The Predictive Role of the Systemic Inflammation Response Index in the Prognosis of Hepatitis B Virus-Related Acute-on-Chronic Liver Failure: A Multicenter Study
Abstract
1. Introduction
2. Materials and Methods
2.1. Study Design
2.2. Inclusion Criteria
- Chronic hepatitis B infection based on persistent HBsAg or HBV-DNA positivity for over 6 months;
- Serum total bilirubin ≥ 5 mg/dL (85 μmol/L);
- INR ≥ 1.5 or PTA < 40%;
- Development of ascitic or hepatic encephalopathy within a month;
- MELD score ranging from 16 to 32.
2.3. Exclusion Criteria
2.4. Treatment Protocols
2.5. Sample Size Estimation
2.6. Data Collection and Clinical Scores
The Systemic Inflammation Response Index (SIRI)
2.7. Follow-Up and Outcomes
2.8. Clinical Definitions
2.9. Statistical Analysis
3. Results
3.1. Baseline Characteristics
3.2. Prognostic Outcomes and Dynamic Inflammatory Profiles
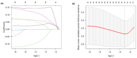
3.3. Identification of Prognostic Factors via Univariate Analysis and LASSO-Selected Multivariate Cox Regression
3.4. Predictive Value of SIRI Combined with Disease Severity Score for 90-Day Prognosis in HBV-ACLF Patients
4. Discussion
5. Conclusions
Supplementary Materials
Author Contributions
Funding
Institutional Review Board Statement
Informed Consent Statement
Data Availability Statement
Acknowledgments
Conflicts of Interest
Abbreviations
| SIRI | systemic inflammation response index |
| HBV-ACLF | hepatitis B virus-related acute-on-chronic liver failure |
| AUC | area under the curve |
| CTP | Child–Turcotte–Pugh |
| MELD | model for end-stage liver disease |
| MELD-Na | model for end-stage liver disease combined with serum sodium |
| CLIF-C OFs | chronic liver failure combined with organ failure score |
| APASL | the Asia Pacific Association for the Study of the Liver |
| AKI | acute kidney injury |
| WBC | white blood cell count |
| PLT | platelets |
| ALT | alanine aminotransferase |
| AST | aspartate transaminase |
| ALP | alkaline phosphatase |
| GGT | γ glutamate aminotransferase |
| Cr | total bilirubin, creatinine |
| INR | international normalized ratio |
| ALB | albumin |
| SD | standard deviation |
| IQR | interquartile range |
| ROC | receiver operating characteristic curves |
| MT | mechanical thrombectomy |
| OS | overall survival |
| HCC | hepatocellular carcinoma |
| TFS | transplantation-free survival |
References
- Mezzano, G.; Juanola, A.; Cardenas, A.; Mezey, E.; Hamilton, J.P.; Pose, E.; Graupera, I.; Ginès, P.; Solà, E.; Hernaez, R. Global burden of disease: Acute-on-chronic liver failure, a systematic review and meta-analysis. Gut 2022, 71, 148–155. [Google Scholar] [CrossRef] [PubMed]
- Ngu, N.L.Y.; Flanagan, E.; Bell, S.; Le, S.T. Acute-on-chronic liver failure: Controversies and consensus. World J. Gastroenterol. 2023, 29, 232–240. [Google Scholar] [CrossRef] [PubMed]
- Asrani, S.K.; Devarbhavi, H.; Eaton, J.; Kamath, P.S. Burden of liver diseases in the world. J. Hepatol. 2019, 70, 151–171. [Google Scholar] [CrossRef] [PubMed]
- Chang, Y.; Liu, Q.Y.; Zhang, Q.; Rong, Y.M.; Lu, C.Z.; Li, H. Role of nutritional status and nutritional support in outcome of hepatitis B virus-associated acute-on-chronic liver failure. World J. Gastroenterol. 2020, 26, 4288–4301. [Google Scholar] [CrossRef]
- Shi, Y.; Yang, Y.; Hu, Y.; Wu, W.; Yang, Q.; Zheng, M.; Zhang, S.; Xu, Z.; Wu, Y.; Yan, H.; et al. Acute-on-chronic liver failure precipitated by hepatic injury is distinct from that precipitated by extrahepatic insults. Hepatology 2015, 62, 232–242. [Google Scholar] [CrossRef]
- Guicciardi, M.E.; Malhi, H.; Mott, J.L.; Gores, G.J. Apoptosis and necrosis in the liver. Compr. Physiol. 2013, 3, 977–1010. [Google Scholar] [CrossRef]
- Bajaj, J.S.; O’Leary, J.G.; Lai, J.C.; Wong, F.; Long, M.D.; Wong, R.J.; Kamath, P.S. Acute-on-Chronic Liver Failure Clinical Guidelines. Am. J. Gastroenterol. 2022, 117, 225–252. [Google Scholar] [CrossRef]
