Complexity of Cardiovascular Regulation and Its Association with Physical and Cardiorespiratory Fitness in Men with Type 2 Diabetes Mellitus
Abstract
1. Introduction
2. Materials and Methods
2.1. Subjects
2.2. Experimental Design
2.3. Cardiovascular Data Collection
2.4. Cardiopulmonary Exercise Test (CPET)
2.5. CRC
2.6. Statistical Analysis
3. Results
3.1. Participant Characteristics
3.2. Influence of CAN and Antihypertensive Agents
3.3. Comparison Between Groups
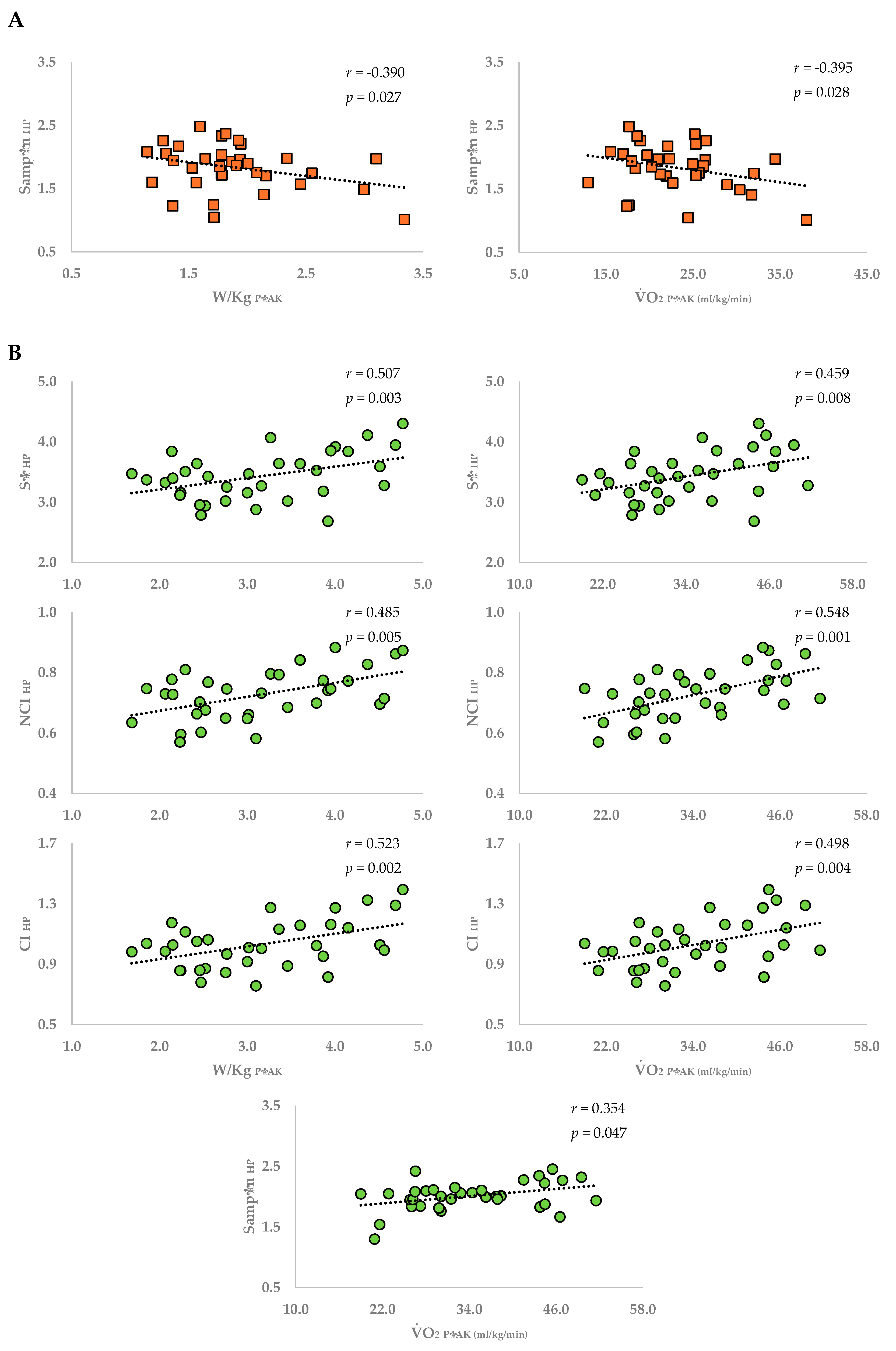
3.4. Relationship Between CRC and Physical Fitness/CRF
4. Discussion
5. Conclusions
Supplementary Materials
Author Contributions
Funding
Institutional Review Board Statement
Informed Consent Statement
Data Availability Statement
Acknowledgments
Conflicts of Interest
Abbreviations
| BMI | Body mass index |
| CAN | Cardiovascular autonomic neuropathy |
| CE | Conditional entropy |
| CCE | Corrected CE |
| CG | Control group |
| CI | Complexity index |
| CPET | Cardiopulmonary exercise test |
| CRC | Cardiovascular regulation complexity |
| CRF | Cardiorespiratory fitness |
| ECG | Electrocardiogram |
| HbA1c | Glycated hemoglobin |
| HDL | High-density lipoprotein |
| HOMA-IR | Homeostasis Model Assessment of Insulin Resistance |
| HP | Heart period |
| HRF | Heart rate fragmentation |
| hs-CRP | High-sensitivity C-reactive protein |
| LDL | Low-density lipoprotein |
| NCI | Normalized complexity index |
| PCA | Principal component analysis |
| SampEn | Sample entropy |
| SAP | Systolic arterial pressure |
| SE | Shannon’s entropy |
| T2DM | Type 2 diabetes mellitus |
| T2DMG | Type 2 diabetes mellitus group |
| VLDL | Very-low-density lipoprotein |
| VO2PEAK | Peak oxygen consumption |
| VO2/HR | Oxygen pulse |
| WPEAK | Peak power |
| W/kgPEAK | Relative Watts at peak of exercise |
References
- International Diabetes Federation. IDF Diabetes Atlas, 10th ed.; International Diabetes Federation: Brussels, Belgium, 2023. [Google Scholar]
- Lee, A.; Cardel, M.; Donahoo, W.T. Social and Environmental Factors Influencing Obesity. In Endotext; Feingold, K.R., Anawalt, B., Blackman, M.R., Boyce, A., Chrousos, G., Corpas, E., de Herder, W.W., Dhatariya, K., Dungan, K., Hofland, J., et al., Eds.; MDText.com, Inc.: South Dartmouth, MA, USA, 2000. [Google Scholar]
- Samant, A.C.; Jha, H.; Kamal, P. Systematic Review: Risk Factors for Developing Type 2 Diabetes Mellitus. Eur. J. Cardiovasc. Med. 2025, 15, 382–390. [Google Scholar]
