Next Article in Journal
Assessing the Impact of Potential Confounders on Health-Related Quality of Life and Physical Activity in Patients with Chronic Kidney Disease Treated with Dialysis: A Cross-Sectional Study
Previous Article in Journal
Effectiveness of Nature-Based Interventions in Reducing Agitation Among Older Adults with Dementia: A Systematic Review and Meta-Analysis
Previous Article in Special Issue
Challenges in Implementing the Local Node Infrastructure for a National Federated Machine Learning Network in Radiology
 
 
Font Type:
Arial Georgia Verdana
Font Size:
Aa Aa Aa
Line Spacing:
Column Width:
Background:
Article

Establishing Diagnostic Reference Levels for Paediatric CT Imaging: A Multi-Centre Study

1
Department of Radiology and Molecular Imaging, College of Medicine and Health Sciences, Sultan Qaboos University, Muscat 123, Oman
2
Department of Physics, College of Science, Sultan Qaboos University, Muscat 123, Oman
3
Department of Radiology and Molecular Imaging, Sultan Qaboos University Hospital, Muscat 123, Oman
4
Department of Radiology, Royal Hospital, Muscat 123, Oman
5
Department of Human and Clinical Anatomy, College of Medicine and Health Sciences, Sultan Qaboos University, Muscat 123, Oman
*
Author to whom correspondence should be addressed.
Healthcare 2025, 13(14), 1728; https://doi.org/10.3390/healthcare13141728
Submission received: 13 April 2025 / Revised: 21 June 2025 / Accepted: 14 July 2025 / Published: 17 July 2025
(This article belongs to the Collection Radiology-Driven Projects: Science, Networks, and Healthcare)

Abstract

Background: Computed Tomography (CT) imaging is widely recognised for its high capability in assessing multiple organs. However, concerns about patient radiation exposure, particularly in children, pose significant challenges. Objective: This study aimed to establish diagnostic reference levels (DRLs) for paediatric patients in the most common CT examinations to monitor and better control radiation doses. Methods: Dosimetry records from 5956 patients’ scans for the four most common CT imaging examinations—Head, Chest, Abdomen Pelvis (AP), and Chest Abdomen Pelvis (CAP)—were considered. The CT dosimetric quantities (CT dose-index volume (CTDIvol) and dose-length product (DLP)), along with patient demographics (age and weight), were collected from radiology data storage systems. DRLs for CTDIvol and DLP were determined for each imaging examination, stratified by patient age and weight groups, in accordance with ICRP recommendations. Results: The derived DRLs are presented as [median CTDIvol (mGy): median DLP (mGy·cm)]. For (<1 yr): Head: 13:187, Chest: 0.4:7, AP: 0.9:19, CAP: 0.4:10. For (1–5 yrs): Head: 16:276, Chest: 1:22, AP: 1.5:58, CAP: 1.6:63. For (6–10 yrs): Head: 19:332, Chest: 1.4:35, AP: 1.9:74, CAP: 2:121. For (11–15 yrs): Head: 21:391, Chest: 3:86, AP: 4.1:191, CAP: 3:165. We observed that both the CTDIvol and DLP DRL values increase with patient age. Weight-based DRLs follow similar trends for CTDIvol, while DLP values show noticeable variations in Chest and AP examinations. Conclusions: The study findings highlight the need for review and optimisation of certain scanning protocols, particularly for chest and AP examinations. The derived DRLs are consistent with findings from other studies. The study recommends establishing national paediatric DRLs to enhance radiology practice across the country and ensure adherence to international safety standards.

