Fluctuations in Well-Being Based on Position in Elite Young Soccer Players during a Full Season
Abstract
1. Introduction
2. Materials and Methods
2.1. Participants
2.2. Sample Size
2.3. Experimental Approach to the Problem
2.4. Anthropometric and Body Composition
2.5. Aerobic Power Test
2.6. How to Monitoring Well-Being Status
2.7. Statistical Analysis
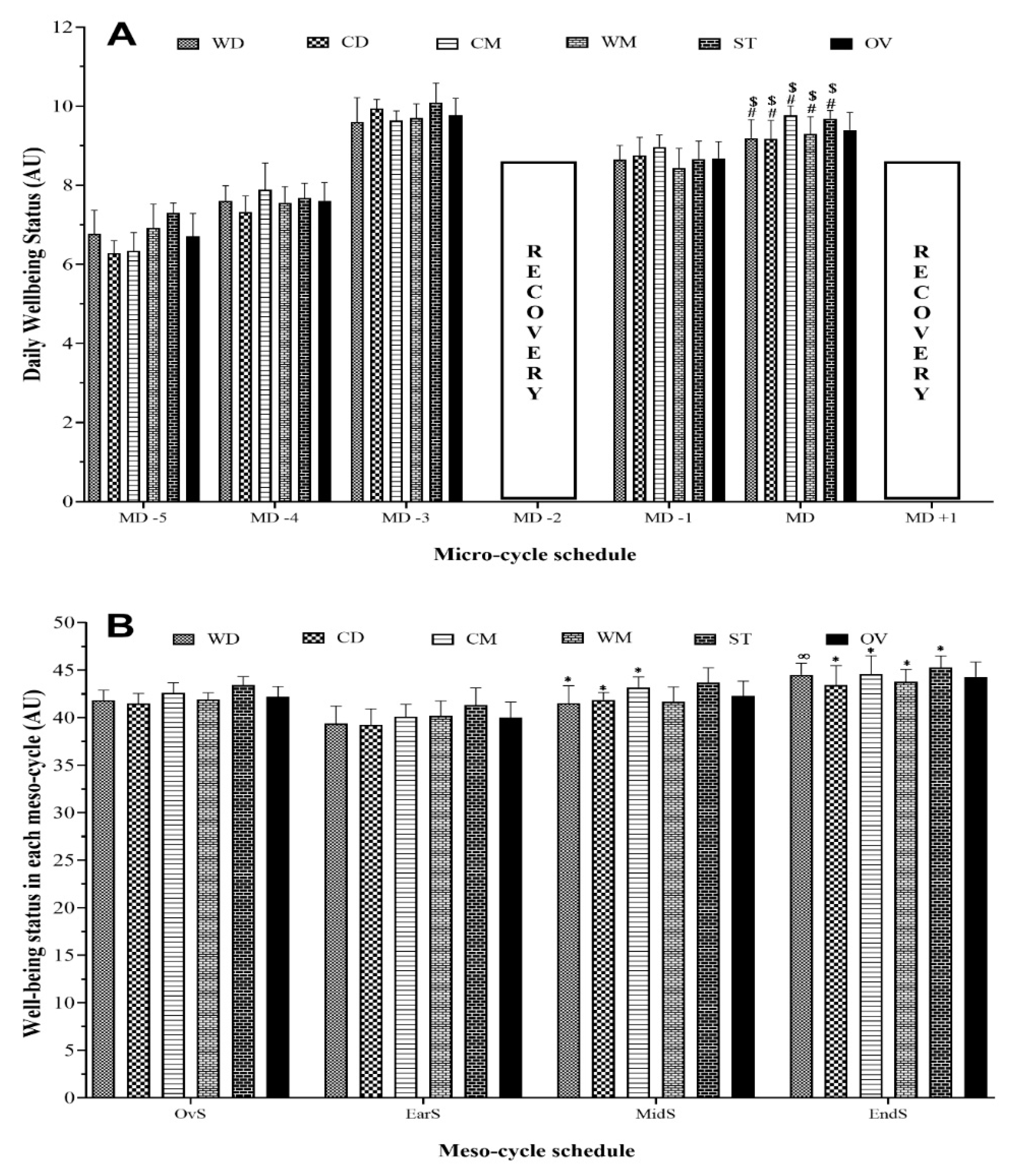
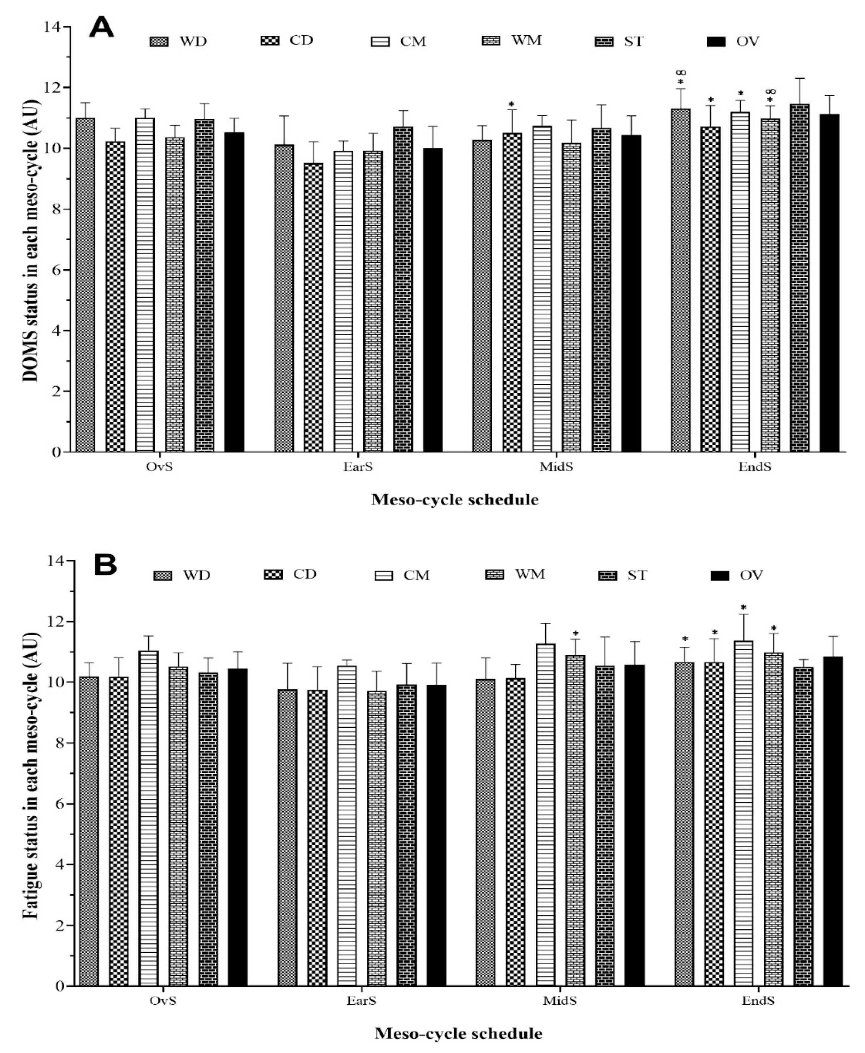
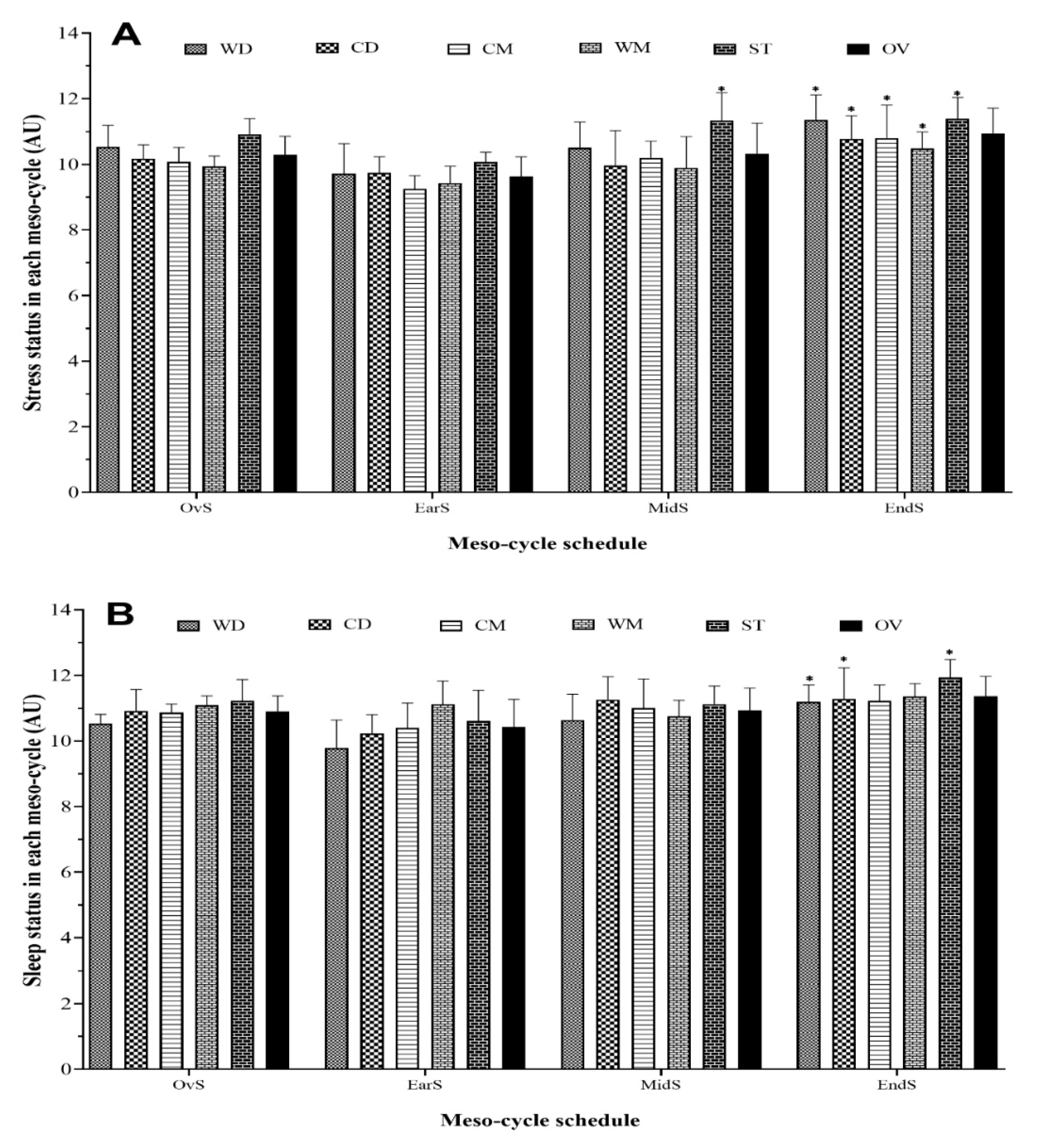
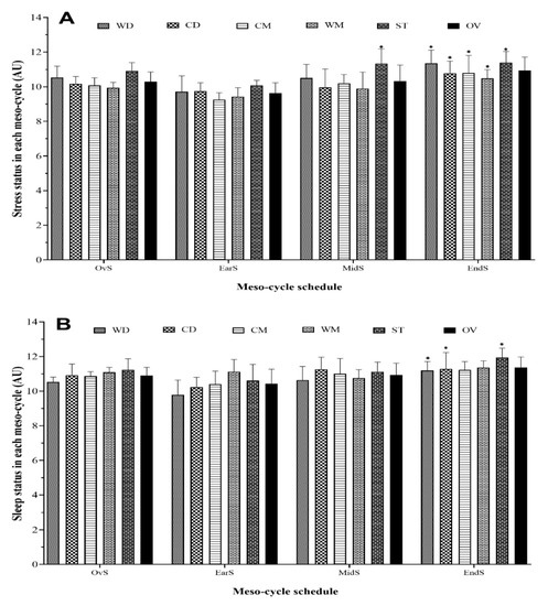
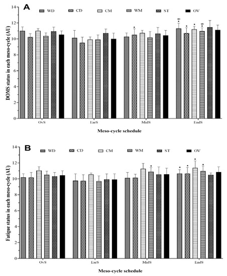
3. Results
4. Discussion
5. Conclusions
Author Contributions
Funding
Institutional Review Board Statement
Informed Consent Statement
Data Availability Statement
Conflicts of Interest
References
- Bourdon, P.C.; Cardinale, M.; Murray, A.; Gastin, P.; Kellmann, M.; Varley, M.C.; Gabbett, T.J.; Coutts, A.J.; Burgess, D.J.; Gregson, W.; et al. Monitoring Athlete Training Loads: Consensus Statement. Int. J. Sports Physiol. Perform. 2017, 12, S2161–S2170. [Google Scholar] [CrossRef]
- Gabbett, T.J.; Nassis, G.P.; Oetter, E.; Pretorius, J.; Johnston, N.; Medina, D.; Rodas, G.; Myslinski, T.; Howells, D.; Beard, A.; et al. The athlete monitoring cycle: A practical guide to interpreting and applying training monitoring data. Br. J. Sports Med. 2017, 51, 1451–1452. [Google Scholar] [CrossRef]
- Selmi, O.; Gonçalves, B.; Ouergui, I.; Sampaio, J.; Bouassida, A. Influence of well-being variables and recovery state in physical enjoyment of professional soccer players during small-sided games. Res. Sports Med. 2018, 26, 199–210. [Google Scholar] [CrossRef]
- Alexander, R. Complete Conditioning for Soccer; Human Kinetics Publishers: Champaign, IL, USA, 2020. [Google Scholar]
- Foster, C.; Florhaug, J.A.; Franklin, J.; Gottschall, L.; Hrovatin, L.A.; Parker, S.; Doleshal, P.; Dodge, C. A new approach to monitoring exercise training. J. Strength Cond. Res. 2001, 15, 109–115. [Google Scholar] [PubMed]