- Khan, M.A.B.; Hashim, M.J.; King, J.K.; Govender, R.D.; Mustafa, H.; Al Kaabi, J. Epidemiology of Type 2 Diabetes—Global Burden of Disease and Forecasted Trends. J. Epidemiol. Glob. Health 2020, 10, 107–111. [Google Scholar] [CrossRef]
- Giraldo-Gonzalez, G.C.; Roman-Gonzalez, A.; Cañas, F.; Garcia, A. Molecular Mechanisms of Type 2 Diabetes-Related Heart Disease and Therapeutic Insights. Int. J. Mol. Sci. 2025, 26, 4548. [Google Scholar] [CrossRef]
- Leon, B.M.; Maddox, T.M. Diabetes and Cardiovascular Disease: Epidemiology, Biological Mechanisms, Treatment Recommendations and Future Research. World J. Diabetes 2015, 6, 1246–1258. [Google Scholar] [CrossRef] [PubMed]
- Mosenzon, O.; Cheng, A.Y.; Rabinstein, A.A.; Sacco, S. Diabetes and Stroke: What Are the Connections? J. Stroke 2023, 25, 26–38. [Google Scholar] [CrossRef] [PubMed]
- Carnevale, D. Neuroimmune Axis of Cardiovascular Control: Mechanisms and Therapeutic Implications. Nat. Rev. Cardiol. 2022, 19, 379–394. [Google Scholar] [CrossRef] [PubMed]
- Mannozzi, J.; Massoud, L.; Stavres, J.; Al-Hassan, M.-H.; O’Leary, D.S. Altered Autonomic Function in Metabolic Syndrome: Interactive Effects of Multiple Components. J. Clin. Med. 2024, 13, 895. [Google Scholar] [CrossRef]
- Porta, A.; Di Rienzo, M.; Wessel, N.; Kurths, J. Addressing the Complexity of Cardiovascular Regulation. Philos. Trans. A Math. Phys. Eng. Sci. 2009, 367, 1215–1218. [Google Scholar] [CrossRef]
- Hall, J.E.; Guyton, A.C. Guyton and Hall Textbook of Medical Physiology, 12th ed.; Saunders Elsevier: Philadelphia, PA, USA, 2011. [Google Scholar]
- Joyner, M.J.; Casey, D.P. Regulation of Increased Blood Flow (Hyperemia) to Muscles during Exercise: A Hierarchy of Competing Physiological Needs. Physiol. Rev. 2015, 95, 549–601. [Google Scholar] [CrossRef]
- Moura-Tonello, S.C.; Takahashi, A.C.; Francisco, C.O.; Lopes, S.L.; Del Vale, A.M.; Borghi-Silva, A.; Leal, A.M.; Montano, N.; Porta, A.; Catai, A.M. Influence of Type 2 Diabetes on Symbolic Analysis and Complexity of Heart Rate Variability in Men. Diabetol. Metab. Syndr. 2014, 6, 13. [Google Scholar] [CrossRef]
- Poitras, V.J.; Hudson, R.W.; Tschakovsky, M.E. Exercise Intolerance in Type 2 Diabetes: Is There a Cardiovascular Contribution? J. Appl. Physiol. 2018, 124, 1117–1139. [Google Scholar] [CrossRef] [PubMed]
- Nesti, L.; Pugliese, N.R.; Sciuto, P.; Natali, A. Type 2 Diabetes and Reduced Exercise Tolerance: A Review of the Literature through an Integrated Physiology Approach. Cardiovasc. Diabetol. 2020, 19, 134. [Google Scholar] [CrossRef]
