A Systematic Review and Meta-Analysis of Physical Activity Interventions in Colorectal Cancer Survivors: An Evidence Evaluation Attempt Across Racial/Ethnic Groups
Abstract
1. Background
2. Methods
2.1. Study Eligibility Criteria
2.2. Study Search and Selection
2.3. Data Abstraction
2.4. Risk of Bias Assessment, Strength of Evidence, Extent of Theory Use, and BCTs
2.5. Statistical Analysis
2.5.1. Effect Size Calculation and Pooling
2.5.2. Stability and Validity of Outcomes
2.5.3. Meta-Regression
2.5.4. Deviation from the Protocol
3. Results
3.1. Study Characteristics
3.2. Participant Characteristics
3.3. Intervention Characteristics
3.4. Risk of Bias, GRADE, and TIDiER Assessment
3.5. Outcome Assessment
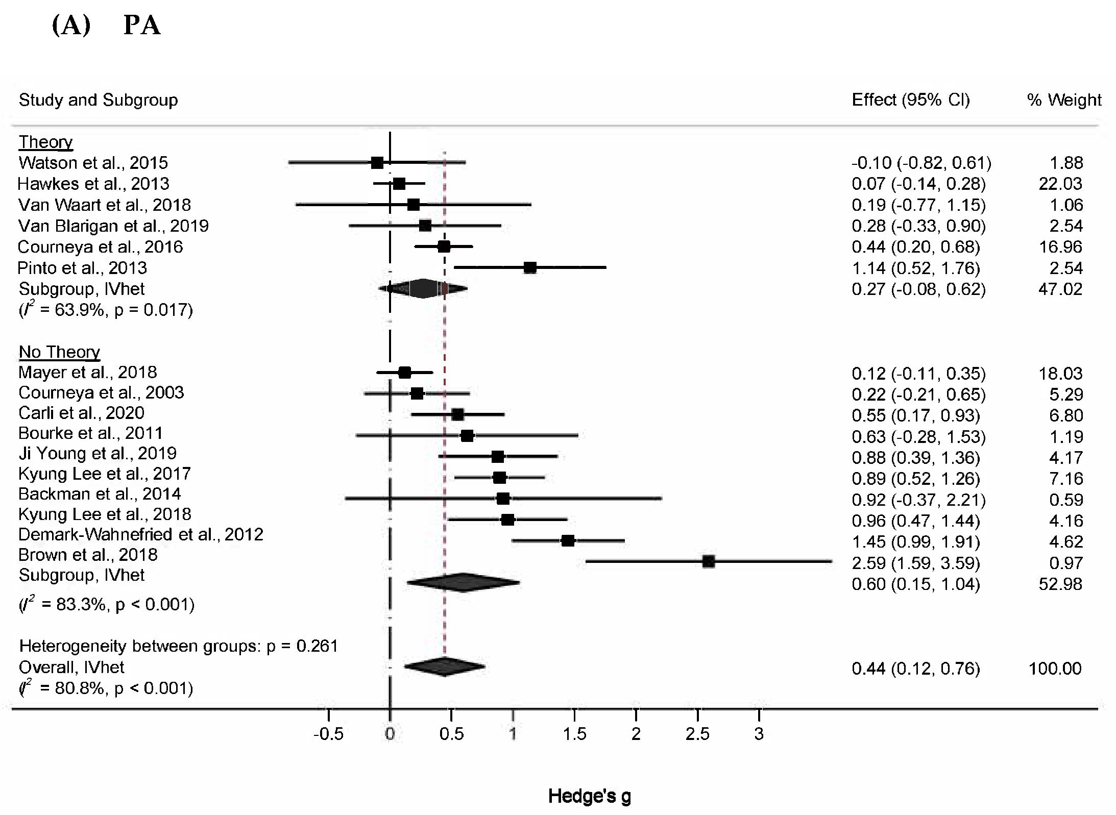
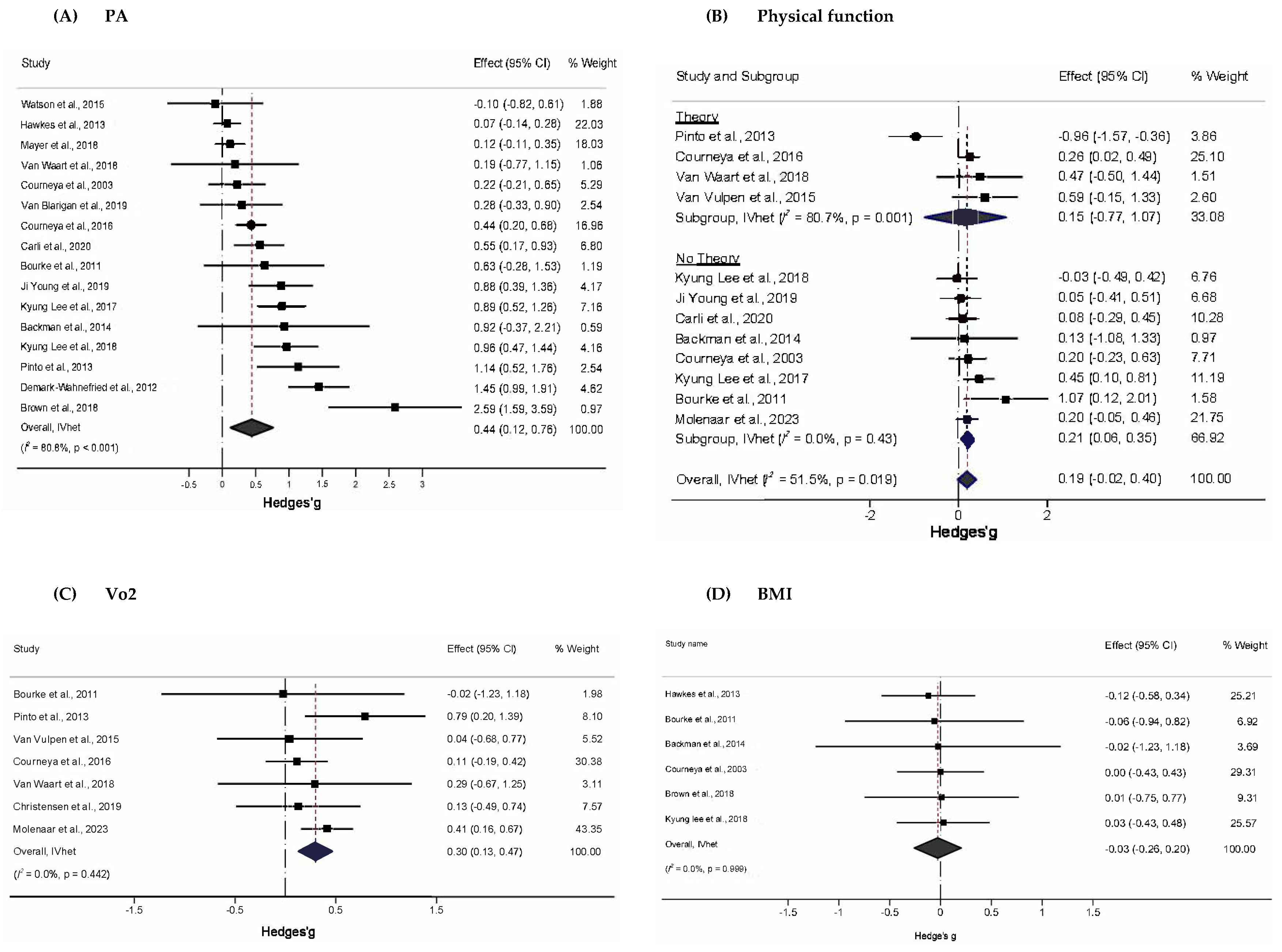
3.5.1. Changes in PA (Primary Outcome)
3.5.2. Physical Function (Secondary Outcome)
3.5.3. VO2 (Secondary Outcome)
3.5.4. BMI (Secondary Outcome)
3.5.5. Subgroup Analyses
3.5.6. Meta-Regression
4. Discussion
4.1. Evaluation of Results Compared to Previous Systematic Reviews and Meta-Analyses
4.2. Implications for Research
4.3. Clinical Implications
4.4. Study Limitations
5. Conclusions
Supplementary Materials
Author Contributions
Funding
Institutional Review Board Statement
Informed Consent Statement
Data Availability Statement
Acknowledgments
Conflicts of Interest
References
- Cao, W.; Qin, K.; Li, F.; Chen, W. Comparative Study of Cancer Profiles between 2020 and 2022 Using Global Cancer Statistics (GLOBOCAN). J. Natl. Cancer Cent. 2024, 4, 128–134. [Google Scholar] [CrossRef]
- Sawicki, T.; Ruszkowska, M.; Danielewicz, A.; Niedźwiedzka, E.; Arłukowicz, T.; Przybyłowicz, K.E. A Review of Colorectal Cancer in Terms of Epidemiology, Risk Factors, Development, Symptoms and Diagnosis. Cancers 2021, 13, 2025. [Google Scholar] [CrossRef]
- Carethers, J.M. Chapter Six—Racial and Ethnic Disparities in Colorectal Cancer Incidence and Mortality. In Novel Approaches to Colorectal Cancer; Berger, F.G., Boland, C.R., Eds.; Academic Press: Cambridge, MA, USA, 2021; Volume 151, pp. 197–229. [Google Scholar] [CrossRef]
- Cormie, P.; Zopf, E.M.; Zhang, X.; Schmitz, K.H. The Impact of Exercise on Cancer Mortality, Recurrence, and Treatment-Related Adverse Effects. Epidemiol. Rev. 2017, 39, 71–92. [Google Scholar] [CrossRef]
- Qiu, S.; Jiang, C.; Zhou, L. Physical Activity and Mortality in Patients with Colorectal Cancer: A Meta-Analysis of Prospective Cohort Studies. Eur. J. Cancer Prev. 2020, 29, 15–26. [Google Scholar] [CrossRef]
- Hong, J.; Park, J. Systematic Review: Recommendations of Levels of Physical Activity among Colorectal Cancer Patients (2010–2019). Int. J. Environ. Res. Public Health 2021, 18, 2896. [Google Scholar] [CrossRef]
- Morishita, S.; Hamaue, Y.; Fukushima, T.; Tanaka, T.; Fu, J.B.; Nakano, J. Effect of Exercise on Mortality and Recurrence in Patients with Cancer: A Systematic Review and Meta-Analysis. Integr. Cancer Ther. 2020, 19, 153473542091746. [Google Scholar] [CrossRef]
- McGettigan, M.; Cardwell, C.R.; Cantwell, M.M.; Tully, M.A. Physical Activity Interventions for Disease-Related Physical and Mental Health during and Following Treatment in People with Non-Advanced Colorectal Cancer. Cochrane Database Syst. Rev. 2020, 2020, CD012864. [Google Scholar] [CrossRef]
- Gao, R.; Yu, T.; Liu, L.; Bi, J.; Zhao, H.; Tao, Y.; Li, F.; Guo, L. Exercise Intervention for Post-Treatment Colorectal Cancer Survivors: A Systematic Review and Meta-Analysis. J. Cancer Surviv. 2020, 14, 878–893. [Google Scholar] [CrossRef]
- Rock, C.L.; Thomson, C.; Gansler, T.; Gapstur, S.M.; McCullough, M.L.; Patel, A.V.; Andrews, K.S.; Bandera, E.V.; Spees, C.K.; Robien, K.; et al. American Cancer Society Guideline for Diet and Physical Activity for Cancer Prevention. CA Cancer J. Clin. 2020, 70, 245–271. [Google Scholar] [CrossRef]
- Ligibel, J.A.; Denlinger, C.S. New NCCN Guidelines® for Survivorship Care. J. Natl. Compr. Cancer Netw. 2013, 11, 640–644. [Google Scholar] [CrossRef]
- Meyerhardt, J.A.; Mangu, P.B.; Flynn, P.J.; Korde, L.; Loprinzi, C.L.; Minsky, B.D.; Petrelli, N.J.; Ryan, K.; Schrag, D.H.; Wong, S.L.; et al. Follow-up Care, Surveillance Protocol, and Secondary Prevention Measures for Survivors of Colorectal Cancer: American Society of Clinical Oncology Clinical Practice Guideline Endorsement. J. Clin. Oncol. 2013, 31, 4465–4470. [Google Scholar] [CrossRef]
- Troeschel, A.N.; Leach, C.R.; Shuval, K.; Stein, K.D.; Patel, A.V. Physical Activity in Cancer Survivors during “Re-Entry” Following Cancer Treatment. Prev. Chronic Dis. 2018, 15, E65. [Google Scholar] [CrossRef]
- Bøhn, S.K.H.; Lie, H.C.; Reinertsen, K.V.; Fosså, S.D.; Haugnes, H.S.; Kiserud, C.E.; Loge, J.H.; Wisløff, T.; Thorsen, L. Lifestyle among Long-Term Survivors of Cancers in Young Adulthood. Support. Care Cancer 2021, 29, 289–300. [Google Scholar] [CrossRef]
- Blanchard, C.M.; Courneya, K.S.; Stein, K.; American Cancer Society’s SCS-II. Cancer Survivors’ Adherence to Lifestyle Behavior Recommendations and Associations with Health-Related Quality of Life: Results from the American Cancer Society’s SCS-II. J. Clin. Oncol. 2008, 26, 2198–2204. [Google Scholar] [CrossRef]
