Assessment Tools and Psychosocial Consequences of Smartphone Addiction in Nursing Students: A Systematic Review and Meta-Analysis
Abstract
1. Introduction
2. Materials and Methods
2.1. Study Design
2.2. Information Sources and Search Strategy
2.3. Eligibility Criteria
2.4. Study Selection and Data Extraction
2.5. Risk of Bias Assessment
2.6. Data Analysis
3. Results
3.1. Search Results and Study Selection Process
3.2. Characteristics of the Included Studies
3.3. Assessment Tools Used
3.4. Psychological Impact
3.5. Academic Impact
3.6. Meta-Analysis Results
3.7. Risk of Bias Assessment
4. Discussion
4.1. Assessment Tools Used to Measure Smartphone Addiction
4.2. Meta-Analytic Findings and Methodological Considerations
4.3. Psychosocial, Academic, and Clinical Correlates of Smartphone Addiction
4.4. Limitations of the Evidence Base and Review Process
4.5. Implications for Practice and Future Research
5. Conclusions
Supplementary Materials
Author Contributions
Funding
Institutional Review Board Statement
Informed Consent Statement
Data Availability Statement
Acknowledgments
Conflicts of Interest
Abbreviations
| Abbreviation | Definition |
| CINAHL | Cumulative Index to Nursing and Allied Health Literature |
| CI | Confidence Interval |
| FoMO | Fear of Missing Out |
| I2 | Higgins’ heterogeneity index |
| JBI | Joanna Briggs Institute |
| NMP-Q | Nomophobia Questionnaire |
| PSQI | Pittsburgh Sleep Quality Index |
| PRISMA | Preferred Reporting Items for Systematic Reviews and Meta-Analyses |
| PROSPERO | International Prospective Register of Systematic Reviews |
| SAS | Smartphone Addiction Scale |
| SAS-SV | Smartphone Addiction Scale–Short Version |
References
- Kalal, N.; Sabari Vel, N.; Angmo, S.; Choyal, S.; Bishnoi, S.; Dhaka, S.; Rulaniya, S.; Banswal, S. Smartphone Addiction and Its Impact on Quality of Sleep and Academic Performance among Nursing Students. Institutional Based Cross-Sectional Study in Western Rajasthan (India). Investig. Educ. Enferm. 2023, 41, 1–12. [Google Scholar] [CrossRef]
- Cho, S.; Lee, E. Distraction by Smartphone Use during Clinical Practice and Opinions about Smartphone Restriction Policies: A Cross-Sectional Descriptive Study of Nursing Students. Nurse Educ. Today 2016, 40, 128–133. [Google Scholar] [CrossRef]
- Alsayed, S.; Bano, N.; Alnajjar, H. Evaluating Practice of Smartphone Use Among University Students in Undergraduate Nursing Education. Health Prof. Educ. 2020, 6, 238–246. [Google Scholar] [CrossRef]
- Busch, P.A.; McCarthy, S. Antecedents and Consequences of Problematic Smartphone Use: A Systematic Literature Review of an Emerging Research Area. Comput. Hum. Behav. 2021, 114, 106414. [Google Scholar] [CrossRef]
- Yildirim, C.; Correia, A.-P. Exploring the Dimensions of Nomophobia: Development and Validation of a Self-Reported Questionnaire. Comput. Hum. Behav. 2015, 49, 130–137. [Google Scholar] [CrossRef]
- King, A.L.S.; Valença, A.M.; Nardi, A.E. Nomophobia: The Mobile Phone in Panic Disorder with Agoraphobia: Reducing Phobias or Worsening of Dependence? Cogn. Behav. Neurol. 2010, 23, 52. [Google Scholar] [CrossRef]
- Ghosh, T.; Sarkar, D.; Sarkar, K.; Dalai, C.K.; Ghosal, A. A Study on Smartphone Addiction and Its Effects on Sleep Quality among Nursing Students in a Municipality Town of West Bengal. J. Fam. Med. Prim. Care 2021, 10, 378–386. [Google Scholar] [CrossRef] [PubMed]
- Yatmaz, G.; Razı, G.S.; Kublay, G. Problematic Smartphone Use in Nursing Students and Its Relationship with Life Goals. Perspect. Psychiatr. Care 2022, 58, 1333–1340. [Google Scholar] [CrossRef]
- Mohamed, S.M.; Mostafa, M.H. Impact of Smartphone Addiction on Depression and Self-esteem among Nursing Students. Nurs. Open 2020, 7, 1346–1353. [Google Scholar] [CrossRef]
- Bilgic, S.; Aktas, A.; Atila, M.; Masalci, I. Smartphone Addiction and Peer Relations in Nursing Students. Int. J. Caring Sci. 2023, 16, 1386–1393. [Google Scholar]
- Çelebi, E. Level of Smartphone Addiction, Sleep Quality and Affecting Factors in University Students: A Cross-Sectional Study. Turk. Klin. J. Nurs. Sci. 2023, 15, 831–840. [Google Scholar] [CrossRef]
- Demiralp, M.; Öksüz, E.; Aksu, M.; Sarikoc, G.; Tuzer, H.; Mersin, S. Does the Smartphone Use Affect the Determination of Daily Goals: A Nursing Students’ Example? Perspect. Psychiatr. Care 2021, 57, 635–641. [Google Scholar] [CrossRef] [PubMed]
- Bajamal, E.; Timraz, S.M.; Al Syed, S.; Bajbeir, E.; Binali, W. The Relationship Between Smartphone Overuse and Academic Achievement Among Undergraduate Nursing Students. Cureus J. Med. Sci. 2023, 15, 48340. [Google Scholar] [CrossRef]
- Candussi, C.J.; Kabir, R.; Sivasubramanian, M. Problematic Smartphone Usage, Prevalence and Patterns among University Students: A Systematic Review. J. Affect. Disord. Rep. 2023, 14, 100643. [Google Scholar] [CrossRef]
- Çobanoğlu, A.; Bahadir-Yilmaz, E.; Kiziltan, B. The Relationship between Nursing Students’ Digital and Smartphone Addiction Levels and Nomophobia: A Descriptive, Correlational Study. Perspect. Psychiatr. Care 2021, 57, 1727–1734. [Google Scholar] [CrossRef]
- Akturk, U.; Budak, F. The Correlation Between the Perceived Social Support of Nursing Students and Smartphone Addiction. Int. J. Caring Sci. 2019, 12, 1825–1836. [Google Scholar]
- Ayar, D.; Gürkan, K.P. The Effect of Nursing Students’ Smartphone Addiction and Phubbing Behaviors on Communication Skill. Comput. Inform. Nurs. CIN 2021, 40, 230–235. [Google Scholar] [CrossRef]
- Sánchez Costas, I. Adaptación y Validación de La Escala SAS (Smartphone Addiction Scale) En Adolescentes Españoles y Factores Asociados al Uso de Las Nuevas Tecnologías. Universidad de Murcia. 2021. Available online: https://digitum.um.es/digitum/handle/10201/110001 (accessed on 14 May 2024).
