Fluorescent Chemosensors Based on Polyamine Ligands: A Review
Abstract
1. Introduction
2. Open Chain Polyamine Derivatives
2.1. Linear Polyamines
2.2. Branched Polyamines
3. Macrocyclic Polyamine Derivatives
3.1. Aza-Crown Macrocycles
3.2. Aza-Scorpiand Ligands
3.3. Aza Lariat Ethers
4. Grafted Polyamine Derivatives
5. Conclusions
Author Contributions
Funding
Institutional Review Board Statement
Informed Consent Statement
Acknowledgments
Conflicts of Interest
Appendix A
| Compounds | Analytes Tested | Refs. |
|---|---|---|
![]() | H+, Co2+, Cu2+, Zn2+, Cd2+ | [13,14,15] |
![]() | Zn2+ | [16] |
![]() | H+, Zn2+, Co2+, Ni2+, Cu2+, Cd2+, Mn2+, Hg2+, Pb2+, Ag+, Li+, K+, Mg2+, Ca2+, Fe3+ | [17,18,19] |
![]() | H+ | [24] |
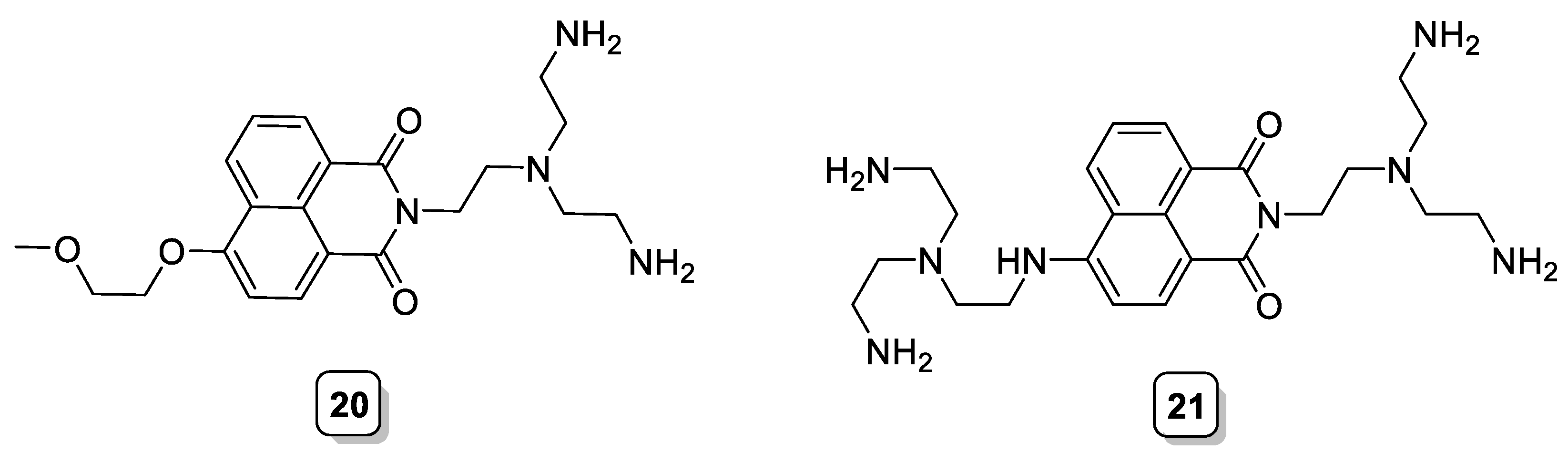
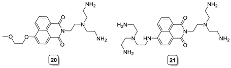
![]() | H+, Zn2+ In the case of [ZnL]2+: triphosphate, diphosphate, phosphate, iodide, fluoride, citrate, D,L-isocitrate, cyanurate | [25] |
![]() | H+, ATP, PMG | [26] |
![]() | Ni2+, Cu2+, Cd2+, Hg2+, Pb2+, bromide, sulfate, phosphate, ATP | [33] |
![]() | Phosphate, citrate, sulfate, acetate, dimethyl phosphate | [35] |
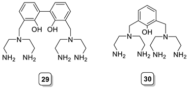
![]() | H+, Zn2+, Co2+, Ni2+, Cu2+, Cd2+, Mn2+, Hg2+, Pb2+, Fe3+, Na+ | [37] |
![]() | Sulfate, phosphate, pyrophosphate, nitrate, perchlorate. | [38] |
![]() | H+, Zn2+ In the case of [ZnL]2+: triphenylacetate, 1-adamantanecarboxylate, cyclohexylcarboxylate, benzoate, acetate. | [39] |
![]() | Fluoride, chloride, bromide, sulfate and nitrate. | [40] |
![]() | H+, Cu2+, Co2+, Ni2+, Zn2+, Cd2+, Hg2+ | [41] |
![]() | Zn2+, Ca2+, Mg2+, Mn2+, Fe2+, Ni2+, Cu2+ | [42] |
![]() | H+ | [43] |
![]() | H+, Cu2+, Zn2+ | [44] |
![]() | PMG, AMPA | [45] |
![]() | H+, Cu2+, Zn2+, Cd2+, Fe2+, Fe3+, Ca2+, Mn2+, Mg2+, Hg2+, Pb2+ | [47] |
![]() | H+, Zn2+, Co2+, Ni2+,Cu2+, Cd2+, Fe2+, Ca2+, Mn2+, Mg2+ | [48] |
![]() | Pi, ATP, ADP, AMP, PO43−, HPO42−, H2PO4−, Asp, Glu, malonic acid, oxalic acid, HCO3−, SO42−, Br−, N3−, F−, AcO−, I−, Cl−, SCN−, NO3−, S2−, SO32−, CO32− | [49,50] |
![]() | Ni2+, Ni3+ | [52,53,54] |
![]() | H+, Zn2+, ATP, CTP, TTP, GTP | [55,56] |
![]() | H+, Zn2+, ATP | [57,58] |
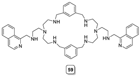
![]() | H+, Cu2+, Zn2+, [Fe(CN)6]4− | [59] |
![]() | H+ | [60] |
![]() | Coumarine, fluorescein, eosine Y, Hys, Gly, Ala, Phe, Val, Leu, Pro | [62] |
![]() | H+, Cd2+, Zn2+ | [66,67] |
![]() | H+, Cu2+, Zn2+, ATP, GTP, UTP | [68] |
![]() | H+, Cu2+, Zn2+ | [69] |
![]() | H+, Cu2+, Zn2+, Cd2+, Co2+, Hg2+, Mn2+, Ni2+, Pb2+ In the case of [ZnL]2+: F−, Cl−, Br−, I−, OAc−, HSO4−, H2PO4−, NO3− | [70,71] |
![]() | H+, Cu2+, Zn2+, phosphate, benzoate, CN−, S2− | [74] |
![]() | H+, Cu2+, Zn2+, Cd2+, Fe3+, Ca2+, Mn2+, Mg2+, Hg2+, Pb2+, Ag+, Ni2+, Co2+ | [75] |
![]() | H+, Cu2+, Zn2+, Cd2+, Cr2+ | [76] |
![]() | H+, Cu2+, Zn2+ | [79] |
![]() | Citrate | [80] |