- Ray, A.D.; Masucci Twarozek, A.; Williams, B.T.; Erwin, D.O.; Underwood, W.; Mahoney, M.C. Exercise in African American and White Colorectal Cancer Survivors: A Mixed-Methods Approach. Rehabil. Oncol. 2018, 36, 188–197. [Google Scholar] [CrossRef]
- Stacey, F.G.; James, E.L.; Chapman, K.; Courneya, K.S.; Lubans, D.R. A Systematic Review and Meta-Analysis of Social Cognitive Theory-Based Physical Activity and/or Nutrition Behavior Change Interventions for Cancer Survivors. J. Cancer Surviv. 2015, 9, 305–338. [Google Scholar] [CrossRef]
- Goode, A.D.; Lawler, S.P.; Brakenridge, C.L.; Reeves, M.M.; Eakin, E.G. Telephone, Print, and Web-Based Interventions for Physical Activity, Diet, and Weight Control among Cancer Survivors: A Systematic Review. J. Cancer Surviv. 2015, 9, 660–682. [Google Scholar] [CrossRef]
- Finne, E.; Glausch, M.; Exner, A.K.; Sauzet, O.; Stölzel, F.; Seidel, N. Behavior Change Techniques for Increasing Physical Activity in Cancer Survivors: A Systematic Review and Meta-Analysis of Randomized Controlled Trials. Cancer Manag. Res. 2018, 10, 5125–5143. [Google Scholar] [CrossRef]
- Coughlin, S.S.; Caplan, L.S.; Stone, R. Use of Consumer Wearable Devices to Promote Physical Activity among Breast, Prostate, and Colorectal Cancer Survivors: A Review of Health Intervention Studies. J. Cancer Surviv. 2020, 14, 386–392. [Google Scholar] [CrossRef]
- Mbous, Y.P.; Patel, J.; Kelly, K.M. A Systematic Review and Meta-Analysis of Physical Activity Interventions among Colorectal Cancer Survivors. Transl. Behav. Med. 2020, 10, 1134–1143. [Google Scholar] [CrossRef]
- Jung, Y.; Chung, J.; Son, H. Physical Activity Interventions for Colorectal Cancer Survivors. Cancer Nurs. 2021, 44, E414–E428. [Google Scholar] [CrossRef]
- Spineli, L.M.; Pandis, N. Prediction Interval in Random-Effects Meta-Analysis. Am. J. Orthod. Dentofac. Orthop. 2020, 157, 586–588. [Google Scholar] [CrossRef]
- Painter, J.E.; Borba, C.P.C.; Hynes, M.; Mays, D.; Glanz, K. The Use of Theory in Health Behavior Research from 2000 to 2005: A Systematic Review. Ann. Behav. Med. 2008, 35, 358–362. [Google Scholar] [CrossRef]
- Prestwich, A.; Sniehotta, F.F.; Whittington, C.; Dombrowski, S.U.; Rogers, L.; Michie, S. Does Theory Influence the Effectiveness of Health Behavior Interventions? Meta-Analysis. Health Psychol. 2014, 33, 465. [Google Scholar] [CrossRef]
- Prestwich, A.; Webb, T.L.; Conner, M. Using Theory to Develop and Test Interventions to Promote Changes in Health Behaviour: Evidence, Issues, and Recommendations. Curr. Opin. Psychol. 2015, 5, 1–5. [Google Scholar] [CrossRef]
- Higgins, J.P.T.; Thomas, J.; Chandler, J.; Cumpston, M.; Li, T.; Page, M.J.; Welch, V.A. (Eds.) Cochrane Handbook for Systematic Reviews of Interventions; Version 6.1; John Wiley & Sons: Hoboken, NJ, USA, 2020. [Google Scholar]
- Page, M.J.; Moher, D.; Bossuyt, P.M.; Boutron, I.; Hoffmann, T.C.; Mulrow, C.D.; Shamseer, L.; Tetzlaff, J.M.; Akl, E.A.; Brennan, S.E.; et al. PRISMA 2020 Explanation and Elaboration: Updated Guidance and Exemplars for Reporting Systematic Reviews. BMJ 2021, 372, n160. [Google Scholar] [CrossRef]
- Rethlefsen, M.L.; Kirtley, S.; Waffenschmidt, S.; Ayala, A.P.; Moher, D.; Page, M.J.; Koffel, J.B.; Blunt, H.; Brigham, T.; Chang, S.; et al. PRISMA-S: An Extension to the PRISMA Statement for Reporting Literature Searches in Systematic Reviews. Syst. Rev. 2021, 10, 39. [Google Scholar] [CrossRef]
- Mbous, Y.P.V.; Mohamed, R.; Kelley, G.A.; Kelly, K.M. Interventions to Improve Physical Activity in Colorectal Cancer Survivors: Protocol for a Systematic Review and Meta-Analysis of Randomized Controlled Trials. J. Adv. Nurs. 2021, 77, 3921–3932. [Google Scholar] [CrossRef]
- Lee, E.; Dobbins, M.; DeCorby, K.; McRae, L.; Tirilis, D.; Husson, H. An Optimal Search Filter for Retrieving Systematic Reviews and Meta-Analyses. BMC Med. Res. Methodol. 2012, 12, 51. [Google Scholar] [CrossRef]
- Gwet, K.L. Computing Inter-Rater Reliability and Its Variance in the Presence of High Agreement. Br. J. Math. Stat. Psychol. 2008, 61, 29–48. [Google Scholar] [CrossRef]
- Kelley, G.A.; Kelley, K.S.; Pate, R.R. Exercise and Adiposity in Overweight and Obese Children and Adolescents: Protocol for a Systematic Review and Network Meta-Analysis of Randomised Trials. BMJ Open 2017, 7, e019512. [Google Scholar] [CrossRef]
- Kelley, G.A.; Kelley, K.S.; Pate, R.R. Exercise and BMI Z-Score in Overweight and Obese Children and Adolescents: A Systematic Review and Network Meta-Analysis of Randomized Trials. J. Evid. Based Med. 2017, 10, 108–128. [Google Scholar] [CrossRef]
- Nerenz, D.R.; McFadden, B.; Ulmer, C. (Eds.) Race, Ethnicity, and Language Data: Standardization for Health Care Quality Improvement; National Academies Press: Washington, DC, USA, 2009. [Google Scholar]
- US Census Bureau. Race. Available online: https://www.census.gov/topics/population/race.html (accessed on 18 November 2025).
