Comparative Effectiveness of Multi-Component, Exercise-Based Interventions for Preventing Soccer-Related Musculoskeletal Injuries: A Systematic Review and Meta-Analysis
Abstract
1. Introduction
2. Materials and Methods
2.1. Search Strategy and Selection Criteria
2.2. Study Screening and Data Extraction
2.3. Risk of Bias Assessment and Quality Evaluation
2.4. Data Extraction and Administration
2.5. Data Analysis
2.6. Research Data Time Limitations
3. Results
3.1. Literature Identification
3.2. Demographic and Study Characteristics
3.3. Risk of Bias
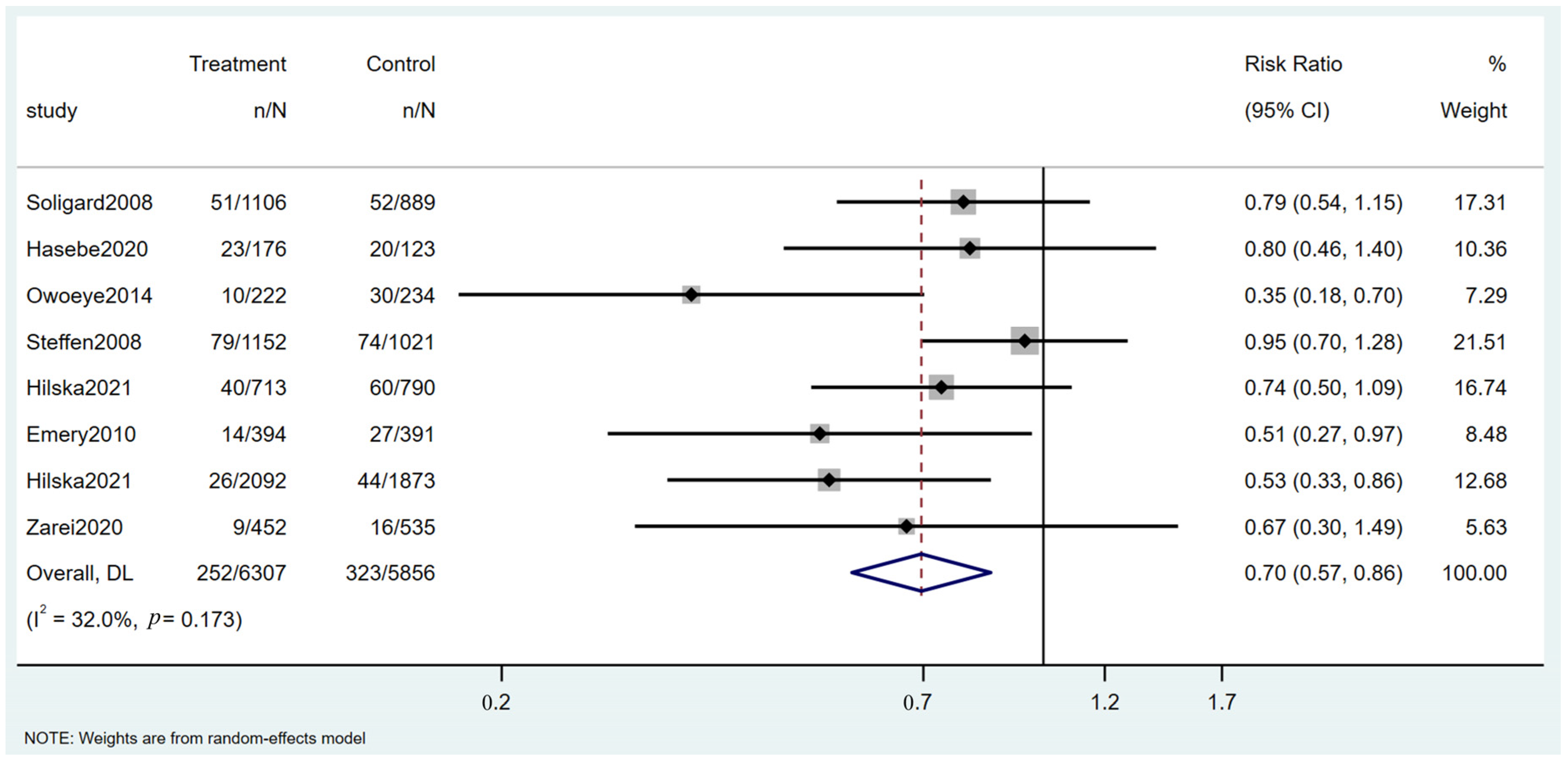
3.4. Lower Extremity Injuries
3.5. Hamstring Injuries
3.6. Knee Injuries
3.7. Ankle Injuries
3.8. Publication Bias Assessment
4. Discussion
5. Strengths and Limitations
6. Conclusions
Supplementary Materials
Author Contributions
Funding
Institutional Review Board Statement
Informed Consent Statement
Data Availability Statement
Acknowledgments
Conflicts of Interest
References
- aus der Fünten, K.; Faude, O.; Lensch, J.; Meyer, T. Injury characteristics in the German professional male soccer leagues after a shortened winter break. J. Athl. Train. 2014, 49, 786–793. [Google Scholar] [CrossRef] [PubMed]
- van Beijsterveldt, A.M.; Stubbe, J.H.; Schmikli, S.L.; van de Port, I.G.; Backx, F.J. Differences in injury risk and characteristics between Dutch amateur and professional soccer players. J. Sci. Med. Sport 2015, 18, 145–149. [Google Scholar] [CrossRef] [PubMed]
- Isleem, N.; Naseralallah, L.; Koraysh, S.; Abu Ghalyoun, A.; Alnaimi, S.; Pallivalapila, A.; Al Hail, M. Disaster preparedness amongst emergency pharmacists for the FIFA World Cup Qatar 2022™: A cross-sectional survey. Risk Manag. Healthc. Policy 2023, 16, 573–583. [Google Scholar] [CrossRef] [PubMed]
- Gibbs, N. Common rugby league injuries. Recommendations for treatment and preventative measures. Sports Med. 1994, 18, 438–450. [Google Scholar] [CrossRef]
- Saw, R.; Finch, C.F.; Samra, D.; Baquie, P.; Cardoso, T.; Hope, D.; Orchard, J.W. Injuries in Australian Rules Football: An overview of injury rates, patterns, and mechanisms across all levels of play. Sports Health 2018, 10, 208–216. [Google Scholar] [CrossRef]
- Elliott, M.C.; Zarins, B.; Powell, J.W.; Kenyon, C.D. Hamstring muscle strains in professional football players: A 10-year review. Am. J. Sports Med. 2011, 39, 843–850. [Google Scholar] [CrossRef]
- Gaulrapp, H.; Becker, A.; Walther, M.; Hess, H. Injuries in women’s soccer: A 1-year all players prospective field study of the women’s Bundesliga (German premier league). Clin. J. Sport Med. 2010, 20, 264–271. [Google Scholar] [CrossRef]