![]() | In the case of [Zn2L]4+: H2PO4−, PhP2−, HPPi, HAMP−, HADP2−, HATP3− | [81] |
![]() | ATP, GTP, CTP, UTP, G-quadruplex | [82] |
![]() | Cu2+, Zn2+, Cd2+, Pb2+, Hg2+ | [87] |
![]() | H+, I− | [89] |
![]() | Phosphate, pyrophosphoric acid, 1-hydroxyethane 1,1-diphosphonic acid, aminotris(methylene- phosphonicacid) | [95] |
References
- Valeur, B.; Leray, I. Design principles of fluorescent molecular sensors for cation recognition. Coord. Chem. Rev. 2000, 205, 3–40. [Google Scholar] [CrossRef]
- de Silva, A.P.; Gunaratne, H.Q.N.; Gunnlaugsson, T.; Huxley, A.J.M.; McCoy, C.P.; Rademacher, J.T.; Rice, T.E. Signaling Recognition Events with Fluorescent Sensors and Switches. Chem. Rev. 1997, 97, 1515–1566. [Google Scholar] [CrossRef]
- Wu, D.; Sedgwick, A.C.; Gunnlaugsson, T.; Akkaya, E.U.; Yoon, J.; James, T.D. Fluorescent chemosensors: The past, present and future. Chem. Soc. Rev. 2017, 46, 7105–7123. [Google Scholar] [CrossRef] [PubMed]
- Dietrich, B. Design of anion receptors: Applications. Pure Appl. Chem. 1993, 65, 1457–1464. [Google Scholar] [CrossRef]
- Bianchi, A.; Bowman-James, K.; García-España, E. Supramolecular Chemistry of Anions; Wiley-VCH: New York, NY, USA, 1997. [Google Scholar]
- Beer, P.D.; Gale, P.A. Anion Recognition and Sensing: The State of the Art and Future Perspectives. Angew. Chem. Int. Ed. 2001, 40, 486–516. [Google Scholar] [CrossRef]
- Gale, P.A. Anion receptor chemistry: Highlights from 1999. Coord. Chem. Rev. 2001, 213, 79–128. [Google Scholar] [CrossRef]
- Ilioudis, C.A.; Steed, J.W. Organic macrocyclic polyamine-based receptors for anions. J. Supramol. Chem. 2001, 1, 165–187. [Google Scholar] [CrossRef]
- Bianchi, A.; Micheloni, M.; Paoletti, P. Thermodynamic aspects of the polyazacycloalkane complexes with cations and anions. Coord. Chem. Rev. 1991, 110, 17–113. [Google Scholar] [CrossRef]
- Vilar, R. Anion-Templated Synthesis. Angew. Chem. Int. Ed. 2003, 42, 1460–1477. [Google Scholar] [CrossRef] [PubMed]
- Llinares, J.M.; Powell, D.; Bowman-James, K. Ammonium based anion receptors. Coord. Chem. Rev. 2003, 240, 57–75. [Google Scholar] [CrossRef]
- Pina, F.; Bernardo, M.A.; García-España, E. Fluorescent Chemosensors Containing Polyamine Receptors. Eur. J. Inorg. Chem. 2000, 2000, 2143–2157. [Google Scholar] [CrossRef]
- Albelda, M.T.; Bernardo, M.A.; Díaz, P.; García-España, E.; de Melo, J.S.; Pina, F.; Soriano, C.; Luis, S.V. Polyamines containing naphthyl groups as pH-regulated molecular machines driven by light. Chem. Commun. 2001, 1520–1521. [Google Scholar] [CrossRef][Green Version]
- Seixas de Melo, J.S.; Albelda, M.T.; Díaz, P.; García-España, E.; Lodeiro, C.; Alves, S.P.C.; Lima, J.C.; Pina, F.; Soriano, C. Ground and excited state properties of polyamine chains bearing two terminal naphthalene units. J. Chem. Soc. Perkin Trans. 2 2002, 5, 991–998. [Google Scholar] [CrossRef]
