Recovery Time of Electrical Sensory, Motor, and Pain Thresholds: A Pilot Study Towards Standardization of Quantitative Sensory Testing in Healthy Population
Abstract
1. Introduction
2. Materials and Methods
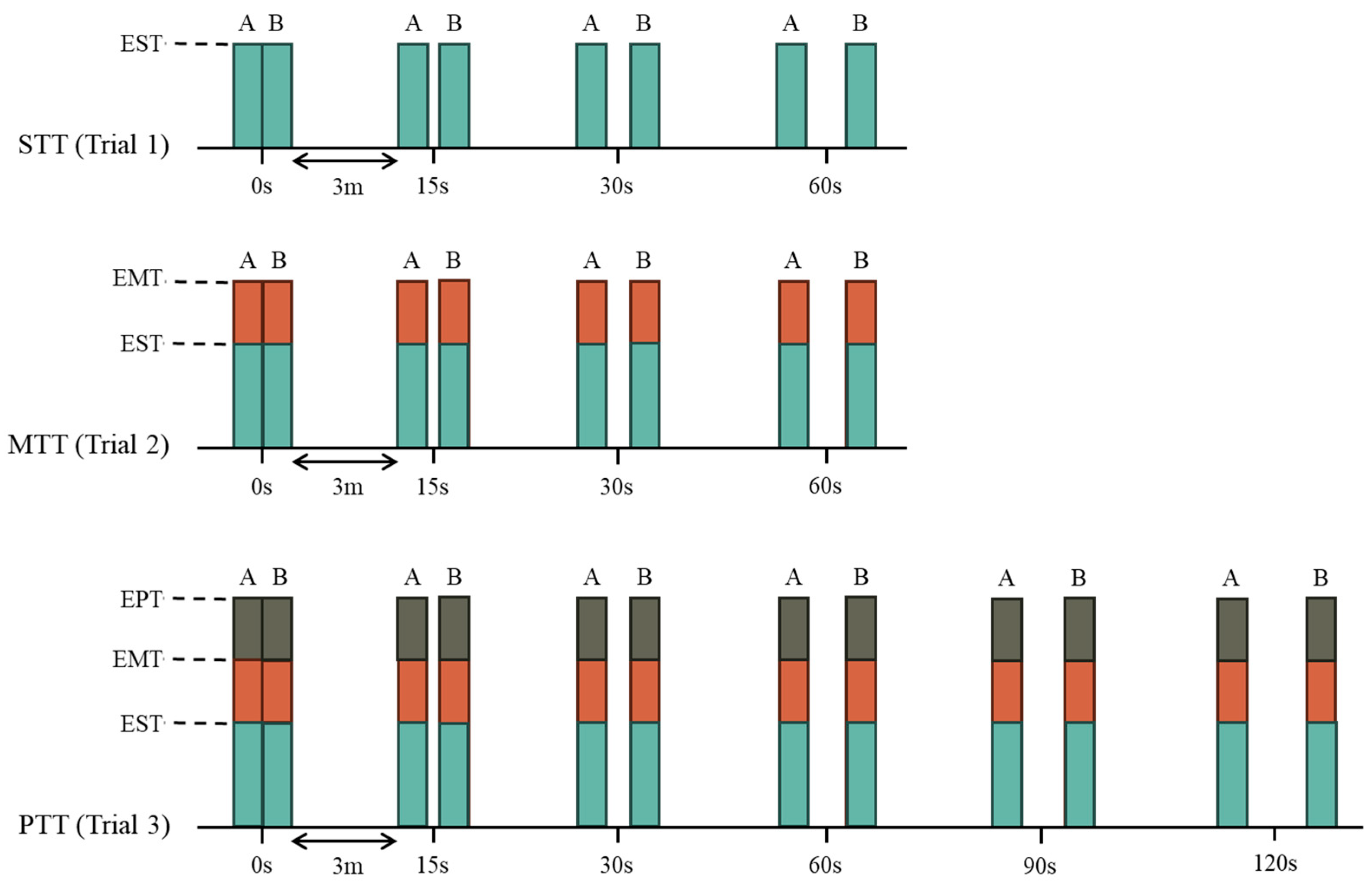
2.1. Study Design
2.2. Participants
2.3. Electrical Threshold Testing
2.4. Assessment Procedure
2.5. Statistical Analysis
3. Results
3.1. Descriptive Analysis of the Sample
3.2. Sensory Threshold Testing
3.3. Motor Threshold Testing
3.4. Pain Threshold Testing
4. Discussion
5. Conclusions
Author Contributions
Funding
Institutional Review Board Statement
Informed Consent Statement
Data Availability Statement
Conflicts of Interest
Abbreviations
| QST | Quantitative Sensory Testing |
| EST | Electrical Sensory Threshold |
| EMT | Electrical Motor Threshold |
| EPT | Electrical Pain Threshold |
| ETT | Electrical Threshold Testing |
| CEICA | Research Ethics Committee of the Autonomous Community of Aragón |
| CUSTOS | Data Protection Unit of the University of Zaragoza |
| STT | Sensory Threshold Test |
| MTT | Motor Threshold Test |
| PTT | Pain Threshold Test |
| ICCs | Intraclass Correlation Coefficients |
References
- Rolke, R.; Baron, R.; Maier, C.; Tölle, T.R.; Treede, D.R.; Beyer, A.; Binder, A.; Birbaumer, N.; Birklein, F.; Bötefür, I.C.; et al. Quantitative Sensory Testing in the German Research Network on Neuropathic Pain (DFNS): Standardized Protocol and Reference Values. Pain 2006, 123, 231–243. [Google Scholar] [CrossRef]
- Amir, C.; Rose-McCandlish, M.; Weger, R.; Dildine, T.C.; Mischkowski, D.; Necka, E.A.; Lee, I.-S.; Wager, T.D.; Pine, D.S.; Atlas, L.Y. Test-Retest Reliability of an Adaptive Thermal Pain Calibration Procedure in Healthy Volunteers. J. Pain 2022, 23, 1543–1555. [Google Scholar] [CrossRef]
- O’Neill, S.; O’Neill, L. Improving QST Reliability-More Raters, Tests, or Occasions? A Multivariate Generalizability Study. J. Pain 2015, 16, 454–462. [Google Scholar] [CrossRef]
- Marcuzzi, A.; Wrigley, P.J.; Dean, C.M.; Adams, R.; Hush, J.M. The Long-Term Reliability of Static and Dynamic Quantitative Sensory Testing in Healthy Individuals. Pain 2017, 158, 1217–1223. [Google Scholar] [CrossRef]
- Hughes, S.W.; Basra, M.; Chan, C.; Parr, C.; Wong, F.; Gomes, S.; Strutton, P.H. Capsaicin-Induced Changes in Electrical Pain Perception Threshold Can Be Used to Assess the Magnitude of Secondary Hyperalgesia in Humans. Pain Med. 2020, 21, 2830–2838. [Google Scholar] [CrossRef]
- Cruz-Almeida, Y.; Fillingim, R.B. Can Quantitative Sensory Testing Move Us Closer to Mechanism-Based Pain Management? Pain Med. 2014, 15, 61–72. [Google Scholar] [CrossRef]
