Health Insurance and Neighborhood Deprivation as Determinants of Diagnostic Delays and Survival in Breast Cancer
Abstract
1. Introduction
2. Materials and Methods
2.1. Study Design and Data Source
2.2. Cohort Selection
2.3. Study Variables
2.3.1. Primary Outcomes
2.3.2. Primary Predictor
2.3.3. Modifier Variable
2.3.4. Independent Variables
2.4. Statistical Analysis
2.4.1. Delay from Detection to Diagnosis
2.4.2. Survival and Risk of Death
3. Results
3.1. Delay from Detection to Diagnosis
3.2. Survival and Risk of Death
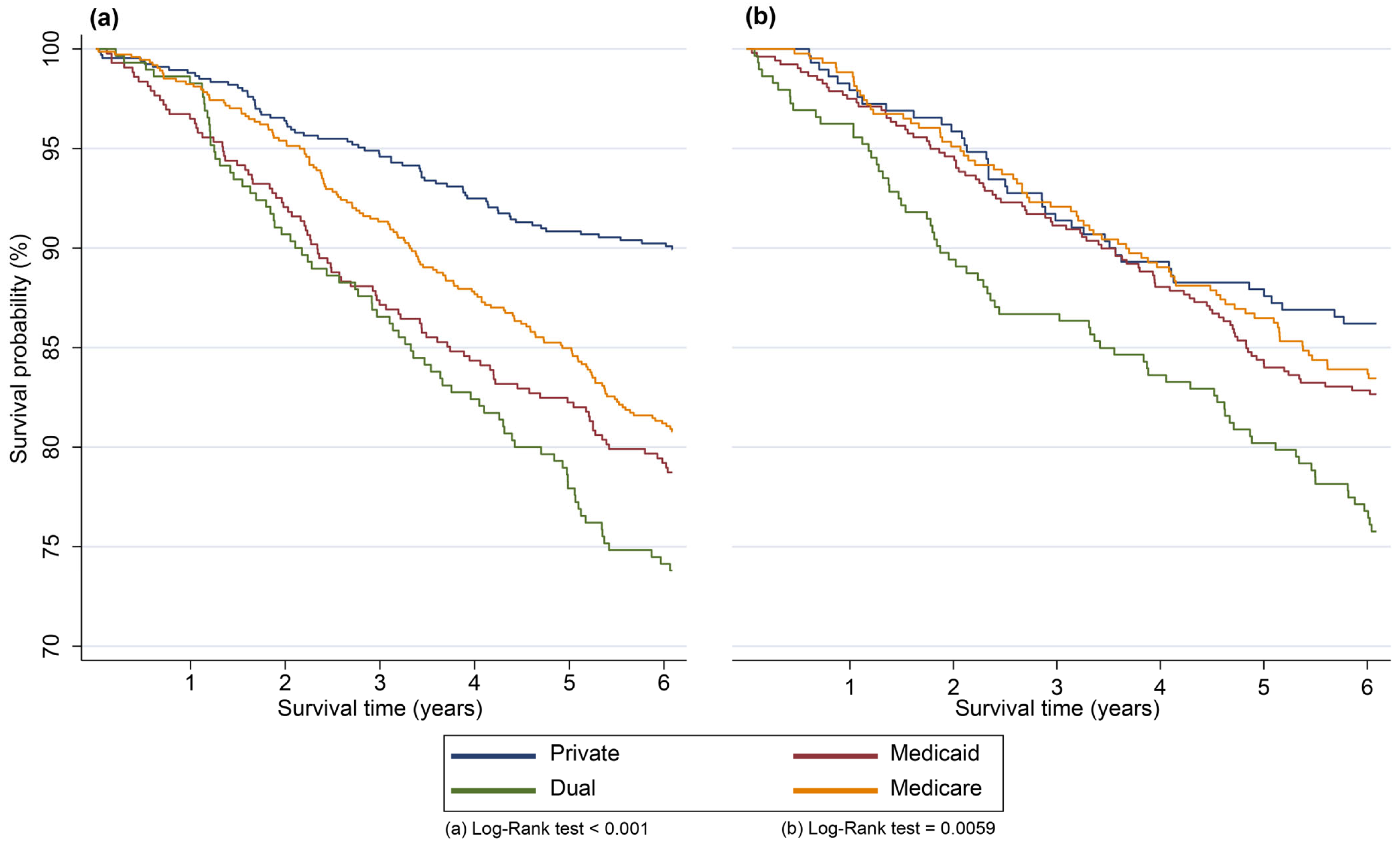
3.2.1. Survival
3.2.2. Risk of Death
4. Discussion
5. Conclusions
Author Contributions
Funding
Institutional Review Board Statement
Informed Consent Statement
Data Availability Statement
Acknowledgments
Conflicts of Interest
Abbreviations
| BC | Breast Cancer |
| PRCCR | Puerto Rico Central Cancer Registry |
| CCC | Cancer Care Continuum |
| SDH | Social Determinants of Health |
| PRCCR-HILD | Puerto Rico Central Cancer Registry-Health Insurance Linkage Database |
| CDC | The Centers for Disease Control and Prevention |
| aOR | Adjusted odds ratios |
| aHR | Adjusted hazard ratios |
Appendix A

References
- Common Cancer Sites—Cancer Stat Facts. Available online: https://seer.cancer.gov/statfacts/html/common.html (accessed on 27 June 2024).
- Torres-Cintrón, C.R.; Suárez-Ramos, T.; Pagán-Santana, Y.; Román-Ruiz, Y.; Gierbolini-Bermúdez, A.; Ortiz-Ortiz, K.J. Cancer in Puerto Rico, 2018–2022; Puerto Rico Central Cancer Registry: San Juan, Puerto Rico, 2025. [Google Scholar]
- Taplin, S.H.; Price, R.A.; Edwards, H.M.; Foster, M.K.; Breslau, E.S.; Chollette, V.; Das, I.P.; Clauser, S.B.; Fennell, M.L.; Zapka, J. Introduction: Understanding and Influencing Multilevel Factors across the Cancer Care Continuum. J. Natl. Cancer Inst. Monogr. 2012, 2012, 2–10. [Google Scholar] [CrossRef] [PubMed]
- Dianatinasab, M.; Mohammadianpanah, M.; Daneshi, N.; Zare-bandamiri, M.; Rezaeianzadeh, A.; Fararouei, M. Socioeconomic Factors, Health Behavior, and Late-Stage Diagnosis of Breast Cancer: Considering the Impact of Delay in Diagnosis. Clin. Breast Cancer 2018, 18, 239–245. [Google Scholar] [CrossRef] [PubMed]
- Hanna, T.P.; King, W.D.; Thibodeau, S.; Jalink, M.; Paulin, G.A.; Harvey-Jones, E.; O’Sullivan, D.E.; Booth, C.M.; Sullivan, R.; Aggarwal, A. Mortality Due to Cancer Treatment Delay: Systematic Review and Meta-Analysis. BMJ 2020, 371, m4087. [Google Scholar] [CrossRef] [PubMed]
