Assessing the Impact of External and Internal Factors on Emergency Department Overcrowding
Simple Summary
Abstract
1. Background and Significance
2. Materials and Methods
2.1. Study Design and Setting
2.2. Data Sources
2.3. Operationalization of Variables and Data Preprocessing
- Waiting count (dependent variable): Represents the total number of patients who arrived at the ED at a specific hour but did not start treatment.
- Treatment count: Represents the total number of patients who are being treated in the ED at a specific hour.
- Boarding count: Represents the total number of patients whose treatments in the ED have been completed and who received admission orders from their emergency physician but remain in the ED while waiting for available beds in the inpatient units at any time within the hourly interval.
- The hospital census was derived from inpatient data, representing the total number of patients that are in inpatient units at any time within the hourly interval. Temperature, humidity, wind speed, and weather status were extracted from the weather dataset. Temperature and humidity were used to calculate the heat index using the heat index equation developed by Rothfusz [33]. The Football Game and Federal Holiday variables were sourced from the “significant events” dataset. These preprocessed data were then merged based on the hourly format, resulting in a comprehensive dataset for analysis. All the variables were structured to be on an hourly basis. A descriptive analysis of the final dataset is provided in Table 1.
2.4. Outcomes
2.5. Analysis
2.6. Preliminary Analysis
2.7. Multivariate Regression Analysis
2.8. Ethics Statement
3. Results
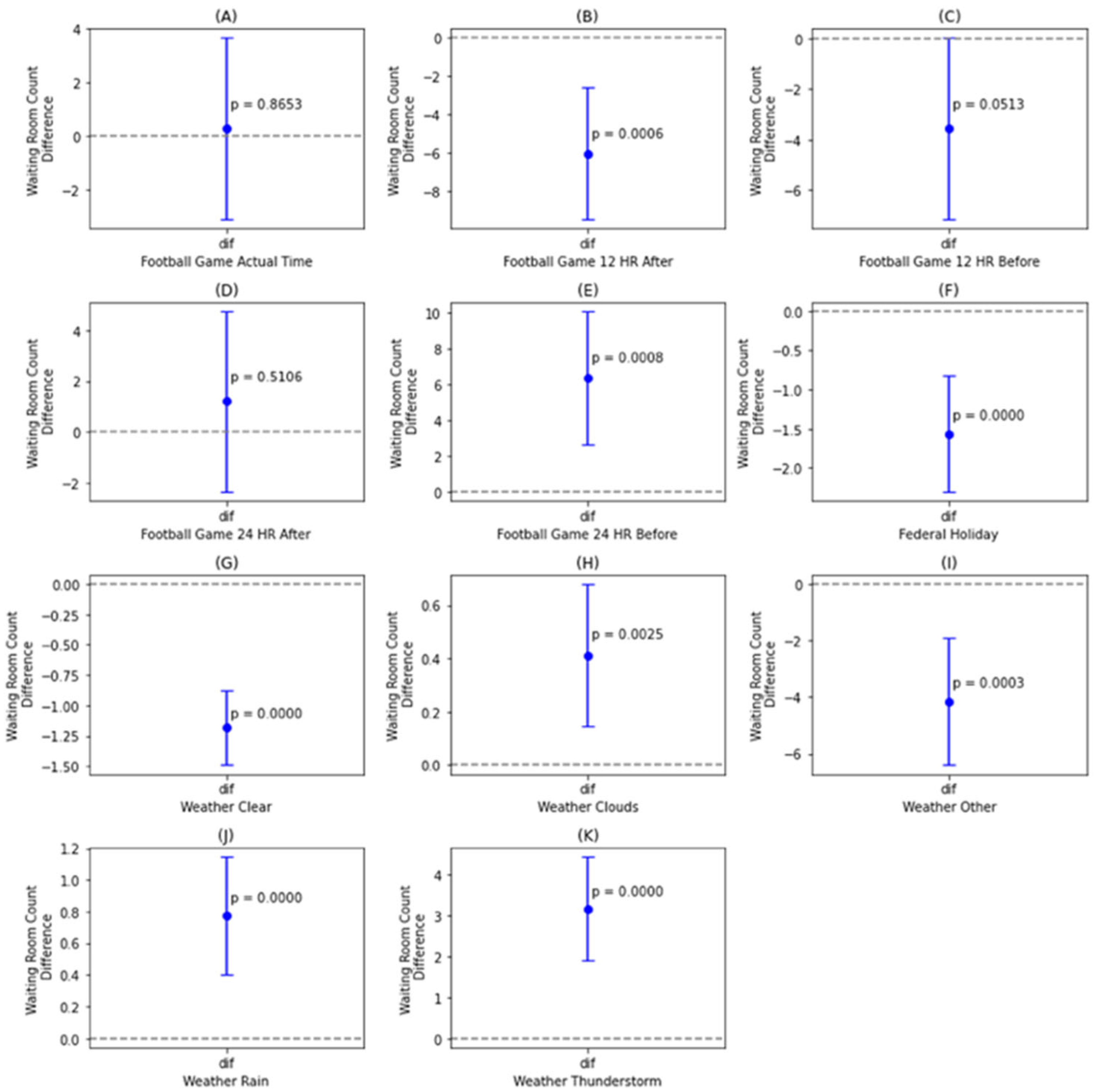
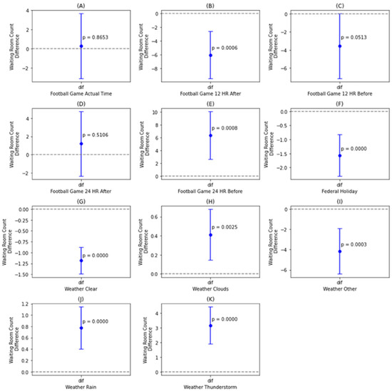
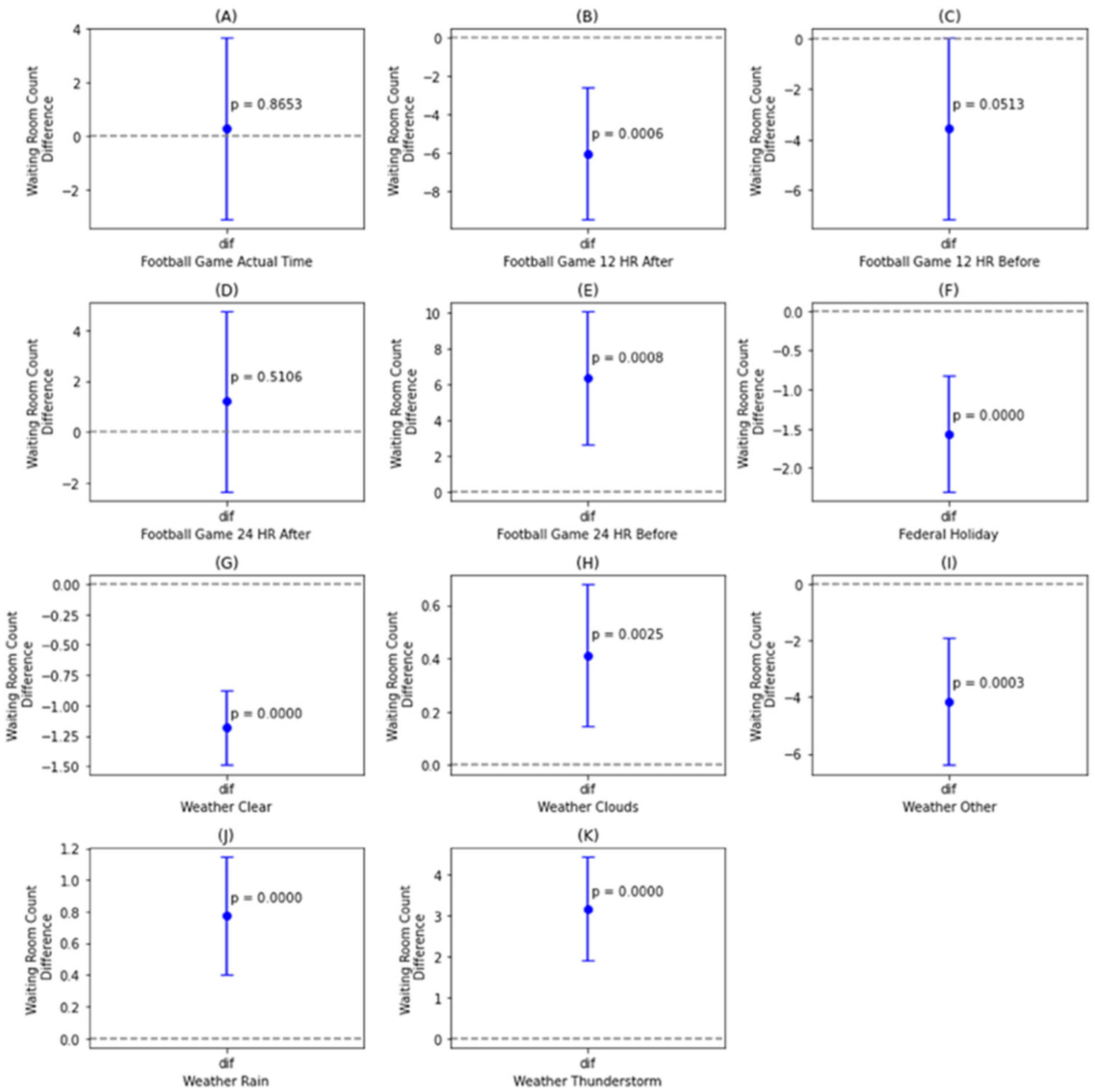
3.1. Preliminary Analysis Results
3.2. Multivariate Regression Results
4. Discussion
5. Limitations
6. Conclusions
Supplementary Materials
Author Contributions
Funding
Institutional Review Board Statement
Informed Consent Statement
Data Availability Statement
Conflicts of Interest
List of Abbreviations
| ED | Emergency Department |
| EDWIN | Emergency Department Work Index |
| NEDOCS | National Emergency Department Overcrowding Scale |
| CEDOCS | Community Emergency Department Overcrowding Scale |
| SONET | Severely Overcrowded, Overcrowded, and Not-overcrowded Estimation Tool |
| LOS | Length of Stay |
References
- Richardson, D.B.; Mountain, D. Myths versus facts in emergency department overcrowding and hospital access block. Med. J. Aust. 2009, 190, 369–374. [Google Scholar] [CrossRef] [PubMed]