- Page, M.J.; McKenzie, J.E.; Bossuyt, P.M.; Boutron, I.; Hoffmann, T.C.; Mulrow, C.D.; Shamseer, L.; Tetzlaff, J.M.; Akl, E.A.; Brennan, S.E.; et al. The PRISMA 2020 Statement: An Updated Guideline for Reporting Systematic Reviews. BMJ 2021, 372, n71. [Google Scholar] [CrossRef]
- Tastan, S.; Tastan, B.; Ayhan, H.; Iyigun, E.; Kose, G.; Tekaut, A. Relationship between Nursing Students’ Smartphone Addiction and Interaction Anxiety: A Descriptive Relation-Seeker Type Study. Perspect. Psychiatr. Care 2021, 57, 1922–1928. [Google Scholar] [CrossRef]
- Celikkalp, U.; Bilgic, S.; Temel, M.; Varol, G. The Smartphone Addiction Levels and the Association with Communication Skills in Nursing and Medical School Students. J. Nurs. Res. 2020, 28, e93. [Google Scholar] [CrossRef]
- Aromataris, E.; Lockwood, C.; Porritt, K.; Pilla, B.; Jordan, Z. (Eds.) JBI Manual for Evidence Synthesis; JBI: Adelaide Australia, 2024; Available online: https://jbi-global-wiki.refined.site/space/MANUAL/355599504/Downloadable+PDF+-+current+version (accessed on 14 May 2024).
- Bayir, B.; Topbas, T. The Effect of Technology Addiction Training given to Nursing Students on the Perspectives and Addiction Levels of Students. Arch. Psychiatr. Nurs. 2023, 45, 152–157. [Google Scholar] [CrossRef]
- The Jamovi Project (2025). Jamovi (Version 2.6) [Computer Software]. Available online: https://www.jamovi.org (accessed on 14 May 2024).
- Cho, S.; Lee, E. Development of a Brief Instrument to Measure Smartphone Addiction Among Nursing Students. CIN-Comput. Inform. Nurs. 2015, 33, 216–224. [Google Scholar] [CrossRef] [PubMed]
- Rodriguez-Almagro, J.; Prado-Laguna, M.d.C.; Hernandez-Martinez, A.; Monzon-Ferrer, A.; Munoz-Camargo, J.C.; Martin-Lopez, M. The Impact on Nursing Students of Creating Audiovisual Material through Digital Storytelling as a Teaching Method. Int. J. Environ. Res. Public. Health 2021, 18, 694. [Google Scholar] [CrossRef]
- Zhou, Z.; Liu, H.; Zhang, D.; Wei, H.; Zhang, M.; Huang, A. Mediating Effects of Academic Self-Efficacy and Smartphone Addiction on the Relationship between Professional Attitude and Academic Burnout in Nursing Students: A Cross-Sectional Study. Nurse Educ. Today 2022, 116, 105471. [Google Scholar] [CrossRef] [PubMed]
- Barzegari, S.; Arpaci, I.; Ranjbar, A.Z.; Afrooz, E.; Ghazisaeedi, M. Persian Version of the Smartphone Addiction Inventory (SPAI-PV): Psychometric Evidence of Validity and Reliability. Int. J. Ment. Health Addict. 2023, 21, 1378–1389. [Google Scholar] [CrossRef]
- Berdida, D.J.E.; Grande, R.A.N. Nursing Students’ Nomophobia, Social Media Use, Attention, Motivation, and Academic Performance: A Structural Equation Modeling Approach. Nurse Educ. Pract. 2023, 70, 103645. [Google Scholar] [CrossRef]
- Catiker, A.; Buyuksoy, G.D.B.; Ozdil, K. Is There a Relationship between Nursing Students’ Smartphone Use, Their Fear of Missing out and Their Care-Related Behaviour? Nurse Educ. Pract. 2021, 54, 103111. [Google Scholar] [CrossRef]
- Çelik İnce, S. Relationship between Nomophobia of Nursing Students and Their Obesity and Self-esteem. Perspect. Psychiatr. Care 2021, 57, 753–760. [Google Scholar] [CrossRef]
- Cerit, B.; Çıtak Bilgin, N.; Ak, B. Relationship between Smartphone Addiction of Nursing Department Students and Their Communication Skills. Contemp. Nurse 2018, 54, 532–542. [Google Scholar] [CrossRef] [PubMed]
- Chen, D.; Zhang, Y.; Lin, J.; Pang, D.; Cheng, D.; Si, D. Factors Influencing Bedtime Procrastination in Junior College Nursing Students: A Cross-Sectional Study. BMC Nurs. 2022, 21, 1–8. [Google Scholar] [CrossRef]
- Dayapoğlu, N.; Kavurmaci, M.; Karaman, S. The Relationship between the Problematic Mobile Phone Use and Life Satisfaction, Loneliness, and Academic Performance in Nursing Students. Int. J. Caring Sci. 2016, 9, 647–652. [Google Scholar]
- El-Ashry, A.M.; El-Sayed, M.M.; Elhay, E.S.A.; Taha, S.M.; Atta, M.H.R.; Hammad, H.A.-H.; Khedr, M.A. Hooked on Technology: Examining the Co-Occurrence of Nomophobia and Impulsive Sensation Seeking among Nursing Students. BMC Nurs. 2024, 23, 1–13. [Google Scholar] [CrossRef]
