Effects of Integrating Pain Coping Strategies into Occupational Therapy After Total Knee Arthroplasty: A Parallel Mixed-Method Study
Abstract
1. Introduction
2. Methods
2.1. Parallel Mixed-Method Design
2.2. Patients
2.2.1. Sample Size Estimation
2.2.2. Patient Selection
2.3. Outcomes
2.3.1. Primary Outcomes
2.3.2. Secondary Outcomes
2.4. Intervention
2.4.1. OT Using Coping Strategies
2.4.2. Usual Rehabilitation
2.5. Confounding Variables: Participant Characteristics
2.6. Qualitative Data Collection
2.7. Qualitative Analysis
2.8. Statistical Analysis
3. Results
3.1. Participant Characteristics
3.2. Changes in Outcome Measure Indicators
3.3. Results of Early-Postoperative Coping Strategies
3.3.1. Overview of Coping Strategies
3.3.2. Categorization
3.4. Key Observations
3.5. Analysis and Data Review
4. Discussion
Limitations
5. Conclusions
Author Contributions
Funding
Institutional Review Board Statement
Informed Consent Statement
Data Availability Statement
Acknowledgments
Conflicts of Interest
Abbreviations
| TKA | Total knee arthroplasty |
| QOL | Quality of life |
| CBT | Cognitive behavioral therapy |
| OT | Occupational therapy |
| COPM | Canadian Occupational Performance Measure |
| NRS | Numeric Rating Scale |
| EQ-5D-5L | EuroQol 5-Dimension 5-Level |
| HADS | Hospital Anxiety and Depression Scale |
| PDAS | Pain Disability Assessment Scale |
| KJ | Jiro Kawakita |
| BMI | Body mass index |
| KL | Kellgren–Lawrence grade |
References
- Miettinen, H.J.A.; Mäkirinne-Kallio, N.; Kröger, H.; Miettinen, S.S.A. Health-related quality of life after hip and knee arthroplasty operations. J. Bone Jt. Surg. Am. 2021, 110, 427–433. [Google Scholar] [CrossRef] [PubMed]
- Roberts, V.I.; Esler, C.N.; Harper, W.M. A 15-year follow-up study of 4606 primary total knee replacements. J. Bone Jt. Surg. Br. Vol. 2007, 89, 1452–1456. [Google Scholar] [CrossRef] [PubMed]
- Beswick, A.D.; Wylde, V.; Gooberman-Hill, R.; Blom, A.; Dieppe, P. What proportion of patients report long-term pain after total hip or knee replacement for osteoarthritis? A systematic review of prospective studies in unselected patients. BMJ Open 2012, 2, e000435. [Google Scholar] [CrossRef] [PubMed]
- Wylde, V.; Beswick, A.; Bruce, J.; Blom, A.; Howells, N.; Gooberman-Hill, R. Chronic pain after total knee arthroplasty. EFORT Open Rev. 2018, 3, 461–470. [Google Scholar] [CrossRef]
- Vlaeyen, J.W.S.; Linton, S.J. Fear-avoidance and its consequences in chronic musculoskeletal pain: A state of the art. Pain 2000, 85, 317–332. [Google Scholar] [CrossRef]
- Hiraga, Y.; Hisano, S.; Hara, R.; Nomiyama, K.; Hirakawa, Y.; Hida, K. Combining goal setting and achievement with occupational therapy to improve pain, psychological factors and physical activity in patients after high tibial osteotomy: A non-randomized controlled study. Hong Kong J. Occup. Ther. 2021, 34, 23–29. [Google Scholar] [CrossRef]
- Repky, S.; Büchele, G.; Günther, K.P.; Huch, K.; Brenner, H.; Stürmer, T.; Beyersmann, J.; Brenner, R.E.; Rothenbacher, D. Five years’ trajectories of functionality and pain in patients after hip or knee replacement and association with long-term patient survival. Sci. Rep. 2020, 10, 14388. [Google Scholar] [CrossRef]