- Office of Management and Budget. Revisions to the Standards for the Classification of Federal Data on Race and Ethnicity. Fed. Regist. 1997, 62, 58782–58790. [Google Scholar]
- Herring, L.Y.; Stevinson, C.; Davies, M.J.; Biddle, S.J.H.; Sutton, C.; Bowrey, D.; Carter, P. Changes in Physical Activity Behaviour and Physical Function after Bariatric Surgery: A Systematic Review and Meta-Analysis. Obes. Rev. 2016, 17, 250–261. [Google Scholar] [CrossRef] [PubMed]
- Flaubert, J.L.; Spicer, C.M.; Volberding, P.A.; National Academies of Sciences, Engineering, and Medicine (Eds.) Selected Instruments for Assessment of Physical Functional Abilities Relevant to Work Requirements. In Functional Assessment for Adults with Disabilities; National Academies Press: Washington, DC, USA, 2019. [Google Scholar]
- Maginador, G.; Lixandrão, M.E.; Bortolozo, H.I.; Vechin, F.C.; Sarian, L.O.; Derchain, S.; Telles, G.D.; Zopf, E.; Ugrinowitsch, C.; Conceição, M.S. Aerobic Exercise-Induced Changes in Cardiorespiratory Fitness in Breast Cancer Patients Receiving Chemotherapy: A Systematic Review and Meta-Analysis. Cancers 2020, 12, 2240. [Google Scholar] [CrossRef]
- Legg, H.S.; Spindor, J.; Dziendzielowski, R.; Sharkey, S.; Lanovaz, J.L.; Farthing, J.P.; Arnold, C.M. The Reliability and Validity of Novel Clinical Strength Measures of the Upper Body in Older Adults. Hand Ther. 2020, 25, 130–138. [Google Scholar] [CrossRef]
- Jones, C.J.; Rikli, R.E.; Beam, W.C. A 30-s Chair-Stand Test as a Measure of Lower Body Strength in Community-Residing Older Adults. Res. Q. Exerc. Sport 1999, 70, 113–119. [Google Scholar] [CrossRef]
- Schaubert, K.L.; Bohannon, R.W. Reliability and Validity of Three Strength Measures Obtained From Community Dwelling Elderly Persons. J. Strength Cond. Res. 2005, 19, 717–720. [Google Scholar] [CrossRef]
- Sterne, J.A.C.; Savović, J.; Page, M.J.; Elbers, R.G.; Blencowe, N.S.; Boutron, I.; Cates, C.J.; Cheng, H.Y.; Corbett, M.S.; Eldridge, S.M.; et al. RoB 2: A Revised Tool for Assessing Risk of Bias in Randomised Trials. BMJ 2019, 10 (Suppl. S1), 29–31. [Google Scholar] [CrossRef]
- Schünemann, H.; Brożek, J.; Guyatt, G.; Oxman, A. (Eds.) GRADE Handbook for Grading Quality of Evidence and Strength of Recommendations; National Academies Press: Washington, DC, USA, 2013. [Google Scholar]
- Hoffmann, T.C.; Glasziou, P.P.; Boutron, I.; Milne, R.; Perera, R.; Moher, D.; Altman, D.G.; Barbour, V.; MacDonald, H.; Johnston, M.; et al. Better Reporting of Interventions: Template for Intervention Description and Replication (TIDieR) Checklist and Guide. Gesundheitswesen 2016, 78, 175–188. [Google Scholar] [CrossRef]
- Michie, S.; Prestwich, A. Are Interventions Theory-Based? Development of a Theory Coding Scheme. Health Psychol. 2010, 29, 1–8. [Google Scholar] [CrossRef] [PubMed]
- Michie, S.; Richardson, M.; Johnston, M.; Abraham, C.; Francis, J.; Hardeman, W.; Eccles, M.P.; Cane, J.; Wood, C.E. The Behavior Change Technique Taxonomy (v1) of 93 Hierarchically Clustered Techniques: Building an International Consensus for the Reporting of Behavior Change Interventions. Ann. Behav. Med. 2013, 46, 81–95. [Google Scholar] [CrossRef]
- Freeman, P.R.; Hedges, L.V.; Olkin, I. Statistical Methods for Meta-Analysis. Biometrics 1986, 42, 454. [Google Scholar] [CrossRef]
- Follmann, D.; Elliott, P.; Suh, I.; Cutler, J. Variance Imputation for Overviews of Clinical Trials with Continuous Response. J. Clin. Epidemiol. 1992, 45, 769–773. [Google Scholar] [CrossRef]
- Doi, S.A.R.; Barendregt, J.J.; Khan, S.; Thalib, L.; Williams, G.M. Advances in the Meta-Analysis of Heterogeneous Clinical Trials I: The Inverse Variance Heterogeneity Model. Contemp. Clin. Trials 2015, 45, 130–138. [Google Scholar] [CrossRef]
- Doi, S.A.R. Examining How Meta-analytic Methods Perform. Res. Synth. Methods 2022, 13, 292–293. [Google Scholar] [CrossRef]
- Johnson, K.; Hayen, A.; Lassere, M.N.D.; Mengersen, K. Bias, Coverage, and Asymptotic Behaviour of Random Effects Meta-Analysis: A Clinically Driven Simulation Study. JBI Evid. Implement. 2020, 18, 355–367. [Google Scholar] [CrossRef]
- Kelley, G.A.; Kelley, K.S. Evolution of Statistical Models for Meta-Analysis and Implications for Best Practice. Curr. Opin. Epidemiol. Public Health 2023, 2, 39–44. [Google Scholar] [CrossRef]
- Cochran, W.G. The Combination of Estimates from Different Experiments. Biometrics 1954, 10, 101–129. [Google Scholar] [CrossRef]
- Higgins, J.P.T.; Thompson, S.G.; Deeks, J.J.; Altman, D.G. Measuring Inconsistency in Meta-Analyses. Br. Med. J. 2003, 327, 557–560. [Google Scholar] [CrossRef]
- Doi, S.A.R.; Furuya-Kanamori, L. Selecting the Best Meta-Analytic Estimator for Evidence-Based Practice: A Simulation Study. Int. J. Evid. Based Healthc. 2020, 18, 86–94. [Google Scholar] [CrossRef]
- Doi, S.A.R.; Furuya-Kanamori, L.; Thalib, L.; Barendregt, J.J. Meta-Analysis in Evidence-Based Healthcare: A Paradigm Shift Away from Random Effects Is Overdue. JBI Evid. Implement. 2017, 15, 152–160. [Google Scholar] [CrossRef]
- National Cancer Institute. Statistics, Graphs and Definitions. Available online: https://www.cancer.gov/about-cancer/understanding/statistics (accessed on 14 August 2024).