- Montalvo, A.M.; Schneider, D.K.; Silva, P.L.; Yut, L.; Webster, K.E.; Riley, M.A.; Kiefer, A.W.; Doherty-Restrepo, J.L.; Myer, G.D. ‘What’s my risk of sustaining an ACL injury while playing football (soccer)?’ A systematic review with meta-analysis. Br. J. Sports Med. 2019, 53, 1333–1340. [Google Scholar] [CrossRef]
- Dick, R.W. Is there a gender difference in concussion incidence and outcomes? Br. J. Sports Med. 2009, 43, i46–i50. [Google Scholar] [CrossRef]
- Prien, A.; Grafe, A.; Rössler, R.; Junge, A.; Verhagen, E. Epidemiology of head injuries focusing on concussions in team contact sports: A systematic review. Sports Med. 2018, 48, 953–969. [Google Scholar] [CrossRef]
- Lubberts, B.; D’Hooghe, P.; Bengtsson, H.; DiGiovanni, C.W.; Calder, J.; Ekstrand, J. Epidemiology and return to play following isolated syndesmotic injuries of the ankle: A prospective cohort study of 3677 male professional footballers in the UEFA Elite Club Injury Study. Br. J. Sports Med. 2019, 53, 959–964. [Google Scholar] [CrossRef] [PubMed]
- McCall, A.; Carling, C.; Davison, M.; Nedelec, M.; Le Gall, F.; Berthoin, S.; Dupont, G. Injury risk factors, screening tests and preventative strategies: A systematic review of the evidence that underpins the perceptions and practices of 44 football (soccer) teams from various premier leagues. Br. J. Sports Med. 2015, 49, 583–589. [Google Scholar] [CrossRef] [PubMed]
- Patricios, J.S.; Schneider, K.J.; Dvorak, J.; Ahmed, O.H.; Blauwet, C.; Cantu, R.C.; Davis, G.A.; Echemendia, R.J.; Makdissi, M.; McNamee, M.; et al. Consensus statement on concussion in sport: The 6th International Conference on Concussion in Sport–Amsterdam, October 2022. Br. J. Sports Med. 2023, 57, 695–711. [Google Scholar] [CrossRef]
- Herrero, H.; Salinero, J.J.; Del Coso, J. Injuries among Spanish male amateur soccer players: A retrospective population study. Am. J. Sports Med. 2014, 42, 78–85. [Google Scholar] [CrossRef]
- Peterson, L.; Junge, A.; Chomiak, J.; Graf-Baumann, T.; Dvorak, J. Incidence of football injuries and complaints in different age groups and skill-level groups. Am. J. Sports Med. 2000, 28, S51–S57. [Google Scholar] [CrossRef]
- van Beijsterveldt, A.M.; van de Port, I.G.; Krist, M.R.; Schmikli, S.L.; Stubbe, J.H.; Frederiks, J.E.; Backx, F.J. Effectiveness of an injury prevention programme for adult male amateur soccer players: A cluster-randomised controlled trial. Br. J. Sports Med. 2012, 46, 1114–1118. [Google Scholar]
- Soligard, T.; Myklebust, G.; Steffen, K.; Holme, I.; Silvers, H.; Bizzini, M.; Junge, A.; Dvorak, J.; Bahr, R.; Andersen, T.E. Comprehensive warm-up programme to prevent injuries in young female footballers: Cluster randomised controlled trial. BMJ 2008, 337, a2469. [Google Scholar] [CrossRef] [PubMed]
- Ekstrand, J.; Hägglund, M.; Waldén, M. Injury incidence and injury patterns in professional football: The UEFA injury study. Br. J. Sports Med. 2011, 45, 553–558. [Google Scholar] [CrossRef]