- Kendzierski, D.; Decarlo, K.J. Physical Activity Enjoyment Scale: Two Validation Studies. J. Sport Exerc. Psychol. 1991, 13, 50–64. [Google Scholar] [CrossRef]
- Wong, P.-L.; Chamari, K.; Dellal, A.; Wisløff, U. Relationship between Anthropometric and Physiological Characteristics in Youth Soccer Players. J. Strength Cond. Res. 2009, 23, 1204–1210. [Google Scholar] [CrossRef]
- Bloomfield, J.; Polman, R.; O’Donoghue, P. Physical Demands of Different Positions in FA Premier League Soccer. J. Sports Sci. Med. 2007, 6, 63–70. [Google Scholar]
- Di Salvo, V.; Baron, R.; Tschan, H.; Montero, F.C.; Bachl, N.; Pigozzi, F. Performance Characteristics According to Playing Position in Elite Soccer. Int. J. Sports Med. 2006, 28, 222–227. [Google Scholar] [CrossRef] [PubMed]
- Selmi, O.; Ouergui, I.; Castellano, J.; Levitt, D.; Bouassida, A. Effect of an intensified training period on well-being indices, recovery and psychological aspects in professional soccer players. Eur. Rev. Appl. Psychol. 2020, 70, 100603. [Google Scholar] [CrossRef]
- Nobari, H.; Silva, A.F.; Clemente, F.M.; Siahkouhian, M.; García-Gordillo, M.Á.; Adsuar, J.C.; Pérez-Gómez, J. Analysis of Fitness Status Variations of Under-16 Soccer Players Over a Season and Their Relationships With Maturational Status and Training Load. Front. Physiol. 2021, 11. [Google Scholar] [CrossRef]
- Nobari, H.; Kargarfard, M.; Minasian, V.; Cholewa, J.M.; Pérez-Gómez, J. The effects of 14-week betaine supplementation on endocrine markers, body composition and anthropometrics in professional youth soccer players: A double blind, randomized, placebo-controlled trial. J. Int. Soc. Sports Nutr. 2021, 18, 20. [Google Scholar] [CrossRef] [PubMed]
- Pardos-Mainer, E.; Casajús, J.A.; Bishop, C.; Gonzalo-Skok, O. Effects of Combined Strength and Power Training on Physical Performance and Interlimb Asymmetries in Adolescent Female Soccer Players. Int. J. Sports Physiol. Perform. 2020, 15, 1147–1155. [Google Scholar] [CrossRef] [PubMed]