1. Introduction

In recent decades, Computed Tomography (CT) has become one of the most vital diagnostic imaging techniques in the medical field [1]. It provides fast, non-invasive, and highly detailed images, which are essential for screening, diagnosing, and monitoring various health conditions [2,3]. CT imaging is used extensively for both adults and paediatric patients due to its ability to assess multiple organs and structures, helping doctors make more informed decisions [4]. Currently, the increased utilization of CT scans in both developed and developing countries poses great concerns about the radiation hazards associated with these CT examinations [5]. Despite its tremendous clinical value, the reports have demonstrated that CT examinations can promote cancer risk due to associated ionizing radiation [6,7]. As the utility of the CT has been greatly increasing over the years, the sharp increase in the volume of CT imaging examinations was found to be the major source of radiation exposure in the medical field [1]. A study by UNSCEAR on overall effective doses related to diagnostic medical exposures revealed that CT examinations represent 9.6% of total radiological investigations and contribute to 61.6% of total effective doses [6]. While the benefits of CT scans are undeniable, concerns about patient radiation exposure, especially for children, have raised significant challenges in healthcare practices [8]. Paediatric patients, being more sensitive to ionizing radiation, are at a higher risk of potential radiation-induced harm, necessitating the implementation of strategies that limit exposure while maintaining diagnostic effectiveness [9].
The International Commission on Radiological Protection (ICRP) introduced the concept of Diagnostic Reference Levels (DRLs) as a tool to optimize radiation doses in medical imaging procedures [10,11,12]. DRLs are used globally to ensure that the radiation doses administered to patients are neither excessively high nor low, serving as a benchmark for optimal radiation exposure [13,14]. In the last two decades, paediatric DRLs have been established in various countries for the most common CT examinations, including CT Head, CT Chest, CT Chest Abdomen Pelvis (CAP), and CT Abdomen Pelvis (AP) [15,16,17,18]. DRLs have been proven to be effective tools in monitoring radiation exposure and optimizing patient safety during diagnostic imaging [19].
Several studies have focused on establishing and updating DRLs for paediatric CT imaging. In the UK, a review in 2011 updated national DRLs, showing a reduction in radiation doses over time, with a 17–47% decrease by 2019 due to advances in CT technology [20]. In France and Ireland, studies revealed significant variations in radiation doses, highlighting the need for standardization [21]. The American College of Radiology also updated DRLs in 2021 for the top 10 paediatric CT exams [22,23]. These studies show the importance of regularly updating DRLs to ensure patient safety and diagnostic effectiveness.
The recommended DRL quantities for CT imaging examinations are CT dose-index volume (CTDIvol) and dose-length product (DLP). The CTDIvol value represents the radiation dose resulting from a single rotation of the X-ray tube, while DLP indicates the total radiation exposure of the patient, and is highly affected by length of imaged area, called scan length or imaging range [23,24,25,26]. Additionally, regular review of local DRLs for CT imaging examinations is essential to maintain compliance with radiation safety policies, and ensure that DRLs are not systematically exceeded, thereby enhancing radiology practice [25,27]. The fast growth of CT technology, such as spectral CT and high-slice scanners, further reinforces the importance of establishing DRLs, considered as one of the hottest topics in current radiology practice, as an efficient and valuable tool for radiation dose optimization [12,26].
However, while DRLs have been widely established in many regions, specific attention to paediatric CT imaging remains limited. Children are more susceptible to radiation damage due to their growing tissues, smaller size, and longer expected lifespan. Therefore, it is imperative to develop and evaluate DRLs specifically for paediatric patients to ensure that their radiation exposure is minimized without compromising diagnostic quality [11,28]. Existing studies on DRLs for paediatric CT have often been generalized from adult populations or focused on specific diagnostic procedures.
Oman has made significant strides in improving healthcare services, ensuring the safe use of diagnostic imaging for children remains a priority. The Sultan Qaboos University Hospital (SQUH) and Royal Hospital (RH), two of the largest healthcare facilities in Oman, provide a wide range of imaging services, including paediatric CT scans. However, the absence of locally established DRLs for paediatric patients necessitates the development of these reference levels to improve the local radiation protection practice and ensure compliance with international safety standards.
This study aimed to establish DRLs for paediatric CT imaging by evaluating the radiation doses from routine paediatric CT examinations. The main goal was to estimate DRL values for the four most common paediatric CT examinations, including CT Head, CT Chest, CT Abdomen Pelvis (AP), and CT Chest Abdomen Pelvis (CAP), as well as compare and discuss the derived DRLs with the most recently published DRLs in other countries.

2. Materials & Methods

2.1. Data Collection

In this retrospective study, dosimetric data were collected from CT paediatric patients’ scans available on the picture archiving and communication systems (PACS) at Sultan Qaboos University Hospital (SQUH; namely, Centre 1) and Royal Hospital (RH; namely, Centre 2). The radiation dose monitoring (RDM) and Al-Shifa hospital information system were used to extract the CT dosimetric data from Centre 1 and Centre 2, respectively. All patients’ scans were performed over the period from 2020 to 2024. Radiologists and medical physicists identified the four most common CT imaging examinations. These included CT Head, CT Chest, CT Abdomen Pelvis (AP), and CT Chest Abdomen Pelvis (CAP). Paediatric CT scans were all performed either on the Siemens SOMATOM Force 256 slice or Siemens SOMATOM Force 64 slice or Siemens SOMATOM Definition Flash (Siemens Healthineers, Erlangen, Germany). Dosimetric CT data were obtained from routine diagnostic scans performed on SOMATOM Force scanners at Centre 1, whereas Centre 2 operated both the Force 256 and the Definition Flash scanners. The use of CT dosimetric dose data acquired on different scanner models is an added value in terms of reliability and robustness in DRL studies and is expected to reflect local practice. All scanners were subject to strict quality assurance programs, including planned maintenance by the manufacturer, as well as daily, weekly, and annual quality control (QC) tests, along with post-repair QCs performed by local medical physicists. Additionally, despite both centres following quality control procedures, differences in the implemented scanning protocols such as scan length and automatic exposure control features may contribute to the variation in radiation dose across hospitals.
The total number of CT dosimetry records was collected from 5956 patient scans across both hospitals. The collected paediatric CT imaging was categorized into four paediatric age groups as recommended by ICRP 135 [12]: <1 year, 1–5 years, 6–10 years, and 11–15 years. Additionally, patients were classified into four weight groups according to the recommendations of “Radiation Protection No 185: European Guidelines on Diagnostic Reference Levels for Paediatric Imaging” [28]: <15 kg, 15–<30 kg, 30–50 kg, and >50 kg.
CT dosimetric data were collected from the dose reports generated by the CT acquisition and processing workstation at the completion of the patient study. To ensure the estimation of reliable and relevant DRLs, only diagnostic CT scans carried out using standard of care scanning protocols and approved by the quality management committee were considered in this study. This facilitates the comparison of the results with similar studies performed in other countries. A structured Excel form was developed and used by the researchers to collect data at both hospitals. CT dosimetry quantities (CTDIvol, DLP, exposure settings (kVp and mAs)) and patient demographics (age and weight) that were documented on the PACS or RIS radiology systems were collected from all patients’ scans.