- Silvers-Granelli, H.J.; Bizzini, M.; Arundale, A.; Mandelbaum, B.R.; Snyder-Mackler, L. Does the FIFA 11+ injury prevention program reduce the incidence of ACL injury in male soccer players? Clin. Orthop. Relat. Res. 2017, 475, 2447–2455. [Google Scholar] [CrossRef]
- Obërtinca, R.; Hoxha, I.; Meha, R.; Lama, A.; Bimbashi, A.; Kuqi, D.; Shabani, B.; Meyer, T.; Der Fünten, K.A. Efficacy of multi-component exercise-based injury prevention programs on injury risk among footballers of all age groups: A systematic review and meta-analysis. Sports Med. 2023, 53, 837–848. [Google Scholar] [CrossRef]
- Robles-Palazón, F.J.; Blázquez-Rincón, D.; López-Valenciano, A.; Comfort, P.; López-López, J.A.; Ayala, F. A systematic review and network meta-analysis on the effectiveness of exercise-based interventions for reducing the injury incidence in youth team-sport players. Part 1: An analysis by classical training components. Ann. Med. 2024, 56, 2408457. [Google Scholar] [CrossRef] [PubMed]
- Fanchini, M.; Steendahl, I.B.; Impellizzeri, F.M.; Pruna, R.; Dupont, G.; Coutts, A.J.; Meyer, T.; McCall, A. Exercise-based strategies to prevent muscle injury in elite footballers: A systematic review and best evidence synthesis. Sports Med. 2020, 50, 1653–1666. [Google Scholar] [CrossRef]
- Faude, O.; Rommers, N.; Rössler, R. Exercise-based injury prevention in football. Ger. J. Exerc. Sport Res. 2018, 48, 157–168. [Google Scholar] [CrossRef]
- van der Horst, N.; Hoef, S.V.; Otterloo, P.V.; Klein, M.; Brink, M.; Backx, F. Effective but not adhered to: How can we improve adherence to evidence-based hamstring injury prevention in amateur football? Clin. J. Sport Med. 2021, 31, 42–48. [Google Scholar] [CrossRef]
- Rössler, R.; Junge, A.; Bizzini, M.; Verhagen, E.; Chomiak, J.; Aus der Fünten, K.; Meyer, T.; Dvorak, J.; Lichtenstein, E.; Beaudouin, F.; et al. A multinational cluster randomised controlled trial to assess the efficacy of ‘11+ Kids’: A warm-up programme to prevent injuries in children’s football. Sports Med. 2018, 48, 1493–1504. [Google Scholar] [CrossRef]
- Zarei, M.; Abbasi, H.; Namazi, P.; Asgari, M.; Rommers, N.; Rössler, R. The 11+ kids warm-up programme to prevent injuries in young Iranian male high-level football (soccer) players: A cluster-randomised controlled trial. J. Sci. Med. Sport 2020, 23, 469–474. [Google Scholar] [CrossRef] [PubMed]
- Liberati, A.; Altman, D.G.; Tetzlaff, J.; Mulrow, C.; Gøtzsche, P.C.; Ioannidis, J.P.; Clarke, M.; Devereaux, P.J.; Kleijnen, J.; Moher, D. The PRISMA statement for reporting systematic reviews and meta-analyses of studies that evaluate healthcare interventions: Explanation and elaboration. BMJ 2009, 339, b2700. [Google Scholar] [CrossRef]
