Re-Sounding Alarms: Designing Ergonomic Auditory Interfaces by Embracing Musical Insights
Abstract
1. Introduction
2. Medical Device Alarms
2.1. Alarm Masking
2.2. Alarm Confusions
3. Lessons from Music
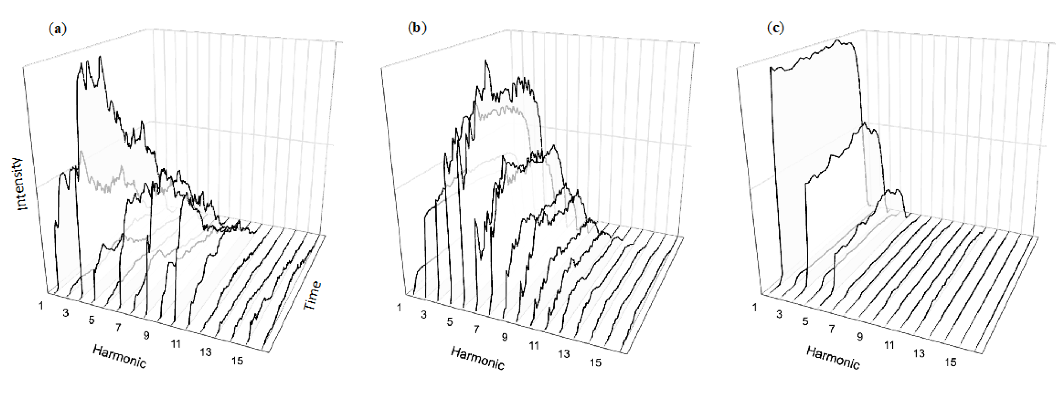
Timbre
4. Sound Issues in Hospitals: What Can (and Cannot) Be Done?
4.1. On the Complexity of Musical Sounds
4.2. On the Simplicity of Alarm Sounds
4.3. Temporal Complexity and Annoyance
4.4. Developments in Alarm Standards.
5. The Future of Alarms
6. Conclusions
Supplementary Materials
Author Contributions
Funding
Acknowledgments
Conflicts of Interest
References
- Morris, R.W.; Montano, S.R. Response Times to Visual and Auditory Alarms during Anaesthesia. Anaesth. Intensiv. Care 1996, 24, 682–684. [Google Scholar] [CrossRef]
- Bliss, J.P. Investigation of Alarm-Related Accidents and Incidents in Aviation. Int. J. Aviat. Psychol. 2003, 13, 249–268. [Google Scholar] [CrossRef]
- Patterson, R.D. Auditory warning sounds in the work environment. Philos. Trans. R. Soc. Lond. 1990, 327, 485–492. [Google Scholar]
- Lacherez, P.; Seah, E.L.; Sanderson, P. Overlapping melodic alarms are almost indiscriminable. Hum. Factors J. Hum. Factors Ergon. Soc. 2007, 49, 637–645. [Google Scholar] [CrossRef]
- Konkani, A.; Oakley, B.; Penprase, B. Reducing Hospital ICU Noise: A Behavior-Based Approach. J. Healthc. Eng. 2014, 5, 229–246. [Google Scholar] [CrossRef]
- Görges, M.; Markewitz, B.A.; Westenskow, D.R. Improving Alarm Performance in the Medical Intensive Care Unit Using Delays and Clinical Context. Anesth. Analg. 2009, 108, 1546–1552. [Google Scholar] [CrossRef]
- Bitan, Y.; Meyer, J.; Shinar, D.; Zmora, E. Nurses? Reactions to alarms in a neonatal intensive care unit. Cogn. Technol. Work. 2004, 6, 239–246. [Google Scholar] [CrossRef]
- Momtahan, K.; Hétu, R.; Tansley, B. Audibility and identification of auditory alarms in the operating room and intensive care unit. Ergonomics 1993, 36, 1159–1176. [Google Scholar] [CrossRef]
- Toor, O.; Ryan, T.; Richard, M. Auditory masking potential of common operating room sounds: A psychoacoustic analysis. Anesthesiology 2008, 109, A1207. [Google Scholar]
- Block, J.F.E.; Nuutinen, L.; Ballast, B. Optimization of Alarms: A Study on Alarm Limits, Alarm Sounds, and False Alarms, Intended to Reduce Annoyance. J. Clin. Monit. 1999, 15, 75–83. [Google Scholar] [CrossRef]
- Siebig, S.; Kuhls, S.; Imhoff, M.; Gather, U.; Schölmerich, J.; Wrede, C.E. Intensive care unit alarms—How many do we need? Crit. Care Med. 2010, 38, 451–456. [Google Scholar] [CrossRef]
- Leung, Y.K.; Smith, S.; Parker, S.; Martin, R. Learning and Retention of Auditory Warnings. In Proceedings of the 4th International Conference on Auditory Display (ICAD1997), Palo Alto, CA, USA, 2–5 November 1997. [Google Scholar]