- Solar, O.; Irwin, A. A Conceptual Framework for Action on the Social Determinants of Health; WHO: Geneva, Switzerland, 2010; 79p. [Google Scholar]
- Coughlin, S.S. Social Determinants of Breast Cancer Risk, Stage, and Survival. Breast Cancer Res. Treat. 2019, 177, 537–548. [Google Scholar] [CrossRef]
- Ayala-Rodríguez, P.; Rivera-Alers, D.; Rivera-Vélez, M.; Díaz-Rodríguez, J.; Ramirez-Ruiz, M.; Quiles-Bengochea, C.; Peña-Vargas, C.I.; Rodriguez-Castro, Z.; Cortes-Castro, C.; Armaiz-Pena, G.N.; et al. Impact of Socio-Demographic Factors, Financial Burden, and Social Support on Anxiety and Depression Symptoms in Puerto Rican Women with Breast Cancer. Behav. Sci. 2025, 15, 915. [Google Scholar] [CrossRef]
- Ortiz-Ortiz, K.J.; Ramírez-García, R.; Cruz-Correa, M.; Ríos-González, M.Y.; Ortiz, A.P. Effects of Type of Health Insurance Coverage on Colorectal Cancer Survival in Puerto Rico: A Population-Based Study. PLoS ONE 2014, 9, e96746. [Google Scholar] [CrossRef]
- Miranda, E.I.; Gierbolini-Bermúdez, A.; Quintana, R.; Torres-Cintrón, C.R.; Ortiz-Ortiz, K.J. Treatment Patterns and Health Care Resource Utilization of Patients with Non–Small Cell Lung Cancer in Puerto Rico: The TREATLINES-ONCOLUNG Study. JCO Glob. Oncol. 2024, 10, e2400089. [Google Scholar] [CrossRef]
- Ramos-Fernández, M.R.; Ortiz-Ortiz, K.J.; Torres-Cintrón, C.R.; Tortolero-Luna, G. Patterns of End-of-Life Care as Measured by Emergency Room Visits Among Cancer Patients in Puerto Rico. Am. J. Hosp. Palliat. Med.® 2022, 39, 72–78. [Google Scholar] [CrossRef]
- Ortiz-Ortiz, K.J.; Tortolero-Luna, G.; Torres-Cintrón, C.R.; Zavala-Zegarra, D.E.; Gierbolini-Bermúdez, A.; Ramos-Fernández, M.R. High-Intensity End-of-Life Care Among Patients With GI Cancer in Puerto Rico: A Population-Based Study. JCO Oncol. Pract. 2021, 17, e168–e177. [Google Scholar] [CrossRef]
- Ayala-Marín, A.M.; Colón-López, V.; Vélez-Álamo, C.; Fernández-Espada, N.; Pattatucci, A.; Fernández, M.E. Never Screened: Understanding Breast Cancer Nonadherence in Puerto Rico. Health Educ. Behav. 2021, 48, 559–566. [Google Scholar] [CrossRef]
- Dialla, P.O.; Arveux, P.; Ouedraogo, S.; Pornet, C.; Bertaut, A.; Roignot, P.; Janoray, P.; Poillot, M.L.; Quipourt, V.; Dabakuyo-Yonli, T.S. Age-Related Socio-Economic and Geographic Disparities in Breast Cancer Stage at Diagnosis: A Population-Based Study. Eur. J. Public Health 2015, 25, 966–972. [Google Scholar] [CrossRef] [PubMed]