- Stewart, L.A.; Clarke, M.; Rovers, M.; Riley, R.D.; Simmonds, M.; Stewart, G.; Tierney, J.F.; PRISMA-IPD Development Group. Preferred reporting items for a systematic review and meta-analysis of individual participant data: The PRISMA-IPD statement. JAMA 2015, 313, 1657–1665. [Google Scholar] [CrossRef]
- Higgins, J.P.; Savović, J.; Page, M.J.; Elbers, R.G.; Sterne, J.A. Assessing risk of bias in a randomized trial. In Cochrane Handbook for Systematic Reviews of Interventions, 2nd ed.; Higgins, J.P.T., Thomas, J., Chandler, J., Cumpston, M., Li, T., Page, M.J., Welch, V.A., Eds.; The Cochrane Collaboration: London, UK, 2019. [Google Scholar] [CrossRef]
- Higgins, J.P.T.; Green, S. (Eds.) Cochrane Handbook for Systematic Reviews of Interventions: Cochrane Book Series; The Cochrane Collaboration: London, UK, 2008. [Google Scholar] [CrossRef]
- da Costa, B.R.; Beckett, B.; Diaz, A.; Resta, N.M.; Johnston, B.C.; Egger, M.; Jüni, P.; Armijo-Olivo, S. Effect of standardized training on the reliability of the Cochrane risk of bias assessment tool: A prospective study. Syst. Rev. 2017, 6, 44. [Google Scholar] [CrossRef]
- Thorborg, K.; Krommes, K.K.; Esteve, E.; Clausen, M.B.; Bartels, E.M.; Rathleff, M.S. Effect of specific exercise-based football injury prevention programmes on the overall injury rate in football: A systematic review and meta-analysis of the FIFA 11 and 11+ programmes. Br. J. Sports Med. 2017, 51, 562–571. [Google Scholar] [CrossRef]
- Biz, C.; Nicoletti, P.; Baldin, G.; Bragazzi, N.L.; Crimì, A.; Ruggieri, P. Hamstring strain injury (HSI) prevention in professional and semi-professional football teams: A systematic review and meta-analysis. Int. J. Environ. Res. Public Health 2021, 18, 8272. [Google Scholar] [CrossRef]
- Arnason, A.; Sigurdsson, S.B.; Gudmundsson, A.; Holme, I.; Engebretsen, L.; Bahr, R. Risk factors for injuries in football. Am. J. Sports Med. 2004, 32, 5S–16S. [Google Scholar] [CrossRef]
- López-Valenciano, A.; Ruiz-Pérez, I.; Garcia-Gómez, A.; Vera-Garcia, F.J.; De Ste Croix, M.; Myer, G.D.; Ayala, F. Epidemiology of injuries in professional football: A systematic review and meta-analysis. Br. J. Sports Med. 2020, 54, 711–718. [Google Scholar] [CrossRef] [PubMed]
- Ekstrand, J.; Hägglund, M.; Waldén, M. Epidemiology of muscle injuries in professional football (soccer). Am. J. Sports Med. 2011, 39, 1226–1232. [Google Scholar] [CrossRef] [PubMed]
- Bisciotti, G.N.; Chamari, K.; Cena, E.; Bisciotti, A.; Bisciotti, A.; Corsini, A.; Volpi, P. Anterior cruciate ligament injury risk factors in football. J. Sports Med. Phys. Fitness 2019, 59, 1724–1738. [Google Scholar] [CrossRef]
- Crossley, K.M.; Patterson, B.E.; Culvenor, A.G.; Bruder, A.M.; Mosler, A.B.; Mentiplay, B.F. Making football safer for women: A systematic review and meta-analysis of injury prevention programmes in 11773 female football (soccer) players. Br. J. Sports Med. 2020, 54, 1089–1098. [Google Scholar] [CrossRef] [PubMed]