- Hsuan, C.; Segel, J.E.; Hsia, R.Y.; Wang, Y.; Rogowski, J. Association of emergency department crowding with inpatient outcomes. Health Serv. Res. 2023, 58, 828–843. [Google Scholar] [CrossRef] [PubMed]
- Beniuk, K.; Boyle, A.A.; Clarkson, P.J. Emergency department crowding: Prioritising quantified crowding measures using a Delphi study. Emerg. Med. J. 2012, 29, 868–871. [Google Scholar] [CrossRef] [PubMed]
- Boyle, A.; Coleman, J.; Sultan, Y.; Dhakshinamoorthy, V.; O’Keeffe, J.; Raut, P.; Beniuk, K. Initial validation of the International Crowding Measure in Emergency Departments (ICMED) to measure emergency department crowding. Emerg. Med. J. 2015, 32, 105–108. [Google Scholar] [CrossRef]
- McCarthy, M.L.; Aronsky, D.; Jones, I.D.; Miner, J.R.; Band, R.A.; Baren, J.M.; Desmond, J.S.; Baumlin, K.M.; Ding, R.; Shesser, R. The emergency department occupancy rate: A simple measure of emergency department crowding? Ann. Emerg. Med. 2008, 51, 15–24. [Google Scholar] [CrossRef]
- Forster, A.J.; Stiell, I.; Wells, G.; Lee, A.J.; van Walraven, C. The effect of hospital occupancy on emergency department length of stay and patient disposition. Acad. Emerg. Med. 2003, 10, 127–133. [Google Scholar] [CrossRef]
- Bernstein, S.L.; Verghese, V.; Leung, W.; Lunney, A.T.; Perez, I. Development and validation of a new index to measure emergency department crowding. Acad. Emerg. Med. 2003, 10, 938–942. [Google Scholar] [CrossRef]
- Weiss, S.J.; Derlet, R.; Arndahl, J.; Ernst, A.A.; Richards, J.; Fernández-Frackelton, M.; Schwab, R.; Stair, T.O.; Vicellio, P.; Levy, D.; et al. Estimating the degree of emergency department overcrowding in academic medical centers: Results of the National ED Overcrowding Study (NEDOCS). Acad Emerg Med. 2004, 11, 38–50. [Google Scholar] [CrossRef]
- Boyle, A.; Abel, G.; Raut, P.; Austin, R.; Dhakshinamoorthy, V.; Ayyamuthu, R.; Murdoch, I.; Burton, J. Comparison of the International Crowding Measure in Emergency Departments (ICMED) and the National Emergency Department Overcrowding Score (NEDOCS) to measure emergency department crowding: Pilot study. Emerg. Med. J. 2016, 33, 307–312. [Google Scholar] [CrossRef]
- Weiss, S.J.; Rogers, D.B.; Maas, F.; Ernst, A.A.; Nick, T.G. Evaluating community ED crowding: The Community ED Overcrowding Scale study. Am. J. Emerg. Med. 2014, 32, 1357–1363. [Google Scholar] [CrossRef]
- Banks, B.; Robinson, R.; Coppola, M.; Bunch, K.; Huggins, C.; Watson, K.; White, N.; Zenarosa, N.; Delaney, K.; Wang, H. 24 Use of the SONET Score to Evaluate Emergency Department Crowding: A Comparison to the National Emergency Department Overcrowding Study Scoring Tool. Ann. Emerg. Med. 2014, 64, S10. [Google Scholar] [CrossRef][Green Version]