- Allahmoradi, E.; Mohammadi, R.; Kheirandish Zarandi, P.; Alavian, S.M.; Heiat, M. The CD8+ T cell exhaustion mechanisms in chronic hepatitis B infection and immunotherapeutic strategies: A systematic review. Expert. Rev. Clin. Immunol. 2023, 19, 671–688. [Google Scholar] [CrossRef]
- Xin, Y.; Zhang, X.; Li, Y.; Yang, Y.; Chen, Y.; Wang, Y.; Zhou, X.; Li, X. A Systemic Inflammation Response Index (SIRI)-Based Nomogram for Predicting the Recurrence of Early Stage Hepatocellular Carcinoma After Radiofrequency Ablation. Cardiovasc. Interv. Radiol. 2022, 45, 43–53. [Google Scholar] [CrossRef]
- Wang, N.; He, S.; Zheng, Y.; Wang, L. The value of NLR versus MLR in the short-term prognostic assessment of HBV-related acute-on-chronic liver failure. Int. Immunopharmacol. 2023, 121, 110489. [Google Scholar] [CrossRef]
- Bortoluzzi, A.; Ceolotto, G.; Gola, E.; Sticca, A.; Bova, S.; Morando, F.; Piano, S.; Fasolato, S.; Rosi, S.; Gatta, A.; et al. Positive cardiac inotropic effect of albumin infusion in rodents with cirrhosis and ascites: Molecular mechanisms. Hepatology 2013, 57, 266–276. [Google Scholar] [CrossRef]
- Rodríguez-Roisin, R.; Krowka, M.J. Hepatopulmonary syndrome—A liver-induced lung vascular disorder. N. Engl. J. Med. 2008, 358, 2378–2387. [Google Scholar] [CrossRef] [PubMed]
- Moreau, R.; Jalan, R.; Gines, P.; Pavesi, M.; Angeli, P.; Cordoba, J.; Durand, F.; Gustot, T.; Saliba, F.; Domenicali, M.; et al. Acute-on-chronic liver failure is a distinct syndrome that develops in patients with acute decompensation of cirrhosis. Gastroenterology 2013, 144, 1426–1437.e9. [Google Scholar] [CrossRef] [PubMed]
- Cordoba, J.; Ventura-Cots, M.; Simón-Talero, M.; Amorós, À.; Pavesi, M.; Vilstrup, H.; Angeli, P.; Domenicali, M.; Ginés, P.; Bernardi, M.; et al. Characteristics, risk factors, and mortality of cirrhotic patients hospitalized for hepatic encephalopathy with and without acute-on-chronic liver failure (ACLF). J. Hepatol. 2014, 60, 275–281. [Google Scholar] [CrossRef]
- Huang, C.; Li, Q.; Huang, Y.; Chen, L. Role of Immune Dysfunction in Acute-on-Chronic Liver Failure: From Pathogenesis to Clinical Prognosis. Discov. Med. 2021, 31, 21–29. [Google Scholar]
- Qiang, R.; Liu, X.Z.; Xu, J.C. The Immune Pathogenesis of Acute-On-Chronic Liver Failure and the Danger Hypothesis. Front. Immunol. 2022, 13, 935160. [Google Scholar] [CrossRef]
- Zaccherini, G.; Weiss, E.; Moreau, R. Acute-on-chronic liver failure: Definitions, pathophysiology and principles of treatment. JHEP Rep. 2021, 3, 100176. [Google Scholar] [CrossRef]
- Kou, K.; Sun, X.; Tian, G.; Zhi, Y.; Fan, Z.; Lv, G. The Mechanisms of Systemic Inflammatory and Immunosuppressive Acute-on-Chronic Liver Failure and Application Prospect of Single-Cell Sequencing. J. Immunol. Res. 2022, 2022, 5091275. [Google Scholar] [CrossRef]
- Maheshwari, D.; Kumar, D.; Jagdish, R.K.; Nautiyal, N.; Hidam, A.; Kumari, R.; Sehgal, R.; Trehanpati, N.; Baweja, S.; Kumar, G.; et al. Bioenergetic Failure Drives Functional Exhaustion of Monocytes in Acute-on-Chronic Liver Failure. Front. Immunol. 2022, 13, 856587. [Google Scholar] [CrossRef]
- Fiuza, C.; Salcedo, M.; Clemente, G.; Tellado, J.M. In vivo neutrophil dysfunction in cirrhotic patients with advanced liver disease. J. Infect. Dis. 2000, 182, 526–533. [Google Scholar] [CrossRef] [PubMed]
- Li, H.J.; Yang, N.; Mu, X.; Tang, L.; Wang, S.S.; Zhou, C.B.; Yuan, J.H.; Wang, H.Y.; Yu, Y.Y.; Li, J.; et al. Reduction of natural killer cells is associated with poor outcomes in patients with hepatitis B virus-related acute-on-chronic liver failure. Hepatol. Int. 2022, 16, 1398–1411. [Google Scholar] [CrossRef]
- Khanam, A.; Trehanpati, N.; Garg, V.; Kumar, C.; Garg, H.; Sharma, B.C.; Sarin, S.K. Altered frequencies of dendritic cells and IFN-gamma-secreting T cells with granulocyte colony-stimulating factor (G-CSF) therapy in acute-on- chronic liver failure. Liver Int. 2014, 34, 505–513. [Google Scholar] [CrossRef] [PubMed]