- Williams, A.C.; Fisher, E.; Hearn, L.; Eccleston, C. Psychological therapies for the management of chronic pain (excluding headache) in adults. Cochrane Database Syst. Rev. 2020, 8, CD007407. [Google Scholar] [CrossRef]
- Sun, J.N.; Chen, W.; Zhang, Y.; Zhang, Y.; Feng, S.; Chen, X.Y. Does cognitive behavioral education reduce pain and improve joint function in patients after total knee arthroplasty? A randomized controlled trial. Int. Orthop. 2020, 44, 2027–2035. [Google Scholar] [CrossRef]
- Hiraga, Y.; Hara, R.; Hirakawa, Y.; Kitajima, E.; Hida, K. Effects of occupational therapy practice on patient outcomes after high tibial osteotomy: A non-randomized study in Japan. Occup. Ther. Health Care 2023, 23, 41–56. [Google Scholar] [CrossRef]
- Hiraga, Y.; Hisano, S.; Mizunoe, A.; Nomiyama, K. The mediating effect of psychological factors on the relationship between pain intensity and wrist joint function: A longitudinal study with mediation analysis. Disabil. Rehabil. 2021, 43, 1814–1818. [Google Scholar] [CrossRef] [PubMed]
- Hiraga, Y.; Hara, R.; Hirakawa, Y.; Kitajima, E.; Hida, K. Psychological factors mediate the relationship between physical activity and goal attainment for occupational therapy practice: An observational study in Japan. Occup. Ther. Health Care 2023, 23, 1–19. [Google Scholar] [CrossRef] [PubMed]
- Hiraga, Y.; Hisano, S.; Nomiyama, K.; Hirakawa, Y. Effects of using activity diary for goal setting in occupational therapy on reducing pain and improving psychological and physical performance in patients after total knee arthroplasty: A non-randomised controlled study. Hong Kong J. Occup. Ther. 2019, 32, 53–61. [Google Scholar] [CrossRef] [PubMed]
- Hiraga, Y.; Babazono, A.; Hara, R.; Nomiyama, K.; Hirakawa, Y. Rehabilitation interventions incorporating self-management improve psychological factors: A non-randomized controlled trial of patients after total knee arthroplasty. Cogent Psychol. 2022, 9, 2033468. [Google Scholar] [CrossRef]
- Hara, R.; Hiraga, Y.; Hirakawa, Y. Occupational therapy using coping lists after total knee arthroplasty: A case series. Cureus 2022, 14, e27374. [Google Scholar] [CrossRef]
- Ho, L. A concept analysis of coping with chronic pain in older adults. Pain Manag. Nurs. 2019, 20, 563–571. [Google Scholar] [CrossRef]
- Faul, F.; Erdfelder, E.; Lang, A.G.; Buchner, A. G*Power 3: A flexible statistical power analysis program for the social, behavioral, and biomedical sciences. Behav. Res. Methods 2007, 39, 175–191. [Google Scholar] [CrossRef]
- Law, M.; Baptiste, S.; McColl, M.; Opzoomer, A.; Polatajko, H.; Pollock, N. The Canadian Occupational Performance Measure: An outcome measure for occupational therapy. Can. J. Occup. Ther. 1990, 57, 82–87. [Google Scholar] [CrossRef]
- McColl, M.A.; Paterson, M.; Davies, D.; Doubt, L.; Law, M. Validity and community utility of the Canadian Occupational Performance Measure. Can. J. Occup. Ther. 2000, 67, 22–30. [Google Scholar] [CrossRef]