- Kelly, K.M.; Shah, N.; Shedlosky-Shoemaker, R.; Porter, K.; Agnese, D. Living Post Treatment: Definitions of Those with History and No History of Cancer. J. Cancer Surviv. 2011, 5, 158–166. [Google Scholar] [CrossRef]
- Lau, J.; Schmid, C.H.; Chalmers, T.C. Cumulative Meta-Analysis of Clinical Trials Builds Evidence for Exemplary Medical Care. J. Clin. Epidemiol. 1995, 48, 45–57. [Google Scholar] [CrossRef]
- Deeks, J.J.; Higgins, J.P.T.; Altman, D.G.; Group, C.S.M. Analysing Data and Undertaking Meta-analyses. In Cochrane Handbook for Systematic Reviews of Interventions; Wiley: Hoboken, NJ, USA, 2019; pp. 241–284. [Google Scholar]
- Rothman, K.J. No Adjustments Are Needed for Multiple Comparisons. Epidemiology 1990, 1, 43–46. [Google Scholar] [CrossRef]
- Fu, R.; Gartlehner, G.; Grant, M.; Shamliyan, T.; Sedrakyan, A.; Wilt, T.J.; Griffith, L.; Oremus, M.; Raina, P.; Ismaila, A.; et al. Conducting Quantitative Synthesis When Comparing Medical Interventions: AHRQ and the Effective Health Care Program. J. Clin. Epidemiol. 2011, 64, 1187–1197. [Google Scholar] [CrossRef]
- Demark-Wahnefried, W.; Morey, M.C.; Sloane, R.; Snyder, D.C.; Miller, P.E.; Hartman, T.J.; Cohen, H.J. Reach out to Enhance Wellness Home-Based Diet-Exercise Intervention Promotes Reproducible and Sustainable Long-Term Improvements in Health Behaviors, Body Weight, and Physical Functioning in Older, Overweight/Obese Cancer Survivors. J. Clin. Oncol. 2012, 30, 2354–2361. [Google Scholar] [CrossRef]
- Hawkes, A.L.; Chambers, S.K.; Pakenham, K.I.; Patrao, T.A.; Baade, P.D.; Lynch, B.M.; Aitken, J.F.; Meng, X.; Courneya, K.S. Effects of a Telephone-Delivered Multiple Health Behavior Change Intervention (CanChange) on Health and Behavioral Outcomes in Survivors of Colorectal Cancer: A Randomized Controlled Trial. J. Clin. Oncol. 2013, 31, 2313–2321. [Google Scholar] [CrossRef]
- Kim, J.Y.; Lee, M.K.; Lee, D.H.; Kang, D.W.; Min, J.H.; Lee, J.W.; Chu, S.H.; Cho, M.S.; Kim, N.K.; Jeon, J.Y. Effects of a 12-Week Home-Based Exercise Program on Quality of Life, Psychological Health, and the Level of Physical Activity in Colorectal Cancer Survivors: A Randomized Controlled Trial. Support. Care Cancer 2019, 27, 2933–2940. [Google Scholar] [CrossRef]
- Lee, M.K.; Kim, J.-Y.; Kim, D.-I.; Kang, D.-W.; Park, J.-H.; Ahn, K.-Y.; In Yang, H.; Lee, D.H.; Roh, Y.H.; Lee, J.-W.; et al. Effect of Home-Based Exercise Intervention on Fasting Insulin and Adipocytokines in Colorectal Cancer Survivors: A Randomized Controlled Trial. Metabolism 2017, 76, 23–31. [Google Scholar] [CrossRef]
- Van Blarigan, E.L.; Chan, H.; Van Loon, K.; Kenfield, S.A.; Chan, J.M.; Mitchell, E.; Zhang, L.; Paciorek, A.; Joseph, G.; Laffan, A.; et al. Self-Monitoring and Reminder Text Messages to Increase Physical Activity in Colorectal Cancer Survivors (Smart Pace): A Pilot Randomized Controlled Trial. BMC Cancer 2019, 19, 218. [Google Scholar] [CrossRef]
- Van Vulpen, J.K.; Velthuis, M.J.; Steins Bisschop, C.N.; Travier, N.; Van Den Buijs, B.J.W.; Backx, F.J.G.; Los, M.; Erdkamp, F.L.G.; Bloemendal, H.J.; Koopman, M.; et al. Effects of an Exercise Program in Colon Cancer Patients Undergoing Chemotherapy. Med. Sci. Sports Exerc. 2016, 48, 767–775. [Google Scholar] [CrossRef] [PubMed]
- Van70 Waart, H.; Stuiver, M.M.; van Harten, W.H.; Geleijn, E.; de Maaker-Berkhof, M.; Schrama, J.; Geenen, M.M.; Terwogt, J.M.M.; van den Heiligenberg, S.M.; Hellendoorn-van Vreeswijk, J.A.; et al. Recruitment to and Pilot Results of the PACES Randomized Trial of Physical Exercise during Adjuvant Chemotherapy for Colon Cancer. Int. J. Color. Dis. 2018, 33, 29–40. [Google Scholar] [CrossRef] [PubMed]
- Lee, M.K.; Kim, N.K.; Jeon, J.Y. Effect of the 6-Week Home-Based Exercise Program on Physical Activity Level and Physical Fitness in Colorectal Cancer Survivors: A Randomized Controlled Pilot Study. PLoS ONE 2018, 13, e0196220. [Google Scholar] [CrossRef] [PubMed]
- Molenaar, C.J.L.; Minnella, E.M.; Coca-Martinez, M.; Ten Cate, D.W.G.; Regis, M.; Awasthi, R.; Martínez-Palli, G.; López-Baamonde, M.; Sebio-Garcia, R.; Feo, C.V. Effect of Multimodal Prehabilitation on Reducing Postoperative Complications and Enhancing Functional Capacity Following Colorectal Cancer Surgery: The PREHAB Randomized Clinical Trial. JAMA Surg. 2023, 158, 572–581. [Google Scholar] [CrossRef]
- Bourke, L.; Thompson, G.; Gibson, D.J.; Daley, A.; Crank, H.; Adam, I.; Shorthouse, A.; Saxton, J. Pragmatic Lifestyle Intervention in Patients Recovering from Colon Cancer: A Randomized Controlled Pilot Study. Arch. Phys. Med. Rehabil. 2011, 92, 749–755. [Google Scholar] [CrossRef]
- Courneya, K.S.; Vardy, J.L.; O’Callaghan, C.J.; Friedenreich, C.M.; Campbell, K.L.; Prapavessis, H.; Crawford, J.J.; O’Brien, P.; Dhillon, H.M.; Jonker, D.J.; et al. Effects of a Structured Exercise Program on Physical Activity and Fitness in Colon Cancer Survivors: One Year Feasibility Results from the CHALLENGE Trial. Cancer Epidemiol. Biomark. Prev. 2016, 25, 969–977. [Google Scholar] [CrossRef]
- Mayer, D.K.; Landucci, G.; Awoyinka, L.; Atwood, A.K.; Carmack, C.L.; Demark-Wahnefried, W.; McTavish, F.; Gustafson, D.H. SurvivorCHESS to Increase Physical Activity in Colon Cancer Survivors: Can We Get Them Moving? J. Cancer Surviv. 2018, 12, 82–94. [Google Scholar] [CrossRef]
- Pinto, B.M.; Papandonatos, G.D.; Goldstein, M.G.; Marcus, B.H.; Farrell, N. Home-Based Physical Activity Intervention for Colorectal Cancer Survivors. Psychooncology 2013, 22, 54–64. [Google Scholar] [CrossRef]
- Brown, J.C.; Troxel, A.B.; Ky, B.; Damjanov, N.; Zemel, B.S.; Rickels, M.R.; Rhim, A.D.; Rustgi, A.K.; Courneya, K.S.; Schmitz, K.H. Dose-Response Effects of Aerobic Exercise Among Colon Cancer Survivors: A Randomized Phase II Trial. Clin. Color. Cancer 2018, 17, 32–40. [Google Scholar] [CrossRef]
- Carli, F.; Bousquet-Dion, G.; Awasthi, R.; Elsherbini, N.; Liberman, S.; Boutros, M.; Stein, B.; Charlebois, P.; Ghitulescu, G.; Morin, N.; et al. Effect of Multimodal Prehabilitation vs. Postoperative Rehabilitation on 30-Day Postoperative Complications for Frail Patients Undergoing Resection of Colorectal Cancer: A Randomized Clinical Trial. JAMA Surg. 2020, 155, 233–242. [Google Scholar] [CrossRef]
- Backman, M.; Wengstrom, Y.; Johansson, B.; Skoldengen, I.; Borjesson, S.; Tarnbro, S.; Berglund, A. A Randomized Pilot Study with Daily Walking during Adjuvant Chemotherapy for Patients with Breast and Colorectal Cancer. Acta Oncol. 2014, 53, 510–520. [Google Scholar] [CrossRef]
- Christensen, J.F.; Sundberg, A.; Osterkamp, J.; Thorsen-Streit, S.; Nielsen, A.B.; Olsen, C.K.; Djurhuus, S.S.; Simonsen, C.; Schauer, T.; Ellingsgaard, H.; et al. Interval Walking Improves Glycemic Control and Body Composition After Cancer Treatment: A Randomized Controlled Trial. J. Clin. Endocrinol. Metab. 2019, 104, 3701–3712. [Google Scholar] [CrossRef]