- Yu, X.; Yang, F.; Shen, Z.; Zhang, Y.; Sun, J.; Qiu, C.; Zheng, Y.; Zhao, W.; Yuan, S.; Zeng, D.; et al. BTLA contributes to acute-on-chronic liver failure infection and mortality through CD4(+) T-cell exhaustion. Nat. Commun. 2024, 15, 1835. [Google Scholar] [CrossRef]
- Arroyo, V.; Moreau, R.; Jalan, R. Acute-on-Chronic Liver Failure. N. Engl. J. Med. 2020, 382, 2137–2145. [Google Scholar] [CrossRef]
- Clària, J.; Stauber, R.E.; Coenraad, M.J.; Moreau, R.; Jalan, R.; Pavesi, M.; Amorós, À.; Titos, E.; Alcaraz-Quiles, J.; Oettl, K.; et al. Systemic inflammation in decompensated cirrhosis: Characterization and role in acute-on-chronic liver failure. Hepatology 2016, 64, 1249–1264. [Google Scholar] [CrossRef] [PubMed]
- Yao, J.; Ji, Y.; Liu, T.; Bai, J.; Wang, H.; Yao, R.; Wang, J.; Zhou, X. Single-Cell RNA Sequencing Shows T-Cell Exhaustion Landscape in the Peripheral Blood of Patients with Hepatitis B Virus-Associated Acute-on-Chronic Liver Failure. Gut Liver 2024, 18, 520–530. [Google Scholar] [CrossRef] [PubMed]
- Abdallah, M.A.; Kuo, Y.F.; Asrani, S.; Wong, R.J.; Ahmed, A.; Kwo, P.; Terrault, N.; Kamath, P.S.; Jalan, R.; Singal, A.K. Validating a novel score based on interaction between ACLF grade and MELD score to predict waitlist mortality. J. Hepatol. 2021, 74, 1355–1361. [Google Scholar] [CrossRef] [PubMed]
- Ruf, A.; Dirchwolf, M.; Freeman, R.B. From Child-Pugh to MELD score and beyond: Taking a walk down memory lane. Ann. Hepatol. 2022, 27, 100535. [Google Scholar] [CrossRef]
- Wu, T.; Li, J.; Shao, L.; Xin, J.; Jiang, L.; Zhou, Q.; Shi, D.; Jiang, J.; Sun, S.; Jin, L.; et al. Development of diagnostic criteria and a prognostic score for hepatitis B virus-related acute-on-chronic liver failure. Gut 2018, 67, 2181–2191. [Google Scholar] [CrossRef] [PubMed]
- Arroyo, V.; Angeli, P.; Moreau, R.; Jalan, R.; Clària, J.; Trebicka, J.; Fernández, J.; Gustot, T.; Caraceni, P.; Bernardi, M. The systemic inflammation hypothesis: Towards a new paradigm of acute decompensation and multiorgan failure in cirrhosis. J. Hepatol. 2021, 74, 670–685. [Google Scholar] [CrossRef] [PubMed]
- Blasi, A.; Patel, V.C.; Adelmeijer, J.; Azarian, S.; Hernandez Tejero, M.; Calvo, A.; Fernández, J.; Bernal, W.; Lisman, T. Mixed Fibrinolytic Phenotypes in Decompensated Cirrhosis and Acute-on-Chronic Liver Failure with Hypofibrinolysis in Those with Complications and Poor Survival. Hepatology 2020, 71, 1381–1390. [Google Scholar] [CrossRef]
- Moreau, R. The Pathogenesis of ACLF: The Inflammatory Response and Immune Function. Semin. Liver Dis. 2016, 36, 133–140. [Google Scholar] [CrossRef]
- Triantafyllou, E.; Woollard, K.J.; McPhail, M.J.W.; Antoniades, C.G.; Possamai, L.A. The Role of Monocytes and Macrophages in Acute and Acute-on-Chronic Liver Failure. Front. Immunol. 2018, 9, 2948. [Google Scholar] [CrossRef]
- Zawiah, M.; Hayat Khan, A.; Abu Farha, R.; Usman, A.; Bitar, A.N. Neutrophil-lymphocyte ratio, monocyte-lymphocyte ratio, and platelet-lymphocyte ratio in stroke-associated pneumonia: A systematic review and meta-analysis. Curr. Med. Res. Opin. 2023, 39, 475–482. [Google Scholar] [CrossRef] [PubMed]
- Wu, J.; Zhang, X.; Liu, H.; Guo, N.; Pan, Q.; Wang, Y. RDW, NLR and RLR in predicting liver failure and prognosis in patients with hepatitis E virus infection. Clin. Biochem. 2019, 63, 24–31. [Google Scholar] [CrossRef] [PubMed]
- Qi, Q.; Zhuang, L.; Shen, Y.; Geng, Y.; Yu, S.; Chen, H.; Liu, L.; Meng, Z.; Wang, P.; Chen, Z. A novel systemic inflammation response index (SIRI) for predicting the survival of patients with pancreatic cancer after chemotherapy. Cancer 2016, 122, 2158–2167. [Google Scholar] [CrossRef] [PubMed]
- Wei, L.; Xie, H.; Yan, P. Prognostic value of the systemic inflammation response index in human malignancy: A meta-analysis. Medicine 2020, 99, e23486. [Google Scholar] [CrossRef] [PubMed]
- Sun, L.; Hu, W.; Liu, M.; Chen, Y.; Jin, B.; Xu, H.; Du, S.; Xu, Y.; Zhao, H.; Lu, X.; et al. High Systemic Inflammation Response Index (SIRI) Indicates Poor Outcome in Gallbladder Cancer Patients with Surgical Resection: A Single Institution Experience in China. Cancer Res. Treat. 2020, 52, 1199–1210. [Google Scholar] [CrossRef]