- Hoot, N.R.; Aronsky, D. Systematic review of emergency department crowding: Causes, effects, and solutions. Ann. Emerg. Med. 2008, 52, 126–136. [Google Scholar] [CrossRef] [PubMed]
- Asplin, B.R.; Magid, D.J.; Rhodes, K.V.; Solberg, L.I.; Lurie, N.; Camargo, C.A., Jr. A conceptual model of emergency department crowding. Ann. Emerg. Med. 2003, 42, 173–180. [Google Scholar] [CrossRef] [PubMed]
- Savioli, G.; Ceresa, I.F.; Gri, N.; Bavestrello Piccini, G.; Longhitano, Y.; Zanza, C.; Piccioni, A.; Esposito, C.; Ricevuti, G.; Bressan, M.A. Emergency Department Overcrowding: Understanding the Factors to Find Corresponding Solutions. J. Pers. Med. 2022, 12, 279. [Google Scholar] [CrossRef]
- Bittencourt, R.J.; Stevanato, A.M.; Bragança, C.T.N.M.; Gottems, L.B.D.; O’Dwyer, G. Interventions in overcrowding of emergency departments: An overview of systematic reviews. Rev. Saude Publica 2020, 54, 66. [Google Scholar] [CrossRef] [PubMed]
- Kenny, J.F.; Chang, B.C.; Hemmert, K.C. Factors affecting emergency department crowding. Emerg. Med. Clin. 2020, 38, 573–587. [Google Scholar] [CrossRef]
- Morley, C.; Unwin, M.; Peterson, G.M.; Stankovich, J.; Kinsman, L. Emergency department crowding: A systematic review of causes, consequences and solutions. PLoS ONE 2018, 13, e0203316. [Google Scholar] [CrossRef]
- Coster, J.E.; Turner, J.K.; Bradbury, D.; Cantrell, A. Why do people choose emergency and urgent care services? A rapid review utilizing a systematic literature search and narrative synthesis. Acad. Emerg. Med. 2017, 24, 1137–1149. [Google Scholar] [CrossRef]
- Uscher-Pines, L.; Pines, J.; Kellermann, A.; Gillen, E.; Mehrotra, A. Emergency department visits for nonurgent conditions: Systematic literature review. Am. J. Manag. Care 2013, 19, 47–59. [Google Scholar]
- Fatovich, D.M.; Nagree, Y.; Sprivulis, P. Access block causes emergency department overcrowding and ambulance diversion in Perth, Western Australia. Emerg. Med. J. 2005, 22, 351–354. [Google Scholar] [CrossRef]
- Schull, M.J.; Slaughter, P.M.; Redelmeier, D.A. Urban emergency department overcrowding: Defining the problem and eliminating misconceptions. Can. J. Emerg. Med. 2002, 4, 76–83. [Google Scholar] [CrossRef]
- Bair, A.E.; Song, W.T.; Chen, Y.C.; Morris, B.A. The impact of inpatient boarding on ED efficiency: A discrete-event simulation study. J. Med. Syst. 2010, 34, 919–929. [Google Scholar] [CrossRef]