- Eskin Bacaksiz, F.; Tuna, R.; Alan, H. Nomophobia, Netlessphobia, and Fear of Missing out in Nursing Students: A Cross-Sectional Study in Distance Education. Nurse Educ. Today 2022, 118, 105523. [Google Scholar] [CrossRef]
- Gutiérrez-Puertas, L.; Marquez-Hernandez, V.V.; Gutiérrez-Puertas, V.; Granados-Gamez, G.; Aguilera-Manrique, G. Interpersonal Communication, Empathy, and Stress Perceived by Nursing Students Who Use Social Networks. J. Adv. Nurs. 2020, 76, 2610–2617. [Google Scholar] [CrossRef]
- Gutiérrez-Puertas, L.; Márquez-Hernández, V.V.; São-Romão-Preto, L.; Granados-Gámez, G.; Gutiérrez-Puertas, V.; Aguilera-Manrique, G. Comparative Study of Nomophobia among Spanish and Portuguese Nursing Students. Nurse Educ. Pract. 2019, 34, 79–84. [Google Scholar] [CrossRef]
- Han, J.H.; Park, S.-J.; Kim, Y. Phubbing as a Millennials’ New Addiction and Relating Factors Among Nursing Students. Psychiatry Investig. 2022, 19, 135–145. [Google Scholar] [CrossRef]
- İlter, S.M.; Ovayolu, Ö. The Relations between the Alexithymia Levels and Social Media Addictions of Nursing Students. Perspect. Psychiatr. Care 2022, 58, 2330–2336. [Google Scholar] [CrossRef]
- Jose, S.; Cyriac, M.C.; Sebastian, S.; Lidiyamol, P.V.; Dhandapani, M. Impact of Problematic Mobile Phone Use among Nursing Students in India: Exploring Associations with Depression, Insomnia, Self-Esteem and Satisfaction with Life. Int. J. Nurs. Pract. 2024, 30, e13247. [Google Scholar] [CrossRef]
- Kargın, M.; Türkben Polat, H.; Coşkun Şimşek, D. Evaluation of Internet Addiction and Fear of Missing out among Nursing Students. Perspect. Psychiatr. Care 2020, 56, 726–731. [Google Scholar] [CrossRef]
- Khatgaonkar, C.; Sayyad, W.; Mali, D.; Ramesh, S.; Mistry, M. Smartphone Usage and Its Addiction among Undergraduate Nursing Students. Indian J. Forensic Med. Toxicol. 2020, 14, 3838–3843. [Google Scholar]
- Lee, S.; Kim, H.-J.; Ghoi, H.-G.; Yoo, Y.S. Smartphone Addiction and Interpersonal Competence of Nursing Students. Iran. J. Public Health 2018, 47, 342–349. [Google Scholar]
- Lee, W.L.; Rambiar, P.N.I.M.S.; Rosli, N.Q.B.; Nurumal, M.S.; Abdullah, S.S.S.; Danaee, M. Impact of Increased Digital Use and Internet Gaming on Nursing Students’ Empathy: A Cross-Sectional Study. Nurse Educ. Today 2022, 119, 105563. [Google Scholar] [CrossRef]
- Lobo, L.; Évora, Y.; Santos, A.; Gouveia, M.; Andrade, E. Factors Associated with Smartphone Addiction in Nursing Students. Texto Contexto—Enferm. 2022, 31, e20210045. [Google Scholar] [CrossRef]
- Machado, J.; Pai, R.R.; Kotian, R. The Pattern of Smartphone Usage, Smartphone Addiction, and Associated Subjective Health Problems Associated with Smartphone Use among Undergraduate Nursing Students. J. Educ. Health Promot. 2023, 12, 49. [Google Scholar] [CrossRef]
- Mancheri, H.; Sabzi, Z.; Royani, Z.; Talebi, Z.; Sadeghian, S. Effects of Cyberspace Addiction on Academic Performance of Nursing and Midwifery Students of Golestan University of Medical Sciences, Iran. J. Res. Dev. Nurs. Midwifery 2023, 20, 1–3. [Google Scholar] [CrossRef]
- Marletta, G.; Trani, S.; Rotolo, G.; Di Monte, M.C.; Sarli, L.; Artioli, G.; La Torre, P.; Pedrazzi, G. Nomophobia in Healthcare: An Observational Study between Nurses and Students. Acta Biomed. 2021, 92, e2021031. [Google Scholar]
- Márquez-Hernández, V.V.; Gutiérrez-Puertas, L.; Granados-Gámez, G.; Gutiérrez-Puertas, V.; Aguilera-Manrique, G. Problematic Mobile Phone Use, Nomophobia and Decision-Making in Nursing Students Mobile and Decision-Making in Nursing Students. Nurse Educ. Pract. 2020, 49, 102910. [Google Scholar] [CrossRef]
- Mersal, F.A.; Mohamed Abu Negm, L.M.; Fawzy, M.S.; Rajennal, A.T.; Alanazi, R.S.; Alanazi, L.O. Effect of Mobile Phone Use on Musculoskeletal Complaints: Insights From Nursing Students at Northern Border University, Arar, Saudi Arabia. Cureus 2024, 16, e57181. [Google Scholar] [CrossRef]