- Wang, T.C.; An, T.Z.; Li, J.X.; Pang, P.F. Systemic Inflammation Response Index is a Prognostic Risk Factor in Patients with Hepatocellular Carcinoma Undergoing TACE. Risk Manag. Healthc. Policy 2021, 14, 2589–2600. [Google Scholar] [CrossRef]
- Wang, X.; Ni, Q.; Wang, J.; Wu, S.; Chen, P.; Xing, D. Systemic Inflammation Response Index Is a Promising Prognostic Marker in Elderly Patients with Heart Failure: A Retrospective Cohort Study. Front. Cardiovasc. Med. 2022, 9, 871031. [Google Scholar] [CrossRef]
- Sarin, S.K.; Choudhury, A.; Sharma, M.K.; Maiwall, R.; Al Mahtab, M.; Rahman, S.; Saigal, S.; Saraf, N.; Soin, A.S.; Devarbhavi, H.; et al. Acute-on-chronic liver failure: Consensus recommendations of the Asian Pacific association for the study of the liver (APASL): An update. Hepatol. Int. 2019, 13, 353–390. [Google Scholar] [CrossRef] [PubMed]
- Liver Failure and Artificial Liver Group, Chinese Society of Infectious Diseases, Chinese Medical Association; Severe Liver Disease and Artificial Liver Group, Chinese Society of Hepatology, Chinese Medical Association. Guidelines for diagnosis and treatment of liver failure (2018 edition). J. Clin. Hepatol. 2019, 35, 38–44. [Google Scholar]
- Pugh, R.N.; Murray-Lyon, I.M.; Dawson, J.L.; Pietroni, M.C.; Williams, R. Transection of the oesophagus for bleeding oesophageal varices. Br. J. Surg. 1973, 60, 646–649. [Google Scholar] [CrossRef] [PubMed]
- Kamath, P.S.; Kim, W.R. The model for end-stage liver disease (MELD). Hepatology 2007, 45, 797–805. [Google Scholar] [CrossRef]
- Hu, K.; Sedki, M.; Kwong, A.; Kesselman, A.; Kolli, K.P.; Morelli, G.; Spengler, E.; Said, A.; Lai, J.; Desai, A.; et al. Portal Hypertensive Gastropathy and MELD-Na Score Predict Recurrent Gastrointestinal Bleeding After TIPSS: An ALTA Group Study. Aliment. Pharmacol. Ther. 2025, 61, 346–353. [Google Scholar] [CrossRef]
- Jalan, R.; Saliba, F.; Pavesi, M.; Amoros, A.; Moreau, R.; Ginès, P.; Levesque, E.; Durand, F.; Angeli, P.; Caraceni, P.; et al. Development and validation of a prognostic score to predict mortality in patients with acute-on-chronic liver failure. J. Hepatol. 2014, 61, 1038–1047. [Google Scholar] [CrossRef]
- Smith, A.; Baumgartner, K.; Bositis, C. Cirrhosis: Diagnosis and Management. Am. Fam. Physician 2019, 100, 759–770. [Google Scholar]
- World Health Organization. Guidelines for Controlling and Monitoring the Tobacco Epidemic; World Health Organization: Geneva, Switzerland, 1997; Volume 190. [Google Scholar]
- Li, Y.M.; Fan, J.G.; National Workshop on Fatty Liver and Alcoholic Liver Disease, Chinese Society of Hepatology, Chinese Medical Association; Fatty Liver Disease Expert Committee, Chinese Medical Doctor Association. Guidelines of prevention and treatment for alcoholic liver disease: A 2018 update. Zhonghua Gan Zang Bing Za Zhi 2018, 26, 188–194. [Google Scholar] [CrossRef]
- Chinese Diabetes Society. Guidelines for the prevention and treatment of diabetes mellitus in China (2024 edition). Chin. J. Diabetes 2025, 17, 116–139. [Google Scholar]
- Wang, J.G. Chinese Guidelines for the Prevention and Treatment of Hypertension (2024 revision). J. Geriatr. Cardiol. 2025, 22, 1–149. [Google Scholar] [CrossRef] [PubMed]
- Terrault, N.A.; Lok, A.S.F.; McMahon, B.J.; Chang, K.M.; Hwang, J.P.; Jonas, M.M.; Brown, R.S., Jr.; Bzowej, N.H.; Wong, J.B. Update on prevention, diagnosis, and treatment of chronic hepatitis B: AASLD 2018 hepatitis B guidance. Hepatology 2018, 67, 1560–1599. [Google Scholar] [CrossRef]
- Moore, K.P.; Wong, F.; Gines, P.; Bernardi, M.; Ochs, A.; Salerno, F.; Angeli, P.; Porayko, M.; Moreau, R.; Garcia-Tsao, G.; et al. The management of ascites in cirrhosis: Report on the consensus conference of the International Ascites Club. Hepatology 2003, 38, 258–266. [Google Scholar] [CrossRef]
- Patidar, K.R.; Bajaj, J.S. Covert and Overt Hepatic Encephalopathy: Diagnosis and Management. Clin. Gastroenterol. Hepatol. 2015, 13, 2048–2061. [Google Scholar] [CrossRef]