- Shen, J.; Guan, Y.; Gururaj, S.; Zhang, K.; Song, Q.; Liu, X.; Bear, H.D.; Fuemmeler, B.F.; Anderson, R.T.; Zhao, H. Neighborhood Disadvantage, Built Environment, and Breast Cancer Outcomes: Disparities in Tumor Aggressiveness and Survival. Cancers 2025, 17, 1502. [Google Scholar] [CrossRef] [PubMed]
- Torres-Cintrón, M.; Ortiz, A.P.; Ortiz-Ortiz, K.J.; Figueroa-Vallés, N.R.; Pérez-Irizarry, J.; Díaz-Medina, G.; Torre-Feliciano, T.D.L.; Suárez-Pérez, E. Using a Socioeconomic Position Index to Assess Disparities in Cancer Incidence and Mortality, Puerto Rico, 1995–2004. Prev. Chronic Dis. 2012, 9, 3–12. [Google Scholar] [CrossRef]
- Nnaji, C.A.; Moodley, J. Collection of Cancer-Specific Data in Population-Based Surveys in Low- and Middle-Income Countries: A Review of the Demographic and Health Surveys. PLoS Glob. Public Health 2023, 3, e0002332. [Google Scholar] [CrossRef] [PubMed]
- Siddiqui, A.H.; Zafar, S.N. Global Availability of Cancer Registry Data. J. Glob. Oncol. 2018, 4, 1–3. [Google Scholar] [CrossRef]
- Awan, S.; Saini, G.; Gogineni, K.; Luningham, J.M.; Collin, L.J.; Bhattarai, S.; Aneja, R.; Williams, C.P. Associations between Health Insurance Status, Neighborhood Deprivation, and Treatment Delays in Women with Breast Cancer Living in Georgia. Cancer Med. 2023, 12, 17331–17339. [Google Scholar] [CrossRef]
- Richardson, L.C.; Royalty, J.; Howe, W.; Helsel, W.; Kammerer, W.; Benard, V.B. Timeliness of Breast Cancer Diagnosis and Initiation of Treatment in the National Breast and Cervical Cancer Early Detection Program, 1996-2005. Am. J. Public Health 2010, 100, 1769–1776. [Google Scholar] [CrossRef]
- Diez Roux, A.V.; Mair, C. Neighborhoods and Health. Ann. N. Y. Acad. Sci. 2010, 1186, 125–145. [Google Scholar] [CrossRef]
- Lovasi, G.S. Assessment of the Urban Environment. In Urban Public Health; Lovasi, G.S., Diez Roux, A.V., Kolker, J., Eds.; Oxford University Press: New York, NY, USA, 2020; pp. 109–135. ISBN 9780190885304. [Google Scholar]
- Singh, G.K. Area Deprivation and Widening Inequalities in US Mortality, 1969–1998. Am. J. Public Health 2003, 93, 1137–1143. [Google Scholar] [CrossRef]
- Carson, J.; Weir, A.; Chin, R.F.; McLellan, A. Socioeconomic Deprivation Is an Independent Risk Factor for Behavioral Problems in Children with Epilepsy. Epilepsy Behav. 2015, 45, 105–109. [Google Scholar] [CrossRef]