- Bernardo, M.A.; Alves, S.; Pina, F.; de Melo, J.S.; Albelda, M.T.; Garcia-España, E.; Llinares, J.M.; Soriano, C.; Luis, S.V. Polyamine Linear Chains Bearing Two Identical Terminal Aromatic Units. Evidence for a Photo Induced Bending Movement. Supramol. Chem. 2001, 13, 435–445. [Google Scholar] [CrossRef]
- Sclafani, J.A.; Maranto, M.T.; Sisk, T.M.; Van Arman, S.A. An Aqueous Ratiometric Fluorescence Probe for Zn(II). Tetrahedron Lett. 1996, 37, 2193–2196. [Google Scholar] [CrossRef]
- Shiraishi, Y.; Tokitoh, Y.; Hirai, T. pH- and H2O-Driven Triple-Mode Pyrene Fluorescence. Org. Lett. 2006, 8, 3841–3844. [Google Scholar] [CrossRef] [PubMed]
- Shiraishi, Y.; Tokitoh, Y.; Nishimura, G.; Hirai, T. Solvent-Driven Multiply Configurable On/Off Fluorescent Indicator of the pH Window: A Diethylenetriamine Bearing Two End Pyrene Fragments. J. Phys. Chem. B 2007, 111, 5090–5100. [Google Scholar] [CrossRef] [PubMed]
- Shiraishi, Y.; Ichimura, C.; Hirai, T. A quinoline–polyamine conjugate as a fluorescent chemosensor for quantitative detection of Zn(II) in water. Tetrahedron Lett. 2007, 48, 7769–7773. [Google Scholar] [CrossRef]
- Koike, T.; Watanabe, T.; Aoki, S.; Kimura, E.; Shiro, M. A Novel Biomimetic Zinc(II)-Fluorophore, Dansylamidoethyl-Pendant Macrocyclic Tetraamine 1,4,7,10-Tetraazacyclododecane (Cyclen). J. Am. Chem. Soc. 1996, 118, 12696–12703. [Google Scholar] [CrossRef]
- Royzen, M.; Durandin, A.; Young, Y.G., Jr.; Geacintov, N.E.; Canary, J.W. A Sensitive Probe for the Detection of Zn(II) by Time-Resolved Fluorescence. J. Am. Chem. Soc. 2006, 128, 3854–3855. [Google Scholar] [CrossRef] [PubMed]
- Nolan, E.M.; Lippard, S.J. The Zinspy Family of Fluorescent Zinc Sensors: Syntheses and Spectroscopic Investigations. Inorg. Chem. 2004, 43, 8310–8317. [Google Scholar] [CrossRef]
- Nolan, E.M.; Burdette, S.C.; Hervey, J.H.; Hilderbrand, S.A.; Lippard, S.J. Synthesis and characterization of zinc sensors based on a monosubstituted fluorescein platform. Inorg. Chem. 2004, 43, 2624–2635. [Google Scholar] [CrossRef] [PubMed]
- Nishimura, G.; Shiraishi, Y.; Hirai, T. A fluorescent chemosensor for wide-range pH detection. Chem. Commun. 2005, 5313–5315. [Google Scholar] [CrossRef] [PubMed]
- Rodríguez, L.; Lima, J.C.; Parola, A.J.; Pina, F.; Meitz, R.; Aucejo, R.; García-España, E.; Llinares, J.M.; Soriano, C.; Alarcón, J. Anion Detection by Fluorescent Zn(II) Complexes of Functionalized Polyamine Ligands. Inorg. Chem. 2008, 47, 6173–6183. [Google Scholar] [CrossRef] [PubMed]
- Pouessel, J.; Abada, S.; Le Bris, N.; Elhabiri, M.; Charbonnièreb, L.J.; Tripier, R. A new bis-tetraamine ligand with a chromophoric 4-(9-anthracenyl)-2,6-dimethylpyridinyl linker for glyphosate and ATP sensing. Dalton Trans. 2013, 42, 4859–4872. [Google Scholar] [CrossRef] [PubMed]
- World Health Organization. International Agency for the Research on Cancer. 2021. Available online: https://monographs.iarc.fr/agents-classified-by-the-iarc/ (accessed on 22 July 2021).