- Egger, M.; Davey Smith, G.; Schneider, M.; Minder, C. Bias in meta-analysis detected by a simple, graphical test. BMJ 1997, 315, 629–634. [Google Scholar] [CrossRef]
- Peters, J.L.; Sutton, A.J.; Jones, D.R.; Abrams, K.R.; Rushton, L. Contour-enhanced meta-analysis funnel plots help distinguish publication bias from other causes of asymmetry. J. Clin. Epidemiol. 2008, 61, 991–996. [Google Scholar] [CrossRef]
- Emery, C.A.; Meeuwisse, W.H. The effectiveness of a neuromuscular prevention strategy to reduce injuries in youth soccer: A cluster-randomised controlled trial. Br. J. Sports Med. 2010, 44, 555–562. [Google Scholar] [CrossRef]
- Finch, C.F.; Twomey, D.M.; Fortington, L.V.; Doyle, T.L.; Elliott, B.C.; Akram, M.; Lloyd, D.G. Preventing Australian football injuries with a targeted neuromuscular control exercise programme: Comparative injury rates from a training intervention delivered in a clustered randomised controlled trial. Inj. Prev. 2016, 22, 123–128. [Google Scholar] [CrossRef]
- Gilchrist, J.; Mandelbaum, B.R.; Melancon, H.; Ryan, G.W.; Silvers, H.J.; Griffin, L.Y.; Watanabe, D.S.; Dick, R.W.; Dvorak, J. A randomized controlled trial to prevent noncontact anterior cruciate ligament injury in female collegiate soccer players. Am. J. Sports Med. 2008, 36, 1476–1483. [Google Scholar] [CrossRef] [PubMed]
- Hammes, D.; aus der Fünten, K.; Kaiser, S.; Frisen, E.; Bizzini, M.; Meyer, T. Injury prevention in male veteran football players—A randomised controlled trial using “FIFA 11+”. J. Sports Sci. 2015, 33, 873–881. [Google Scholar] [CrossRef] [PubMed]
- Hasebe, Y.; Akasaka, K.; Otsudo, T.; Tachibana, Y.; Hall, T.; Yamamoto, M. Effects of nordic hamstring exercise on hamstring injuries in high school soccer players: A randomized controlled trial. Int. J. Sports Med. 2020, 41, 154–160. [Google Scholar] [CrossRef]
- Hilska, M.; Leppänen, M.; Vasankari, T.; Aaltonen, S.; Kannus, P.; Parkkari, J.; Steffen, K.; Kujala, U.M.; Konttinen, N.; Räisänen, A.M.; et al. Neuromuscular training warm-up prevents acute noncontact lower extremity injuries in children’s soccer: A cluster randomized controlled trial. Orthop. J. Sports Med. 2021, 9, 23259671211005769. [Google Scholar] [CrossRef]
- Owoeye, O.B.; Akinbo, S.R.; Tella, B.A.; Olawale, O.A. Efficacy of the FIFA 11+ warm-up programme in male youth football: A cluster randomised controlled trial. J. Sports Sci. Med. 2014, 13, 321–328. [Google Scholar] [PubMed]
- Steffen, K.; Myklebust, G.; Olsen, O.E.; Holme, I.; Bahr, R. Preventing injuries in female youth football—A cluster-randomized controlled trial. Scand. J. Med. Sci. Sports 2008, 18, 605–614. [Google Scholar] [CrossRef]