- Issurin, V.B. New Horizons for the Methodology and Physiology of Training Periodization. Sports Med. 2010, 40, 189–206. [Google Scholar] [CrossRef] [PubMed]
- Meeusen, R.; Duclos, M.; Foster, C.; Fry, A.; Gleeson, M.; Nieman, D.C.; Raglin, J.; Rietjens, G.; Steinacker, J.; Urhausen, A. Prevention, diagnosis and treatment of the overtraining syndrome: Joint consensus statement of the European College of Sport Science (ECSS) and the American College of Sports Medicine (ACSM). Eur. J. Sport Sci. 2013, 13, 1–24. [Google Scholar] [CrossRef]
- Nobari, H.; Silva, R.; Clemente, F.M.; Akyildiz, Z.; Pérez-Gómez, J.; Ardigò, L.P. Weekly Variations in the Workload of Turkish National Youth Wrestlers: A Season of Complete Preparation. Int. J. Environ. Res. Public Health 2020, 18, 3832. [Google Scholar] [CrossRef] [PubMed]
- Nobari, H.; Fani, M.; Clemente, F.M.; Carlos-Vivas, J.; Pérez-Gómez, J.; Ardigò, L.P. Intra- and Inter-week Variations of Well-Being Across a Season: A Cohort Study in Elite Youth Male Soccer Players. Front. Psychol. 2021, 12, 1030. [Google Scholar] [CrossRef]
- le Gall, F.; Carling, C.; Williams, M.; Reilly, T. Anthropometric and fitness characteristics of international, professional and amateur male graduate soccer players from an elite youth academy. J. Sci. Med. Sport 2010, 13, 90–95. [Google Scholar] [CrossRef]
- Noon, M.R.; James, R.S.; Clarke, N.D.; Akubat, I.; Thake, C.D. Perceptions of well-being and physical performance in English elite youth footballers across a season. J. Sports Sci. 2015, 33, 2106–2115. [Google Scholar] [CrossRef]
- Nobari, H.; Aquino, R.; Clemente, F.M.; Khalafi, M.; Adsuar, J.C.; Pérez-Gómez, J. Description of acute and chronic load, training monotony and strain over a season and its relationships with well-being status: A study in elite under-16 soccer players. Physiol. Behav. 2020, 225, 113117. [Google Scholar] [CrossRef]