- Watson, A.J.M.; Hubbard, G.; Munro, J.; Adams, R. Is Use of Cardiac Rehabilitation an Acceptable and Feasible Rehabilitation Model for Patients with Colorectal Cancer and Is a Randomised Trial of This Intervention Also Acceptable and Feasible? Gut 2015, 64, A334–A335. [Google Scholar] [CrossRef]
- Courneya, K.S.; Friedenreich, C.M.; Quinney, H.A.; Fields, A.L.A.; Jones, L.W.; Fairey, A.S. A Randomized Trial of Exercise and Quality of Life in Colorectal Cancer Survivors. Eur. J. Cancer Care 2003, 12, 347–357. [Google Scholar] [CrossRef]
- Cadmus-Bertram, L.; Tevaarwerk, A.J.; Sesto, M.E.; Gangnon, R.; Van Remortel, B.; Date, P. Building a Physical Activity Intervention into Clinical Care for Breast and Colorectal Cancer Survivors in Wisconsin: A Randomized Controlled Pilot Trial. J. Cancer Surviv. 2019, 13, 593–602. [Google Scholar] [CrossRef]
- Greenlee, H.; Lew, D.L.; Hershman, D.L.; Newman, V.A.; Hansen, L.; Hartman, S.J.; Korner, J.; Shi, Z.; Sardo Molmenti, C.L.; Sayegh, A.; et al. Phase II Feasibility Study of a Weight Loss Intervention in Female Breast and Colorectal Cancer Survivors (SWOG S1008). Obes. Silver Spring 2018, 26, 1539–1549. [Google Scholar] [CrossRef]
- Maxwell-Smith, C.; Hince, D.; Cohen, P.A.; Bulsara, M.K.; Boyle, T.; Platell, C.; Tan, P.; Levitt, M.; Salama, P.; Tan, J.; et al. A Randomized Controlled Trial of WATAAP to Promote Physical Activity in Colorectal and Endometrial Cancer Survivors. Psychooncology 2019, 28, 1420–1429. [Google Scholar] [CrossRef]
- Park, J.-H.; Lee, J.; Oh, M.; Park, H.; Chae, J.; Kim, D.-I.; Lee, M.K.; Yoon, Y.J.; Lee, C.W.; Park, S.; et al. The Effect of Oncologists’ Exercise Recommendations on the Level of Exercise and Quality of Life in Survivors of Breast and Colorectal Cancer: A Randomized Controlled Trial. Cancer 2015, 121, 2740–2748. [Google Scholar] [CrossRef]
- Ungar, N.; Sieverding, M.; Weidner, G.; Ulrich, C.M.; Wiskemann, J. A Self-Regulation-Based Intervention to Increase Physical Activity in Cancer Patients. Psychol. Health Med. 2016, 21, 163–175. [Google Scholar] [CrossRef]
- Yun, Y.H.; Kim, Y.A.; Lee, M.K.; Sim, J.A.; Nam, B.-H.; Kim, S.; Lee, E.S.; Noh, D.-Y.; Lim, J.-Y.; Kim, S.; et al. A Randomized Controlled Trial of Physical Activity, Dietary Habit, and Distress Management with the Leadership and Coaching for Health (LEACH) Program for Disease-Free Cancer Survivors. BMC Cancer 2017, 17, 298. [Google Scholar] [CrossRef]
- Rees-Punia, E.; Leach, C.R.; Westmaas, J.L.; Dempsey, L.F.; Roberts, A.M.; Nocera, J.R.; Patel, A.V. Pilot Randomized Controlled Trial of Feasibility, Acceptability, and Preliminary Efficacy of a Web-Based Physical Activity and Sedentary Time Intervention for Survivors of Physical Inactivity-Related Cancers. Int. J. Behav. Med. 2022, 29, 220–229. [Google Scholar] [CrossRef]
- Demmelmaier, I.; Brooke, H.L.; Henriksson, A.; Mazzoni, A.S.; Bjørke, A.C.H.; Igelström, H.; Ax, A.K.; Sjövall, K.; Hellbom, M.; Pingel, R.; et al. Does Exercise Intensity Matter for Fatigue during (Neo-)Adjuvant Cancer Treatment? The Phys-Can Randomized Clinical Trial. Scand. J. Med. Sci. Sports 2021, 31, 1144–1159. [Google Scholar] [CrossRef] [PubMed]
- Bousquet-Dion, G.; Awasthi, R.; Loiselle, S.-E.; Minnella, E.M.; Agnihotram, R.V.; Bergdahl, A.; Carli, F.; Scheede-Bergdahl, C. Evaluation of Supervised Multimodal Prehabilitation Programme in Cancer Patients Undergoing Colorectal Resection: A Randomized Control Trial. Acta Oncol. 2018, 57, 849–859. [Google Scholar] [CrossRef] [PubMed]
- Golsteijn, R.H.J.; Bolman, C.; Peels, D.A.; Volders, E.; de Vries, H.; Lechner, L. A Web-Based and Print-Based Computer-Tailored Physical Activity Intervention for Prostate and Colorectal Cancer Survivors: A Comparison of User Characteristics and Intervention Use. J. Med. Internet Res. 2017, 19, e298. [Google Scholar] [CrossRef]
- Hwang, S.H.; Kang, D.W.; Lee, M.K.; Byeon, J.Y.; Park, H.; Park, D.H.; Kim, K.C.; Lee, S.T.; Chu, S.H.; Kim, N.K.; et al. Changes in DNA Methylation after 6-Week Exercise Training in Colorectal Cancer Survivors: A Preliminary Study. Asia Pac. J. Clin. Oncol. 2022, 18, 52–60. [Google Scholar] [CrossRef]
- Campbell, M.K.; Carr, C.; Devellis, B.; Switzer, B.; Biddle, A.; Amamoo, M.A.; Walsh, J.; Zhou, B.; Sandler, R. A Randomized Trial of Tailoring and Motivational Interviewing to Promote Fruit and Vegetable Consumption for Cancer Prevention and Control. Ann. Behav. Med. 2009, 38, 71–85. [Google Scholar] [CrossRef] [PubMed]
- Ligibel, J.A.; Meyerhardt, J.; Pierce, J.P.; Najita, J.; Shockro, L.; Campbell, N.; Newman, V.A.; Barbier, L.; Hacker, E.; Wood, M.; et al. Impact of a Telephone-Based Physical Activity Intervention upon Exercise Behaviors and Fitness in Cancer Survivors Enrolled in a Cooperative Group Setting. Breast Cancer Res. Treat. 2012, 132, 205–213. [Google Scholar] [CrossRef]
- Agnew, H.; Kitson, S.; Crosbie, E.J. Interventions for Weight Reduction in Obesity to Improve Survival in Women with Endometrial Cancer. Cochrane Database Syst. Rev. 2023, 3, CD012513. [Google Scholar] [CrossRef]
- Andersson, M.; Egenvall, M.; Danielsson, J.; Thorell, A.; Sturesson, C.; Soop, M.; Nygren-Bonnier, M.; Rydwik, E. CANOPTIPHYS Study Protocol: Optimising PHYSical Function before CANcer Surgery: Effects of Pre-Operative Optimisation on Complications and Physical Function after Gastrointestinal Cancer Surgery in Older People at Risk-a Multicentre, Randomised, Parallel-Group Study. Trials 2023, 24, 41. [Google Scholar] [CrossRef]
- Hirschey, R.; Lipkus, I.; Jones, L.; Mantyh, C.; Sloane, R.; Demark-Wahnefried, W. Message Framing and Physical Activity Promotion in Colorectal Cancer Survivors. Oncol. Nurs. Forum 2016, 43, 697–705. [Google Scholar] [CrossRef]
- Cramer, H.; Pokhrel, B.; Fester, C.; Meier, B.; Gass, F.; Lauche, R.; Eggleston, B.; Walz, M.; Michalsen, A.; Kunz, R.; et al. A Randomized Controlled Bicenter Trial of Yoga for Patients with Colorectal Cancer. Psychooncology 2016, 25, 412–420. [Google Scholar] [CrossRef]
- Forbes, C.C.; Blanchard, C.M.; Mummery, W.K.; Courneya, K.S. A Pilot Study on the Motivational Effects of an Internet-Delivered Physical Activity Behaviour Change Programme in Nova Scotian Cancer Survivors. Psychol. Health 2017, 32, 234–252. [Google Scholar] [CrossRef]
- Guercio, B.J.; Zhang, S.; Ou, F.-S.; Venook, A.P.; Niedzwiecki, D.; Lenz, H.-J.; Innocenti, F.; O’Neil, B.H.; Shaw, J.E.; Polite, B.N.; et al. Associations of Physical Activity With Survival and Progression in Metastatic Colorectal Cancer: Results From Cancer and Leukemia Group B (Alliance)/SWOG 80405. J. Clin. Oncol. 2019, 37, 2620–2631. [Google Scholar] [CrossRef]
- Møller, T.; Lillelund, C.; Andersen, C.; Ejlertsen, B.; Nørgaard, L.; Christensen, K.B.; Vadstrup, E.; Diderichsen, F.; Hendriksen, C.; Bloomquist, K.; et al. At Cancer Diagnosis: A ‘Window of Opportunity’ for Behavioural Change towards Physical Activity. A Randomised Feasibility Study in Patients with Colon and Breast Cancer. BMJ Open 2013, 3, e003556. [Google Scholar] [CrossRef] [PubMed]
