanol sensor based on ZnO nanorods functionalized with Au catalysts. Sens. Actuators B Chem. 2021, 339, 129888. [Google Scholar] [CrossRef]
- Hung, P.S.; Chou, Y.S.; Huang, B.H.; Cheng, I.K.; Wang, G.R.; Chung, W.A.; Pan, F.M.; Wu, P.W. A vertically integrated ZnO-based hydrogen sensor with hierarchical bi-layered inverse opals. Sens. Actuators B Chem. 2020, 325, 128779. [Google Scholar] [CrossRef]
- Pineau, N.J.; Krumeich, F.; Güntner, A.T.; Pratsinis, S.E. Y-doped ZnO films for acetic acid sensing down to ppb at high humidity. Sens. Actuators B Chem. 2021, 327, 128843. [Google Scholar] [CrossRef]
- Guo, L.; Wang, Y.; Shang, Y.; Yang, X.; Zhang, S.; Wang, G.; Wang, Y.; Zhang, B.; Zhang, Z. Preparation of Pd/PdO@ZnO-ZnO nanorods by using metal organic framework templated catalysts for selective detection of triethylamine. Sens. Actuators B Chem. 2022, 350, 130804. [Google Scholar] [CrossRef]
- Dong, C.; Liu, X.; Xiao, X.; Chen, G.; Wang, Y.; Djerdj, I. Combustion synthesis of porous Pt-functionalized SnO2 sheets for isopropanol gas detection with a significant enhancement in response. J. Mater. Chem. A 2014, 2, 20089–20095. [Google Scholar] [CrossRef]
- Li, S.H.; Chu, Z.; Meng, F.F.; Luo, T.; Hu, X.Y.; Huang, S.Z.; Jin, Z. Highly sensitive gas sensor based on SnO2 nanorings for detection of isopropanol. J. Alloy. Compd. 2016, 688, 712–717. [Google Scholar] [CrossRef]
- Luo, Y.; Ly, A.; Lahem, D.; Zhang, C.; Debliquy, M. A novel low-concentration isopropanol gas sensor based on Fe-doped ZnO nanoneedles and its gas sensing mechanism. J. Mater. Sci. 2021, 56, 3230–3245. [Google Scholar] [CrossRef]
- Xu, H.X.; Xu, J.H.; Wei, J.L.; Zhang, Y. Fast response isopropanol sensing properties with sintered BiFeO3 nanocrystals. Materials 2020, 13, 3829. [Google Scholar] [CrossRef] [PubMed]
- Peng, C.; Liu, Y. Enhanced acetone sensing characteristics by decorating Au nanoparticles on ZnO flower-like structures. Apply Phys. A-Mater. Sci. Processing 2013, 111, 1151–1157. [Google Scholar] [CrossRef]
- Guo, J.; Zhang, J.; Zhu, M.; Ju, D.; Xu, H.; Cao, B. High-performance gas sensor based on ZnO nanowires functionalized by Au nanoparticles. Sens. Actuators B Chem. 2014, 199, 339–345. [Google Scholar] [CrossRef]
- Xu, Y.; Ma, T.; Zheng, L.; Sun, L.; Liu, X.; Zhao, Y.; Zhang, J. Rational design of Au/Co3O4-functionalized W18O49 hollow heterostructures with high sensitivity and ultralow limit for triethylamine detection. Sens. Actuators B Chem. 2019, 284, 202–212. [Google Scholar] [CrossRef]
- Zhou, X.; Xu, L.; Yang, S.; Zhu, S.; Chen, X.; Dong, B.; Bai, X.; Xu, W.; Lu, G.; Song, H. Highly dispersed Metal-Organic-Framework-Derived Pt nanoparticles on three-dimensional microporous ZnO for trace-level H2S sensing. Sens. Actuators B Chem. 2020, 309, 127802. [Google Scholar] [CrossRef]
- Zhang, X.; Liu, Y.; Liu, H.; Liang, T.; Zhang, P.; Dai, Z. FeSe2/Hematite n-n heterojunction with oxygen spillover for highly efficient NO2 gas sensing. Sens. Actuators B. Chem. 2021, 345, 130357. [Google Scholar] [CrossRef]
- Wang, Y.; Liu, C.; Wang, Z.; Song, Z.; Zhou, X.; Han, N.; Chen, Y. Sputtered SnO2:NiO thin films on self-assembled Au nanoparticle arrays for MEMS compatible NO2 gas sensors. Sens. Actuators B Chem. 2019, 278, 28–38. [Google Scholar] [CrossRef]
- Chen, J.; Yan, X.; Liu, W.; Xue, Q. The ethanol sensing property of magnetron sputtered ZnO thin films modified by Ag ion implantation. Sens. Actuators B Chem. 2011, 160, 1499–1503. [Google Scholar] [CrossRef]
- Al-Hardan, N.H.; Abdullah, M.J.; Aziz, A.A. Sensing mechanism of hydrogen gas sensor based on RF-sputtered ZnO thin films. Int. J. Hydrog. Energy 2010, 35, 4428–4434. [Google Scholar] [CrossRef]
- Bhati, V.S.; Ranwa, S.; Fanetti, M.; Valant, M.; Kumar, M. Efficient hydrogen sensor based on Ni-doped ZnO nanostructures by RF sputtering. Sens. Actuators B Chem. 2018, 255, 588–597. [Google Scholar] [CrossRef]