- Mersin, S.; İbrahimoğlu, Ö.; Saray Kılıç, H.; Bayrak Kahraman, B. Social Media Usage and Alexithymia in Nursing Students. Perspect. Psychiatr. Care 2020, 56, 401–408. [Google Scholar] [CrossRef]
- Oh, K.S.; Oh, G.S. The Effects of Smartphone Addiction on Self-Esteem and Empathy among Nursing Students. J. Adv. Res. Dyn. Control Syst. 2017, 9, 8–15. [Google Scholar]
- Ozdil, K.; Catiker, A.; Buyuksoy, G.D.B. Smartphone Addiction and Perceived Pain among Nursing Students: A Cross-Sectional Study. Psychol. Health Med. 2022, 27, 2246–2260. [Google Scholar] [CrossRef]
- Özer, D.; Şahin Altun, Ö.; Avşar, G. Investigation of the Relationship between Internet Addiction, Communication Skills and Difficulties in Emotion Regulation in Nursing Students. Arch. Psychiatr. Nurs. 2023, 42, 18–24. [Google Scholar] [CrossRef]
- Savci, A.; Damar, H.T.; Comez, S.; Bilik, O. Effects of Smartphone Addiction and Cyberloafing Behaviour of Nursing Students on Their Clinical Decision-Making during Clinical Practice. Int. J. Caring Sci. 2021, 14, 534–542. [Google Scholar]
- Sok, S.R.; Seong, M.H.; Ryu, M.H. Differences of Self-Control, Daily Life Stress, and Communication Skills between Smartphone Addiction Risk Group and General Group in Korean Nursing Students. Psychiatr. Q. 2019, 90, 1–9. [Google Scholar] [CrossRef]
- Sönmez, M.; Gürlek Kısacık, Ö.; Eraydın, C. Correlation between Smartphone Addiction and Loneliness Levels in Nursing Students. Perspect. Psychiatr. Care 2021, 57, 82–87. [Google Scholar] [CrossRef]
- Tárrega-Piquer, I.; Valero-Chillerón, M.J.; González-Chordá, V.M.; Llagostera-Reverter, I.; Cervera-Gasch, Á.; Andreu-Pejo, L.; Pérez-Cantó, V.; Ortíz-Mallasén, V.; Blasco-Palau, G.; Mena-Tudela, D. Nomophobia and Its Relationship with Social Anxiety and Procrastination in Nursing Students: An Observational Study. Nurs. Rep. 2023, 13, 1695–1705. [Google Scholar] [CrossRef]
- Turan, N.; Durgun, H.; Kaya, H.; Aştı, T.; Yilmaz, Y.; Gündüz, G.; Kuvan, D.; Ertaş, G. Relationship between Nursing Students’ Levels of Internet Addiction, Loneliness, and Life Satisfaction. Perspect. Psychiatr. Care 2020, 56, 598–604. [Google Scholar] [CrossRef]
- Turan, G.B.; Özer, Z.; Atan, G. The Relationship between Cyberloafing Levels and Social Media Addiction among Nursing Students. Perspect. Psychiatr. Care 2021, 57, 836–843. [Google Scholar] [CrossRef]
- Uzuncakmak, T.; Ayaz-Alkaya, S.; Akca, A. Prevalence and Predisposing Factors of Smartphone Addiction, Sleep Quality and Daytime Sleepiness of Nursing Students: A Cross-Sectional Design. Nurse Educ. Pract. 2022, 65, 103478. [Google Scholar] [CrossRef]
- Yaman Aktaş, Y.; Karabulut, N.; Arslan, B. Digital Addiction, Academic Performance, and Sleep Disturbance among Nursing Students. Perspect. Psychiatr. Care 2022, 58, 1537–1545. [Google Scholar] [CrossRef]
- Zhao, F.-F. The Association of Loneliness, Mindfulness, and Optimism with Self-Directed Learning among Nursing Students in China: A Cross-Sectional Study. J. Prof. Nurs. 2022, 38, 65–73. [Google Scholar] [CrossRef]
- Kwon, M.; Kim, D.-J.; Cho, H.; Yang, S. The Smartphone Addiction Scale: Development and Validation of a Short Version for Adolescents. PLoS ONE 2013, 8, e83558. [Google Scholar] [CrossRef]
- Kwon, M.; Lee, J.; Won, W.; Park, J.; Min, J.; Hahn, C.; Gu, X.; Choi, J.; Kim, D. Development and Validation of a Smartphone Addiction Scale (SAS). PLoS ONE 2013, 8, e56936. [Google Scholar] [CrossRef]
- Kesici, A.; Fidan Tunç, N. The Development of the Digital Addiction Scale for the University Students: Reliability and Validity Study. Univers. J. Educ. Res. 2018, 6, 91–98. [Google Scholar] [CrossRef]
- Lin, Y.-H.; Chang, L.-R.; Lee, Y.-H.; Tseng, H.-W.; Kuo, T.B.J.; Chen, S.-H. Development and Validation of the Smartphone Addiction Inventory (SPAI). PLoS ONE 2014, 9, e98312. [Google Scholar] [CrossRef]
- Bianchi, A.; Phillips, J.G. Mobile Phone Problem Use Scale. 2005. Available online: https://psycnet.apa.org/doiLanding?doi=10.1037%2Ft58633-000 (accessed on 14 May 2024).