- Vuilleumier, P.H.; Biurrun Manresa, J.A.; Ghamri, Y.; Mlekusch, S.; Siegenthaler, A.; Arendt-Nielsen, L.; Curatolo, M. Reliability of Quantitative Sensory Tests in a Low Back Pain Population. Reg. Anesth. Pain Med. 2015, 40, 665–673. [Google Scholar] [CrossRef]
- Costa, E.; Roth, F.; Pauli, G.; Gozzblr, V.; Anguera, M.; Bertolini, G. Accommodation and Pleasantness of Different Forms of Transcutaneous Electrical Nerve Stimulation in Individuals with Nonspecific Lumbar Pain. Int. Phys. Med. Rehabil. J. 2018, 4, 62–64. [Google Scholar] [CrossRef]
- Machi, A.; Patel, A.; Ottestad, E. Nerve Stimulation and Neuromodulation for Painful Nerves: A Narrative Review. Int. Orthop. 2025, 49, 989–996. [Google Scholar] [CrossRef] [PubMed]
- Castelo-Branco, L.; Cardenas-Rojas, A.; Rebello-Sanchez, I.; Pacheco-Barrios, K.; de Melo, P.S.; Gonzalez-Mego, P.; Marduy, A.; Vasquez-Avila, K.; Costa Cortez, P.; Parente, J.; et al. Temporal Summation in Fibromyalgia Patients: Comparing Phasic and Tonic Paradigms. Front. Pain Res. 2022, 3, 881543. [Google Scholar] [CrossRef] [PubMed]
- Rodriguez Lagos, L.; Arribas-Romano, A.; Fernández-Carnero, J.; González-Zamorano, Y.; Laguarta Val, S. Effects of Percutaneous and Transcutaneous Electrical Nerve Stimulation on Endogenous Pain Mechanisms in Patients with Musculoskeletal Pain: A Systematic Review and Meta-Analysis. Pain Med. 2023, 24, 397–414. [Google Scholar] [CrossRef]
- van Driel, M.E.C.; Huygen, F.J.P.M.; Rijsdijk, M. Quantitative Sensory Testing: A Practical Guide and Clinical Applications. BJA Educ. 2024, 24, 326–334. [Google Scholar] [CrossRef] [PubMed]
- World Medical Association. World Medical Association Declaration of Helsinki: Ethical Principles for Medical Research Involving Human Subjects. JAMA 2013, 310, 2191–2194. [Google Scholar] [CrossRef]
- Hunter, H.H.; Sorbie, G.G.; Grace, F.M.; Gu, Y.; Lam, W.-K.; Baker, J.S.; Dutheil, F.; Dias, T.; Ugbolue, U.C. An Electromyographic Assessment Pilot Study on the Reliability of the Forearm Muscles during Multi-Planar Maximum Voluntary Contraction Grip and Wrist Articulation in Young Males. Technol. Health Care Off. J. Eur. Soc. Eng. Med. 2022, 30, 713–724. [Google Scholar] [CrossRef]
- Streuli, D.; Nyirö, L.; Rosner, J.; Schilder, A.; Csato, M.; Schweinhardt, P. Intra- and Inter-Session Reliability of Electrical Detection and Pain Thresholds of Cutaneous and Muscle Primary Afferents in the Lower Back of Healthy Individuals. Pflugers Arch. 2023, 475, 1211–1223. [Google Scholar] [CrossRef] [PubMed]