- Jones, C.M.; Griffiths, P.C.; Mellalieu, S.D. Training Load and Fatigue Marker Associations with Injury and Illness: A Systematic Review of Longitudinal Studies. Sports Med. 2017, 47, 943–974. [Google Scholar] [CrossRef] [PubMed]
- Hooper, S.L.; MacKinnon, L.T. Monitoring Overtraining in Athletes. Sports Med. 1995, 20, 321–327. [Google Scholar] [CrossRef] [PubMed]
- Nobari, H.; Tubagi Polito, L.F.; Clemente, F.M.; Pérez-Gómez, J.; Ahmadi, M.; Garcia-Gordillo, M.Á.; Silva, A.F.; Adsuar, J.C. Relationships Between Training Workload Parameters with Variations in Anaerobic Power and Change of Direction Status in Elite Youth Soccer Players. Int. J. Environ. Res. Public Health 2020, 17, 7934. [Google Scholar] [CrossRef] [PubMed]
- Malone, J.J.; Di Michele, R.; Morgans, R.; Burgess, D.; Morton, J.P.; Drust, B. Seasonal Training-Load Quantification in Elite English Premier League Soccer Players. Int. J. Sports Physiol. Perform. 2015, 10, 489–497. [Google Scholar] [CrossRef]
- Nobari, H.; Ahmadi, M.; Pérez-Gómez, J.; Clemente, M.; Adsuar, J.C.; Minasian, V.; Afonso, J. The effect of two types of combined training on bio-motor ability adaptations in sedentary females. J. Sports Med. Phys. Fit. 2020. [Google Scholar] [CrossRef]
- Mirwald, R.L.; Baxter-Jones, A.D.; Bailey, D.A.; Beunen, G.P. An assessment of maturity from anthropometric measurements. Med. Sci. Sports Exerc. 2002, 34, 689–694. [Google Scholar] [PubMed]
- Jackson, A.S.; Pollock, M.L. Generalized equations for predicting body density of men. Br. J. Nutr. 1978, 40, 497–504. [Google Scholar] [CrossRef]
- Nobari, H.; Alves, A.R.; Clemente, F.M.; Pérez-Gómez, J.; Clark, C.C.T.; Granacher, U.; Zouhal, H. Associations Between Variations in Accumulated Workload and Physiological Variables in Young Male Soccer Players Over the Course of a Season. Front. Physiol. 2021, 12, 233. [Google Scholar] [CrossRef]