- Billieux, J.; Van der Linden, M.; Rochat, L. The role of impulsivity in actual and problematic use of the mobile phone. Appl. Cognit. Psychol. 2008, 22, 1195–1210. [Google Scholar] [CrossRef]
- Rosen, L.; Whaling, K.; Carrier, L.; Cheever, N.; Rokkum, J. The Media and Technology Usage and Attitudes Scale: An Empirical Investigation. Comput. Hum. Behav. 2013, 29, 2501–2511. [Google Scholar] [CrossRef]
- Foerster, M.; Roser, K.; Schoeni, A.; Röösli, M. Problematic Mobile Phone Use in Adolescents: Derivation of a Short Scale MPPUS-10. Int. J. Public Health 2015, 60, 277–286. [Google Scholar] [CrossRef]
- Koo, H.Y. Development of a cell phone addiction scale for korean adolescents. J. Korean Acad. Nurs. 2009, 39, 818–828. [Google Scholar] [CrossRef]





| Criterion | Inclusion | Exclusion |
|---|---|---|
| Population | Undergraduate/pre-licensure nursing students | Other health sciences students (unless nursing subgroup data extractable); midwifery-only cohorts; patient populations |
| Study design | Quantitative, analytical cross-sectional studies; quasi-experimental (baseline only) | Qualitative studies; literature reviews; editorials; opinion pieces; case reports |
| Outcomes | Smartphone addiction/problematic use assessed with validated instruments; quantitative scores or prevalence estimates reported | Non-validated tools; lack of quantitative data |
| Language | English or Spanish | Other languages |
| Time frame | Jan 2014–May 2024 | Outside the specified range |
| Meta-analysis inclusion | SAS-SV studies with complete statistical data (n, mean, SD or convertible equivalents) | Stratified data without subgroup pooling; approximated pooled means (except for sensitivity analyses) |
| Author (Year), Country | Sample Size (n) | Main Instrument(s) | Key Findings |
|---|---|---|---|
| Akturk & Budak (2019), Turkey [16] | 1049 | SAS-SV, MSPSS | Smartphone addiction was negatively correlated with perceived social support, including all subscales: family, friends, and significant others |
| Alsayed et al. (2020), Saudi Arabia [3] | 135 | Expert-validated ad hoc questionnaire | High academic use of smartphones was reported, but no significant associations were found with academic performance or health-related outcomes |
| Ayar & Gürkan (2021), Turkey [17] | 587 | SAS-SV, Phubbing Scale, Communication Skills | Communication skills were negatively associated with both smartphone addiction and phubbing behaviours, with both variables jointly explaining 60% of the variance |
| Bajamal et al. (2023), Saudi Arabia [13] | 133 | SAS-SV | No significant correlation was found between smartphone overuse and academic performance; most students reported frequent use for study purposes |
| Barzegari et al. (2023), Iran [28] | 281 | SPAI-PV, PHQ-9 | Significant positive correlation found between smartphone addiction and depression |
| Bayir & Topbas (2023), Turkey [23] | 82 | Technology Addiction Scale | Moderate addiction levels in both groups; the 10-week training had no significant effect on addiction scores |
| Berdida & Grande (2023), Philippines [29] | 835 | MSLQ, MTUAS, NMP-Q | Nomophobia was positively associated with social media use and negatively with motivation and attention, which in turn mediated its negative effect on academic performance |
| Bilgic et al. (2023), Turkey [10] | 541 | SAS-SV, PRS | Negative correlation between addiction and peer relationships |
| Catiker et al. (2021), Turkey [30] | 97 | SAS, FoMO, Care-Q | Association with FoMO and caring behaviors in accessibility and comfort |
| Çelik İnce (2021), Turkey [31] | 607 | NMP-Q, Self-Esteem Rating Scale-Short Form | Moderate nomophobia levels found; no significant correlation with self-esteem or obesity |
| Celikkalp et al. (2020), Turkey [21] | 292 | SAS-SV, Communication Skills Scale | Association with daily smartphone usage time and academic achievement |
| Cerit et al. (2018), Turkey [32] | 214 | SAS, CSS | Smartphone addiction is negatively associated with communication skills; significant effects on self-expression and non-verbal communication identified via regression analysis |
| Chen et al. (2022), China [33] | 1827 | BPS, TIPI-C, SRF-S, FPS, SQAPMPU | Problematic mobile phone use significantly predicted higher levels of bedtime procrastination, along with self-regulatory fatigue. Personality traits such as conscientiousness and neuroticism were protective, whereas extraversion was a risk factor |
| Cho & Lee (2016), South Korea [2] | 312 | Expert-validated questionnaire (use and distraction) | 46.2% used smartphones during clinical practice; 24.7% felt distracted |