- Micallef, A.; Buttigieg, S.C.; Tomaselli, G.; Garg, L. Defining delayed discharges of inpatients and their impact in acute hospital care: A scoping review. Int. J. Health Policy Manag. 2022, 11, 103. [Google Scholar] [CrossRef]
- Mataloni, F.; Pinnarelli, L.; Perucci, C.A.; Davoli, M.; Fusco, D. Characteristics of ED crowding in the Lazio Region (Italy) and short-term health outcomes. Intern. Emerg. Med. 2019, 14, 109–117. [Google Scholar] [CrossRef] [PubMed]
- Sudarshan, V.K.; Brabrand, M.; Range, T.M.; Wiil, U.K. Performance evaluation of Emergency Department patient arrivals forecasting models by including meteorological and calendar information: A comparative study. Comput. Biol. Med. 2021, 135, 104541. [Google Scholar] [CrossRef] [PubMed]
- Delany, C.; Crilly, J.; Ranse, J. Drug and alcohol related patient presentations to emergency departments during sporting mass-gathering events: An integrative review. Prehospital Disaster Med. 2020, 35, 298–304. [Google Scholar] [CrossRef] [PubMed]
- Khorram-Manesh, A.; Goniewicz, K.; Hertelendy, A.; Dulebenets, M. Handbook of Disaster and Emergency Management; Kompendiet: Göteborg, Sweden, 2021. [Google Scholar]
- History Bulk. OpenWeather. Available online: https://openweathermap.org/history-bulk (accessed on 1 May 2024).
- College Football’s 25 Highest Stadium Attendance Rates During 2024 Regular Season. 247Sports. Available online: https://247sports.com/longformarticle/college-footballs-25-highest-stadium-attendance-rates-during-2024-regular-season-242248891/ (accessed on 4 October 2025).
- College Basketball Attendance Report 2024-25. 247Sports. Available online: https://247sports.com/college/west-virginia/board/105475/contents/college-basketball-attendance-report-2024-25-239681802/ (accessed on 10 April 2025).
- 2025 Football Schedule—Alabama Athletics. UA. Available online: https://rolltide.com/sports/football/schedule (accessed on 27 January 2025).
- Federal Holidays. Management, U.S.O.o.P. Available online: https://www.opm.gov/policy-data-oversight/pay-leave/federal-holidays/ (accessed on 1 May 2024).
- Rothfusz, L.P. The Heat Index Equation (or, More Than You Ever Wanted to Know About Heat Index). 1990. Available online: https://www.weather.gov/media/ffc/ta_htindx.PDF (accessed on 4 October 2025).
- Dring, P.; Armstrong, M.; Alexander, R.; Xiang, H. Emergency department visits for heat-related emergency conditions in the United States from 2008–2020. Int. J. Environ. Res. Public Health 2022, 19, 14781. [Google Scholar] [CrossRef]
- Salas, R.N.; Burke, L.G.; Phelan, J.; Wellenius, G.A.; Orav, E.J.; Jha, A.K. Impact of extreme weather events on healthcare utilization and mortality in the United States. Nat. Med. 2024, 30, 1118–1126. [Google Scholar] [CrossRef]