- Arazi, H.; Mirzaei, B.; Nobari, H. Anthropometric profile, body composition and somatotyping of national Iranian cross-country runners. Turk. J. Sport Exerc. 2015, 17, 35. [Google Scholar] [CrossRef]
- Jafari, R.A.; Damirchi, A.; Nobari14, B.M.H. Anthropometric and Bio-motor abilities Profile of Young Elite Wrestlers. Physical Educ. Stud. 2016, 20, 63–69. [Google Scholar] [CrossRef]
- Nobari, H.; Vahabidelshad, R.; Pérez-Gómez, J.; Ardigò, L.P. Variations of Training Workload in Micro- and Meso-Cycles Based on Position in Elite Young Soccer Players: A Competition Season Study. Front. Physiol. 2021, 12, 529. [Google Scholar] [CrossRef]
- Buchheit, M. The 30–15 intermittent fitness test: 10 year review. Myorobie J. 2010, 1, 278. [Google Scholar]
- Clemente, F.M.; Mendes, B.; Nikolaidis, P.T.; Calvete, F.; Carriço, S.; Owen, A.L. Internal training load and its longitudinal relationship with seasonal player wellness in elite professional soccer. Physiol. Behav. 2017, 179, 262–267. [Google Scholar] [CrossRef] [PubMed]
- Nobari, H.; Akyildiz, Z.; Fani, M.; Oliveira, R.; Pérez-Gómez, J.; Clemente, F.M. Weekly Wellness Variations to Identify Non-Functional Overreaching Syndrome in Turkish National Youth Wrestlers: A Pilot Study. Sustainability 2021, 13, 4667. [Google Scholar] [CrossRef]
- Hopkins, W.G.; Marshall, S.W.; Batterham, A.M.; Hanin, J. Progressive Statistics for Studies in Sports Medicine and Exercise Science. Med. Sci. Sports Exerc. 2009, 41, 3–12. [Google Scholar] [CrossRef]
- Selmi, O.; Marzouki, H.; Ouergui, I.; Benkhalifa, W.; Bouassida, A. Influence of intense training cycle and psychometric status on technical and physiological aspects performed during the small-sided games in soccer players. Res. Sports Med. 2018, 26, 401–412. [Google Scholar] [CrossRef]