- Sohl, S.J.; Danhauer, S.C.; Birdee, G.S.; Nicklas, B.J.; Yacoub, G.; Aklilu, M.; Avis, N.E. A Brief Yoga Intervention Implemented during Chemotherapy: A Randomized Controlled Pilot Study. Complement Ther. Med. 2016, 25, 139–142. [Google Scholar] [CrossRef] [PubMed]
- López-Rodríguez-Arias, F.; Sánchez-Guillén, L.; Aranaz-Ostáriz, V.; Triguero-Cánovas, D.; Lario-Pérez, S.; Barber-Valles, X.; Lacueva, F.J.; Ramirez, J.M.; Arroyo, A. Effect of Home-Based Prehabilitation in an Enhanced Recovery after Surgery Program for Patients Undergoing Colorectal Cancer Surgery during the COVID-19 Pandemic. Support. Care Cancer 2021, 29, 7785–7791. [Google Scholar] [CrossRef] [PubMed]
- Morielli, A.R.; Usmani, N.; Boulé, N.G.; Severin, D.; Tankel, K.; Joseph, K.; Nijjar, T.; Fairchild, A.; Courneya, K.S. Feasibility, Safety, and Preliminary Efficacy of Exercise During and After Neoadjuvant Rectal Cancer Treatment: A Phase II Randomized Controlled Trial. Clin. Color. Cancer 2021, 20, 216–226. [Google Scholar] [CrossRef]
- Onerup, A.; Andersson, J.; Angenete, E.; Bock, D.; Börjesson, M.; Ehrencrona, C.; Fagevik Olsén, M.; Larsson, P.A.; De La Croix, H.; Wedin, A.; et al. Effect of Short-Term Homebased Pre- and Postoperative Exercise on Recovery after Colorectal Cancer Surgery (PHYSSURG-C): A Randomized Clinical Trial. Ann. Surg. 2022, 275, 448–455. [Google Scholar] [CrossRef]
- Ozhanli, Y.; Akyuz, N. The Effect of Progressive Relaxation Exercise on Physiological Parameters, Pain and Anxiety Levels of Patients Undergoing Colorectal Cancer Surgery: A Randomized Controlled Study. J. Perianesthesia Nurs. 2021, 37, 238–246. [Google Scholar] [CrossRef]
- Peng, L.H.; Wang, W.J.; Chen, J.; Jin, J.Y.; Min, S.; Qin, P.P. Implementation of the Pre-Operative Rehabilitation Recovery Protocol and Its Effect on the Quality of Recovery after Colorectal Surgeries. Chin. Med. J. 2021, 134, 2865–2873. [Google Scholar] [CrossRef]
- Sohl, S.J.; Tooze, J.A.; Johnson, E.N.; Ridner, S.H.; Rothman, R.L.; Lima, C.R.; Ansley, K.C.; Wheeler, A.; Nicklas, B.; Avis, N.E.; et al. A Randomized Controlled Pilot Study of Yoga Skills Training Versus an Attention Control Delivered During Chemotherapy Administration. J. Pain Symptom Manag. 2022, 63, 23–32. [Google Scholar] [CrossRef] [PubMed]
- Taha, A.; Taha-Mehlitz, S.; Staartjes, V.E.; Lunger, F.; Gloor, S.; Unger, I.; Mungo, G.; Tschuor, C.; Breitenstein, S.; Gingert, C. Association of a Prehabilitation Program with Anxiety and Depression before Colorectal Surgery: A Post Hoc Analysis of the PERACS Randomized Controlled Trial. Langenbecks Arch. Surg. 2021, 406, 1553–1561. [Google Scholar] [CrossRef]
- Zopf, E.M.; Schulz, H.; Poeschko, J.; Aschenbroich, K.; Wilhelm, T.; Eypasch, E.; Kleimann, E.; Severin, K.; Benz, J.; Liu, E.; et al. Effects of Supervised Aerobic Exercise on Cardiorespiratory Fitness and Patient-Reported Health Outcomes in Colorectal Cancer Patients Undergoing Adjuvant Chemotherapy—A Pilot Study. Support. Care Cancer 2022, 30, 1945–1955. [Google Scholar] [CrossRef]
- Howell, D.; Pond, G.R.; Bryant-Lukosius, D.; Powis, M.; McGowan, P.T.; Makuwaza, T.; Kukreti, V.; Rask, S.; Hack, S.; Krzyzanowska, M.K. Feasibility and Effectiveness of Self-Management Education and Coaching on Patient Activation for Managing Cancer Treatment Toxicities. J. Natl. Compr. Canc Netw. 2023, 21, 247–256.e8. [Google Scholar] [CrossRef]
- Li, C.; Li, Z.-Y.; Lu, Q.; Zhou, Y.-J.; Qin, X.-Y.; Wu, A.-W.; Pang, D. The Effectiveness of a Self-Management Program of Bowel Dysfunction in Patients with Mid and Low Rectal Cancer After Sphincter-Preserving Surgery: A Pilot Randomized Controlled Trial. Cancer Nurs. 2023, 46, 67–76. [Google Scholar] [CrossRef]
- Min, J.; An, K.-Y.; Park, H.; Cho, W.; Jung, H.J.; Chu, S.H.; Cho, M.; Yang, S.Y.; Jeon, J.Y.; Kim, N.K. Postoperative Inpatient Exercise Facilitates Recovery after Laparoscopic Surgery in Colorectal Cancer Patients: A Randomized Controlled Trial. BMC Gastroenterol. 2023, 23, 127. [Google Scholar] [CrossRef]
- Sepucha, K.R.; Valentine, K.D.; Atlas, S.J.; Chang, Y.; Fairfield, K.M.; Ha, J.; Leavitt, L.; Lee, V.; Percac-Lima, S.; Richter, J.M.; et al. Getting Patients Back for Routine Colorectal Cancer Screening: Randomized Controlled Trial of a Shared Decision-Making Intervention. Cancer Med. 2023, 12, 3555–3566. [Google Scholar] [CrossRef]
- Sepucha, K.; Han, P.K.J.; Chang, Y.; Atlas, S.J.; Korsen, N.; Leavitt, L.; Lee, V.; Percac-Lima, S.; Mancini, B.; Richter, J.; et al. Promoting Informed Decisions About Colorectal Cancer Screening in Older Adults (PRIMED Study): A Physician Cluster Randomized Trial. J. Gen. Intern. Med. 2023, 38, 406–413. [Google Scholar] [CrossRef] [PubMed]
- Snowden, A.; Young, J.; Roberge, D.; Schipani, S.; Murray, E.; Richard, C.; Lussier, M.-T.; White, C. Holistic Needs Assessment in Outpatient Cancer Care: A Randomised Controlled Trial. BMJ Open 2023, 13, e066829. [Google Scholar] [CrossRef] [PubMed]
- Lynch, B.M.; Courneya, K.S.; Sethi, P.; Patrao, T.A.; Hawkes, A.L. A Randomized Controlled Trial of a Multiple Health Behavior Change Intervention Delivered to Colorectal Cancer Survivors: Effects on Sedentary Behavior. Cancer 2014, 120, 2665–2672. [Google Scholar] [CrossRef] [PubMed]
- Yun, Y.H.; Lim, C.I.; Lee, E.S.; Kim, Y.T.; Shin, K.H.; Park, K.J.; Jeong, S.; Ryu, K.W.; Han, W.; Jung, K.H.; et al. Efficacy of Health Coaching and a Web-Based Program on Physical Activity, Weight, and Distress Management among Cancer Survivors: A Multi-Centered Randomised Controlled Trial. Psychooncology 2020, 29, 1105–1114. [Google Scholar] [CrossRef]
- Mazzoni, A.S.; Brooke, H.L.; Berntsen, S.; Nordin, K.; Demmelmaier, I. Effect of Self-Regulatory Behaviour Change Techniques and Predictors of Physical Activity Maintenance in Cancer Survivors: A 12-Month Follow-up of the Phys-Can RCT. BMC Cancer 2021, 21, 1272. [Google Scholar] [CrossRef]
- Strandberg, E.; Bean, C.; Vassbakk-Svindland, K.; Brooke, H.L.; Sjövall, K.; Börjeson, S.; Berntsen, S.; Nordin, K.; Demmelmaier, I. Who Makes It All the Way? Participants vs. Decliners, and Completers vs. Drop-Outs, in a 6-Month Exercise Trial during Cancer Treatment. Results from the Phys-Can RCT. Support. Care Cancer 2022, 30, 1739–1748. [Google Scholar] [CrossRef]
- Brown, J.C.; Troxel, A.B.; Ky, B.; Damjanov, N.; Zemel, B.S.; Rickels, M.R.; Rhim, A.D.; Rustgi, A.K.; Courneya, K.S.; Schmitz, K.H. A Randomized Phase II Dose-Response Exercise Trial among Colon Cancer Survivors: Purpose, Study Design, Methods, and Recruitment Results. Contemp. Clin. Trials 2016, 47, 366–375. [Google Scholar] [CrossRef]
- Brown, J.C.; Rhim, A.D.; Manning, S.L.; Brennan, L.; Mansour, A.I.; Rustgi, A.K.; Damjanov, N.; Troxel, A.B.; Rickels, M.R.; Ky, B.; et al. Effects of Exercise on Circulating Tumor Cells among Patients with Resected Stage I-III Colon Cancer. PLoS ONE 2018, 13, e0204875. [Google Scholar] [CrossRef] [PubMed]