- Yusuf, R.; Chen, E.M.; Nwanyanwu, K.; Richards, B. Neighborhood Deprivation and Adherence to Initial Diabetic Retinopathy Screening HHS Public Access. Ophthalmol. Retin. 2020, 4, 550–552. [Google Scholar] [CrossRef]
- Nahle, T.; Makram, O.M.; Shah, V.R.; Hyma Kunhiraman, H.; Afzal, M.U.; Riaz, I.B.; Agarwal, N.; Swami, U.; Rachoin, J.-S.; Weintraub, N.L.; et al. Socioeconomic Position and Its Effect on Cardiovascular Outcomes and Mortality in Patients with Prostate Cancer. JNCI Cancer Spectr. 2025, 9, pkaf113. [Google Scholar] [CrossRef]
- Klabunde, C.N.; Potosky, A.L.; Legler, J.M.; Warren, J.L. Development of a Comorbidity Index Using Physician Claims Data. J. Clin. Epidemiol. 2000, 53, 1258–1267. [Google Scholar] [CrossRef]
- Jennifer, R.; Carolyn, C.; Annette, H.; Lynn, R.; Nicki, S. (Eds.) Summary Stage 2018 General Coding Instructions; National Cancer Institute: Bethesda, MD, USA, 2018. [Google Scholar]
- Roche, L.M.; Niu, X.; Stroup, A.M.; Henry, K.A. Disparities in Female Breast Cancer Stage at Diagnosis in New Jersey: A Spatial-Temporal Analysis. J. Public Health Manag. Pract. 2017, 23, 477–486. [Google Scholar] [CrossRef]




| Characteristics | Count | Percentage (%) |
|---|---|---|
| Age at diagnosis | ||
| <50 | 399 | 10.92 |
| 50–69 | 2092 | 57.25 |
| ≥70 | 1163 | 31.83 |
| Deprivation index | ||
| Lowest to average | 2123 | 58.10 |
| Lowest | 503 | 13.77 |
| Below-average | 851 | 23.29 |
| Average | 769 | 21.05 |
| Above-average to highest | 1531 | 41.90 |
| Above-average | 865 | 23.67 |
| Highest | 666 | 18.23 |
| Health insurance | ||
| Private | 956 | 26.16 |
| Medicare | 1168 | 31.96 |
| Medicaid | 947 | 25.92 |
| Dual | 583 | 15.96 |
| Stage at diagnosis | ||
| Localized | 2411 | 65.98 |
| Regional | 1128 | 30.87 |
| Distant | 115 | 3.15 |
| Comorbidity index | ||
| 0 | 2358 | 64.53 |
| 1 | 705 | 19.29 |
| ≥2 | 591 | 16.17 |
| Marital status | ||
| Married | 1883 | 51.53 |
| Unmarried | 1771 | 48.47 |
| Delay in diagnosis | ||
| >60 days | 946 | 25.89 |
| ≤60 days | 2708 | 74.11 |
| TOTAL | 3654 | 100.00 |
| Low to Average Deprivation | Above-Average to Highest Deprivation | Change | |||||||
|---|---|---|---|---|---|---|---|---|---|
| No Delay | Delay | No Delay | Delay | ||||||
| Count | % | Count | % | Count | % | Count | % | % | |
| Private | 549 | 82% | 117 | 18% | 218 | 75% | 72 | 25% | 7% |
| Medicare | 592 | 80% | 147 | 20% | 310 | 72% | 119 | 28% | 8% |
| Dual | 196 | 68% | 94 | 32% | 197 | 67% | 96 | 33% | 0% |
| Medicaid | 295 | 69% | 133 | 31% | 351 | 68% | 168 | 32% | 1% |