- Haidar, G.; Singh, N. The Evolving Challenge of Infections in Cirrhosis. N. Engl. J. Med. 2021, 385, 1150–1151. [Google Scholar] [CrossRef]
- Xiong, J.; Zhang, H.; Wang, Y.; Wang, A.; Bian, J.; Huang, H.; Zheng, Y.; Sang, X.; Xu, Y.; Lu, X.; et al. Hepatitis B virus infection and the risk of nonalcoholic fatty liver disease: A meta-analysis. Oncotarget 2017, 8, 107295–107302. [Google Scholar] [CrossRef]
- Shi, Y.; Zheng, M.H.; Yang, Y.; Wei, W.; Yang, Q.; Hu, A.; Hu, Y.; Wu, Y.; Yan, H. Increased delayed mortality in patients with acute-on-chronic liver failure who have prior decompensation. J. Gastroenterol. Hepatol. 2015, 30, 712–718. [Google Scholar] [CrossRef] [PubMed]
- Yang, L.; Lu, M. Small Molecule Inhibitors of Hepatitis B Virus Nucleocapsid Assembly: A New Approach to Treat Chronic HBV Infection. Curr. Med. Chem. 2018, 25, 802–813. [Google Scholar] [CrossRef]
- Gao, F.; Zhang, Q.; Liu, Y.; Gong, G.; Mao, D.; Gong, Z.; Li, J.; Luo, X.; Li, X.; Chen, G.; et al. Nomogram prediction of individual prognosis of patients with acute-on-chronic hepatitis B liver failure. Dig. Liver Dis. 2019, 51, 425–433. [Google Scholar] [CrossRef]
- Jeng, W.J.; Sheen, I.S.; Liaw, Y.F. Hepatitis B virus DNA level predicts hepatic decompensation in patients with acute exacerbation of chronic hepatitis B. Clin. Gastroenterol. Hepatol. 2010, 8, 541–545. [Google Scholar] [CrossRef] [PubMed]
- Choudhury, A.; Kumar, M.; Sharma, B.C.; Maiwall, R.; Pamecha, V.; Moreau, R.; Chawla, Y.K.; Duseja, A.; Mahtab, M.; Rahman, S.; et al. Systemic inflammatory response syndrome in acute-on-chronic liver failure: Relevance of ‘golden window’: A prospective study. J. Gastroenterol. Hepatol. 2017, 32, 1989–1997. [Google Scholar] [CrossRef] [PubMed]
- Engelmann, C.; Zhang, I.W.; Clària, J. Mechanisms of immunity in acutely decompensated cirrhosis and acute-on-chronic liver failure. Liver Int. 2025, 45, e15644. [Google Scholar] [CrossRef]
- Li, D.; Sun, W.; Chen, L.; Gu, J.; Wu, H.; Xu, H.; Gan, J. Utility of neutrophil-lymphocyte ratio and platelet-lymphocyte ratio in predicting acute-on-chronic liver failure survival. Open Life Sci. 2023, 18, 20220644. [Google Scholar] [CrossRef]
- Fan, Z.; EnQiang, C.; Yao, D.L.; LiBo, Y.; Hong, L.; Lang, B.; Ping, F.; Hong, T. Neutrophil-lymphocyte ratio predicts short term mortality in patients with hepatitis B virus-related acute-on-chronic liver failure treated with an artificial liver support system. PLoS ONE 2017, 12, e0175332. [Google Scholar] [CrossRef]
- Yao, J.; Liu, T.; Zhao, Q.; Ji, Y.; Bai, J.; Wang, H.; Yao, R.; Zhou, X.; Chen, Y.; Xu, J. Genetic landscape and immune mechanism of monocytes associated with the progression of acute-on-chronic liver failure. Hepatol. Int. 2023, 17, 676–688. [Google Scholar] [CrossRef] [PubMed]
- Van der Merwe, S.; Chokshi, S.; Bernsmeier, C.; Albillos, A. The multifactorial mechanisms of bacterial infection in decompensated cirrhosis. J. Hepatol. 2021, 75 (Suppl. S1), S82–S100. [Google Scholar] [CrossRef]
- Cai, J.; Wang, K.; Han, T.; Jiang, H. Evaluation of prognostic values of inflammation-based makers in patients with HBV-related acute-on-chronic liver failure. Medicine 2018, 97, e13324. [Google Scholar] [CrossRef]
- Nissen, M.; Tröbs, R.B. The lymphocyte-to-monocyte ratio may distinguish complicated from non-complicated pediatric appendicitis: A retrospective study and literature review. Pediatr. Neonatol. 2022, 63, 146–153. [Google Scholar] [CrossRef]
- Twu, Y.C.; Gold, M.R.; Teh, H.S. TNFR1 delivers pro-survival signals that are required for limiting TNFR2-dependent activation-induced cell death (AICD) in CD8+ T cells. Eur. J. Immunol. 2011, 41, 335–344. [Google Scholar] [CrossRef] [PubMed]
- Dotto-Vasquez, G.; Villacorta-Ampuero, A.K.; Ulloque-Badaracco, J.R.; Hernandez-Bustamante, E.A.; Alarcón-Braga, E.A.; Herrera-Añazco, P.; Benites-Zapata, V.A.; Hernandez, A.V. Lymphocyte-to-Monocyte Ratio and Clinical Outcomes in Cholangiocarcinoma: A Systematic Review and Meta-Analysis. Diagnostics 2022, 12, 2655. [Google Scholar] [CrossRef] [PubMed]