- Hubbard, G.; Adams, R.; Campbell, A.; Kidd, L.; Leslie, S.J.; Munro, J.; Watson, A. Is Referral of Postsurgical Colorectal Cancer Survivors to Cardiac Rehabilitation Feasible and Acceptable? A Pragmatic Pilot Randomised Controlled Trial with Embedded Qualitative Study. BMJ Open 2016, 6, e009284. [Google Scholar] [CrossRef] [PubMed]
- Bakker, E.A.; Hartman, Y.A.W.; Hopman, M.T.E.; Hopkins, N.D.; Graves, L.E.F.; Dunstan, D.W.; Healy, G.N.; Eijsvogels, T.M.H.; Thijssen, D.H.J. Validity and Reliability of Subjective Methods to Assess Sedentary Behaviour in Adults: A Systematic Review and Meta-Analysis. Int. J. Behav. Nutr. Phys. Act. 2020, 17, 75. [Google Scholar] [CrossRef] [PubMed]
- Hedges, L.V.; Tipton, E.; Johnson, M.C. Robust Variance Estimation in Meta-Regression with Dependent Effect Size Estimates. Res. Synth. Methods 2010, 1, 39–65. [Google Scholar] [CrossRef]
- Samdal, G.B.; Eide, G.E.; Barth, T.; Williams, G.; Meland, E. Effective Behaviour Change Techniques for Physical Activity and Healthy Eating in Overweight and Obese Adults; Systematic Review and Meta-Regression Analyses. Int. J. Behav. Nutr. Phys. Act. 2017, 14, 42. [Google Scholar] [CrossRef]
- Cuijpers, P.; Griffin, J.W.; Furukawa, T.A. The Lack of Statistical Power of Subgroup Analyses in Meta-Analyses: A Cautionary Note. Epidemiol. Psychiatr. Sci. 2021, 30, e78. [Google Scholar] [CrossRef] [PubMed]
- Umer, A.; Kelley, G.A.; Cottrell, L.E.; Giacobbi, P.; Innes, K.E.; Lilly, C.L. Childhood Obesity and Adult Cardiovascular Disease Risk Factors: A Systematic Review with Meta-Analysis. BMC Public Health 2017, 17, 683. [Google Scholar] [CrossRef] [PubMed]
- Turner, B.E.; Steinberg, J.R.; Weeks, B.T.; Rodriguez, F.; Cullen, M.R. Race/Ethnicity Reporting and Representation in US Clinical Trials: A Cohort Study. Lancet Reg. Health 2022, 11, 100252. [Google Scholar] [CrossRef]
- Chen, M.S., Jr.; Lara, P.N.; Dang, J.H.T.; Paterniti, D.A.; Kelly, K. Twenty Years Post-NIH Revitalization Act: Enhancing Minority Participation in Clinical Trials (EMPaCT): Laying the Groundwork for Improving Minority Clinical Trial Accrual: Renewing the Case for Enhancing Minority Participation in Cancer Clinical Trials. Cancer 2014, 120, 1091–1096. [Google Scholar] [CrossRef]
- National Academies of Sciences and Medicine. Improving Representation in Clinical Trials and Research: Building Research Equity for Women and Underrepresented Groups; National Academies of Sciences and Medicine: Washington, DC, USA, 2022. [Google Scholar]
- Smirnoff, M.; Wilets, I.; Ragin, D.F.; Adams, R.; Holohan, J.; Rhodes, R.; Winkel, G.; Ricci, E.M.; Clesca, C.; Richardson, L.D. A Paradigm for Understanding Trust and Mistrust in Medical Research: The Community VOICES Study. AJOB Empir. Bioeth. 2018, 9, 39–47. [Google Scholar] [CrossRef]
- Quiñones, A.R.; Mitchell, S.L.; Jackson, J.D.; Aranda, M.P.; Dilworth-Anderson, P.; McCarthy, E.P.; Hinton, L. Achieving Health Equity in Embedded Pragmatic Trials for People Living with Dementia and Their Family Caregivers. J. Am. Geriatr. Soc. 2020, 68 (Suppl. S2), S8–S13. [Google Scholar] [CrossRef]
- Thetford, K.; Gillespie, T.W.; Kim, Y.-I.; Hansen, B.; Scarinci, I.C. Willingness of Latinx and African Americans to Participate in Nontherapeutic Trials: It Depends on Who Runs the Research. Ethn. Dis. 2021, 31, 263–272. [Google Scholar] [CrossRef] [PubMed]
- Alhajji, M.; Bass, S.B.; Nicholson, A.; Washington, A.; Maurer, L.; Geynisman, D.M.; Fleisher, L. Comparing Perceptions and Decisional Conflict Towards Participation in Cancer Clinical Trials Among African American Patients Who Have and Have Not Participated. J. Cancer Educ. 2022, 37, 395–404. [Google Scholar] [CrossRef]
- Palmer, R.C.; Schneider, E.C. Social Disparities across the Continuum of Colorectal Cancer: A Systematic Review. Cancer Causes Control. 2005, 16, 55–61. [Google Scholar] [CrossRef]
- Qwaider, Y.Z.; Sell, N.M.; Boudreau, C.; Stafford, C.E.; Ricciardi, R.; Cauley, C.E.; Bordeianou, L.G.; Berger, D.L.; Kunitake, H.; Goldstone, R.N. Zip Code-Related Income Disparities in Patients with Colorectal Cancer. Am. Surg. 2021, 88, 2314–2319. [Google Scholar] [CrossRef]
- Zahnd, W.E.; Davis, M.M.; Rotter, J.S.; Vanderpool, R.C.; Perry, C.K.; Shannon, J.; Ko, L.K.; Wheeler, S.B.; Odahowski, C.L.; Farris, P.E. Rural-Urban Differences in Financial Burden among Cancer Survivors: An Analysis of a Nationally Representative Survey. Support. Care Cancer 2019, 27, 4779–4786. [Google Scholar] [CrossRef]
- Mama, S.K.; Bhuiyan, N.; Foo, W.; Segel, J.E.; Bluethmann, S.M.; Winkels, R.M.; Wiskemann, J.; Calo, W.A.; Lengerich, E.J.; Schmitz, K.H. Rural-Urban Differences in Meeting Physical Activity Recommendations and Health Status in Cancer Survivors in Central Pennsylvania. Support. Care Cancer 2020, 28, 5013–5022. [Google Scholar] [CrossRef] [PubMed]
- Granger, C.L.; Holland, A.E.; Gordon, I.R.; Denehy, L. Minimal Important Difference of the 6-Minute Walk Distance in Lung Cancer. Chron. Respir. Dis. 2015, 12, 146–154. [Google Scholar] [CrossRef] [PubMed]
- Jones, L.W.; Hornsby, W.E.; Goetzinger, A.; Forbes, L.M.; Sherrard, E.L.; Quist, M.; Lane, A.T.; West, M.; Eves, N.D.; Gradison, M.; et al. Prognostic Significance of Functional Capacity and Exercise Behavior in Patients with Metastatic Non-Small Cell Lung Cancer. Lung Cancer 2012, 76, 248–252. [Google Scholar] [CrossRef] [PubMed]
- Rücker, G.; Schumacher, M. Simpson’s Paradox Visualized: The Example of the Rosiglitazone Meta-Analysis. BMC Med. Res. Methodol. 2008, 8, 34. [Google Scholar] [CrossRef]
- Campbell, K.L.; Winters-Stone, K.M.; Wiskemann, J.; May, A.M.; Schwartz, A.L.; Courneya, K.S.; Zucker, D.S.; Matthews, C.E.; Ligibel, J.A.; Gerber, L.H.; et al. Exercise Guidelines for Cancer Survivors: Consensus Statement from International Multidisciplinary Roundtable. Med. Sci. Sports Exerc. 2019, 51, 2375–2390. [Google Scholar] [CrossRef]




| Author, Year | Country | Sex (% Males) | Race | Education | Income | BMI | Marital Status | Cancer:
| Comorbid Conditions | Treatment Received |
|---|---|---|---|---|---|---|---|---|---|---|
| Backman et al., 2014 [80] | Sweden | NI | NI | NI | NI | NI | NI | NI | Cardiovascular (39%) | CT: 52% |
| Bourke et al., 2011 [74] | UK | 67% | NI | NI | NI | 26.5 | NI |
| NI | NI |
| Courneya et al., 2003 [83] | Canada | 58.1% | NI | Completed university: 38.8% | Annual income > $40,000: 61.5% | NI | Married: 76.3% |
| NI | Surgery: 33.7%, CT: 65.2%, RT: 20.7%; Surgery + RT: 1.1%; Surgery + CT: 45.6%; Surgery + RT + CT: 19.6% |
| Courneya et al., 2016 [75] | Canada & Australia | 46% | NI | NI | NI | ≤27.5: 42.6%; >27.5: 57.4% | NI |
| NI | CT: 100% |
| Demark-Wahnefried et al., 2012 [65] | U.S. | 44.7% | 90% (NHW) | Any college education: 62% | NI | NI | NI | NI | NI | NI |