- Ramgopal, S.; Dunnick, J.; Owusu-Ansah, S.; Siripong, N.; Salcido, D.D.; Martin-Gill, C. Weather and temporal factors associated with use of emergency medical services. Prehospital Emerg. Care 2019, 23, 802–810. [Google Scholar] [CrossRef]
- Jerrard, D.A. Male patient visits to the emergency department decline during the play of major sporting events. West. J. Emerg. Med. 2009, 10, 101–103. [Google Scholar]
- Hughes, H.E.; Colón-González, F.J.; Fouillet, A.; Elliot, A.J.; Caserio-Schonemann, C.; Hughes, T.C.; Gallagher, N.; Morbey, R.A.; Smith, G.E.; Thomas, D.R.; et al. The influence of a major sporting event upon emergency department attendances; A retrospective cross-national European study. PLoS ONE 2018, 13, e0198665. [Google Scholar] [CrossRef] [PubMed]
- Antkowiak, P.S.; Stenson, B.A.; Strout, T.D.; Stack, C.D.; Joseph, J.W.; Chiu, D.T.; Sanchez, L.D. A retrospective multistate analysis: Do regional football games impact emergency department patient volume? J. Am. Coll. Emerg. Physicians Open 2021, 2, e12551. [Google Scholar] [CrossRef]
- Janke, A.T.; Melnick, E.R.; Venkatesh, A.K. Hospital occupancy and emergency department boarding during the COVID-19 pandemic. JAMA Netw. Open 2022, 5, e2233964. [Google Scholar] [CrossRef]
- Kelen, G.D.; Wolfe, R.; D’Onofrio, G.; Mills, A.M.; Diercks, D.; Stern, S.A.; Wadman, M.C.; Sokolove, P.E. Emergency department crowding: The canary in the health care system. NEJM Catal. Innov. Care Deliv. 2021, 2, 10. [Google Scholar]
- Dagar, S.; Sahin, S.; Yilmaz, Y.; Durak, U. Emergency department during long public holidays. Turk. J. Emerg. Med. 2014, 14, 165–171. [Google Scholar] [CrossRef]
- Hitzek, J.; Fischer-Rosinský, A.; Möckel, M.; Kuhlmann, S.L.; Slagman, A. Influence of weekday and seasonal trends on urgency and in-hospital mortality of emergency department patients. Front. Public Health 2022, 10, 711235. [Google Scholar] [CrossRef]
- Clark, D.G.; Liang, K.E.; Cheng, I.; Ford, J.D.; Gossack-Keenan, K. Climate disaster effects on acute health care: A case study and model of the 2021 heatwave in British Columbia, Canada. Lancet Planet. Health 2025, 9, E356–E363. [Google Scholar] [CrossRef] [PubMed]
- Vecchia, C.D.; Sadik, A.; Jonah, L. Impact of climate change in emergency medicine: A narrative review. J. Public Health Emerg. 2024, 8, 11–16. [Google Scholar] [CrossRef]

| Feature | Ranges for Date/Time Variables, Average ± Standard Deviation (Range) for Numerical Variables, % for Categorical Variables, and Count for Event Variables |