- van de Hoef, P.A.; Brink, M.S.; Huisstede, B.M.A.; van Smeden, M.; de Vries, N.; Goedhart, E.A.; Gouttebarge, V.; Backx, F.J.G. Does a bounding exercise program prevent hamstring injuries in adult male soccer players?—A cluster-RCT. Scand. J. Med. Sci. Sports 2019, 29, 515–523. [Google Scholar] [CrossRef]
- Waldén, M.; Atroshi, I.; Magnusson, H.; Wagner, P.; Hägglund, M. Prevention of acute knee injuries in adolescent female football players: Cluster randomised controlled trial. BMJ 2012, 344, e3042. [Google Scholar] [CrossRef]
- Riley, R.D.; Higgins, J.P.; Deeks, J.J. Interpretation of random effects meta-analyses. BMJ 2011, 342, d549. [Google Scholar] [CrossRef]
- Nouni-Garcia, R.; Carratala-Munuera, C.; Orozco-Beltran, D.; Lopez-Pineda, A.; Asensio-Garcia, M.R.; Gil-Guillen, V.F. Clinical benefit of the FIFA 11 programme for the prevention of hamstring and lateral ankle ligament injuries among amateur soccer players. Inj. Prev. 2018, 24, 149–154. [Google Scholar] [CrossRef]
- Lindblom, H.; Carlfjord, S.; Hägglund, M. Adoption and use of an injury prevention exercise program in female football: A qualitative study among coaches. Scand. J. Med. Sci. Sports 2018, 28, 1295–1303. [Google Scholar] [CrossRef] [PubMed]
- Huck, C.J. Effects of supervised resistance training on fitness and functional strength in patients succeeding bariatric surgery. J. Strength Cond. Res. 2015, 29, 589–595. [Google Scholar] [CrossRef]
- Darragi, M.; Zouhal, H.; Bousselmi, M.; Karamti, H.M.; Clark, C.C.T.; Laher, I.; Hackney, A.C.; Granacher, U.; Zouita, A.B.M. Effects of in-season strength training on physical fitness and injury prevention in North African elite young female soccer players. Sports Med. Open 2024, 10, 94. [Google Scholar] [CrossRef] [PubMed]
- Sadeghi, M.; Alizadeh, M.H.; Minoonejad, H. Acute effects of Nordic hamstring exercise on hip and knee joints proprioception. J. Bodyw. Mov. Ther. 2024, 39, 382–389. [Google Scholar] [CrossRef]
- Rosenbaum, D.; Kamps, N.; Bosch, K.; Thorwesten, L.; Völker, K.; Eils, E. The influence of external ankle braces on subjective and objective parameters of performance in a sports-related agility course. Knee Surg. Sports Traumatol. Arthrosc. 2005, 13, 419–425. [Google Scholar] [CrossRef] [PubMed]
- van Melick, N.; van der Weegen, W.; van der Horst, N. Quadriceps and hamstrings strength reference values for athletes with and without anterior cruciate ligament reconstruction who play popular pivoting sports, including soccer, basketball, and handball: A scoping review. J. Orthop. Sports Phys. Ther. 2022, 52, 142–155. [Google Scholar] [CrossRef] [PubMed]
- van Dyk, N.; Bahr, R.; Whiteley, R.; Tol, J.L.; Kumar, B.D.; Hamilton, B.; Farooq, A.; Witvrouw, E. Hamstring and quadriceps isokinetic strength deficits are weak risk factors for hamstring strain injuries: A 4-year cohort study. Am. J. Sports Med. 2016, 44, 1789–1795. [Google Scholar] [CrossRef]