| Çobanoğlu et al. (2021), Turkey [15] | 215 | SAS-SV, DAS, NMP-Q | Significant positive correlation between addiction and nomophobia |
| Dayapoğlu et al. (2016), Turkey [34] | 353 | PMPUS, SWLS, UCLA Loneliness Scale | Problematic use negatively correlated with life satisfaction and GPA, positively with loneliness |
| Demiralp et al. (2021), Turkey [12] | 419 | SAS-SV, Daily Goals Scale | Smartphone use affects daily goal setting |
| El-Ashry et al. (2024), Egypt [35] | 1626 | NMP-Q, Impulsive Sensation Seeking Scale | Moderate-to-high nomophobia levels associated with impulsivity |
| Eskin Bacaksiz et al. (2022), Turkey [36] | 802 | NMP-Q, Fırat Netlessphobia Scale, FoMO Scale | Moderate correlation between nomophobia and netlessphobia; FoMO also correlates |
| Ghosh et al. (2021), India [7] | 91 | SAS, PSQI | Smartphone addiction was significantly associated with age, and poor sleep quality was common, though no significant association was found between SAS and PSQI |
| Gutiérrez-Puertas et al. (2020), Spain [37] | 135 | WANIS, PSS, ICCI, JSE | Nomophobia levels differed significantly between Spanish and Portuguese students, with Portuguese students showing higher mean scores |
| Gutiérrez-Puertas et al. (2019), Spain and Portugal [38] | 258 | NMP-Q | Nomophobia levels differed significantly between Spanish and Portuguese students, with Portuguese students showing higher mean scores |
| Han et al. (2022), South Korea [39] | 197 | SAS (proneness), ICQ, Media Multitasking Motivation, Phubbing Scale | Phubbing was positively associated with smartphone addiction and media multitasking, and negatively associated with interpersonal competence. Predictors of phubbing included lower interpersonal competence |
| İlter & Ovayolu (2022), Turkey [40] | 202 | SMAS-AF, TAS-20 | Significant correlation between addiction and alexithymia; 46% of students were fully alexithymic |
| Jose et al. (2024), India [41] | 402 | MPPUS-10, PHQ-9, ISI, SWLS, Rosenberg Self-Esteem | Severe problematic mobile phone use prevalence was 39%. It showed positive correlations with age, depression, and insomnia, and strong negative correlations with satisfaction with life and self-esteem. |
| Kalal et al. (2023), India [1] | 160 | SAS-SV, PSQI | Moderate addiction associated with poor sleep and lower academic performance |
| Kargın et al. (2020), Turkey [42] | 511 | IAT, FoMO | Positive correlation found between internet addiction and fear of missing out; 3.8% were pathological users, 29.1% at risk. Internet addiction was higher in males |
| Khatgaonkar et al. (2020), India [43] | 100 | Ad hoc questionnaire | 70% reported being addicted; 77% perceived negative effects on academic performance; 85% reported psychosocial/physical problems. Descriptive report; no detailed statistical analysis |
| Lee et al. (2018), South Korea [44] | 324 | SAI, MSPSS, K-ICQ | Positive effects of cyberspace-oriented relationships and perceived social support on interpersonal competence. Other smartphone addiction subscales showed no significant association with interpersonal competence |
| Lee et al. (2022) Malaysia [45] | 345 | DAS, IGDS9-SF, TEQ | Increased digital use and gaming correlated with lower empathy and higher callousness; digital-related emotional states also predicted lower empathy and higher callousness. |
| Lobo et al. (2022), Brazil [46] | 298 | SPAI, PSQI, AUDIT | Prevalence of smartphone addiction was 47.7%; addiction correlated with poor sleep quality, alcohol use, and daytime dysfunction |
| Machado et al. (2023), India [47] | 270 | SAS, Semi-structured questionnaire | Most students were classified as moderately addicted; no significant associations were found with age, gender, or academic level. Reported symptoms included headaches, eye strain, and sleep disturbances. |
| Mancheri et al. (2023) [48] | 234 | IAT, CPAS | Highter cell phone addiction in younger and single students; higher internet addiction among dormitory residents; no association with GPA |
| Marletta et al. (2021), Italy [49] | 244 | NMP-Q, clinical questionnaire | Nomophobia positively correlated with time spent using the smartphone; significant differences were found in usage during internships |
| Márquez-Hernández et al. (2020), Spain [50] | 124 | NMP-Q, MPPUS, MDMQ | Nomophobia was positively correlated with procrastination, hypervigilant and buck-passing decision-making styles |
| Mersal et al. (2024), Saudi Arabia [51] | 227 | SAS-SV, NMQ | Smartphone addiction was significantly associated with musculoskeletal pain in the neck, back, and wrists |