- Edworthy, J. Medical audible alarms: A review. J. Am. Med. Inform. Assoc. 2012, 20, 584–589. [Google Scholar] [CrossRef]
- Oleksy, A.J.; Schlesinger, J.J. What’s all that noise—Improving the hospital soundscape. J. Clin. Monit. 2018, 33, 557–562. [Google Scholar] [CrossRef]
- Wilcox, S.B. A Human Factors Perspective: Auditory Alarm Signals. Biomed. Instrum. Technol. 2011, 45, 284–289. [Google Scholar] [CrossRef]
- Parsons, K.C. Ergonomics of the physical environment. International ergonomics standards concerning speech communication, danger signals, lighting, vibration and surface temperatures. Appl. Ergon. 1995, 26, 281–292. [Google Scholar] [CrossRef]
- International Electrotechnical Commission. International Standard IEC 60601: Medical Electrical Equipment. Part 1–8: General Requirements for Safety. Collateral Standard: General Requirements, Tests and Guidance for Alarm Systems in Medical Electrical Equipment and Medical Electrical Systems; International Electrotechnical Commission: Geneva, Switzerland, 2006. [Google Scholar]
- Kishon-Rabin, L.; Amir, O.; Vexler, Y.; Zaltz, Y. Pitch Discrimination: Are Professional Musicians Better than Non-Musicians? J. Basic Clin. Physiol. Pharmacol. 2001, 12, 125–144. [Google Scholar] [CrossRef]
- Tervaniemi, M.; Just, V.; Koelsch, S.; Widmann, A. Pitch discrimination accuracy in musicians vs nonmusicians: An event-related potential and behavioral study. Exp. Brain Res. 2004, 161, 1–10. [Google Scholar] [CrossRef]
- Cuddy, L.L.; Balkwill, L.; Peretz, I.; Holden, R.R. Musical Difficulties Are Rare: A Study of “Tone Deafness” among University Students. Ann. N. Y. Acad. Sci. 2005, 1060, 311–324. [Google Scholar] [CrossRef]
- Peretz, I.; Vuvan, D.T. Prevalence of congenital amusia. Eur. J. Hum. Genet. 2017, 25, 625–630. [Google Scholar] [CrossRef]
- Gillard, J.; Schütz, M. Composing alarms: Considering the musical aspects of auditory alarm design. Neurocase 2016, 22, 566–576. [Google Scholar] [CrossRef]
- Edworthy, J.; Reid, S.; McDougall, S.; Edworthy, J.; Hall, S.; Bennett, D.; Khan, J.; Pye, E. The Recognizability and Localizability of Auditory Alarms: Setting Global Medical Device Standards. Hum. Factors J. Hum. Factors Ergon. Soc. 2017, 59, 1108–1127. [Google Scholar] [CrossRef]
- Sanderson, P.M.; Wee, A.; Lacherez, P. Learnability and discriminability of melodic medical equipment alarms. Anaesthesia 2006, 61, 142–147. [Google Scholar] [CrossRef]
- Bolton, M.L.; Zheng, X.; Li, M.; Edworthy, J.R.; Boyd, A.D. An Experimental Validation of Masking in IEC 60601-1-8:2006-Compliant Alarm Sounds. Hum. Factors J. Hum. Factors Ergon. Soc. 2019, 62, 954–972. [Google Scholar] [CrossRef]