- De Roos, A.J.; Blair, A.; Rusiecki, J.A.; Hoppin, J.A.; Svec, M.; Dosemeci, M.; Alavanja, M.C. Cancer incidence among glyphosate-exposed pesticide applicators in the Agricultural Health Study. Environ. Health Perspect. 2004, 113, 49–54. [Google Scholar] [CrossRef]
- Guyton, K.Z.; Loomis, D.; Grosse, Y.; El Ghissassi, F.; Benbrahim-Tallaa, L.; Guha, N.; Straif, K. Carcinogenicity of tetrachlorvinphos, parathion, malathion, diazinon, and glyphosate. Lancet Oncol. 2015, 16, 490–491. [Google Scholar] [CrossRef]
- Wei, X.; Gao, X.; Zhao, L.; Peng, X.; Zhou, L.; Wang, J.; Pu, Q. Fast and interference-free determination of glyphosate and glufosinate residues through electrophoresis in disposable microfluidic chips. J. Chromatogr. A 2013, 1281, 148–154. [Google Scholar] [CrossRef] [PubMed]
- Werth, J.A.; Preston, C.; Taylor, I.N.; Charles, G.W.; Roberts, G.N.; Baker, J. Managing the risk of glyphosate resistance in Australian glyphosate-resistant cotton production systems. Pest Manag. Sci. 2008, 64, 417–421. [Google Scholar] [CrossRef]
- Gil, P.M.; Laguarda-Miro, N.; Camino, J.S.; Peris, R.M. Glyphosate detection with ammonium nitrate and humic acids as potential interfering substances by pulsed voltammetry technique. Talanta 2013, 115, 702–705. [Google Scholar]
- Al Shihadeh, Y.; Benito, A.; Lloris, J.M.; Martínez-Máñez, R.; Soto, J. Fluorescent chemosensors containing a Ru(tpy)22+ core and open-chain polyazaalkanes. Transit. Met. Chem. 2002, 27, 307–310. [Google Scholar] [CrossRef]
- Blakman, A.G. The Coordination Chemistry of Tripodal Tetraamine Ligands. Polyhedron 2005, 24, 1–39. [Google Scholar] [CrossRef]
- Huston, M.E.; Akkaya, E.U.; Czarnik, A.W. Chelation enhanced fluorescence detection of non-metal ions. J. Am. Chem. Soc. 1989, 111, 8735–8737. [Google Scholar] [CrossRef]
- De Santis, G.; Fabbrizzi, L.; Licchelli, M.; Poggi, A.; Taglietti, A. Molecular Recognition of Carboxylate Ions Based on the Metal-Ligand Interaction and Signaled through Fluorescence Quenching. Angew. Chem. Int. Ed. Engl. 1996, 35, 202–204. [Google Scholar] [CrossRef]
- Verbelen, B.; Valckenborgh, M.; Inclán, M.; Nebot, A.; Dehaen, W.; García-España, E. Efficient two-step synthesis of water soluble BODIPY–TREN chemosensors for copper(II) ions. RSC Adv. 2017, 7, 3066–3071. [Google Scholar] [CrossRef]
- Oshchepkov, A.S.; Mittapalli, R.R.; Fedorova, O.A.; Kataev, E.A. Naphthalimide-Based Polyammonium Chemosensors for Anions:Study of Binding Properties and Sensing Mechanisms. Chem. Eur. J. 2017, 23, 9657–9665. [Google Scholar] [CrossRef]
- Bruseghini, I.; Fabbrizzi, L.; Licchelli, M.; Taglietti, A. Coordinative control of photoinduced electron transfer: Bulky carboxylates as molecular curtains. Chem. Commun. 2002, 1348–1349. [Google Scholar] [CrossRef]
- Quinn, W.A.; Saeed, M.A.; Powell, D.R.; Hossain, M. An Anthracene-Based Tripodal Chemosensor for Anion Sensing. Int. J. Environ. Res. Public Health 2010, 7, 2057–2070. [Google Scholar] [CrossRef]
- Prodi, L.; Montalti, M.; Zaccheroni, N.; Dallavalle, F.; Folesani, G.; Lanfranchi, M.; Corradini, R.; Pagliari, S.; Marchelli, R. Dansylated Polyamines as Fluorescent Sensors for Metal Ions: Photophysical Properties and Stability of Copper(II) Complexes in Solution. Helv. Chim. Acta 2001, 84, 690–706. [Google Scholar] [CrossRef]
- Dakanali, M.; Roussakis, E.; Kayb, A.R.; Katerinopoulos, H.E. Synthesis and photophysical properties of a fluorescent TREN-type ligand incorporating the coumarin chromophore and its zinc complex. Tetrahedron Lett. 2005, 46, 4193–4196. [Google Scholar] [CrossRef]