- Clemente, F.M.; Mendes, B.; Palao, J.M.; Silvério, A.; Carriço, S.; Calvete, F.; Nakamura, F.Y. Seasonal player wellness and its longitudinal association with internal training load: Study in elite volleyball. J. Sports Med. Phys. Fit. 2019, 59, 345–351. [Google Scholar] [CrossRef] [PubMed]
- Thelwell, R.C.; Greenlees, I.A.; Weston, N.J.V. Using Psychological Skills Training to Develop Soccer Performance. J. Appl. Sport Psychol. 2006, 18, 254–270. [Google Scholar] [CrossRef]
- Najah, A.; Rejeb, R.B. The psychological profile of youth male soccer players in different playing positions. Adv. Phys. Educ. 2015, 5, 161. [Google Scholar] [CrossRef]
- Feltz, D.L.; Ewing, M.E. Psychological characteristics of elite young athletes. Med. Sci. Sports Exerc. 1987, 19. [Google Scholar] [CrossRef]
- Nobari, H.; Praça, G.M.; Clemente, F.M.; Pérez-Gómez, J.; Carlos Vivas, J.; Ahmadi, M. Comparisons of new body load and metabolic power average workload indices between starters and non-starters: A full-season study in professional soccer players. Proc. Inst. Mech. Eng. Part P J. Sports Eng. Technol. 2020. [Google Scholar] [CrossRef]
- Nobari, H.; Oliveira, R.; Clemente, F.M.; Adsuar, J.C.; Pérez-Gómez, J.; Carlos-Vivas, J.; Brito, J.P. Comparisons of Accelerometer Variables Training Monotony and Strain of Starters and Non-Starters: A Full-Season Study in Professional Soccer Players. Int. J. Environ. Res. Public Health 2020, 17, 6547. [Google Scholar] [CrossRef] [PubMed]
- Clemente, F.M.; Silva, R.; Chen, Y.-S.; Aquino, R.; Praça, G.M.; Castellano, J.; Nobari, H.; Mendes, B.; Rosemann, T.; Knechtle, B. Accelerometry-Workload Indices Concerning Different Levels of Participation during Congested Fixture Periods in Professional Soccer: A Pilot Study Conducted over a Full Season. Int. J. Environ. Res. Public Health 2021, 18, 1137. [Google Scholar] [CrossRef] [PubMed]



| Characteristics | Field Position | |||||||||
|---|---|---|---|---|---|---|---|---|---|---|
| WD = 6N | CD = 5N | CM = 5N | WM = 6N | ST = 4N | ||||||