- Sanderson, P.; Wee, A.; Seah, E.; Lacherez, P. Auditory Alarms, Medical Standards, And Urgency. In Proceedings of the 12th International Conference on Auditory Display, London, UK, 20–23 June 2006. [Google Scholar]
- Edworthy, J.; Hellier, E. Fewer but better auditory alarms will improve patient safety. Qual. Saf. Health Care 2005, 14, 212–215. [Google Scholar] [CrossRef][Green Version]
- Hasanain, B.; Boyd, A.D.; Edworthy, J.; Bolton, M.L. A formal approach to discovering simultaneous additive masking between auditory medical alarms. Appl. Ergon. 2017, 58, 500–514. [Google Scholar] [CrossRef]
- Simons, D.; Fredericks, T.K. The Evaluation of an Auditory Alarm for a New Medical Device. Proc. Hum. Factors Ergon. Soc. Annu. Meet. 1997, 41, 777–781. [Google Scholar]
- Hall, J.W.; Grose, J.H. Comodulation masking release: Evidence for multiple cues. J. Acoust. Soc. Am. 1988, 84, 1669–1675. [Google Scholar] [CrossRef]
- Moore, B.C.J.; Vickers, D.A. The role of spread excitation and suppression in simultaneous masking. J. Acoust. Soc. Am. 1997, 102, 2284–2290. [Google Scholar] [CrossRef]
- Darwin, C.J. Dichotic backward masking of complex sounds. Q. J. Exp. Psychol. 1971, 23, 386–392. [Google Scholar] [CrossRef]
- Finley, G.A.; Cohen, A.J. Perceived urgency and the anaesthetist: Responses to common operating room monitor alarms. Can. J. Anesthesia J. Can. D’Anesthés. 1991, 38, 958–964. [Google Scholar] [CrossRef][Green Version]
- Bregman, A.S. Auditory Scene Analysis: The Perceptual Organization of Sound; Bradford Books, MIT Press: Cambridge, MA, USA, 1990. [Google Scholar]
- Rameau, J. Treatise on Harmony; Edited and Translated by Philip Gossett; Dover Publishing: New York, NY, USA, 1971. [Google Scholar]
- Berlioz, H.; Strauss, R. Treatise on Instrumentation; Alfred Music Publishing: New York, NY, USA, 1985. [Google Scholar]
- Huron, D. Tone and Voice: A Derivation of the Rules of Voice-Leading from Perceptual Principles. Music. Percept. Interdiscip. J. 2001, 19, 1–64. [Google Scholar] [CrossRef]
- Dowling, W. The perception of interleaved melodies. Cogn. Psychol. 1973, 5, 322–337. [Google Scholar] [CrossRef]
- Kidd, G.; Boltz, M.; Jones, M.R. Some Effects of Rhythmic Context on Melody Recognition. Am. J. Psychol. 1984, 97, 153. [Google Scholar] [CrossRef]
- Turgeon, M.; Bregman, A.S. Rhythmic masking release: A paradigm to investigate auditory grouping resulting from the integration of time-varying intensity levels across frequency and across ears. J. Acoust. Soc. Am. 1997, 102, 3160. [Google Scholar] [CrossRef]
- Bach, J.S. Well Tempered Clavier, Book 1; G. Schirmer: New York, NY, USA, 1866. [Google Scholar]
- Ravel, M. Bolero [Score]; Durand & Cie.: Paris, France, 1929; Available online: http://imslp.org/ (accessed on 2 October 2017).