- de Waal, M.W.M.; Haaksma, M.L.; Doornebosch, A.J.; Meijs, R.; Achterberg, W.P. Systematic review of measurement properties of the Canadian Occupational Performance Measure in geriatric rehabilitation. Eur. Geriatr. Med. 2022, 13, 1281–1298. [Google Scholar] [CrossRef]
- Ohno, K.; Tomori, K.; Sawada, T.; Kobayashi, R. Examining minimal important change of the Canadian Occupational Performance Measure for subacute rehabilitation hospital inpatients. J. Patient-Rep. Outcomes 2021, 5, 133. [Google Scholar] [CrossRef] [PubMed]
- Jensen, M.P.; Turner, J.A.; Romano, J.M. What is the maximum number of levels needed in pain intensity measurement? Pain 1994, 58, 387–392. [Google Scholar] [CrossRef] [PubMed]
- Herr, K.A.; Spratt, K.; Mobily, P.R.; Richardson, G. Pain intensity assessment in older adults: Use of experimental pain to compare psychometric properties and usability of selected pain scales with younger adults. Clin. J. Pain 2004, 20, 207–219. [Google Scholar] [CrossRef]
- Zigmond, A.S.; Snaith, R.P. The Hospital Anxiety and Depression Scale. Acta Psychiatr. Scand. 1983, 67, 361–370. [Google Scholar] [CrossRef]
- Hatta, H.; Higashi, A.; Yashiro, H.; Ozasa, K.; Hayashi, K.; Kiyota, K.; Inokuchi, H.; Ikeda, J.; Fujita, K.; Watanabe, Y.; et al. A validation of the Hospital Anxiety and Depression Scale. Jpn. J. Psychosom. Med. 1998, 38, 309–315. [Google Scholar]
- Yamashiro, K.; Arimura, T.; Iwaki, R.; Jensen, M.P.; Kubo, C.; Hosoi, M. A multidimensional measure of pain interference: Reliability and validity of the Pain Disability Assessment Scale. Clin. J. Pain 2011, 27, 338–343. [Google Scholar] [CrossRef]
- Bergner, M.; Bobbitt, R.A.; Carter, W.B.; Gilson, B.S. The sickness impact profile: Development and final revision of a health status measure. Med. Care 1981, 19, 787–805. [Google Scholar] [CrossRef]
- Fries, J.F.; Spitz, P.W.; Young, D.Y. The dimensions of health outcomes: The Health Assessment Questionnaire, disability and pain scales. J. Rheumatol. 1982, 9, 789–793. [Google Scholar]
- Conner-Spady, B.L.; Marshall, D.A.; Bohm, E.; Dunbar, M.J.; Noseworthy, T.W. Comparing the validity and responsiveness of the EQ-5D-5L to the Oxford hip and knee scores and SF-12 in osteoarthritis patients 1 year following total joint replacement. Qual. Life Res. 2018, 27, 1311–1322. [Google Scholar] [CrossRef]
- Golicki, D.; Młyńczak, K. Measurement properties of the EQ-5D-Y: A systematic review. Value Health 2022, 25, 1910–1921. [Google Scholar] [CrossRef]
- Scupin, R. The KJ method: A technique for analyzing data derived from Japanese ethnology. Hum. Organ. 1997, 56, 233–237. [Google Scholar] [CrossRef]
- Livingston, E.H.; Elliot, A.; Hynan, L.; Cao, J. Effect size estimation: A necessary component of statistical analysis. Arch. Surg. 2009, 144, 706–712. [Google Scholar] [CrossRef] [PubMed]
- Heapy, A.; Otis, J.; Marcus, K.; Frantsve, L.; Janke, A.E.; Shulman, M.; Bellmore, W.; Kerns, R. Intersession coping skill practice mediates the relationship between readiness for self-management treatment and goal accomplishment. Pain 2005, 118, 360–368. [Google Scholar] [CrossRef] [PubMed]