- Hoffman, D.T.; Dwyer, D.B.; Bowe, S.J.; Clifton, P.; Gastin, P.B. Is injury associated with team performance in elite Australian football? 20 years of player injury and team performance data that include measures of individual player value. Br. J. Sports Med. 2020, 54, 475–479. [Google Scholar] [CrossRef]
- Montori, V.M.; Swiontkowski, M.F.; Cook, D.J. Methodologic issues in systematic reviews and meta-analyses. Clin. Orthop. Relat. Res. 2003, 413, 43–54. [Google Scholar] [CrossRef]
- Higgins, J.P.; Ramsay, C.; Reeves, B.C.; Deeks, J.J.; Shea, B.; Valentine, J.C.; Tugwell, P.; Wells, G. Issues relating to study design and risk of bias when including non-randomized studies in systematic reviews on the effects of interventions. Res. Synth. Methods 2013, 4, 12–25. [Google Scholar] [CrossRef]
- Thornton, A.; Lee, P. Publication bias in meta-analysis: Its causes and consequences. J. Clin. Epidemiol. 2000, 53, 207–216. [Google Scholar] [CrossRef] [PubMed]
- Song, F.; Parekh, S.; Hooper, L.; Loke, Y.K.; Ryder, J.; Sutton, A.J.; Hing, C.; Kwok, C.S.; Pang, C.; Harvey, I. Dissemination and publication of research findings: An updated review of related biases. Health Technol. Assess. 2010, 14, 1–193. [Google Scholar] [CrossRef] [PubMed]


| Study | Publication Years | Age (Years) | Males (%) | Females (%) | Intervention (n) | Control (n) | Outcomes |
|---|---|---|---|---|---|---|---|
| Soligard et al. [17] | 2008 | 15.4 ± 0.7 | 0 | 100 | General FIFA 11+ 2 times/week (1055) | Routine training (837) | Lower extremity injuries |
| Gilchrist et al. [43] | 2008 | 19.9 | 0 | 100 | General prevent injury and enhance performance (PEP) program 3 times/week (583) | Routine training (852) | Knee injuries |
| Steffen et al. [48] | 2008 | 15.4 ± 0.8 | 0 | 100 | General FIFA 11 (1073) | Routine training (947) | Lower extremity injuries, knee injuries, ankle injuries |
| Emery and Meeuwisse [41] | 2010 | 17.2 ± 1.1 | 0 | 100 | Neuro-muscular training program (380) | Routine training (364) | Lower extremity injuries, knee injuries, ankle injuries |
| Waldén et al. [50] | 2012 | 14 ± 0.2 | 0 | 100 | General neuro-muscular training (2479) | Routine training (2085) | Knee injuries |
| Owoeye et al. [47] | 2014 | 17.6 ± 1 | 100 | 0 | General FIFA 11+ 2 times/week (212) | Routine training (204) | Lower extremity injuries, knee injuries, ankle injuries |
| Hammes et al. [44] | 2015 | 44.4 ± 7.7 | 100 | 0 | FIFA 11+ (158) | Routine training (125) | Knee injuries |
| Finch et al. [42] | 2016 | 33.4 ± 4.5 | 100 | 0 | Neuro-muscular training program (380) | Routine training (364) | Lower extremity injuries, knee injuries |