- Al-Hardan, N.; Abdullah, M.J.; Aziz, A.A. The gas response enhancement from ZnO film for H2 gas detection. Appl. Surf. Sci. 2009, 225, 7794–7797. [Google Scholar] [CrossRef]
- Teimoori, F.; Khojier, K.; Dehnavi, N.Z. Investigation on the electrical and methane gas-Sensing properties of ZnO thin films produced by different methods. J. Electron. Mater. 2016, 45, 4881–48899. [Google Scholar] [CrossRef]
- Xue, X.T.; Zhu, L.Y.; Yuan, K.P.; Zeng, C.; Li, X.X.; Ma, H.P.; Lu, H.L.; Zhang, D.W. ZnO branched p-CuxO @n-ZnO heterojunction nanowires for improving acetone gas sensing performance. Sens. Actuators B Chem. 2020, 324, 128729. [Google Scholar] [CrossRef]
- Zheng, X.; Zhuo, Z.; Meng, S.; Wang, Y.; Li, D. Regulating charge transfer over 3D Au/ZnO hybrid inverse opal toward efficiently photocatalytic degradation of bisphenol A and photoelectrochemical water splitting. Chem. Eng. J. 2020, 393, 124676. [Google Scholar] [CrossRef]
- Cai, X.; Hu, D.; Deng, S.; Han, B.; Wang, Y.; Wu, J.; Wang, Y. Isopropanol sensing properties of coral-like ZnO-CdO composites by flash preparation via self-sustained decomposition of metal–organic complexes. Sens. Actuators B Chem. 2014, 198, 402–410. [Google Scholar] [CrossRef]
- Bai, H.; Guo, H.; Tan, Y.; Wang, J.; Dong, Y.; Liu, B.; Xie, Z.; Guo, F.; Chen, D.; Zhang, R.; et al. Facile synthesis of mesoporous CdS/PbS/SnO2 composites for high-selectivity H2 gas sensor. Sens. Actuators B Chem. 2021, 340, 129924. [Google Scholar] [CrossRef]








| Samples | Lattice Oxygen (OL) | Adsorbed Oxygen (OC) |
|---|---|---|
| S1 | 58.28% | 41.72% |
| S2 | 56.11% | 43.89% |
| S3 | 52.96% | 47.04% |
| S4 | 45.20% | 54.80% |
| Materials | Nano Structure | Concentration (ppm) | Temperature (℃) | Response (Ra/Rg) | Response/Recovery Time (s) | Limit of Detection (ppm) | Reference |
|---|---|---|---|---|---|---|---|
| Pt-SnO2 | Porous sheet | 100 | 220 | 190.5 | / | 5 | [12] |
| SnO2 | Nano rings | 100 | 250 | 7.27 | 6.8/38.6 | 1 | [13] |
| Fe-doped ZnO | Nano needles | 5 | 275 | 23.6 | 51/762 | 0.25 | [14] |
| BiFeO3 | Nano crystal | 100 | 240 | 31 | 6/17 | 2 | [15] |
| ZnO-CdO | Porous | 1000 | 248 | 174.8 | 16/25 (2000 ppm) | 100 | [24] |
| Au@ZnO | Nano film | 100 | 300 | 160 | 4/15 | 1 | This work |
Publisher’s Note: MDPI stays neutral with regard to jurisdictional claims in published maps and institutional affiliations. |
© 2022 by the authors. Licensee MDPI, Basel, Switzerland. This article is an open access article distributed under the terms and conditions of the Creative Commons Attribution (CC BY) license (https://creativecommons.org/licenses/by/4.0/).
Share and Cite
Wang, G.; Wu, P.; Guo, L.; Wang, W.; Liu, W.; Wang, Y.; Chen, T.; Wang, H.; Xu, Y.; Yang, Y. Preparation of Au@ZnO Nanofilms by Combining Magnetron Sputtering and Post-Annealing for Selective Detection of Isopropanol. Chemosensors 2022, 10, 211. https://doi.org/10.3390/chemosensors10060211
Wang G, Wu P, Guo L, Wang W, Liu W, Wang Y, Chen T, Wang H, Xu Y, Yang Y. Preparation of Au@ZnO Nanofilms by Combining Magnetron Sputtering and Post-Annealing for Selective Detection of Isopropanol. Chemosensors. 2022; 10(6):211. https://doi.org/10.3390/chemosensors10060211
Chicago/Turabian StyleWang, Guodong, Pengju Wu, Lanlan Guo, Wei Wang, Wenqiang Liu, Yuanyuan Wang, Tingyu Chen, Haohan Wang, Yonghao Xu, and Yingli Yang. 2022. "Preparation of Au@ZnO Nanofilms by Combining Magnetron Sputtering and Post-Annealing for Selective Detection of Isopropanol" Chemosensors 10, no. 6: 211. https://doi.org/10.3390/chemosensors10060211
APA StyleWang, G., Wu, P., Guo, L., Wang, W., Liu, W., Wang, Y., Chen, T., Wang, H., Xu, Y., & Yang, Y. (2022). Preparation of Au@ZnO Nanofilms by Combining Magnetron Sputtering and Post-Annealing for Selective Detection of Isopropanol. Chemosensors, 10(6), 211. https://doi.org/10.3390/chemosensors10060211