| Mersin et al. (2020), Turkey [52] | 272 | Toronto Alexithymia Scale | As time spent on social media increases, alexithymia scores and difficulty in recognizing feelings also increase |
| Mohamed & Mostafa (2020), Egypt [9] | 320 | SAS, Hamilton Depression, Self-Esteem Inventory | Positive correlation with depression and negative correlation with self-esteem |
| Oh & Oh (2017), South Korea [53] | 329 | NISA Smartphone Addiction Proneness Scale | Negative correlations between smartphone addiction and self-esteem and showed pure correlations between self-esteem and empathy |
| Ozdil et al. (2022), Turkey [54] | 259 | SAS-SV, Numeric Rating Scale (NRS) | Association smartphone addiction with higher severity of headache, ear pain, shoulder pain and lower back pain |
| Özer et al. (2023), Turkey [55] | 463 | IAS, CSS, DERS-16 | Internet addiction was negatively correlated with communication skills and positively with emotional regulation difficulties |
| Savci et al. (2021), Turkey [56] | 379 | SAS-SV, CLAS, CDMNS | Smartphone addiction positively correlated with cyberloafing and negatively correlated with clinical decision-making |
| Sok et al. (2019), South Korea [57] | 139 | Self-Control Scale, Daily Life Stress Scale, GICC | Nursing students in the smartphone addiction risk group had significantly lower self-control and higher daily life stress than the general group; no significant difference in communication skills |
| Sönmez et al. (2020), Turkey [58] | 682 | SAS-SV, UCLA Loneliness Scale | Positive correlation between smartphone addiction and loneliness |
| Tárrega-Piquer et al. (2023), Spain [59] | 308 | NMP-Q, SAQ, APS-SF | Nomophobia affected 19.5%; NMP-Q was higher with more daily use and in-class checking, inversely related to self-reported grades, not related to procrastination |
| Tastan et al. (2021), Turkey [20] | 333 | SAS-SV, Interaction Anxiousness Scale | Smartphone addiction correlated with higher social anxiety in interaction situations |
| Turan et al. (2020), Turkey [60] | 160 | IAS, UCLA, SWLS | Internet addiction was at a moderate level, no significant correlation between internet addiction, loneliness, and life satisfaction. A positive correlation was found between loneliness and life satisfaction. |
| Turan et al. (2021), Turkey [61] | 518 | SMAS, CLS | Moderate positive correlation between social media addiction and cyberloafing |
| Uzuncakmak et al. (2022), Turkey [62] | 771 | SAS-SV, PSQI, Epworth Sleepiness Scale | High smartphone addiction related to poorer sleep quality and more daytime sleepiness |
| Yaman Aktaş et al. (2022), Turkey [63] | 429 | DAS, Level 2-Sleep Disturbance | Positive correlation between digital addiction and sleep disorders |
| Yatmaz et al. (2022), Turkey [8] | 310 | SAS, Life Goals Scale | Significant relationship between mobile addiction and reduced life goal clarity |
| Zhao (2022), China [64] | 568 | FFMQ, LOT-R, Loneliness Scale, SDL Scale | Mindfulness and optimism positively associated; loneliness negatively associated with SDL |
| Zhou et al. (2022), China [27] | 1445 | SAS-SV, IPASN, ASES, ABS | Positive correlation between smartphone addiction and academic burnout |
| Authors and Year | Questionnaires or Scales Used | Number of Items | Item Format | Scoring Scale | Domains Assessed | Frequency of Use in Included Studies (k) |
|---|---|---|---|---|---|---|
| Kwon et al. (2013) [65] | Smartphone Addiction Scale–Short Version (SAS-SV) | 10 | Likert scale | 1–6 | Similar to the SAS, but shorter and easier to administer | 15 |
| Yildirim & Correia (2015) [5] | Nomophobia Questionnaire (NMP-Q) | 20 | Likert scale | 1–7 | Levels of nomophobia | 9 |
| Kwon et al. (2013) [66] | Smartphone Addiction Scale (SAS) | 33 | Likert scale | 1–6 | Levels of smartphone addiction | 6 |
| Kesici & Tunç (2018) [67] | Digital Addiction Scale (DAS) | 19 | Likert scale | 1–5 | Overuse, Non-restraint, Inhibiting the Flow of Life, Emotional State, Dependence | 3 |
| Lin et al. (2014) [68] | Smartphone Addiction Inventory (SPAI) | 26 | Likert scale | 1–4 | Levels of smartphone addiction | 2 |
| Bianchi & Phillips (2005) [69] | Mobile Phone Problematic Use Scale (MPPUS) | 27 | Likert scale | 1–10 | Assessing mobile phone addiction and problematic use | 2 |
| Billieux et al. (2008) [70] | Problematic Mobile Phone Use Questionnaire (PMPUQ) | 30 | Likert scale | 1–4 | Dependency symptoms, dangerous use, negative social/emotional consequences | 1 |
| Rosen et al. (2013) [71] | Media and Technology Usage and Attitudes Scale (MTUAS) | 60 | Likert scale | 1–5 | Attitudes towards media and technology use | 1 |