- Gavriilidis, P.; Pawlik, T.M. Inflammatory indicators such as systemic immune inflammation index (SIII), systemic inflammatory response index (SIRI), neutrophil-to-lymphocyte ratio (NLR) and platelet-to-lymphocyte ratio (PLR) as prognostic factors of curative hepatic resections for hepatocellular carcinoma. Hepatobiliary Surg. Nutr. 2024, 13, 509–511. [Google Scholar] [CrossRef]
- Shen, X.; Xiang, M.; Tang, J.; Xiong, G.; Zhang, K.; Xia, T.; Li, Z.; Yang, S.; Chai, X.; Huang, Y.; et al. Evaluation of peripheral blood inflammation indexes as prognostic markers for colorectal cancer metastasis. Sci. Rep. 2024, 14, 20489. [Google Scholar] [CrossRef] [PubMed]
- Liu, Z.; Zhou, X. A nomogram based on systemic inflammation markers can predict adverse outcomes in patients with heart failure. Nan Fang Yi Ke Da Xue Xue Bao 2022, 42, 1149–1158. [Google Scholar] [CrossRef] [PubMed]
- Zhao, S.; Dong, S.; Qin, Y.; Wang, Y.; Zhang, B.; Liu, A. Inflammation index SIRI is associated with increased all-cause and cardiovascular mortality among patients with hypertension. Front. Cardiovasc. Med. 2022, 9, 1066219. [Google Scholar] [CrossRef] [PubMed]
- Cheng, J.; Ju, H.; Wang, G.; He, C.; Wang, W. Association of Systemic Inflammation Response Index with Short-Term All-Cause Mortality in Decompensated Liver Cirrhosis Patients. J. Inflamm. Res. 2024, 17, 8985–8995. [Google Scholar] [CrossRef]
- Zhang, X.; Ma, L.; Wu, L.; Tian, Y.; Luo, X.; Ding, X. Values of the systemic inflammation response index in predicting short-term prognosis of patients with HBV-related acute-on-chronic liver failure. Chin. J. Pract. Intern. Med. 2023, 43, 907–914. [Google Scholar] [CrossRef]
- Li, J.; Liang, X.; Jiang, J.; Yang, L.; Xin, J.; Shi, D.; Lu, Y.; Li, J.; Ren, K.; Hassan, H.M.; et al. PBMC transcriptomics identifies immune-metabolism disorder during the development of HBV-ACLF. Gut 2022, 71, 163–175. [Google Scholar] [CrossRef]
- Garg, H.; Kumar, A.; Garg, V.; Sharma, P.; Sharma, B.C.; Sarin, S.K. Clinical profile and predictors of mortality in patients of acute-on-chronic liver failure. Dig. Liver Dis. 2012, 44, 166–171. [Google Scholar] [CrossRef] [PubMed]
- Garg, V.; Garg, H.; Khan, A.; Trehanpati, N.; Kumar, A.; Sharma, B.C.; Sakhuja, P.; Sarin, S.K. Granulocyte colony-stimulating factor mobilizes CD34(+) cells and improves survival of patients with acute-on-chronic liver failure. Gastroenterology 2012, 142, 505–512.e501. [Google Scholar] [CrossRef]
- Tong, J.; Wang, H.; Xu, X.; Wan, Z.; Fang, H.; Chen, J.; Mu, X.; Liu, Z.; Chen, J.; Su, H.; et al. Granulocyte Colony-Stimulating Factor Accelerates the Recovery of Hepatitis B Virus-Related Acute-on-Chronic Liver Failure by Promoting M2-Like Transition of Monocytes. Front. Immunol. 2022, 13, 885829. [Google Scholar] [CrossRef]
- Duseja, A.; Singh, S.P. Toward a Better Definition of Acute-on-Chronic Liver Failure. J. Clin. Exp. Hepatol. 2017, 7, 262–265. [Google Scholar] [CrossRef]
- Moreau, R.; Gao, B.; Papp, M.; Bañares, R.; Kamath, P.S. Acute-on-chronic liver failure: A distinct clinical syndrome. J. Hepatol. 2021, 75 (Suppl. S1), S27–S35. [Google Scholar] [CrossRef] [PubMed]
- Cai, Q.; Wang, H.; Zhu, M.; Xiao, Y.; Zhuo, T. Construction of a novel prognostic scoring model for HBV-ACLF liver failure based on dynamic data. Sci. Rep. 2024, 14, 15198. [Google Scholar] [CrossRef]
- Jalan, R.; Pavesi, M.; Saliba, F.; Amorós, A.; Fernandez, J.; Holland-Fischer, P.; Sawhney, R.; Mookerjee, R.; Caraceni, P.; Moreau, R.; et al. The CLIF Consortium Acute Decompensation score (CLIF-C ADs) for prognosis of hospitalised cirrhotic patients without acute-on-chronic liver failure. J. Hepatol. 2015, 62, 831–840. [Google Scholar] [CrossRef]
- Shen, Y.; Xu, W.; Chen, Y.; Wen, S.; Chen, Q.; Liu, S.; Zhu, X.; Tang, L.L.; Li, L.; Ju, B. Early prediction of acute-on-chronic liver failure development in patients with diverse chronic liver diseases. Sci. Rep. 2024, 14, 28245. [Google Scholar] [CrossRef]