- Hertzog, M.A. Considerations in Determining Sample Size for Pilot Studies. Res. Nurs. Health 2008, 31, 180–191. [Google Scholar] [CrossRef] [PubMed]
- Lancaster, G.A.; Dodd, S.; Williamson, P.R. Design and Analysis of Pilot Studies: Recommendations for Good Practice. J. Eval. Clin. Pract. 2004, 10, 307–312. [Google Scholar] [CrossRef]
- Xia, W.; Fu, H.; Liu, H.; Meng, F.; Wang, K. A Test-Retest Reliability Study of Assessing Small Cutaneous Fibers by Measuring Current Perception Threshold with Pin Electrodes. PLoS ONE 2020, 15, e0242490. [Google Scholar] [CrossRef]
- Guirro, R.R.d.J.; Guirro, E.C. de O.; de Sousa, N.T.A. Sensory and Motor Thresholds of Transcutaneous Electrical Stimulation Are Influenced by Gender and Age. PM R 2015, 7, 42–47. [Google Scholar] [CrossRef]
- Iacovides, S.; Avidon, I.; Baker, F.C. Women with Dysmenorrhoea Are Hypersensitive to Experimentally Induced Forearm Ischaemia during Painful Menstruation and during the Pain-Free Follicular Phase. Eur. J. Pain 2015, 19, 797–804. [Google Scholar] [CrossRef]
- Takla, M.K.N. Low-Frequency High-Intensity versus Medium-Frequency Low-Intensity Combined Therapy in the Management of Active Myofascial Trigger Points: A Randomized Controlled Trial. Physiother. Res. Int. J. Res. Clin. Phys. Ther. 2018, 23, e1737. [Google Scholar] [CrossRef] [PubMed]
- Bi, Y.; Wei, Z.; Kong, Y.; Hu, L. Supraspinal Neural Mechanisms of the Analgesic Effect Produced by Transcutaneous Electrical Nerve Stimulation. Brain Struct. Funct. 2021, 226, 151–162. [Google Scholar] [CrossRef]
- Peng, W.W.; Tang, Z.Y.; Zhang, F.R.; Li, H.; Kong, Y.Z.; Iannetti, G.D.; Hu, L. Neurobiological Mechanisms of TENS-Induced Analgesia. Neuroimage 2019, 195, 396–408. [Google Scholar] [CrossRef]
- Diotaiuti, P.; Corrado, S.; Mancone, S.; Falese, L.; Rodio, A.; Siqueira, T.C.; Andrade, A. Influence of Cognitive Orientation and Attentional Focus on Pain Perception. Int. J. Environ. Res. Public Health 2021, 18, 7176. [Google Scholar] [CrossRef]
- Gaudreault, F.; Drolet, P.; Fallaha, M.; Varin, F. The Reliability of the Current Perception Threshold in Volunteers and Its Applicability in a Clinical Setting. Anesth. Analg. 2015, 120, 678–683. [Google Scholar] [CrossRef] [PubMed]
- Furuse, N.; Kimoto, S.; Nakashima, Y.; Ogawa, T.; Furokawa, S.; Okubo, M.; Yamaguchi, H.; Kawai, Y. Verification of the Reliability of Current Perception Threshold and Pain Threshold Testing by Application of an Electrical Current Stimulus to Mandibular Mucosa in Young Adults. J. Oral Rehabil. 2019, 46, 556–562. [Google Scholar] [CrossRef] [PubMed]