| Foerster et al. (2015) [72] | Mobile Phone Problematic Use Scale-10 (MPPUS-10) | 10 | Likert scale | 1–10 | Levels of problematic mobile phone use | 1 |
| Koo (2009) [73] | Cell Phone Addiction Scale (CPAS) | 20 | Likert scale | 1–5 | Identification of mobile phone addiction levels | 1 |
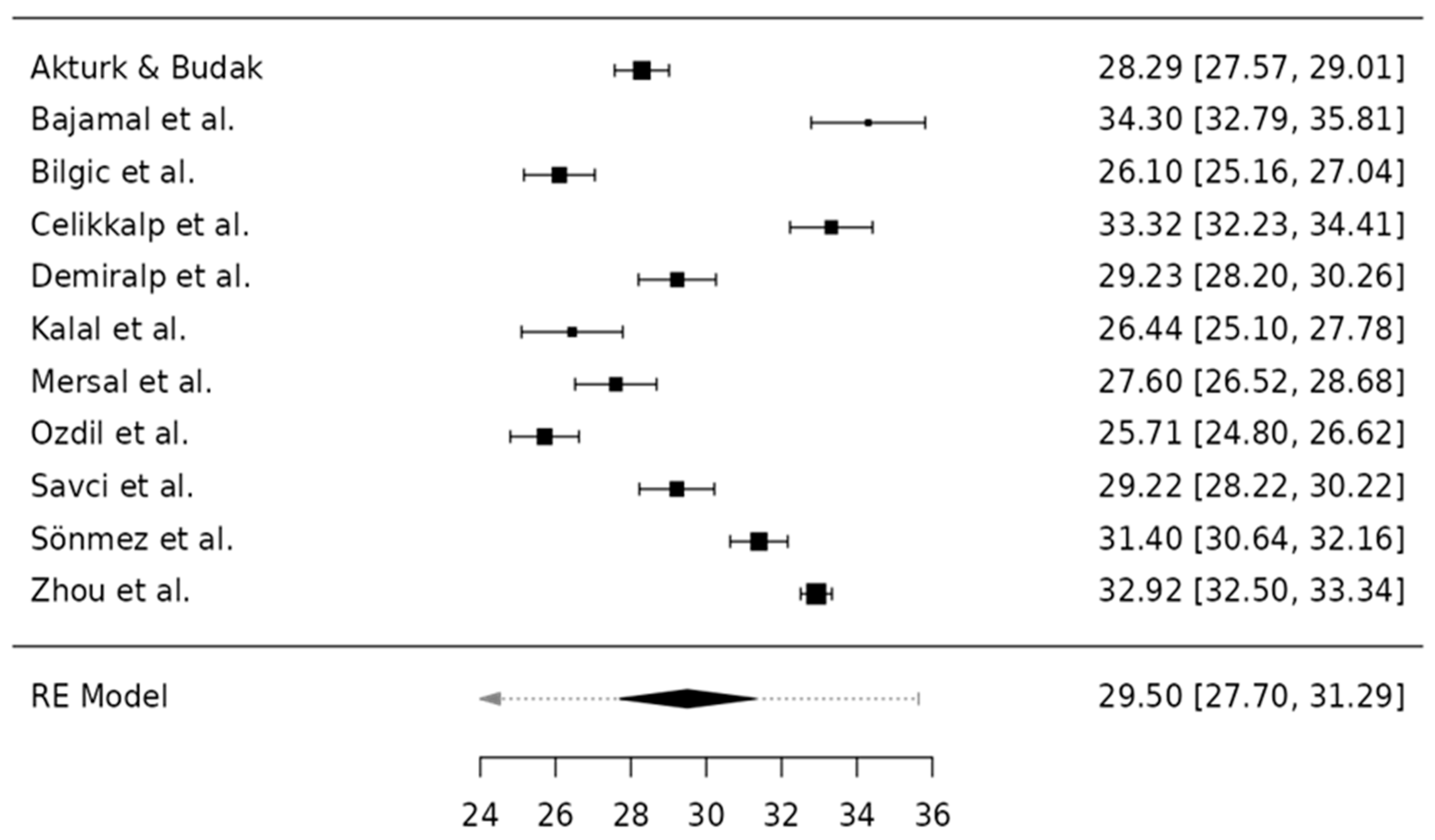
| ID | Author (Year) | Country | N | Mean (SD) | Instrument Version | Sample Demographics | Sampling Strategy | Risk of Bias (JBI) |
|---|---|---|---|---|---|---|---|---|
| 1 | Akturk & Budak [16] | Turkey | 1049 | 28.29 ± 11.92 | Turkish validated | 62.7% female, age 21.54 ± 2.27 | Census, 95.8% response | Moderate |
| 2 | Bajamal et al. [13] | Saudi Arabia | 133 | 34.30 ± 8.90 | English validated | 100% female, age 21.70 ± 1.04 | Quota, NR | Low |
| 3 | Bilgic et al. [10] | Turkey | 541 | 26.10 ± 11.16 | Turkish validated | 78.9% female, age 20.17 ± 1.75 | Census, 79.2% response | Moderate |
| 4 | Celikkalp et al. [21] | Turkey | 292 | 33.32 ± 9.54 | Turkish validated | 70.9% female, age NR | Census, 69.9% response | Moderate |
| 5 | Demiralp et al. [12] | Turkey | 419 | 29.23 ± 10.73 | Turkish validated | 87.2% female, age 19.75 ± 1.43 | Census | Moderate |
| 6 | Kalal et al. [1] | India | 160 | 26.44 ± 8.67 | English validated | 98.1% female, age 21.70 ± 1.55 | Census | Moderate |
| 7 | Mersal et al. [51] | Saudi Arabia | 227 | 27.60 ± 8.30 | Language NR | 62.6% female, age 19.33 ± 1.19 | Convenience, 53.4% response | Low |
| 8 | Ozdil et al. [54] | Turkey | 259 | 25.71 ± 7.49 | Turkish validated | 80.7% female, age 20.29 ± 1.60 | Stratified, 61.4% response | Moderate |
| 9 | Savci et al. [56] | Turkey | 379 | 29.22 ± 9.89 | Turkish validated | 76.0% female, age 20.36 ± 1.17 | Census, 90.2% response | Low |
| 10 | Sönmez et al. [58] | Turkey | 682 | 31.40 ± 10.17 | Turkish validated | 74.5% female, age 20.76 ± 1.72 | Census, 72.1% response | Moderate |
| 11 | Zhou et al. [27] | China | 1445 | 32.92 ± 8.05 | Chinese validated | NR, age 19.65 ± 1.35 | Convenience, 96.0% response | Low |
| Statistic | Estimate (95% CI) | p-Value | Notes |
|---|---|---|---|
| Pooled mean SAS-SV | 29.50 (27.70–31.29) | <0.001 | Random-effects (REML) |
| Prediction interval | 23.36–35.64 | – | Indicates expected range in future studies |
| Heterogeneity (I2) | 97.90% | <0.001 | Very high |
| Between-study variance (τ2) | 8.97 | – | |
| Cochran’s Q | 485.20 (df = 10) | <0.001 | |
| Egger’s test | p = 0.982 | – | No evidence of small-study effects |
| Kendall’s τ | −0.018 (p = 0.94) | – | Consistent with Egger |
Disclaimer/Publisher’s Note: The statements, opinions and data contained in all publications are solely those of the individual author(s) and contributor(s) and not of MDPI and/or the editor(s). MDPI and/or the editor(s) disclaim responsibility for any injury to people or property resulting from any ideas, methods, instructions or products referred to in the content. |
© 2025 by the authors. Licensee MDPI, Basel, Switzerland. This article is an open access article distributed under the terms and conditions of the Creative Commons Attribution (CC BY) license (https://creativecommons.org/licenses/by/4.0/).
Share and Cite
Lazo-Caparrós, M.D.; Gómez-Urquiza, J.L.; González-Díaz, A.; Pérez-Conde, I.; Gómez-Torres, P.; Membrive-Jiménez, M.J. Assessment Tools and Psychosocial Consequences of Smartphone Addiction in Nursing Students: A Systematic Review and Meta-Analysis. Healthcare 2025, 13, 2639. https://doi.org/10.3390/healthcare13202639
Lazo-Caparrós MD, Gómez-Urquiza JL, González-Díaz A, Pérez-Conde I, Gómez-Torres P, Membrive-Jiménez MJ. Assessment Tools and Psychosocial Consequences of Smartphone Addiction in Nursing Students: A Systematic Review and Meta-Analysis. Healthcare. 2025; 13(20):2639. https://doi.org/10.3390/healthcare13202639
Chicago/Turabian StyleLazo-Caparrós, María Dolores, José Luis Gómez-Urquiza, Ana González-Díaz, Inmaculada Pérez-Conde, Piedad Gómez-Torres, and María José Membrive-Jiménez. 2025. "Assessment Tools and Psychosocial Consequences of Smartphone Addiction in Nursing Students: A Systematic Review and Meta-Analysis" Healthcare 13, no. 20: 2639. https://doi.org/10.3390/healthcare13202639
APA StyleLazo-Caparrós, M. D., Gómez-Urquiza, J. L., González-Díaz, A., Pérez-Conde, I., Gómez-Torres, P., & Membrive-Jiménez, M. J. (2025). Assessment Tools and Psychosocial Consequences of Smartphone Addiction in Nursing Students: A Systematic Review and Meta-Analysis. Healthcare, 13(20), 2639. https://doi.org/10.3390/healthcare13202639