2.2. Data Analysis

Microsoft Excel (Office 365), Minitab Statistical Software—Web App and OriginPro 2019 were used for data processing, statistical analysis, and charts generation presented in the ‘Results’ and ‘Discussion’ sections. Initially, Andreson–Darling normality tests were performed using Minitab to assess the distribution of continuous data. The normality tests identified that non-parametric tests were appropriate. Descriptive statistics, including minimum, median, maximum, interquartile ranges (IQRs), and 95% confidence intervals (CIs), for CTDIvol and DLP values across all CT imaging examinations were estimated. These median values were considered as local ‘typical values for DRLs’ and were subsequently compared to DRLs reported in recent studies. The Mann–Whitney U and Kruskal–Wallis tests were used to assess differences between the DRL values of the two centres and differences between age- and weight-based DRLs, respectively. These statistical indicators enhance transparency and allow a more robust comparison of dose distributions and paediatric scanning protocols between institutions. A significance level of 0.05 was applied for all statistical tests.

3. Results

3.1. Characteristics of Collected Data

Table 1 shows the CT acquisition parameters for the different imaging examinations performed at Centre 1 and Centre 2. Table 1 indicates that at Centre 1, head and chest examinations have the highest kVp values, while at Centre 2, all examinations fall within the same range of kVp. Generally, a kVp of 70 to 120 is predominantly used in CT imaging scans for both hospitals, with kVp 120 employed for overweight patients. Additionally, the mean mAs is higher for CAP in Centre 1, while head examinations exhibit the highest mean mAs in Centre 2.

3.2. Descriptive Statistics

Descriptive statistics, including sample sizes (N) for patient demographics and scan parameters across the two centres, are summarized in Table 2. Interquartile ranges (IQRs) and 95% CIs were used to describe data variability and estimate precision. The median age and weight were slightly higher in Centre 1, with broader IQRs suggesting a more diverse patient population. Notably, CTDIvol and DLP values were consistently higher in Centre 1, accompanied by wider IQRs, indicating differences in scanning protocol acquisition parameters. In contrast, Centre 2 showed more consistent technical parameters, particularly in mAs and KVp, reflecting consistent use of scanning protocols. Overall, the CIs confirmed the statistical stability of the data, supporting their suitability for establishing local DRLs.

3.3. Age-Based Classification of DRLs

3.3.1. Patients’ Demographics

A total of 5956 paediatric patient scans were recorded from the two centres based on their age in terms of CTDIvol (mGy) and DLP (mGy.cm) values. As Table 3 shows, the percentages of collected data are 90% in Centre 1 and 10% in Centre 2, while the percentages per age group are 10.9% for <1 year, 30.8% for 1–5 years, 24.8% for 6–10 years, and 33.5% for 11–15 years. The elevated discrepancy in the amount of collected data between the two hospitals was due to the methods employed for data collection. At Centre 1, data were extracted from the RDM system and then automatically transferred to an Excel sheet, ensuring efficiency and consistency. In contrast, at Centre 2, data were manually retrieved from the Al-Shifa management and storage system, which is inherently more time-consuming and prone to human errors. Additionally, the highest frequency of CT examinations was observed in the older age group, while the lowest frequency was recorded in the youngest age group due to the limited number of referrals for this age category, especially for CAP scans.