| Mean | SD | Mean | SD | Mean | SD | Mean | SD | Mean | SD | |
| Anthropometric | ||||||||||
| Age (years) | 15.4 | 0.3 | 15.5 | 0.3 | 15.4 | 0.2 | 15.4 | 0.3 | 15.6 | 0.1 |
| Height (cm) | 175.8 | 4.0 | 174.4 | 5.0 | 169.8 | 1.3 | 171.2 | 2.9 | 172.8 | 5.3 |
| Body mass (kg) | 66.9 | 5.7 | 62.6 | 4.9 | 58.1 | 1.4 | 57.5 | 3.9 | 61.4 | 6.1 |
| BMI (kg·m2) | 22.2 | 1.5 | 21.0 | 1.2 | 20.1 | 0.4 | 19.3 | 1.2 | 20.8 | 1.9 |
| VO2max (mL·kg−1·min−1) | 48.0 | 3.2 | 48.1 | 1.3 | 47.6 | 1.8 | 49.4 | 2.7 | 49.1 | 2.9 |
| Career (years) | 6.0 | 1.5 | 7.4 | 1.1 | 6.0 | 1.4 | 5.3 | 1.4 | 6.5 | 1.9 |
| Maturations (years) | ||||||||||
| PHV | 2.1 | 0.2 | 1.8 | 0.4 | 1.8 | 0.1 | 1.7 | 0.4 | 1.9 | 0.2 |
| Maturity offset | 13.4 | 0.4 | 13.6 | 0.4 | 13.6 | 0.2 | 13.7 | 0.4 | 13.6 | 0.3 |
| Body compositions | ||||||||||
| BF% | 8.2 | 2.2 | 10.3 | 3.8 | 10.4 | 3.3 | 6.1 | 1.9 | 8.6 | 0.6 |
| BF (kg) | 5.6 | 1.8 | 6.4 | 2.4 | 6.0 | 1.9 | 3.5 | 1.1 | 5.3 | 0.8 |
| LBM (kg) | 61.4 | 4.1 | 56.2 | 5.6 | 52.1 | 2.3 | 53.9 | 3.9 | 56.1 | 5.3 |
| Variables | Season Period | Comparative | Mean Difference (95% CI) | p | Hedge’s g (95% CI) | |
|---|---|---|---|---|---|---|
| wDOMS (AU) | Ear-S | 10.0 (0.7) | Ear-S vs. Mid-S | 0.4 [0.1 to 0.8] | 0.05 | 0.6 [0.04 to 1.1] |
| Mid-S | 10.4 (0.6) | Ear-S vs. End-S | 1.1 [0.7 to 1.5] | <0.001 | 1.5 [0.9 to 2.2] | |
| End-S | 11.1 (0.6) | Mid-S vs. End-S | 0.7 [0.3 to 1.0] | <0.001 | 1.0 [0.4 to 1.6] | |
| wFatigue (AU) | Ear-S | 9.9 (0.7) | Ear-S vs. Mid-S | 0.7 [0.3 to 1.1] | 0.003 | 0.8 [0.3 to 1.4] |
| Mid-S | 10.6 (0.8) | Ear-S vs. End-S | 0.9 [0.5 to 1.3] | <0.001 | 1.2 [0.7 to 1.8] | |
| End-S | 10.8 (0.7) | Mid-S vs. End-S | 0.3 [0.1 to 0.7] | 0.283 | 0.3 [0.2 to 0.9] | |
| wStress (AU) | Ear-S | 9.6 (0.6) | Ear-S vs. Mid-S | 0.7 [0.3 to 1.1] | 0.003 | 0.8 [0.3 to 1.4] |
| Mid-S | 10.3 (0.9) | Ear-S vs. End-S | 1.3 [0.9 to 1.7] | <0.001 | 1.8 [1.1 to 2.4] | |