- Colberg, S.R.; Sigal, R.J.; Yardley, J.E.; Riddell, M.C.; Dunstan, D.W.; Dempsey, P.C.; Horton, E.S.; Castorino, K.; Tate, D.F. Physical Activity/Exercise and Diabetes: A Position Statement of the American Diabetes Association. Diabetes Care 2016, 39, 2065–2079. [Google Scholar] [CrossRef]
- American Diabetes Association Professional Practice Committee. Standards of Medical Care in Diabetes—2022. Diabetes Care 2022, 45, S3. [Google Scholar] [CrossRef]
- Catai, A.M.; Pastre, C.M.; de Godoy, M.F.; da Silva, E.; de Medeiros Takahashi, A.C.; Vanderlei, L.C.M. Heart Rate Variability: Are You Using It Properly? Standardisation Checklist of Procedures. Braz. J. Phys. Ther. 2020, 24, 91–102. [Google Scholar] [CrossRef]
- Wasserman, K. Principles of Exercise Testing and Interpretation: Including Pathophysiology and Clinical Applications; LWW medical book collection; Lippincott Williams & Wilkins: Philadelphia, PA, USA, 2005. [Google Scholar]
- Costa, D.C.; de Santi, G.L.; Crescêncio, J.C.; Seabra, L.P.; Carvalho, E.E.V.; Papa, V.; Marques, F.; Gallo, L.; Schmidt, A. Use of the Wasserman Equation in Optimization of the Duration of the Power Ramp in a Cardiopulmonary Exercise Test: A Study of Brazilian Men. Braz. J. Med. Biol. Res. 2015, 48, 1136–1144. [Google Scholar] [CrossRef]
- Balady, G.J.; Arena, R.; Sietsema, K.; Myers, J.; Coke, L.; Fletcher, G.F.; Forman, D.; Franklin, B.; Guazzi, M.; Gulati, M.; et al. Clinician’s Guide to Cardiopulmonary Exercise Testing in Adults: A Scientific Statement from the American Heart Association. Circulation 2010, 122, 191–225. [Google Scholar] [CrossRef]
- Task Force of the European Society of Cardiology and the North American Society of Pacing and Electrophysiology. Task Force Heart Rate Variability: Standards of Measurement, Physiological Interpretation and Clinical Use. Circulation 1996, 93, 1043–1065. [Google Scholar] [CrossRef]
- Lombardi, F.; Huikuri, H.; Schmidt, G.; Malik, M. e-Rhythm Study Group of European Heart Rhythm Association. Short-Term Heart Rate Variability: Easy to Measure, Difficult to Interpret. Heart Rhythm 2018, 15, 1559–1560. [Google Scholar] [CrossRef] [PubMed]
- Porta, A.; Castiglioni, P.; Rienzo, M.D.; Bari, V.; Bassani, T.; Marchi, A.; Takahashi, A.C.M.; Tobaldini, E.; Montano, N.; Catai, A.M.; et al. Short-Term Complexity Indexes of Heart Period and Systolic Arterial Pressure Variabilities Provide Complementary Information. J. Appl. Physiol. 2012, 113, 1810–1820. [Google Scholar] [CrossRef] [PubMed]
- Porta, A.; Guzzetti, S.; Montano, N.; Furlan, R.; Pagani, M.; Malliani, A.; Cerutti, S. Entropy, Entropy Rate, and Pattern Classification as Tools to Typify Complexity in Short Heart Period Variability Series. IEEE Trans. Biomed. Eng. 2001, 48, 1282–1291. [Google Scholar] [CrossRef]