|---|---|
| Month of Year | 1–12 Months |
| Day of Month | 1–31 Days |
| Day of Week | 1–7 Days |
| Hour of Day | 1–24 Hours |
| Waiting Count (Dependent Variable) | 18.23 ± 9.86 (0–59) |
| Treatment Count | 67.37 ± 23.52 (9–139) |
| Boarding Count | 45.72 ± 29.27 (3–121) |
| Hospital Census | 792.29 ± 71.66 (584–1017) |
| Heat Index | 86.2 ± 24.9 |
| Wind Speed | 2.62 ± 2.05 m/s (0–15.4) |
| Weather Status | |
| Clouds | 60.10% |
| Clear | 22.78% |
| Rain | 15.55% |
| Thunderstorm | 1.25% |
| Others | 0.33% |
| Football Game | 43 Games (across the entire date range) |
| Federal Holidays | 37 Days (across the entire date range) |
| Baseline Model | Model 2: 3 Hours Before | Model 3: 6 Hours Before | Model 4: 12 Hours After | Model 5: 24 Hours After | Model 6: Rolling Averages | Model 7: Rolling Averages 2 | |
|---|---|---|---|---|---|---|---|
| Football Game Actual Time | 0.104 | 0.140 | 0.134 | ||||
| Hospital Census | −0.003 (***) | −0.003 (***) | −0.003 (***) | ||||
| Boarding Count | 0.002 (***) | 0.002 (***) | 0.002 (***) | ||||
| Federal Holiday | −0.636 (***) | −0.448 (***) | −0.365 (***) | −0.635 (***) | −0.635 (***) | −0.409 (***) | −0.509 (***) |
| Weather Clear | 1.058 (***) | 1.059 (***) | 1.058 (***) | 0.512 (***) | 0.757 (***) | ||
| Weather Clouds | 1.064 (***) | 1.064 (***) | 1.064 (***) | 0.486 (***) | 0.740 (***) | ||
| Weather Rain | 1.004 (***) | 1.004 (***) | 1.003 (***) | 0.449 (***) | 0.691 (***) | ||
| Weather Thunderstorm | 1.182 (***) | 1.181 (***) | 1.181 (***) | 0.605 (***) | 0.877 (***) | ||
| Heat Index | −0.003 (***) | −0.002 (***) | −0.001 (***) | −0.003 (***) | −0.003 (***) | −0.002 (***) | −0.002 (***) |
| Wind Speed | 0.042 (***) | 0.042 (***) | 0.042 (***) | 0.038 (***) | 0.040 (***) | ||
| Weather Others | 0.574 (***) | 0.575 (***) | 0.575 (***) | −0.012 | 0.227 (**) | ||
| Month of year | 0.004 (*) | 0.001 | −0.002 | 0.004 (*) | 0.004 (*) | −0.002 | 0.001 |
| Day Of Month | −0.005 (***) | −0.004 (***) | −0.004 (***) | −0.005 (***) | −0.005 (***) | −0.004 (***) | −0.005 (***) |
| Hour of day | 0.072 (***) | 0.073 (***) | 0.067 (***) | 0.072 (***) | 0.072 (***) | 0.074 (***) | 0.076 (***) |
| Weekend | −0.800 (***) | −0.624 (***) | −0.554 (***) | −0.799 (***) | −0.800 (***) | −0.598 (***) | −0.677 (***) |
| Weather Clear 3 Hours Before | −0.245 | ||||||
| Weather Clouds 3 Hours Before | −0.143 | ||||||
| Weather Rain 3 Hours Before | −0.206 | ||||||
| Weather Thunderstorm 3 Hours Before | −0.188 | ||||||
| Weather Other Hours Before | −0.411 | ||||||
| Wind Speed 3 Hours Before | 0.049 (***) | ||||||