- Riddle, D.L.; Keefe, F.J.; Ang, D.C.; Slover, J.; Jensen, M.P.; Bair, M.J.; Kroenke, K.; Perera, R.A.; Reed, S.D.; McKee, D.; et al. Pain coping skills training for patients who catastrophize about pain prior to knee arthroplasty: A multisite randomized clinical trial. J. Bone Jt. Surg. Am. 2019, 101, 218–227. [Google Scholar] [CrossRef]
- Wilson, M.; Roll, J.; Corbett, C.; Barbosa-Leiker, C. Empowering patients with persistent pain using an Internet-based self-management program. Pain Manag. Nurs. 2015, 16, 503–514. [Google Scholar] [CrossRef]
- Kemp, C.; Ersek, M.; Turner, J. A descriptive study of older adults with persistent pain: Use and perceived effectiveness of pain management strategies. BMC Geriatr. 2005, 5, 12. [Google Scholar] [CrossRef][Green Version]
- Barry, L.C.; Kerns, R.D.; Guo, Z.; Duong, B.D.; Iannone, L.P.; Reid, M.C. Identification of strategies used to cope with chronic pain in older persons receiving primary care from a Veterans Affairs Medical Center. J. Am. Geriatr. Soc. 2004, 52, 950–956. [Google Scholar] [CrossRef]
- Reid, M.C.; Barry, L.C.; Kerns, R.D.; Duong, B.D.; Concato, J. Coping strategies and their associations with levels of disability or pain, among older veterans receiving primary care. J. Clin. Epidemiol. 2002, 55, 629. [Google Scholar] [CrossRef]
- Aust, H.; Rüsch, D.; Schuster, M.; Sturm, T.; Brehm, F.; Nestoriuc, Y. Coping strategies in anxious surgical patients. BMC Health Serv. Res. 2016, 16, 250. [Google Scholar] [CrossRef]
- Hosogoshi, H.; Iwasa, K.; Fukumori, T.; Takagishi, Y.; Takebayashi, Y.; Adachi, T.; Oe, Y.; Tairako, Y.; Takao, Y.; Nishie, H.; et al. Pilot study of a basic individualized cognitive behavioral therapy program for chronic pain in Japan. BioPsychoSocial Med. 2020, 14, 6. [Google Scholar] [CrossRef]
- Riddle, D.L.; Keefe, F.J.; Nay, W.T.; McKee, D.; Attarian, D.E.; Jensen, M.P. Pain coping skills training for patients with elevated pain catastrophizing who are scheduled for knee arthroplasty: A quasi-experimental study. Arch. Phys. Med. Rehabil. 2011, 92, 859–865. [Google Scholar] [CrossRef] [PubMed]
- Cai, L.; Gao, H.; Xu, H.; Wang, Y.; Lyu, P.; Liu, Y. Does a program based on cognitive behavioral therapy affect kinesiophobia in patients following total knee arthroplasty? A randomized, controlled trial with a 6-month follow-up. J. Arthroplast. 2018, 33, 704–710. [Google Scholar] [CrossRef] [PubMed]
- Somers, T.J.; Blumenthal, J.A.; Guilak, F.; Kraus, V.B.; Schmitt, D.O.; Babyak, M.A.; Craighead, L.W.; Caldwell, D.S.; Rice, J.R.; McKee, D.C.; et al. Pain coping skills training and lifestyle behavioral weight management in patients with knee osteoarthritis: A randomized controlled study. Pain 2012, 153, 1199–1209. [Google Scholar] [CrossRef] [PubMed]




| Total (N = 28) | Intervention Group (n = 14) | Control Group (n = 14) | p-Value | |
|---|---|---|---|---|
| Demographic information | ||||
| Sex [female, (%)] | 28 (100) | 14 (100) | 14 (100) | 1.00 |
| Age (years) | 76.8 (6.0) | 75.7 (5.7) | 77.9 (6.0) | 0.34 |
| BMI (kg/m2) | 27.4 (5.1) | 27.5 (4.7) | 27.3 (5.4) | 0.93 |
| Worker (%) | 7 (25.0) | 5 (35.7) | 2 (14.3) | 0.20 |
| Smoker (%) | 1 (3.6) | 0 (0.0) | 1 (7.1) | 0.33 |
| Drinker (%) | 2 (7.1) | 1 (7.1) | 1 (7.1) | 1.00 |