- Asada, M.; Ohgushi, K. Perceptual Analyses of Ravel’s “Bolero”. Music. Percept. Interdiscip. J. 1991, 8, 241–249. [Google Scholar] [CrossRef]
- Suied, C.; Agus, T.; Thorpe, S.J.; Mesgarani, N.; Pressnitzer, D. Auditory gist: Recognition of very short sounds from timbre cues. J. Acoust. Soc. Am. 2014, 135, 1380–1391. [Google Scholar] [CrossRef]
- Schellenberg, E.G.; Iverson, P.; McKinnon, M.C. Name that tune: Identifying popular recordings from brief excerpts. Psychon. Bull. Rev. 1999, 6, 641–646. [Google Scholar] [CrossRef]
- Moore, B.C.J.; Gockel, H.E. Properties of auditory stream formation. Philos. Trans. R. Soc. B Biol. Sci. 2012, 367, 919–931. [Google Scholar] [CrossRef]
- Iverson, P. Auditory stream segregation by musical timbre: Effects of static and dynamic acoustic attributes. J. Exp. Psychol. Hum. Percept. Perform. 1995, 21, 751–763. [Google Scholar] [CrossRef]
- Rayo, M.F.; Patterson, E.S.; Abdel-Rasoul, M.; Moffatt-Bruce, S.D. Using timbre to improve performance of larger auditory alarm sets. Ergonomics 2019, 62, 1617–1629. [Google Scholar] [CrossRef]
- Basner, M.; Babisch, W.; Davis, A.; Brink, M.; Clark, C.; Janssen, S.; Stansfeld, S.A. Auditory and non-auditory effects of noise on health. Lancet 2014, 383, 1325–1332. [Google Scholar] [CrossRef]
- Ising, H.; Kruppa, B. Health effects caused by noise: Evidence in the literature from the past 25 years. Noise Health 2004, 6, 5–13. [Google Scholar]
- Meltzer, L.J.; Davis, K.F.; Mindell, J.A. Patient and parent sleep in a children’s hospital. Pediatr. Nurs. 2012, 38, 64–71. [Google Scholar] [PubMed]
- Stanchina, M.L.; Abu-Hijleh, M.; Chaudhry, B.K.; Carlisle, C.C.; Millman, R.P. The influence of white noise on sleep in subjects exposed to ICU noise. Sleep Med. 2005, 6, 423–428. [Google Scholar] [CrossRef]
- Kjölhede, P.; Langström, P.; Nilsson, P.; Wodlin, N.B.; Nilsson, L. The Impact of Quality of Sleep on Recovery from Fast-Track Abdominal Hysterectomy. J. Clin. Sleep Med. 2012, 8, 395–402. [Google Scholar] [CrossRef] [PubMed]
- Cho, Z.; Park, S.; Kim, J.; Chung, S.; Chung, S.; Chung, J.; Moon, C.; Yi, J.; Sin, C.; Wong, E. Analysis of acoustic noise in MRI. Magn. Reson. Imaging 1997, 15, 815–822. [Google Scholar] [CrossRef]
- Varpio, L.; Kuziemsky, C.; Macdonald, C.; King, W.J. The Helpful or Hindering Effects of In-Hospital Patient Monitor Alarms on Nurses. CIN Comput. Informatics Nurs. 2012, 30, 210–217. [Google Scholar] [CrossRef]
- Sendelbach, S.; Funk, M. Alarm fatigue: A patient safety concern. AACN Adv. Crit. Care 2013, 24, 378–386. [Google Scholar] [CrossRef]
- The Healthcare Technology Foundation. Available online: http://thehtf.org/clinical.asp (accessed on 17 August 2020).
- Morrison, W.E.; Haas, E.C.; Shaffner, D.H.; Garrett, E.S.; Fackler, J.C. Noise, stress, and annoyance in a pediatric intensive care unit. Crit. Care Med. 2003, 31, 113–119. [Google Scholar] [CrossRef]
- Borowski, M.; Görges, M.; Fried, R.; Such, O.; Wrede, C.; Imhoff, M. Medical device alarms. Biomed. Tech. Eng. 2011, 56, 73–83. [Google Scholar] [CrossRef]
- Edworthy, J.; Hellier, E.; Titchener, K.; Naweed, A.; Roels, R. Heterogeneity in auditory alarm sets makes them easier to learn. Int. J. Ind. Ergon. 2011, 41, 136–146. [Google Scholar] [CrossRef]
- Stradivarius.org. Stradivarius Violin Price. Available online: https://www.stradivarius.org/price/. (accessed on 2 August 2020).
- Traditional Violin Craftsmanship in Cremona—Intangible Heritage—Culture Sector—UNESCO. Available online: https://ich.unesco.org/en/RL/traditional-violin-craftsmanship-in-cremona-00719 (accessed on 2 August 2020).