| Boarding Count 3 Hours Before | −0.002 (***) | ||||||
| Hospital Census 3 Hours Before | 0.001 (***) | ||||||
| Football Game 12 Hours Before | 0.305 (*) | ||||||
| Football Game 12 Hours After | −0.122 | ||||||
| Weather Clear 6 Hours Before | −0.736 | ||||||
| Weather Clouds 6 Hours Before | −0.566 | ||||||
| Weather Rain 6 Hours Before | −0.646 | ||||||
| Weather Thunderstorm 6 Hours Before | −0.549 | ||||||
| Weather Other Hours Before | −0.549 | ||||||
| Wind Speed 6 Hours Before | 0.034 (***) | ||||||
| Boarding Count 6 Hours Before | −0.004 (***) | ||||||
| Hospital Census 6 Hours Before | 0.003 (***) | ||||||
| Football Game 24 Hours Before | 0.207 | ||||||
| Football Game 24 Hours After | 0.146 | ||||||
| Rolling Mean Boarding Count Window Size 6 | −0.003 (***) | −0.001 (*) | |||||
| Rolling Mean Hospital Census Window Size 12 | 0.002 (***) | ||||||
| Rolling Mean Hospital Census Window Size 24 | −0.000 |
Disclaimer/Publisher’s Note: The statements, opinions and data contained in all publications are solely those of the individual author(s) and contributor(s) and not of MDPI and/or the editor(s). MDPI and/or the editor(s) disclaim responsibility for any injury to people or property resulting from any ideas, methods, instructions or products referred to in the content. |
© 2025 by the authors. Licensee MDPI, Basel, Switzerland. This article is an open access article distributed under the terms and conditions of the Creative Commons Attribution (CC BY) license (https://creativecommons.org/licenses/by/4.0/).
Share and Cite
Ahmed, A.; Aram, K.Y.; Alzeen, M.; Vural, O.; Booth, J.; Lindsey, B.F.; Ozaydin, B. Assessing the Impact of External and Internal Factors on Emergency Department Overcrowding. Healthcare 2025, 13, 2577. https://doi.org/10.3390/healthcare13202577
Ahmed A, Aram KY, Alzeen M, Vural O, Booth J, Lindsey BF, Ozaydin B. Assessing the Impact of External and Internal Factors on Emergency Department Overcrowding. Healthcare. 2025; 13(20):2577. https://doi.org/10.3390/healthcare13202577
Chicago/Turabian StyleAhmed, Abdulaziz, Khalid Y. Aram, Mohammed Alzeen, Orhun Vural, James Booth, Brittany F. Lindsey, and Bunyamin Ozaydin. 2025. "Assessing the Impact of External and Internal Factors on Emergency Department Overcrowding" Healthcare 13, no. 20: 2577. https://doi.org/10.3390/healthcare13202577
APA StyleAhmed, A., Aram, K. Y., Alzeen, M., Vural, O., Booth, J., Lindsey, B. F., & Ozaydin, B. (2025). Assessing the Impact of External and Internal Factors on Emergency Department Overcrowding. Healthcare, 13(20), 2577. https://doi.org/10.3390/healthcare13202577