| KL grade [n (%)] | 1.00 | |||
| III | 6 (21.4) | 3 (10.7) | 3 (10.7) | |
| IV | 22 (78.6) | 11 (39.3) | 11 (39.3) | |
| Long-term care insurance | 0.57 | |||
| No care (%) | 23 (82.1) | 11 (78.6) | 12 (85.7) | |
| Required support I (%) | 2 (7.1) | 1 (3.6) | 1 (3.6) | |
| Required support II (%) | 3 (10.7) | 2 (14.3) | 1 (7.1) | |
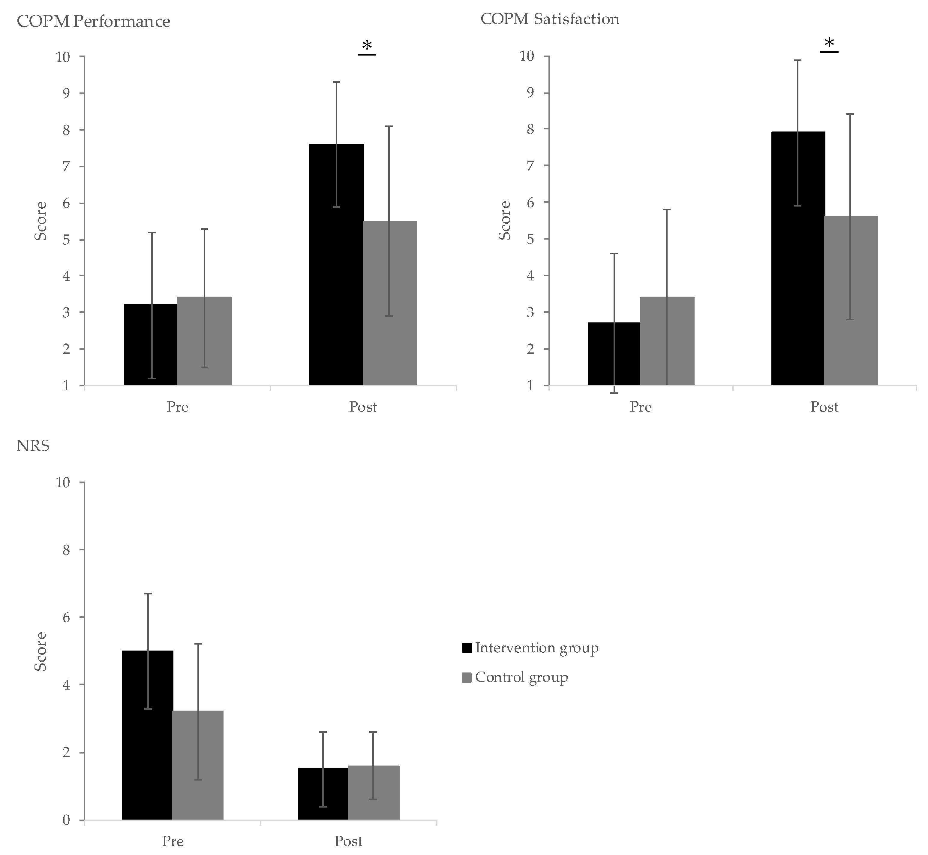
| Intervention Group (n = 14) | Control Group (n = 14) | Time-by-Group Interaction | Effect Size | ||||
|---|---|---|---|---|---|---|---|
| Baseline | Follow-Up | Baseline | Follow-Up | F-Value | p-Value | Cohen’s d | |
| COPM performance | 3.2 ± 2.0 | 7.6 ± 1.7 * | 3.4 ± 1.9 | 5.5 ± 2.6 | 4.021 | 0.048 | 0.93 |
| COPM satisfaction | 2.7 ± 1.9 | 7.9 ± 2.0 * | 3.4 ± 2.4 | 5.6 ± 2.8 | 3.583 | 0.049 | 0.73 |
| NRS | 5.0 ± 1.7 | 1.5 ± 1.1 | 3.2 ± 2.0 | 1.6 ± 1.0 | 5.778 | 0.019 | 0.13 |
| HADS anxiety | 6.4 ± 3.1 | 1.8 ± 1.6 | 4.6 ± 3.7 | 2.4 ± 3.1 | 2.427 | 0.125 | 0.26 |
| HADS depression | 6.5 ± 3.0 | 2.9 ± 1.7 | 6.4 ± 3.5 | 3.2 ± 3.2 | 0.099 | 0.754 | 0.17 |
| EQ-5D | 0.589 ± 0.225 | 0.844 ± 0.113 | 0.630 ± 0.122 | 0.784 ± 0.140 | 1.349 | 0.250 | 0.45 |
| PDAS | 27.1 ± 14.5 | 11.0 ± 9.7 | 27.5 ± 8.6 | 16.5 ± 9.3 | 0.764 | 0.386 | 0.57 |
| Physical coping | 14 (100%) |
| Psychological and cognitive coping | 14 (100%) |
| Social support | 14 (100%) |
| Refreshment and relaxation | 14 (100%) |
| Activities of daily living | 3 (21.4%) |
| Medication management | 9 (64.3%) |
Disclaimer/Publisher’s Note: The statements, opinions and data contained in all publications are solely those of the individual author(s) and contributor(s) and not of MDPI and/or the editor(s). MDPI and/or the editor(s) disclaim responsibility for any injury to people or property resulting from any ideas, methods, instructions or products referred to in the content. |
© 2025 by the authors. Licensee MDPI, Basel, Switzerland. This article is an open access article distributed under the terms and conditions of the Creative Commons Attribution (CC BY) license (https://creativecommons.org/licenses/by/4.0/).
Share and Cite
Hara, R.; Hiraga, Y.; Hirakawa, Y.; Babazono, A. Effects of Integrating Pain Coping Strategies into Occupational Therapy After Total Knee Arthroplasty: A Parallel Mixed-Method Study. Healthcare 2025, 13, 627. https://doi.org/10.3390/healthcare13060627
Hara R, Hiraga Y, Hirakawa Y, Babazono A. Effects of Integrating Pain Coping Strategies into Occupational Therapy After Total Knee Arthroplasty: A Parallel Mixed-Method Study. Healthcare. 2025; 13(6):627. https://doi.org/10.3390/healthcare13060627
Chicago/Turabian StyleHara, Ryusei, Yuki Hiraga, Yoshiyuki Hirakawa, and Akira Babazono. 2025. "Effects of Integrating Pain Coping Strategies into Occupational Therapy After Total Knee Arthroplasty: A Parallel Mixed-Method Study" Healthcare 13, no. 6: 627. https://doi.org/10.3390/healthcare13060627
APA StyleHara, R., Hiraga, Y., Hirakawa, Y., & Babazono, A. (2025). Effects of Integrating Pain Coping Strategies into Occupational Therapy After Total Knee Arthroplasty: A Parallel Mixed-Method Study. Healthcare, 13(6), 627. https://doi.org/10.3390/healthcare13060627