| Deprivation Index | Health Insurance | Survival Estimates (%) | ||
|---|---|---|---|---|
| 2 Years | 4 Years | 6 Years | ||
| Lowest to average | Dual | 90.69 | 82.41 | 74.14 |
| Medicaid | 92.06 | 84.35 | 79.21 | |
| Medicare | 95.40 | 87.69 | 81.19 | |
| Private | 96.40 | 92.49 | 90.24 | |
| Above-average to highest | Dual | 89.42 | 83.62 | 76.79 |
| Medicaid | 94.61 | 88.05 | 82.85 | |
| Medicare | 95.10 | 89.04 | 83.92 | |
| Private | 95.86 | 89.31 | 86.21 | |
Disclaimer/Publisher’s Note: The statements, opinions and data contained in all publications are solely those of the individual author(s) and contributor(s) and not of MDPI and/or the editor(s). MDPI and/or the editor(s) disclaim responsibility for any injury to people or property resulting from any ideas, methods, instructions or products referred to in the content. |
© 2026 by the authors. Licensee MDPI, Basel, Switzerland. This article is an open access article distributed under the terms and conditions of the Creative Commons Attribution (CC BY) license.
Share and Cite
Gierbolini-Bermúdez, A.; Castañeda-Avila, M.A.; Vázquez-Roldán, M.; Suárez-Ramos, T.; Torres-Cintrón, C.R.; Román-Oyola, R.; Ortiz-Ortiz, K.J. Health Insurance and Neighborhood Deprivation as Determinants of Diagnostic Delays and Survival in Breast Cancer. Healthcare 2026, 14, 676. https://doi.org/10.3390/healthcare14050676
Gierbolini-Bermúdez A, Castañeda-Avila MA, Vázquez-Roldán M, Suárez-Ramos T, Torres-Cintrón CR, Román-Oyola R, Ortiz-Ortiz KJ. Health Insurance and Neighborhood Deprivation as Determinants of Diagnostic Delays and Survival in Breast Cancer. Healthcare. 2026; 14(5):676. https://doi.org/10.3390/healthcare14050676
Chicago/Turabian StyleGierbolini-Bermúdez, Axel, Maira A. Castañeda-Avila, Marjorie Vázquez-Roldán, Tonatiuh Suárez-Ramos, Carlos R. Torres-Cintrón, Rosa Román-Oyola, and Karen J. Ortiz-Ortiz. 2026. "Health Insurance and Neighborhood Deprivation as Determinants of Diagnostic Delays and Survival in Breast Cancer" Healthcare 14, no. 5: 676. https://doi.org/10.3390/healthcare14050676
APA StyleGierbolini-Bermúdez, A., Castañeda-Avila, M. A., Vázquez-Roldán, M., Suárez-Ramos, T., Torres-Cintrón, C. R., Román-Oyola, R., & Ortiz-Ortiz, K. J. (2026). Health Insurance and Neighborhood Deprivation as Determinants of Diagnostic Delays and Survival in Breast Cancer. Healthcare, 14(5), 676. https://doi.org/10.3390/healthcare14050676