| van der Horst et al. [24] | 2021 | 24.5 ± 3.8 | 100 | 0 | Nordic hamstring exercise (292) | Routine training (287) | Hamstring injuries |
| Silvers-Granelli et al. [19] | 2017 | 21.5 ± 1.5 | 100 | 0 | General FIFA 11+ 2–3 times/week (675) | Routine training (850) | Knee injuries |
| Rössler et al. [25] | 2018 | 10.7 ± 1.4 | NA | NA | FIFA 11+ (2066) | Routine training (1829) | Knee injuries, ankle injuries |
| van de Hoef et al. [49] | 2019 | 23.4 ± 4.5 | 100 | 0 | Bounding exercise program (171) | Routine training (229) | Hamstring injuries |
| Zarei et al. [26] | 2020 | 12.2 ± 1.8 | 100 | 0 | FIFA 11+ (443) | Routine training (519) | Lower extremity injuries, knee injuries, ankle injuries |
| Hasebe et al. [45] | 2020 | 16.5 ± 0.6 | 100 | 0 | The Nordic hamstring exercise (153) | Routine training (103) | Lower extremity injuries |
| Hilska et al. [46] | 2021 | 12.3 ± 1.2 | 81 | 19 | Neuro-muscular training program (673) | Routine training (730) | Lower extremity injuries, knee injuries, ankle injuries |
Disclaimer/Publisher’s Note: The statements, opinions and data contained in all publications are solely those of the individual author(s) and contributor(s) and not of MDPI and/or the editor(s). MDPI and/or the editor(s) disclaim responsibility for any injury to people or property resulting from any ideas, methods, instructions or products referred to in the content. |
© 2025 by the authors. Licensee MDPI, Basel, Switzerland. This article is an open access article distributed under the terms and conditions of the Creative Commons Attribution (CC BY) license (https://creativecommons.org/licenses/by/4.0/).
Share and Cite
Wang, Y.; Zhou, Z.; Gao, Z.; Gu, Y. Comparative Effectiveness of Multi-Component, Exercise-Based Interventions for Preventing Soccer-Related Musculoskeletal Injuries: A Systematic Review and Meta-Analysis. Healthcare 2025, 13, 765. https://doi.org/10.3390/healthcare13070765
Wang Y, Zhou Z, Gao Z, Gu Y. Comparative Effectiveness of Multi-Component, Exercise-Based Interventions for Preventing Soccer-Related Musculoskeletal Injuries: A Systematic Review and Meta-Analysis. Healthcare. 2025; 13(7):765. https://doi.org/10.3390/healthcare13070765
Chicago/Turabian StyleWang, Yucheng, Zhanyi Zhou, Zixiang Gao, and Yaodong Gu. 2025. "Comparative Effectiveness of Multi-Component, Exercise-Based Interventions for Preventing Soccer-Related Musculoskeletal Injuries: A Systematic Review and Meta-Analysis" Healthcare 13, no. 7: 765. https://doi.org/10.3390/healthcare13070765
APA StyleWang, Y., Zhou, Z., Gao, Z., & Gu, Y. (2025). Comparative Effectiveness of Multi-Component, Exercise-Based Interventions for Preventing Soccer-Related Musculoskeletal Injuries: A Systematic Review and Meta-Analysis. Healthcare, 13(7), 765. https://doi.org/10.3390/healthcare13070765