| Hawkes et al., 2013 [66] | Australia | 54% | NI | Completed at least HS: 90.7% | Annual income; ≤$25,000: 24.1%; $25,001–$40,000: 24.9%; $40,001–$65,000: 12.9%; $65,000–$100,000: 13.9%; >$100,000: 15.1% | NI | Married: 77.1% |
| Number of comorbidities; 0: 11.5%; 1 to 3: 62.7%; ≥4: 25.9% | Surgery: 96.1%; CT: 40.5%; RT: 13% |
| Ji Young et al., 2019 [67] | Republic of Korea | 49.3% | All Asians | Completed College: 42.3% | >$3000/month: 46.5% | 23.5 | Married: 77.5%; Widowed: 8.5%; Divorced: 5.6%; Never married: 8.5% |
| NI | NI |
| Kyung Lee et al., 2017 [68] | Republic of Korea | 48% | All Asians | Completed College: 48.8% | >$3000/month: 44.7% | 23.5 (3.3) | Married: 81.3%; Widowed: 6.5%; Divorced: 4.1%; Single: 8.1% |
| NI | CT: 80.3%; CT + RT: 10.7% |
| Mayer et al., 2018 [76] | U.S. | 48.2% | 11% (NHB) | No HS: 4.9%; HS: 15.8%; College or higher: 79.3% | NI | (<18.5): 1.4%; 18.5–24.9: 19.7%; 25–29.9: 22.5%; >30: 25.7% | NI |
| NI | Surgery: 51.7%; Surgery + CT: 48.2% |
| Pinto et al., 2013 [77] | U.S. | 43.5% | 2.2% (NHB) | Secondary education only: 24%; College and above: 76% | Annual income: <$39,999: 15.2%; $40,000–$59,999: 24%; >$60,000: 54.3% | 28.7 | Married: 67.4%; Divorced: 13%; Single: 15.2% |
| NI | Surgery: 100%; RT: 43.5%; CT: 82.6% |
| Van Blarigan et al., 2019 [69] | U.S. | 41% | 2% (NHB), 12% (NH. Asian), 12% (AIAN) | College degree: 93% | NI | 28.4 (5.9) | Married: 49% |
| NI | NI |
| Van Vulpen et al., 2016 * [70] | The Netherlands | 64% | NI | Low: 12%; Medium: 33%; High: 52%; Unknown: 3% | NI | 26.3 | Couple: 70%; Single: 27.3%; Unknown: 2.7% |
| NI | Surgery: 100%; CT: 100%; RT: 91% |
| Van Waart et al., 2018 [71] | The Netherlands | 39.1% | NI | HS and less: 52.2%; College: 47.8% | NI | 24.1 | Married: 69.6%; Not married: 30.4% |
| Unspecified: 65.2% | Surgery: 52.2%; RT: 4.4%; CT: 100% |
| Brown et al., 2018 [78] | USA | 38% | 12% (NHB), 5% (NH. Other) | High School or Less: 18%; Some College: 20%; College Degree & more: 62%; | NI | 30.3 | NI |
| HTN: 33%; HLD: 15%; Diabetes (type II): 13%; CVD: 10% | NI |
| Carli et al., 2020 [79] | Canada | 47.3% | NI | NI | NI | 26 | NI |
| Diabetes (II): 36.4%; HTN: 64.5%; CVD: 32%; Atrial fibrillation: 12.7%; OSA: 9%; COPD: 10%; Arthritis: 34.5%; Dyslipidemia 49.1%; hypothyroidism: 20.9%; Asthma: 7.3% | Surgery: 100%; CT: 11.8% |
| Christensen et al., 2019 * [81] | Denmark | 46% | NI | NI | NI | 27.9 (4.2) | NI |
| NI | CT: 54% |
| Kyung Lee et al., 2018 [72] | Republic of Korea | 48.6% | All Asians | Completed College: 43.5% | NI | 23.5 (3.2) | Married: 77.5% |
| NI | CT: 80.6%; CT + RT: 12.5% |
| Watson et al., 2015 [82] | UK | 65.9% | NI | NI | NI | NI | NI |
| NI | Surgery: 100%; RT: 12.2%; CT: 17.1% |
| Molenaar et al. 2023 * [73] | Canada, The Netherlands, Denmark, France, Italy, Spain | 55% | NI | NI | NI | NI | NI |
| Diabetes: 18.3%; cardiovascular diseases: 51.4%; pulmonary diseases: 21.5%; | NI |
| Author, Year | Exercise Intervention (L, F, I, D)
| Pre- and Post-PA by Intervention Arm, M (SD)
| Other Outcomes |
|---|---|---|---|
| Backman et al., 2014 [80] | L:10, F: 1, I: moderate, D: 60
|
| NA |
| Bourke et al., 2011 [74] | L: 12, F: 1 in the first 6 weeks, then 2 in the second 6 weeks, I: 55–85% of age predicted max heart rate, D: 30
|
| ΔPA, BMI |
| Courneya et al., 2003 [83] | L: 16, F: 3–5, I: 65–75% of age-predicted max heart rate, D: 20–30
|
| ΔPA |
| Courneya et al., 2016 [75] | L: 56, F: 2, I: NI, D: NI
|
| ΔPA, Aerobic fitness |
| Demark-Wahnefried et al., 2012 [65] | L: 48, F: 5–7, I: NI, D: 15–45
|
| ΔPA |
| Hawkes et al., 2013 [66] | L: 24, F: 2, I: NI, D: NI
|
| ΔPA, BMI |
| Ji Young et al., 2019 [67] | L: 12, F: 7, I: NI, D: 30
|
| ΔPA |
| Kyung Lee et al., 2017 [68] | L: 12, F: 7, I: NI, D: 30
| VPA
| ΔPA, Upper body strength |
MPA
| |||
| Mayer et al., 2018 [76] | L: 24, F: 2, I: NI, D: NI
|
| ΔPA |
| Pinto et al., 2013 [77] | L: 12, F: 2, I: 76% of maximum heart rate, D: 10
|
| ΔPA, Aerobic fitness |
| Van Blarigan et al., 2019 [69] | L: 12, F: 2–3, I: NI, D: 30
|
| ΔPA |
| Van Vulpen et al., 2016 * [70] | L: 18, F: 2 supervised and two unsupervised, I: 45–75% maximum heart rate, D: 60 for supervised and 30 for unsupervised
|
| ΔPA |
| Van Waart et al., 2018 [71] | L: 24, F: 5, I: 30, D: NI
|
| ΔPA, Upper and lower body strength |
| Brown et al., 2018 [78] | L: 24, F: NI, I: 50–70% maximum heart rate, D: NI
|
| ΔPA, BMI |
Low dose
| |||
High dose
| |||
| Carli et al., 2020 [79] | L: 4, F: 1, I: NI, D: 60
|
| ΔPA |
| Christensen et al., 2019 * [81] | L: 12, F: NI, I: NI, D: NI
| The intervention group reported 1546 (23) minutes/week, and tracking data from the InterWalk application, on average, registered 119 (15) minutes/week | ΔPA |
| Kyung Lee et al., 2018 [72] | L: 6, F: 7, I: NI, D: 30
| VPA
| ΔPA, BMI, Upper and lower body strength |
MPA
| |||
| Watson et al., 2015 [82] | L: 8–12, F: 1–2, I: NI, D: 60–90
|
| ΔPA |
| Molenaar et al. 2023 * [73] | L:4; F:3; I: Aerobic (85–90%), Strength (65–70%); D:60.
| NI | ΔPhysical function, VO2 |
Disclaimer/Publisher’s Note: The statements, opinions and data contained in all publications are solely those of the individual author(s) and contributor(s) and not of MDPI and/or the editor(s). MDPI and/or the editor(s) disclaim responsibility for any injury to people or property resulting from any ideas, methods, instructions or products referred to in the content. |
© 2025 by the authors. Licensee MDPI, Basel, Switzerland. This article is an open access article distributed under the terms and conditions of the Creative Commons Attribution (CC BY) license (https://creativecommons.org/licenses/by/4.0/).
Share and Cite
Mbous, Y.P.V.; Mohamed, R.; Kelley, G.A.; Kelly, K.M. A Systematic Review and Meta-Analysis of Physical Activity Interventions in Colorectal Cancer Survivors: An Evidence Evaluation Attempt Across Racial/Ethnic Groups. Healthcare 2025, 13, 3198. https://doi.org/10.3390/healthcare13243198
Mbous YPV, Mohamed R, Kelley GA, Kelly KM. A Systematic Review and Meta-Analysis of Physical Activity Interventions in Colorectal Cancer Survivors: An Evidence Evaluation Attempt Across Racial/Ethnic Groups. Healthcare. 2025; 13(24):3198. https://doi.org/10.3390/healthcare13243198
Chicago/Turabian StyleMbous, Yves Paul Vincent, Rowida Mohamed, George A. Kelley, and Kimberly Michelle Kelly. 2025. "A Systematic Review and Meta-Analysis of Physical Activity Interventions in Colorectal Cancer Survivors: An Evidence Evaluation Attempt Across Racial/Ethnic Groups" Healthcare 13, no. 24: 3198. https://doi.org/10.3390/healthcare13243198
APA StyleMbous, Y. P. V., Mohamed, R., Kelley, G. A., & Kelly, K. M. (2025). A Systematic Review and Meta-Analysis of Physical Activity Interventions in Colorectal Cancer Survivors: An Evidence Evaluation Attempt Across Racial/Ethnic Groups. Healthcare, 13(24), 3198. https://doi.org/10.3390/healthcare13243198