- Chen, W.; You, J.; Chen, J.; Zheng, Q.; Jiang, J.J.; Zhu, Y.Y. Modified model for end-stage liver disease improves short-term prognosis of hepatitis B virus-related acute-on-chronic liver failure. World J. Gastroenterol. 2017, 23, 7303–7309. [Google Scholar] [CrossRef] [PubMed]
- Choudhury, A.; Jindal, A.; Maiwall, R.; Sharma, M.K.; Sharma, B.C.; Pamecha, V.; Mahtab, M.; Rahman, S.; Chawla, Y.K.; Taneja, S.; et al. Liver failure determines the outcome in patients of acute-on-chronic liver failure (ACLF): Comparison of APASL ACLF research consortium (AARC) and CLIF-SOFA models. Hepatol. Int. 2017, 11, 461–471. [Google Scholar] [CrossRef] [PubMed]







| Characteristics | Total (n = 153) | Survival Group (n = 104) | Death Group (n = 49) | Statistic (Z/t/X2) | p |
|---|---|---|---|---|---|
| General | |||||
| Age (years) | 47.44 (38.81, 54.56) | 46.67 (37.63, 53.34) | 49.80 (40.82, 57.47) | −1.61 | 0.107 |
| Sex, male (%) | 131 (85.62) | 86 (82.69) | 45 (91.84) | 2.26 | 0.133 |
| Cirrhosis (%) | 29 (18.95) | 17 (16.35) | 12 (24.49) | 1.44 | 0.230 |
| Smoking status (%) | 53 (34.64) | 35 (33.65) | 18 (36.73) | 0.14 | 0.709 |
| Alcohol consumption (%) | 42 (27.45) | 29 (27.88) | 13 (26.53) | 0.03 | 0.861 |
| Diabetes (%) | 11 (7.19) | 5 (4.81) | 6 (12.24) | 1.76 | 0.185 |
| Hypertension (%) | 12 (7.84) | 6 (5.77) | 6 (12.24) | 1.14 | 0.286 |
| Precipitating events | |||||
| Naïve antiviral therapy (%) | 81 (52.90) | 61 (58.70) | 20 (40.80) | 4.25 | 0.039 |
| Antiviral discontinuation (%) | 21 (13.70) | 11 (10.60) | 10 (20.40) | 2.72 | 0.099 |
| Virological breakthrough (%) | 36 (23.50) | 20 (19.20) | 16 (32.70) | 3.34 | 0.068 |
| Others (%) | 15 (9.80) | 12 (11.50) | 3 (6.10) | 0.58 | 0.293 |
| Laboratory values | |||||
| WBC (109/L) | 6.35 (4.82, 8.57) | 6.08 (4.68, 8.06) | 6.91 (5.29, 8.64) | −1.50 | 0.135 |
| Neutrophil (109/L) | 4.25 (2.85, 6.24) | 3.93 (2.83, 6.08) | 4.81 (3.78, 6.44) | −1.88 | 0.060 |
| Monocyte (109/L) | 0.50 (0.37, 0.75) | 0.49 (0.37, 0.74) | 0.60 (0.41, 0.76) | −1.14 | 0.254 |
| Lymphocyte(109/L) | 1.21(0.79, 1.67) | 1.24(0.84, 1.80) | 1.15(0.67, 1.38) | −1.64 | 0.102 |
| PLT (109/L) | 92.00 (60.00, 132.00) | 95.00 (61.50, 132.25) | 82.00 (58.00, 118.00) | −1.39 | 0.164 |
| ALT (IU/L) | 227.60 (75.00, 639.30) | 196.00 (70.00, 646.47) | 276.00 (98.00, 633.00) | −0.95 | 0.341 |
| AST (IU/L) | 240.00 (104.00, 548.00) | 208.60 (95.75, 511.03) | 328.00 (151.00, 602.00) | −1.80 | 0.072 |
| GGT (IU/L) | 86.00 (55.00, 125.00) | 83.15 (54.50, 114.50) | 95.70 (59.40, 132.00) | −1.12 | 0.265 |
| Total bilirubin (mmol/L) | 287.40 (205.60, 400.10) | 269.20 (172.78, 349.88) | 343.70 (255.90, 464.50) | −3.64 | <0.001 |
| Cr (mmol/L) | 70.00 (60.80, 82.60) | 67.90 (60.00, 78.25) | 77.00 (65.00, 90.00) | −2.53 | 0.011 |
| INR | 1.96 (1.69, 2.33) | 1.87 (1.67, 2.26) | 2.22 (1.80, 2.51) | −2.77 | 0.006 |
| ALB (g/L) | 30.45 ± 4.28 | 30.96 ± 4.11 | 29.36 ± 4.47 | 2.17 | 0.031 |
| HBeAg positive (%) | 86 (56.21) | 56 (53.85) | 30 (61.22) | 0.74 | 0.391 |
| Disease severity | |||||
| MELD score | 22.47 (19.88, 25.70) | 21.51 (19.14, 23.79) | 25.05 (22.42, 26.95) | −4.41 | <0.001 |
| MELD-Na score | 23.60 (20.41, 27.23) | 22.50 (19.50, 25.97) | 26.64 (23.45, 30.81) | −4.44 | <0.001 |
| CTP score | 10.00 (9.00, 11.00) | 10.00 (9.00, 11.00) | 11.00 (10.00, 12.00) | −3.95 | <0.001 |
| CLIF-C OFs score | 8.00 (8.00, 9.00) | 8.00 (8.00, 9.00) | 9.00 (8.00, 10.00) | −3.57 | <0.001 |
| Complications of cirrhosis | |||||
| Ascites (%) | 107 (69.93) | 68 (65.38) | 39 (79.59) | 3.20 | 0.074 |
| Hepatic encephalopathy (%) | 14 (9.15) | 7 (6.73) | 7 (14.29) | 1.47 | 0.226 |
| Bacterial infection a (%) | 46 (30.07) | 23 (22.12) | 23 (46.94) | 9.76 | <0.001 |
| Characteristics | Total (n = 153) | Survival Group (n = 104) | Death Group (n = 49) | Statistic (Z) | p |
|---|---|---|---|---|---|
| SIRI0 | 1.94 (0.96, 3.96) | 1.76 (0.91, 3.45) | 2.29 (1.40, 5.13) | −2.45 | 0.014 |
| SIRI3 | 1.75 (0.84, 3.81) | 1.50 (0.79, 3.10) | 2.88 (1.47, 6.98) | −3.65 | <0.001 |