- Albelda, M.T.; García-España, E.; Gil, L.; Lima, J.C.; Lodeiro, C.; de Melo, J.S.; Melo, M.J.; Parola, A.J.; Pina, F.; Soriano, C. Intramolecular Excimer Formation in a Tripodal Polyamine Receptor Containing Three Naphthalene Fluorophores. J. Phys. Chem. B 2003, 107, 6573–6578. [Google Scholar] [CrossRef][Green Version]
- Ambrosi, G.; Formica, M.; Fusi, V.; Giorgi, L.; Macedi, E.; Micheloni, M.; Pontellini, R. Synthesis of new compartmental amino-phenolic ligands. Basicity, coordination properties towards Cu(II) and Zn(II) ions. A fluorescent chemosensor for H+ and Zn(II). Inorg. Chim. Acta 2009, 362, 2667–2677. [Google Scholar] [CrossRef]
- Conti, L.; Flore, N.; Formica, M.; Giorgi, L.; Pagliai, M.; Mancini, L.; Fusi, V.; Valtancoli, B.; Giorgi, C. Glyphosate and AMPA binding by two polyamino-phenolic ligands and their dinuclear Zn(II) complexes. Inorg. Chim. Acta 2021, 519, 120261. [Google Scholar] [CrossRef]
- Bowman-James, K.; Bianchi, A.; García-España, E. Anion Coordination Chemistry; Wiley-VCH, Verlag GmbH & Co.: Weinheim, Germany, 2012. [Google Scholar]
- Kimura, E.; Koike, T. Recent development of zinc-fluorophores. Chem. Soc. Rev. 1998, 27, 179–184. [Google Scholar] [CrossRef]
- Burdette, S.C.; Lippard, S.J. The Rhodafluor Family. An Initial Study of Potential Ratiometric Fluorescent Sensors for Zn2+. Inorg. Chem. 2002, 41, 6816–6823. [Google Scholar] [CrossRef] [PubMed]
- Xu, H.-R.; Li, K.; Wang, M.-Q.; Wang, B.-L.; Wang, X.; Yu, X.-Q. The dicyclen–TPE zinc complex as a novel fluorescent ensemble for nanomolar pyrophosphate sensing in 100% aqueous solution. Org. Chem. Front. 2014, 1, 1276–1279. [Google Scholar] [CrossRef]
- Xu, H.-R.; Li, K.; Jiao, S.-Y.; Li, L.-L.; Pan, S.-L.; Yu, X.-Q. Tetraphenylethene based zinc complexes as fluorescent chemosensors for pyrophosphate sensing. Chin. Chem. Lett. 2015, 26, 877–880. [Google Scholar] [CrossRef]
- Amendola, V.; Fabbrizzi, L.; Foti, F.; Licchelli, M.; Mangano, C.; Pallavicini, P.; Poggi, A.; Sacchi, D.; Taglietti, A. Light-emitting molecular devices based on transition metals. Coord. Chem. Rev. 2006, 250, 273–299. [Google Scholar] [CrossRef]
- Fabbrizzi, L.; Licchelli, M.; Mascheroni, S.; Poggi, A.; Sacchi, D.; Zema, M. Water Soluble Molecular Switches of Fluorescence Based on the NiIII/NiII Redox Change. Inorg. Chem. 2002, 41, 6129–6136. [Google Scholar] [CrossRef]
- de Santis, G.; Fabbrizzi, L.; Licchelli, M.; Sardone, N.; Velders, A.H. Fluorescence Redox Switching Systems Operating through Metal Centres: The NiIII/NiII Couple. Chem. Eur. J. 1996, 2, 1243–1250. [Google Scholar]
- Fabbrizzi, L.; Poggi, A. Sensors and switches from supramolecular chemistry. Chem. Soc. Rev. 1995, 24, 197–202. [Google Scholar] [CrossRef]
- Bencini, A.; Bernardo, M.A.; Bianchi, A.; Fusi, V.; Giorgi, C.; Pina, F.; Valtancoli, B. Macrocyclic Polyamines Containing Phenanthroline Moieties—Fluorescent Chemosensors for H+ and Zn2+ Ions. Eur. J. Inorg. Chem. 1999, 1999, 1911–1918. [Google Scholar] [CrossRef]
- Bazzicalupi, C.; Bencini, A.; Biagini, S.; Faggi, E.; Meini, S.; Giorgi, C.; Spepi, A.; Valtancoli, B. Exploring the Binding Ability of Phenanthroline-Based Polyammonium Receptors for Anions: Hints for Design of Selective Chemosensors for Nucleotides. J. Org. Chem. 2009, 74, 7349–7363. [Google Scholar] [CrossRef] [PubMed]
- Lodeiro, C.; Parola, A.J.; Pina, F.; Bazzicalupi, C.; Bencini, A.; Bianchi, A.; Giorgi, C.; Masotti, A.; Valtancoli, B. Protonation and Zn(II) Coordination by Dipyridine-Containing Macrocycles with Different Molecular Architecture. A Case of pH-Controlled Metal Jumping Outside-Inside the Macrocyclic Cavity. Inorg. Chem. 2001, 40, 2968–2975. [Google Scholar] [CrossRef]