- Porta, A.; Baselli, G.; Liberati, D.; Montano, N.; Cogliati, C.; Gnecchi-Ruscone, T.; Malliani, A.; Cerutti, S. Measuring Regularity by Means of a Corrected Conditional Entropy in Sympathetic Outflow. Biol. Cybern. 1998, 78, 71–78. [Google Scholar] [CrossRef]
- Takahashi, A.C.M.; Porta, A.; Melo, R.C.; Quitério, R.J.; da Silva, E.; Borghi-Silva, A.; Tobaldini, E.; Montano, N.; Catai, A.M. Aging Reduces Complexity of Heart Rate Variability Assessed by Conditional Entropy and Symbolic Analysis. Intern. Emerg. Med. 2012, 7, 229–235. [Google Scholar] [CrossRef]
- Richman, J.S.; Moorman, J.R. Physiological Time-Series Analysis Using Approximate Entropy and Sample Entropy. Am. J. Physiol. Heart Circ. Physiol. 2000, 278, H2039–H2049. [Google Scholar] [CrossRef]
- Galdino, G.A.M.; Eduardo Virgilio Silva, L.; Cristina Garcia Moura-Tonello, S.; Cristina Milan-Mattos, J.; Nogueira Linares, S.; Porta, A.; da Silva, T.M.; Fazan, R.; Beltrame, T.; Maria Catai, A. Heart Rate Fragmentation Is Impaired in Type 2 Diabetes Mellitus Patients. Diabetes Res. Clin. Pract. 2023, 196, 110223. [Google Scholar] [CrossRef]
- Garber, C.E.; Blissmer, B.; Deschenes, M.R.; Franklin, B.A.; Lamonte, M.J.; Lee, I.-M.; Nieman, D.C.; Swain, D.P. Quantity and Quality of Exercise for Developing and Maintaining Cardiorespiratory, Musculoskeletal, and Neuromotor Fitness in Apparently Healthy Adults: Guidance for Prescribing Exercise. Med. Sci. Sports Exerc. 2011, 43, 1334. [Google Scholar] [CrossRef]
- Faludi, A.; Izar, M.; Saraiva, J.; Chacra, A.; Bianco, H.; Afiune Neto, A.; Bertolami, A.; Pereira, A.; Lottenberg, A.; Sposito, A.; et al. Atualização da Diretriz Brasileira de Dislipidemias e Prevenção da Aterosclerose—2017. Arq. Bras. Cardiol. 2017, 109, 1–76. [Google Scholar] [CrossRef] [PubMed]
- de Macedo, A.C.P.; Schaan, C.W.; Bock, P.M.; de Pinto, M.B.; Botton, C.E.; Umpierre, D.; Schaan, B.D. Cardiorespiratory Fitness in Individuals with Type 2 Diabetes Mellitus: A Systematic Review and Meta-Analysis. Arch. Endocrinol. Metab. 2023, 67, e230040. [Google Scholar] [CrossRef] [PubMed]
- Hernández-López, O.A.; Murillo-Ortíz, B.; Luna-Marco, C.; Cacace, J.; Hermo-Argibay, A.; Ramírez, V.; Guevara-Cruz, M.; Pelechá-Salvador, M.; Rocha, M.; Rovira-Llopis, S.; et al. Cardiorespiratory Fitness as a Key Predictor of Metabolic, Inflammatory, and Oxidative Stress Biomarkers in Adults with Different Physical Activity Levels. Free Radic. Biol. Med. 2025, 240, 735–744. [Google Scholar] [CrossRef] [PubMed]