- Schutz, M.; Vaisberg, J.M. Surveying the Temporal Structure of Sounds Used in Music Perception. Music. Percept. Interdiscip. J. 2012, 31, 288–296. [Google Scholar] [CrossRef]
- Schütz, M.; Gillard, J. On the generalization of tones: A detailed exploration of non-speech auditory perception stimuli. Sci. Rep. 2020, 10, 1–14. [Google Scholar] [CrossRef] [PubMed]
- Bennett, C.; Dudaryk, R.; Crenshaw, N.; Edworthy, J.; McNeer, R. Recommendation of New Medical Alarms Based on Audibility, Identifiability, and Detectability in a Randomized, Simulation-Based Study. Crit. Care Med. 2019, 47, 1050–1057. [Google Scholar] [CrossRef] [PubMed]
- Block, F.E. “For if the trumpet give an uncertain sound, who shall prepare himself to the battle?” (I Corinthians 14:8, KJV). Anesth. Analg. 2008, 106, 357–359. [Google Scholar] [CrossRef] [PubMed]
- Montagu, J. Origins and Development of Musical Instruments; The Scarecrow Press: Toronto, ON, Canada, 2007. [Google Scholar]
- Schutz, M. Acoustic Structure and Musical Function: Musical Notes Informing Auditory Research. In The Oxford Handbook of Music and the Brain; Oxford University Press: Oxford, UK, 2019; pp. 145–164. [Google Scholar]
- Sreetharan, S.; Schlesinger, J.J.; Schutz, M. Designing Effective Auditory Interfaces: Exploring the Role of Amplitude Envelope. In Proceedings of the ICMPC15/ESCOM10, Graz, Austria, 23–28 July 2018; pp. 426–431. [Google Scholar]
- International Electrotechnical Commission. IEC 60601-1-8:2006+AMD1:2012+AMD2:2020 CSV Consolidated Version; International Electrotechnical Commission: Geneva, Switzerland, 2020. [Google Scholar]
- Keller, P.E.; Stevens, C. Meaning From Environmental Sounds: Types of Signal-Referent Relations and Their Effect on Recognizing Auditory Icons. J. Exp. Psychol. Appl. 2004, 10, 3–12. [Google Scholar] [CrossRef] [PubMed]
- O’Carroll, T.M. Survey of alarms in an intensive therapy unit. Anaesthesia 1986, 41, 742–744. [Google Scholar] [CrossRef]
- Juslin, P.N. Five Facets of Musical Expression: A Psychologist’s Perspective on Music Performance. Psychol. Music. 2003, 31, 273–302. [Google Scholar] [CrossRef]
- Buus, S.; Florentine, M.; Poulsen, T. Temporal integration of loudness, loudness discrimination, and the form of the loudness function. J. Acoust. Soc. Am. 1997, 101, 669–680. [Google Scholar] [CrossRef]
- Piccirilli, M.; Sciarma, T.; Luzzi, S. Modularity of music: Evidence from a case of pure amusia. J. Neurol. Neurosur. Psychiatry 2000, 69, 541–545. [Google Scholar] [CrossRef]
- Midgette, A. What Does a Conductor Do, Anyway? A Music Critic Lays It Out. The Washington Post, 1 October 2019. [Google Scholar]
- Juslin, P.N.; Laukka, P. Communication of emotions in vocal expression and music performance: Different channels, same code? Psychol. Bull. 2003, 129, 770–814. [Google Scholar] [CrossRef]





© 2020 by the authors. Licensee MDPI, Basel, Switzerland. This article is an open access article distributed under the terms and conditions of the Creative Commons Attribution (CC BY) license (http://creativecommons.org/licenses/by/4.0/).
Share and Cite
Foley, L.; Anderson, C.J.; Schutz, M. Re-Sounding Alarms: Designing Ergonomic Auditory Interfaces by Embracing Musical Insights. Healthcare 2020, 8, 389. https://doi.org/10.3390/healthcare8040389
Foley L, Anderson CJ, Schutz M. Re-Sounding Alarms: Designing Ergonomic Auditory Interfaces by Embracing Musical Insights. Healthcare. 2020; 8(4):389. https://doi.org/10.3390/healthcare8040389
Chicago/Turabian StyleFoley, Liam, Cameron J. Anderson, and Michael Schutz. 2020. "Re-Sounding Alarms: Designing Ergonomic Auditory Interfaces by Embracing Musical Insights" Healthcare 8, no. 4: 389. https://doi.org/10.3390/healthcare8040389
APA StyleFoley, L., Anderson, C. J., & Schutz, M. (2020). Re-Sounding Alarms: Designing Ergonomic Auditory Interfaces by Embracing Musical Insights. Healthcare, 8(4), 389. https://doi.org/10.3390/healthcare8040389