- Bazzicalupi, C.; Bencini, A.; Bianchi, A.; Danesi, A.; Faggi, E.; Giorgi, C.; Lodeiro, C.; Oliveira, E.; Pina, F.; Vantalcoli, B. Interaction of polyamine macrocycles with Zn(II) and ATP in aqueous solution. Binary and ternary systems. A potentiometric, NMR and fluorescence emission study. Inorg. Chim. Acta 2008, 361, 3410–3419. [Google Scholar] [CrossRef]
- Lodeiro, C.; Pina, F.; Parola, A.J.; Bencini, A.; Bianchi, A.; Bazzicalupi, C.; Ciattini, S.; Giorgi, S.; Masotti, A.; Valtancoli, B.; et al. Exploring the Photocatalytic Properties and the Long-Lifetime Chemosensor Ability of Cl2[Ru(Bpy)2L] (L = 2,5,8,11,14-Pentaaza[15])-2,2′-bipyridilophane). Inorg. Chem. 2001, 40, 6813–6819. [Google Scholar] [CrossRef] [PubMed]
- Puccioni, S.; Bazzicalupi, C.; Bencini, A.; Giorgi, C.; Valtancoli, B.; De Filippo, G.; Lippolis, V.; Salvi, P.R.; Pietraperzia, G.; Chelli, R.; et al. Tuning the Emission Properties of Fluorescent Ligands by Changing pH: The Unusual Case of an Acridine-Containing Polyamine Macrocycle. J. Phys. Chem. A 2013, 117, 3798–3808. [Google Scholar] [CrossRef]
- Nguyen, B.T.; Anslyn, E.V. Indicator-displacement assays. Coord. Chem. Rev. 2006, 250, 3118–3127. [Google Scholar] [CrossRef]
- Hortalá, M.A.; Fabbrizzi, L.; Marcotte, N.; Stomeo, F.; Taglietti, A. Designing the Selectivity of the Fluorescent Detection of Amino Acids: A Chemosensing Ensemble for Histidine. J. Am. Chem. Soc. 2003, 125, 20–21. [Google Scholar] [CrossRef]
- Lotz, T.J.; Kaden, T.A. pH-Induced co-ordination geometry change in a macrocyclic nickel(II) complex. J. Chem. Soc. Chem. Commun. 1977, 15–16. [Google Scholar] [CrossRef]
- Pallavicini, P.S.; Perotti, A.; Poggi, A.; Seghi, B.; Fabbrizzi, L. N-(aminoethyl) cyclam: A tetraaza macrocycle with a coordinating tail (scorpiand). Acidity controlled coordination of the side chain to nickel (II) and nickel (III). J. Am. Chem. Soc. 1987, 109, 5139–5144. [Google Scholar] [CrossRef]
- Amendola, V.; Fabbrizzi, L.; Lichelli, M.; Mangano, C.; Pallavicini, P.; Parodi, L.; Poggi, A. Molecular events switched by transition metals. Coord. Chem. Rev. 1999, 192, 649–669. [Google Scholar] [CrossRef]
- Bencini, A.; Bianchi, A.; Lodeiro, C.; Masotti, A.; Parola, A.J.; Melo, J.S.; Pina, F.; Valtancoli, B. A novel fluorescent chemosensor exhibiting exciplex emission. An example of an elementary molecular machine driven by pH and by light. Chem. Commun. 2000, 1639–1640. [Google Scholar] [CrossRef]
- Bencini, A.; Berni, E.; Bianchi, A.; Fornasari, P.; Giorgi, C.; Lima, J.C.; Lodeiro, C.; Melo, M.J.; de Melo, J.S.; Parola, A.J.; et al. A fluorescent chemosensor for Zn(II). Exciplex formation in solution and the solid state. Dalton Trans. 2004, 2180–2187. [Google Scholar] [CrossRef]
- Inclán, M.; Albelda, M.T.; Carbonell, E.; Blasco, S.; Bauzá, A.; Frontera, A.; García-España, E. Molecular Recognition of Nucleotides in Water by Scorpiand-Type Receptors Based on Nucleobase Discrimination. Chem. Eur. J. 2014, 20, 3730–3741. [Google Scholar] [CrossRef]
- Inclán, M.; Albelda, M.T.; Frías, J.C.; Blasco, S.; Verdejo, B.; Serena, C.; Salat-Canela, C.; Díaz, M.L.; García-España, A.; García-España, E. Modulation of DNA Binding by Reversible Metal-Controlled Molecular Reorganizations of Scorpiand-like Ligands. J. Am. Chem. Soc. 2012, 134, 9644–9656. [Google Scholar] [CrossRef] [PubMed]
- Formica, M.; Fusi, V.; Paderni, D.; Ambrosi, G.; Inclán, M.; Clares, M.P.; Verdejo, B.; García-España, E. A Metal-Based Receptor for Selective Coordination and Fluorescent Sensing of Chloride. Molecules 2021, 26, 2352. [Google Scholar] [CrossRef] [PubMed]
- Ambrosi, G.; Clares, M.P.; Pont, I.; Formica, M.; Fusi, V.; Ricci, A.; Paoli, P.; Rossi, P.; García-España, E.; Inclán, M. Zn2+ and Cu2+ complexes of a fluorescent scorpiand-type oxadiazole azamacrocyclic ligand: Crystal structures, solution studies and optical properties. Dalton Trans. 2020, 49, 1897–1906. [Google Scholar] [CrossRef] [PubMed]