- Araújo, C.G.S.; Kunutsor, S.K.; Eijsvogels, T.M.H.; Myers, J.; Laukkanen, J.A.; Hamar, D.; Niebauer, J.; Bhattacharjee, A.; de Souza e Silva, C.G.; Franca, J.F.; et al. Muscle Power Versus Strength as a Predictor of Mortality in Middle-Aged and Older Men and Women. Mayo Clin. Proc. 2025, 100, 1319–1331. [Google Scholar] [CrossRef]
- Tarvainen, M.P.; Cornforth, D.J.; Kuoppa, P.; Lipponen, J.A.; Jelinek, H.F. Complexity of Heart Rate Variability in Type 2 Diabetes—Effect of Hyperglycemia. In Proceedings of the 2013 35th Annual International Conference of the IEEE Engineering in Medicine and Biology Society (EMBC), Osaka, Japan, 3–7 July 2013; pp. 5558–5561. [Google Scholar] [CrossRef]
- Tarvainen, M.P.; Laitinen, T.P.; Lipponen, J.A.; Cornforth, D.J.; Jelinek, H.F. Cardiac Autonomic Dysfunction in Type 2 Diabetes—Effect of Hyperglycemia and Disease Duration. Front. Endocrinol. 2014, 5, 130. [Google Scholar] [CrossRef]
- Javorka, M.; Trunkvalterova, Z.; Tonhajzerova, I.; Javorkova, J.; Javorka, K.; Baumert, M. Short-Term Heart Rate Complexity Is Reduced in Patients with Type 1 Diabetes Mellitus. Clin. Neurophysiol. 2008, 119, 1071–1081. [Google Scholar] [CrossRef]
- Bertrand, A.; Tomek, J.; Rodriguez, B. Cardiac Remodelling in Type 2 Diabetes: Pathophysiological Mechanisms and Opportunities for Multiscale Computational Modelling and Simulation. J. Physiol. 2026. [Google Scholar] [CrossRef]
- Al Kury, L.T.; Chacar, S.; Alefishat, E.; Khraibi, A.A.; Nader, M. Structural and Electrical Remodeling of the Sinoatrial Node in Diabetes: New Dimensions and Perspectives. Front. Endocrinol. 2022, 13, 946313. [Google Scholar] [CrossRef] [PubMed]
- Hu, T.; Zhang, W.; Han, F.; Zhao, R.; Liu, L.; An, Z. Plasma Fingerprint of Free Fatty Acids and Their Correlations with the Traditional Cardiac Biomarkers in Patients with Type 2 Diabetes Complicated by Coronary Heart Disease. Front. Cardiovasc. Med. 2022, 9, 903412. [Google Scholar] [CrossRef]
- Khawaja, O.; Bartz, T.M.; Ix, J.H.; Heckbert, S.R.; Kizer, J.R.; Zieman, S.J.; Mukamal, K.J.; Tracy, R.P.; Siscovick, D.S.; Djoussé, L. Plasma Free Fatty Acids and Risk of Atrial Fibrillation (from the Cardiovascular Health Study). Am. J. Cardiol. 2012, 110, 212–216. [Google Scholar] [CrossRef] [PubMed]
- Costa, M.D.; Davis, R.B.; Goldberger, A.L. Heart Rate Fragmentation: A New Approach to the Analysis of Cardiac Interbeat Interval Dynamics. Front. Physiol. 2017, 8, 255. [Google Scholar] [CrossRef] [PubMed]