| End-S | 10.9 (0.8) | Mid-S vs. End-S | 0.6 [0.1 to 1.1] | 0.036 | 0.7 [0.1 to 1.2] | |
| wSleep (AU) | Ear-S | 10.4 (0.9) | Ear-S vs. Mid-S | 0.5 [0.1 to 0.9] | 0.098 | 0.6 [0.05 to 1.2] |
| Mid-S | 10.9 (0.7) | Ear-S vs. End-S | 0.9 [0.5 to 1.4] | <0.001 | 1.2 [0.6 to 1.8] | |
| End-S | 11.4 (0.6) | Mid-S vs. End-S | 0.4 [0.1 to 0.8] | 0.034 | 0.6 [0.1 to 1.2] | |
| wWS (AU) | Ear-S | 40.0 (1.7) | Ear-S vs. Mid-S | 2.3 [1.4 to 3.2] | <0.001 | 1.3 [0.7 to 1.9] |
| Mid-S | 42.3 (1.6) | Ear-S vs. End-S | 4.3 [3.4 to 5.2] | <0.001 | 2.5 [1.7 to 3.2] | |
| End-S | 44.3 (1.6) | Mid-S vs. End-S | 2.0 [1.1 to 2.9] | 0.001 | 1.2 [0.6 to 1.8] | |
Publisher’s Note: MDPI stays neutral with regard to jurisdictional claims in published maps and institutional affiliations. |
© 2021 by the authors. Licensee MDPI, Basel, Switzerland. This article is an open access article distributed under the terms and conditions of the Creative Commons Attribution (CC BY) license (https://creativecommons.org/licenses/by/4.0/).
Share and Cite
Nobari, H.; Fani, M.; Pardos-Mainer, E.; Pérez-Gómez, J. Fluctuations in Well-Being Based on Position in Elite Young Soccer Players during a Full Season. Healthcare 2021, 9, 586. https://doi.org/10.3390/healthcare9050586
Nobari H, Fani M, Pardos-Mainer E, Pérez-Gómez J. Fluctuations in Well-Being Based on Position in Elite Young Soccer Players during a Full Season. Healthcare. 2021; 9(5):586. https://doi.org/10.3390/healthcare9050586
Chicago/Turabian StyleNobari, Hadi, Maryam Fani, Elena Pardos-Mainer, and Jorge Pérez-Gómez. 2021. "Fluctuations in Well-Being Based on Position in Elite Young Soccer Players during a Full Season" Healthcare 9, no. 5: 586. https://doi.org/10.3390/healthcare9050586
APA StyleNobari, H., Fani, M., Pardos-Mainer, E., & Pérez-Gómez, J. (2021). Fluctuations in Well-Being Based on Position in Elite Young Soccer Players during a Full Season. Healthcare, 9(5), 586. https://doi.org/10.3390/healthcare9050586