- Macedi, E.; Bencini, A.; Caltagirone, C.; Lippolis, V. The design of TACN-based molecular systems for different supramolecular functions. Coord. Chem. Rev. 2020, 407, 213151. [Google Scholar] [CrossRef]
- Bencini, A.; Lippolis, V.; Valtancoli, B. Sensing and activation of anionic species by polyamine-based metal complexes. Inorg. Chim. Acta 2014, 417, 38–58. [Google Scholar] [CrossRef]
- Savastano, M.; Fiaschi, M.; Ferraro, G.; Gratteri, P.; Mariani, P.; Bianchi, A.; Bazzicalupi, C. Sensing Zn2+ in Aqueous Solution with a Fluorescent Scorpiand Macrocyclic Ligand Decorated with an Anthracene Bearing Tail. Molecules 2020, 25, 1355. [Google Scholar] [CrossRef] [PubMed]
- Aoki, S.; Kaido, S.; Fujioka, H.; Kimura, E. A New Zinc(II) Fluorophore 2-(9-Anthrylmethylamino)ethyl-Appended 1,4,7,10-Tetraazacyclododecane. Inorg. Chem. 2003, 42, 1023–1030. [Google Scholar] [CrossRef] [PubMed]
- Núñez, C.; Bastida, R.; Macías, A.; Bértolo, E.; Fernandes, L.; Capelo, J.L.; Lodeiro, C. Synthesis, characterization, and fluorescence behavior of four novel macrocyclic emissive ligands containing a flexible 8-hydroxyquinoline unit. Tetrahedron 2009, 65, 6179–6188. [Google Scholar] [CrossRef]
- Gokel, G.W. Lariat ethers: From simple sidearms to supramolecular systems. Chem. Soc. Rev. 1992, 21, 39–47. [Google Scholar] [CrossRef]
- Gokel, G.W.; Barbour, L.J.; De Wall, S.L.; Meadows, E.S. Macrocyclic polyethers as probes to assess and understand alkali metal cation-p interactions. Coord. Chem. Rev. 2001, 222, 127–154. [Google Scholar] [CrossRef]
- Pina, J.; Melo, J.S.; Pina, F.; Lodeiro, C.; Lima, J.C.; Parola, A.J.; Soriano, C.; Clares, M.P.; Albelda, M.T.; Aucejo, R.; et al. Spectroscopy and Coordination Chemistry of a New Bisnaphthalene-Bisphenanthroline Ligand Displaying a Sensing Ability for Metal Cations. Inorg. Chem. 2005, 44, 7449–7458. [Google Scholar] [CrossRef] [PubMed][Green Version]
- Clares, M.P.; Lodeiro, C.; Fernández, D.; Parola, A.J.; Pina, F.; García-España, E.; Soriano, C.; Tejero, R. Specific interaction of citrate with bis(fluorophoric) bibrachial lariat aza-crown in comparison with the other components of the Krebs cycle. Chem. Commun. 2006, 3824–3826. [Google Scholar] [CrossRef] [PubMed][Green Version]
- Mesquita, L.M.; André, V.; Esteves, C.V.; Palmeira, T.; Berberan-Santos, M.N.; Mateus, P.; Delgado, R. Dinuclear Zinc(II) Macrocyclic Complex as Receptor for Selective Fluorescence Sensing of Pyrophosphate. Inorg. Chem. 2016, 55, 2212–2219. [Google Scholar] [CrossRef]
- Oshchepkov, A.S.; Reznichenko, O.; Xu, D.; Morozov, B.S.; Granzhan, A.; Kataev, E.A. Dye-functionalized phosphate-binding macrocycles: From nucleotide to G-quadruplex recognition and “turn-on” fluorescence sensing. Chem. Commun. 2021, 57, 10632–10635. [Google Scholar] [CrossRef] [PubMed]
- Montes-García, V.; Squillaci, M.A.; Diez-Castellnou, M.; Ong, Q.K.; Stellacci, F.; Samorì, P. Chemical sensing with Au and Ag nanoparticles. Chem. Soc. Rev. 2021, 50, 1269–1304. [Google Scholar] [CrossRef] [PubMed]
- Zhao, Y.-Y.; Yang, J.-M.; Jin, X.-Y.; Cong, H.; Ge, Q.-M.; Liu, M.; Tao, Z. Recent Development of Supramolecular Sensors Constructed by Hybridization of Organic Macrocycles with Nanomaterials. Curr. Org. Chem. 2020, 24, 265–290. [Google Scholar] [CrossRef]
- Mandal, R.; Baranwal, A.; Srivastava, A.; Chandra, P. Evolving trends in bio/chemical sensor fabrication incorporating bimetallic nanoparticles. Biosens. Bioelectron. 2018, 117, 546–561. [Google Scholar] [CrossRef]
- Montalti, M.; Rampazzo, E.; Zaccheroni, N.; Prodi, L. Luminescent Chemosensors Based on Silica Nanoparticles for the Detection of Ionic Species. New J. Chem. 2013, 37, 28–34. [Google Scholar] [CrossRef]