- Costa, M.D.; Redline, S.; Davis, R.B.; Heckbert, S.R.; Soliman, E.Z.; Goldberger, A.L. Heart Rate Fragmentation as a Novel Biomarker of Adverse Cardiovascular Events: The Multi-Ethnic Study of Atherosclerosis. Front. Physiol. 2018, 9, 1117. [Google Scholar] [CrossRef]


| Characteristics | T2DMG (n = 34) | CG (n = 34) | p |
|---|---|---|---|
| Age (years) * | 58 (53–63) | 51 (48–56) | <0.001 |
| Anthropometric data | |||
| Height (m) | 1.73 ± 0.06 | 1.73 ± 0.07 | 0.794 |
| Body mass (kg) * | 86.80 (79.65–92.15) | 73.20 (65.50–83.93) | <0.001 |
| BMI (kg/m2) | 28.37 ± 3.05 | 25.14 ± 2.82 | <0.001 |
| Physically active (%) # | 32.4 | 61.8 | 0.015 |
| CAN (n, %) | |||
| Early | 35.3 | - | - |
| Definitive | 8.8 | - | - |
| Laboratory exams | |||
| Erythrocytes (million/mm3) * | 4.84 (4.62–5.23) | 5.13 (4.95–5.42) | 0.022 |
| Hemoglobin (g/dL) | 14.73 ± 1.43 | 14.81 ± 0.91 | 0.770 |
| Hematocrit (%) | 42.19 ± 3.73 | 43.56 ± 2.54 | 0.391 |
| Leukocytes (mm3) * | 6700 (6000–7180) | 5685 (5103–6865) | 0.007 |
| HbA1c (%) (mmol/mol) * | 7.85 (6.73–9.50) | 5.20 (5.00–5.50) | <0.001 |
| Basal insulin (mU/mL) | 12.59 ± 9.20 | 6.29 ± 4.30 | <0.001 |
| Fasting glucose (mg/dL) | 173.89 ± 55.72 | 93.68 ± 6.75 | <0.001 |
| HOMA-IR | 5.23 ± 4.05 | 1.45 ± 0.97 | <0.001 |
| hs-CRP (mg/L) | 2.27 ± 1.71 | 1.23 ± 1.07 | 0.002 |
| Total cholesterol (mg/dL) | 181.50 ± 43.05 | 196.79 ± 33.98 | 0.109 |
| HDL-cholesterol (mg/dL) | 43.32 ± 8.98 | 49.59 ± 11.25 | 0.014 |
| LDL-cholesterol (mg/dL) | 105.18 ± 31.03 | 124.03 ± 30.31 | 0.014 |
| VLDL-cholesterol (mg/dL) | 28.85 ± 9.46 | 23.18 ± 14.92 | 0.001 |
| Triglycerides (mg/dL) | 176.18 ± 91.43 | 117.24 ± 74.60 | <0.001 |
| Medications | |||
| Hypoglycemic agents (n, %) | 88.2 | - | - |
| Antihypertensive agents (n, %) | 44.1 | - | - |
| Hypolipidemic agents (n, %) | 29.4 | - | - |
| Duration of diabetes (years) | 13 ± 8 | - | - |
| Variable | T2DMG (n = 34) | CG (n = 34) | p | d (95% CI) * |
|---|---|---|---|---|
| CPET | ||||
| WPEAK | 158.56 ± 38.94 | 233.00 ± 60.46 | 0.008 | 0.67 (0.18; 1.16) |
| W/kgPEAK | 1.89 ± 0.52 | 3.15 ± 0.90 | <0.001 | 1.16 (0.64; 1.68) |
| VO2PEAK (mL/min) | 1961.60 ± 481.88 | 2543.01 ± 647.87 | <0.001 | 1.10 (0.58; 1.62) |
| VO2PEAK (mL/kg/min) | 23.19 ± 5.68 | 34.24 ± 8.98 | <0.001 | 1.35 (0.82; 1.88) |
| HRPEAK (bpm) | 147.56 ± 17.38 | 160.88 ± 15.17 | 0.243 | 0.14 (−0.34; 0.62) |
| VO2/HR (mL/bpm) | 13.30 ± 2.92 | 15.82 ± 3.78 | 0.001 | 0.81 (0.30; 1.32) |
| CRC | ||||
| CIHP | 1.00 ± 0.18 | 1.03 ± 0.16 | 0.611 | 0.19 (−0.27; 0.67) |
| CISAP | 0.90 ± 0.12 | 0.91 ± 0.15 | 0.699 | 0.16 (−0.32; 0.64) |