| Outcome | Mean/AF | SD/% |
|---|---|---|
| Age (years) | 23.80 | 3.66 |
| Height (cm) | 168.50 | 12.60 |
| Weight (kg) | 66.00 | 17.57 |
| Sex (women) | 10 | 50.00 |
| Laterality (right) | 20 | 100.00 |
| Outcome | Time | Measurement A (mA) | Measurement B (mA) | Difference (mA) | 95% CI | p-Value |
|---|---|---|---|---|---|---|
| EST0 | 0 s | 9.72 ± 3.20 | 9.57 ± 2.97 | 0.15 ± 0.56 | [−0.11, 0.41] | 0.272 |
| EST15 | 15 s | 9.60 ± 3.09 | 9.72 ± 3.09 | 0.13 ± 0.43 | [−0.07, 0.32] | 0.197 |
| EST30 | 30 s | 9.38 ± 2.65 | 9.30 ± 2.84 | 0.08 ± 0.57 | [−0.34, 0.19] | 0.432 |
| EST60 | 60 s | 9.20 ± 2.78 | 9.10 ± 2.69 | 0.10 ± 0.62 | [−0.39, 0.19] | 0.479 |
| Outcome | Time | Measurement A (mA) | Measurement B (mA) | Difference (mA) | 95% CI | p-Value |
|---|---|---|---|---|---|---|
| EST0 | 0 s | 9.15 ± 2.77 | 9.55 ± 3.00 | 0.40 ± 0.66 | [0.09, 0.71] | 0.014 * |
| EST15 | 15 s | 9.65 ± 2.99 | 9.72 ± 3.16 | 0.08 ± 1.10 | [−0.44, 0.59] | 0.630 |
| EST30 | 30 s | 9.80 ± 3.09 | 9.90 ± 3.09 | 0.10 ± 1.07 | [−0.40, 0.60] | 0.972 |
| EST60 | 60 s | 9.85 ± 2.97 | 9.93 ± 3.00 | 0.08 ± 0.54 | [−0.18, 0.33] | 0.545 |
| EMT0 | 0 s | 16.12 ± 3.29 | 16.50 ± 2.99 | 0.38 ± 0.96 | [−0.07, 0.82] | 0.053 |
| EMT15 | 15 s | 16.20 ± 3.14 | 16.55 ± 3.26 | 0.35 ± 0.83 | [−0.04, 0.74] | 0.079 |
| EMT30 | 30 s | 16.43 ± 3.11 | 16.45 ± 3.19 | 0.03 ± 0.53 | [−0.22, 0.27] | 0.805 |
| EMT60 | 60 s | 16.50 ± 3.18 | 16.38 ± 3.34 | −0.13 ± 0.58 | [−0.40, 0.15] | 0.388 |
| Outcome | Time | Measurement A (mA) | Measurement B (mA) | Difference (mA) | 95% CI | p-Value |
|---|---|---|---|---|---|---|
| EST0 | 0 s | 9.88 ± 3.13 | 11.85 ± 3.60 | 1.98 ± 1.33 | [1.35, 2.60] | <0.001 ** |
| EST15 | 15 s | 10.50 ± 3.15 | 11.18 ± 3.18 | 0.68 ± 1.32 | [0.06, 1.29] | 0.034 * |
| EST30 | 30 s | 10.03 ± 3.16 | 11.22 ± 3.21 | 1.20 ± 1.48 | [0.51, 1.89] | 0.002 ** |
| EST60 | 60 s | 10.95 ± 3.34 | 11.25 ± 3.53 | 0.30 ± 0.82 | [−0.08, 0.68] | 0.117 |
| EST90 | 90 s | 10.30 ± 2.92 | 11.10 ± 3.64 | 0.80 ± 1.76 | [−0.02, 1.62] | 0.056 |
| EST120 | 120 s | 10.75 ± 3.27 | 10.98 ± 3.29 | 0.23 ± 0.91 | [−0.20, 0.65] | 0.283 |
| EMT0 | 0 s | 16.50 ± 3.20 | 18.43 ± 3.43 | 1.93 ± 1.10 | [1.41, 2.44] | <0.001 ** |
| EMT15 | 15 s | 17.07 ± 3.18 | 17.80 ± 3.02 | 0.73 ± 0.77 | [0.37, 1.08] | <0.001 ** |
| EMT30 | 30 s | 17.15 ± 3.29 | 18.02 ± 3.15 | 0.88 ± 0.79 | [0.50, 1.25] | <0.001 ** |
| EMT60 | 60 s | 17.90 ± 3.58 | 18.30 ± 3.54 | 0.40 ± 0.72 | [0.06, 0.74] | 0.022 * |
| EMT90 | 90 s | 17.23 ± 3.11 | 17.35 ± 3.34 | 0.13 ± 0.74 | [−0.22, 0.47] | 0.460 |