| SIRI7 | 1.65 (0.86, 3.75) | 1.49 (0.70, 3.04) | 3.07 (1.58, 6.11) | −4.22 | <0.001 |
| SIRI14 | 1.29 (0.80, 3.68) | 1.06 (0.56, 1.77) | 3.70 (1.75, 6.56) | −6.15 | <0.001 |
| Variables | Univariate Analysis | ||||
|---|---|---|---|---|---|
| β | S.E | Z | p | HR (95%CI) | |
| Age | 0.026 | 0.015 | 1.731 | 0.083 | 1.026 (0.997–1.057) |
| Sex | −0.751 | 0.522 | −1.439 | 0.150 | 0.472 (0.170–1.312) |
| WBC | 0.072 | 0.049 | 1.477 | 0.140 | 1.075 (0.977–1.182) |
| SIRI0 | 0.084 | 0.036 | 2.343 | 0.019 | 1.088 (1.014–1.167) |
| SIRI3 | 0.096 | 0.021 | 4.666 | <0.001 | 1.101 (1.057–1.146) |
| SIRI7 | 0.066 | 0.016 | 4.112 | <0.001 | 1.068 (1.035–1.102) |
| SIRI14 | 0.072 | 0.015 | 4.772 | <0.001 | 1.075 (1.043–1.107) |
| ΔSIRI3 | 0.092 | 0.028 | 3.266 | 0.001 | 1.096 (1.037–1.159) |
| ΔSIRI7 | 0.072 | 0.023 | 3.171 | 0.002 | 1.075 (1.028–1.124) |
| ΔSIRI14 | 0.067 | 0.018 | 3.674 | <0.001 | 1.069 (1.032–1.107) |
| PLT | −0.003 | 0.003 | −1.114 | 0.265 | 0.997 (0.991–1.002) |
| ALT | 0.000 | 0.000 | 0.301 | 0.763 | 1.000 (1.000–1.001) |
| AST | 0.000 | 0.000 | 1.058 | 0.290 | 1.000 (1.000–1.001) |
| GGT | 0.001 | 0.002 | 0.639 | 0.523 | 1.001 (0.998–1.004) |
| ALB | −0.089 | 0.037 | −2.422 | 0.015 | 0.915 (0.851–0.983) |
| MELD | 0.164 | 0.036 | 4.573 | <0.001 | 1.178 (1.098–1.264) |
| CTP | 0.416 | 0.105 | 3.967 | <0.001 | 1.516 (1.234–1.862) |
| CLIF-OFs | 0.484 | 0.128 | 3.789 | <0.001 | 1.623 (1.263–2.084) |
| Cirrhosis | 0.424 | 0.332 | 1.275 | 0.202 | 1.527 (0.796–2.930) |
| HBeAg positive (%) | 0.216 | 0.293 | 0.738 | 0.461 | 1.242 (0.699–2.206) |
| Variables | Multivariate Analysis | ||||
|---|---|---|---|---|---|
| β | S.E | Z | p | HR (95%CI) | |
| ΔSIRI3 | 0.107 | 0.030 | 3.624 | 0.001 | 1.113 (1.051–1.180) |
| ALB | −0.127 | 0.052 | −2.452 | 0.014 | 0.881 (0.796–0.975) |
| MELD | 0.160 | 0.043 | 3.711 | <0.001 | 1.174 (1.078–1.277) |
| CTP | 0.061 | 0.144 | 0.423 | 0.672 | 1.063 (0.801–1.411) |
Disclaimer/Publisher’s Note: The statements, opinions and data contained in all publications are solely those of the individual author(s) and contributor(s) and not of MDPI and/or the editor(s). MDPI and/or the editor(s) disclaim responsibility for any injury to people or property resulting from any ideas, methods, instructions or products referred to in the content. |
© 2025 by the authors. Licensee MDPI, Basel, Switzerland. This article is an open access article distributed under the terms and conditions of the Creative Commons Attribution (CC BY) license (https://creativecommons.org/licenses/by/4.0/).
Share and Cite
Yuan, J.; Chen, J.; Su, H.; Chen, Y.; Han, T.; Chen, T.; Liu, X.; Wang, Q.; Gao, P.; Chen, J.; et al. The Predictive Role of the Systemic Inflammation Response Index in the Prognosis of Hepatitis B Virus-Related Acute-on-Chronic Liver Failure: A Multicenter Study. Healthcare 2025, 13, 2199. https://doi.org/10.3390/healthcare13172199
Yuan J, Chen J, Su H, Chen Y, Han T, Chen T, Liu X, Wang Q, Gao P, Chen J, et al. The Predictive Role of the Systemic Inflammation Response Index in the Prognosis of Hepatitis B Virus-Related Acute-on-Chronic Liver Failure: A Multicenter Study. Healthcare. 2025; 13(17):2199. https://doi.org/10.3390/healthcare13172199
Chicago/Turabian StyleYuan, Jing, Jing Chen, Haibin Su, Yu Chen, Tao Han, Tao Chen, Xiaoyan Liu, Qi Wang, Pengbin Gao, Jinjun Chen, and et al. 2025. "The Predictive Role of the Systemic Inflammation Response Index in the Prognosis of Hepatitis B Virus-Related Acute-on-Chronic Liver Failure: A Multicenter Study" Healthcare 13, no. 17: 2199. https://doi.org/10.3390/healthcare13172199
APA StyleYuan, J., Chen, J., Su, H., Chen, Y., Han, T., Chen, T., Liu, X., Wang, Q., Gao, P., Chen, J., Tong, J., Li, C., & Hu, J. (2025). The Predictive Role of the Systemic Inflammation Response Index in the Prognosis of Hepatitis B Virus-Related Acute-on-Chronic Liver Failure: A Multicenter Study. Healthcare, 13(17), 2199. https://doi.org/10.3390/healthcare13172199