| NCIHP | 0.67 ± 0.12 | 0.73 ± 0.08 | 0.484 | 0.22 (−0.26; 0.70) |
| NCISAP | 0.58 ± 0.08 | 0.60 ± 0.08 | 0.612 | 0.26 (−0.22; 0.74) |
| SampEnHP | 1.83 ± 0.36 | 2.01 ± 0.24 | 0.078 | 0.44 (−0.04; 0.92) |
| SampEnSAP | 1.65 ± 0.30 | 1.64 ± 0.29 | 0.906 | 0.03 (−0.45; 0.51) |
| SEHP | 3.45 ± 0.38 | 3.43 ± 0.40 | 0.169 | 0.35 (−0.13; 0.83) |
| SESAP | 3.37 ± 0.27 | 3.29 ± 0.35 | 0.227 | 0.30 (−0.18; 0.78) |
Disclaimer/Publisher’s Note: The statements, opinions and data contained in all publications are solely those of the individual author(s) and contributor(s) and not of MDPI and/or the editor(s). MDPI and/or the editor(s) disclaim responsibility for any injury to people or property resulting from any ideas, methods, instructions or products referred to in the content. |
© 2026 by the authors. Licensee MDPI, Basel, Switzerland. This article is an open access article distributed under the terms and conditions of the Creative Commons Attribution (CC BY) license.
Share and Cite
Signini, É.D.F.; de Abreu, R.M.; Castro, A.; Santos, A.M.; Galdino, G.A.M.; Moura, S.C.G.; Linares, S.N.; Milan-Mattos, J.C.; Zambetta, R.M.; Porta, A.; et al. Complexity of Cardiovascular Regulation and Its Association with Physical and Cardiorespiratory Fitness in Men with Type 2 Diabetes Mellitus. Healthcare 2026, 14, 940. https://doi.org/10.3390/healthcare14070940
Signini ÉDF, de Abreu RM, Castro A, Santos AM, Galdino GAM, Moura SCG, Linares SN, Milan-Mattos JC, Zambetta RM, Porta A, et al. Complexity of Cardiovascular Regulation and Its Association with Physical and Cardiorespiratory Fitness in Men with Type 2 Diabetes Mellitus. Healthcare. 2026; 14(7):940. https://doi.org/10.3390/healthcare14070940
Chicago/Turabian StyleSignini, Étore De F., Raphael M. de Abreu, Alex Castro, Andréia M. Santos, Gabriela A. M. Galdino, Silvia C. G. Moura, Stephanie N. Linares, Juliana C. Milan-Mattos, Rafaella M. Zambetta, Alberto Porta, and et al. 2026. "Complexity of Cardiovascular Regulation and Its Association with Physical and Cardiorespiratory Fitness in Men with Type 2 Diabetes Mellitus" Healthcare 14, no. 7: 940. https://doi.org/10.3390/healthcare14070940
APA StyleSignini, É. D. F., de Abreu, R. M., Castro, A., Santos, A. M., Galdino, G. A. M., Moura, S. C. G., Linares, S. N., Milan-Mattos, J. C., Zambetta, R. M., Porta, A., & Catai, A. M. (2026). Complexity of Cardiovascular Regulation and Its Association with Physical and Cardiorespiratory Fitness in Men with Type 2 Diabetes Mellitus. Healthcare, 14(7), 940. https://doi.org/10.3390/healthcare14070940