- Delgado-Pinar, E.; Montoya, N.; Galiana, M.; Albelda, M.T.; Frías, J.C.; Jiménez, H.R.; García-España, E.; Alarcón, J. Preparation of Hg2+ selective fluorescent chemosensors based on surface modified core-shell aluminosilicate nanoparticles. New J. Chem. 2010, 34, 567–570. [Google Scholar] [CrossRef]
- Cotton, F.A.; Murillo, C.; Wilkinson, G.; Bochmann, M.; Grimes, R. Advanced Inorganic Chemistry; John Wiley & Sons: Hoboken, NJ, USA, 1999. [Google Scholar]
- Carbonell, E.; Delgado-Pinar, E.; Pitarch-Jarque, J.; Alarcón, J.; García-España, E. Boehmite Supported Pyrene Polyamine Systems as Probes for Iodide Recognition. J. Phys. Chem. C 2013, 117, 14325–14331. [Google Scholar] [CrossRef]
- Casasús, R.; Aznar, E.; Marcos, M.D.; Martínez-Máñez, R.; Sancenón, F.; Soto, J.; Amorós, P. New Methods for Anion Recognition and Signaling Using Nanoscopic Gatelike Scaffoldings. Angew. Chem. Int. Ed. 2006, 45, 6661–6664. [Google Scholar] [CrossRef]
- Climent, E.; Martínez-Máñez, R.; Sancenón, F.; Marcos, M.D.; Soto, J.; Maquieira, A.; Amorós, P. Controlled Delivery Using Oligonucleotide-Capped Mesoporous Silica Nanoparticles. Angew. Chem. Int. Ed. 2010, 122, 7439–7441. [Google Scholar] [CrossRef]
- Climent, E.; Climent, E.; Mondragón, L.; Martínez-Máñez, R.; Sancenón, F.; Marcos, M.D.; Murguía, J.R.; Amorós, P.; Rurack, K.; Pérez-Payá, E. Selective, highly sensitive, and rapid detection of genomic DNA by using gated materials: Mycoplasma detection. Angew. Chem. Int. Ed. 2013, 52, 8938–8942. [Google Scholar] [CrossRef]
- Pla, L.; Lozano-Torres, B.; Martínez-Máñez, R.; Sancenón, F.; Ros-Lis, J.V. Overview of the Evolution of Silica-Based Chromo-Fluorogenic Nanosensors. Sensors 2019, 19, 5138. [Google Scholar] [CrossRef]
- Bakhshpour, M.; Idil, N.; Perçin, I.; Denizli, A. Biomedical Applications of Polymeric Cryogels. Appl. Sci. 2019, 9, 553. [Google Scholar] [CrossRef]
- Oshchepkov, A.; Oshchepkov, M.; Kamagurov, S.; Redchuk, A.; Oshchepkova, M.; Popovb, K.; Kataev, E. Fluorescence detection of phosphonates in water by a naphthalimide-based receptor and its derived cryopolymers. New J. Chem. 2020, 44, 12113–12121. [Google Scholar] [CrossRef]












































Publisher’s Note: MDPI stays neutral with regard to jurisdictional claims in published maps and institutional affiliations. |
© 2021 by the authors. Licensee MDPI, Basel, Switzerland. This article is an open access article distributed under the terms and conditions of the Creative Commons Attribution (CC BY) license (https://creativecommons.org/licenses/by/4.0/).
Share and Cite
Verdejo, B.; Inclán, M.; Clares, M.P.; Bonastre-Sabater, I.; Ruiz-Gasent, M.; García-España, E. Fluorescent Chemosensors Based on Polyamine Ligands: A Review. Chemosensors 2022, 10, 1. https://doi.org/10.3390/chemosensors10010001
Verdejo B, Inclán M, Clares MP, Bonastre-Sabater I, Ruiz-Gasent M, García-España E. Fluorescent Chemosensors Based on Polyamine Ligands: A Review. Chemosensors. 2022; 10(1):1. https://doi.org/10.3390/chemosensors10010001
Chicago/Turabian StyleVerdejo, Begoña, Mario Inclán, María Paz Clares, Irene Bonastre-Sabater, Mireia Ruiz-Gasent, and Enrique García-España. 2022. "Fluorescent Chemosensors Based on Polyamine Ligands: A Review" Chemosensors 10, no. 1: 1. https://doi.org/10.3390/chemosensors10010001
APA StyleVerdejo, B., Inclán, M., Clares, M. P., Bonastre-Sabater, I., Ruiz-Gasent, M., & García-España, E. (2022). Fluorescent Chemosensors Based on Polyamine Ligands: A Review. Chemosensors, 10(1), 1. https://doi.org/10.3390/chemosensors10010001









