| EMT120 | 120 s | 17.95 ± 3.25 | 18.05 ± 3.36 | 0.10 ± 0.53 | [−0.15, 0.35] | 0.408 |
| EPT0 | 0 s | 23.55 ± 3.72 | 23.65 ± 3.52 | 0.10 ± 0.55 | [−0.16, 0.36] | 0.428 |
| EPT15 | 15 s | 23.57 ± 3.43 | 24.02 ± 3.33 | 0.45 ± 0.74 | [0.10, 0.80] | 0.017 * |
| EPT30 | 30 s | 24.35 ± 3.40 | 24.60 ± 3.33 | 0.25 ± 0.90 | [−0.17, 0.67] | 0.238 |
| EPT60 | 60 s | 25.07 ± 3.73 | 25.60 ± 3.69 | 0.53 ± 1.01 | [0.05, 1.00] | 0.034 * |
| EPT90 | 90 s | 25.63 ± 3.70 | 25.95 ± 3.89 | 0.33 ± 1.44 | [−0.35, 1.00] | 0.324 |
| EPT120 | 120 s | 26.45 ± 4.12 | 27.60 ± 4.57 | 1.15 ± 0.25 | [0.63, 1.67] | <0.001 ** |
Disclaimer/Publisher’s Note: The statements, opinions and data contained in all publications are solely those of the individual author(s) and contributor(s) and not of MDPI and/or the editor(s). MDPI and/or the editor(s) disclaim responsibility for any injury to people or property resulting from any ideas, methods, instructions or products referred to in the content. |
© 2025 by the authors. Licensee MDPI, Basel, Switzerland. This article is an open access article distributed under the terms and conditions of the Creative Commons Attribution (CC BY) license (https://creativecommons.org/licenses/by/4.0/).
Share and Cite
Ríos-Asín, I.; Malo-Urriés, M.; Pérez-Rey, J.; García-Díez, M.; Burgos-Garlito, L.; Bueno-Gracia, E. Recovery Time of Electrical Sensory, Motor, and Pain Thresholds: A Pilot Study Towards Standardization of Quantitative Sensory Testing in Healthy Population. Healthcare 2025, 13, 2492. https://doi.org/10.3390/healthcare13192492
Ríos-Asín I, Malo-Urriés M, Pérez-Rey J, García-Díez M, Burgos-Garlito L, Bueno-Gracia E. Recovery Time of Electrical Sensory, Motor, and Pain Thresholds: A Pilot Study Towards Standardization of Quantitative Sensory Testing in Healthy Population. Healthcare. 2025; 13(19):2492. https://doi.org/10.3390/healthcare13192492
Chicago/Turabian StyleRíos-Asín, Izarbe, Miguel Malo-Urriés, Jorge Pérez-Rey, Marta García-Díez, Lucía Burgos-Garlito, and Elena Bueno-Gracia. 2025. "Recovery Time of Electrical Sensory, Motor, and Pain Thresholds: A Pilot Study Towards Standardization of Quantitative Sensory Testing in Healthy Population" Healthcare 13, no. 19: 2492. https://doi.org/10.3390/healthcare13192492
APA StyleRíos-Asín, I., Malo-Urriés, M., Pérez-Rey, J., García-Díez, M., Burgos-Garlito, L., & Bueno-Gracia, E. (2025). Recovery Time of Electrical Sensory, Motor, and Pain Thresholds: A Pilot Study Towards Standardization of Quantitative Sensory Testing in Healthy Population. Healthcare, 13(19), 2492. https://doi.org/10.3390/healthcare13192492