3.3.2. Estimation of DRLs

DRL values for all categories of CT imaging examinations were determined as the median of the CTDIvol and DLP dose distributions. Table 4 summarizes the DRL values for all CT examinations across four age groups. It includes the median values for Centre 1, Centre 2, and the average across participating hospitals, as well as the ranges for CTDIvol (mGy) and DLP (mGy.cm) values.
The median values for CTDIvol and DLP exhibit a wide range, which reflects the variability in patients’ weight. Large differences in median CTDIvol and DLP values were observed between examination types, with the largest disparity occurring in Head examinations and the smallest in Chest examinations for both CTDIvol and DLP values.
The statistical analysis presented in Table 4 is discussed in detail in Section 4.1, ‘Age-based Classification of DRLs’, under the ‘Discussion’ Section.

3.4. Weight-Based DRLs Classification

3.4.1. Patients’ Demographics

A total of 1446 paediatric patients’ doses were extracted from the two hospital sites based on their weight in terms of DLP (mGy.cm) and CTDIvol (mGy) values. The percentages of collected data were 57.4% in Centre 1 and 42.6% in Centre 2. The percentages per weight group were as follows: 33.7% for <15 kg, 38.1% for 15− <30 kg, 15.3% for 30–50 kg, and 6% for >50 kg. The discrepancy in the volume of collected data was due, as stated in the Section “Age-based classification of DRLs”, to the automatic data collection at Centre 1 and manual data collection at Centre 2. The highest frequency of CT examinations was observed in the first weight group (<15 kg), while the lowest frequency was recorded in the fourth weight group (>50 kg). Table 5 presents the overall frequencies for all types of paediatric imaging examinations.

3.4.2. Estimation of DRLs

From Table 6, median values for CTDIvol and DLP exhibit a wide range, which reflects the variability in patient weight. Large differences in median CTDIvol and DLP values were observed between examination types, with the largest disparity occurring in the head examination and the smallest in the chest examination.
The statistical analysis presented in Table 6 is discussed in detail in Section 4.2, ‘Weight-based Classification of DRLs’, subsection under the ‘Discussion’ Section.

4. Discussion

Unlike previous studies that investigated CT paediatric DRLs based either on age or weight, the present study categorised the collected data into four paediatric groups based on both age and weight. A comprehensive comparison of the DRLs between the two centres as well as with DRLs established in other countries is presented in the following sections.

4.1. Age-Based Classification of DRLs

4.1.1. Comparison of Doses from Both Centres

The comparison of median CTDIvol (mGy) and DLP (mGy·cm) values between Centre 1 and Centre 2 across different imaging protocols and age groups (Table 4) reveals notable dose differences. For the Head examination, Centre 1 consistently reports higher CTDIvol values across all age groups, except for the 11–15 age group, whereas the CTDIvol at Centre 2 is only 32% of that at Centre 1. Similarly, DLP values are higher at Centre 1 for all age groups, with the most considerable difference seen in the 11–15 age group (219%; 537 mGy·cm vs. 2:245 mGy·cm). For the Chest examination, Centre 2 generally records higher CTDIvol and DLP values compared to Centre 1, especially in younger age groups. For instance, in children under 1 year, Centre 1 has 50% and 40% lower CTDIvol and DLP, respectively, compared to Centre 2. This trend continues for ages 1–10, where Centre 2 consistently shows higher values. However, for the 11–15 age group, both institutions report similar CTDIvol values (3 mGy), with a DLP that is 15% lower at Centre 2.
The AP examination also demonstrates a trend where Centre 2 records slightly higher CTDIvol and DLP values in younger age groups, but Centre 1 surpasses Centre 2 in older children. For instance, in children under 1 year, Centre 1 CTDIvol and DLP are 30% and 32% lower, respectively, compared to Centre 2. However, in the 11–15 age group, Centre 1 reports CTDIvol and DLP DRL values that are 36% and 27% higher, respectively, compared with Centre 2. Lastly, in the CAP examination, Centre 2 generally records higher values, particularly in the 1–5 and 6–10 age groups. For children aged 1–5, Centre 2 records CTDIvol and DLP values that are 77% and 48% higher, respectively, than those of Centre 1. The difference continues in the 6–10 age group, where Centre 1 DLP is less than half that of Centre 2 (47%). However, for the 11–15 age group, both institutions report similar CTDIvol values, though Centre 1 achieved a DLP that is 42% lower compared with Centre 2.
Overall, the inter-centre comparison for the four age categories identified the imaging examinations (Head examination at Centre 1 and Chest, AP and CAP examinations at Centre 2) that deserve higher attention in terms of radiation dose optimisation.

4.1.2. CTDIvol and DLP DRLs

As shown in Table 4, the Mann–Whitney test indicates that significant differences (p < 0.001) in median CTDIvol and DLP values were observed across all age groups in head CT and chest CT examinations, with Centre 1 consistently showing higher median values. In contrast, there was no statistically significant differences in the older age groups for both centres, especially in median values of CTDIvol and DLP for AP and CAP examinations. This reflects similarities between technical acquisition parameters and scanning practice (e.g., AP CTDIvol median values for the 6–10 year age group with a p value of 0.805).
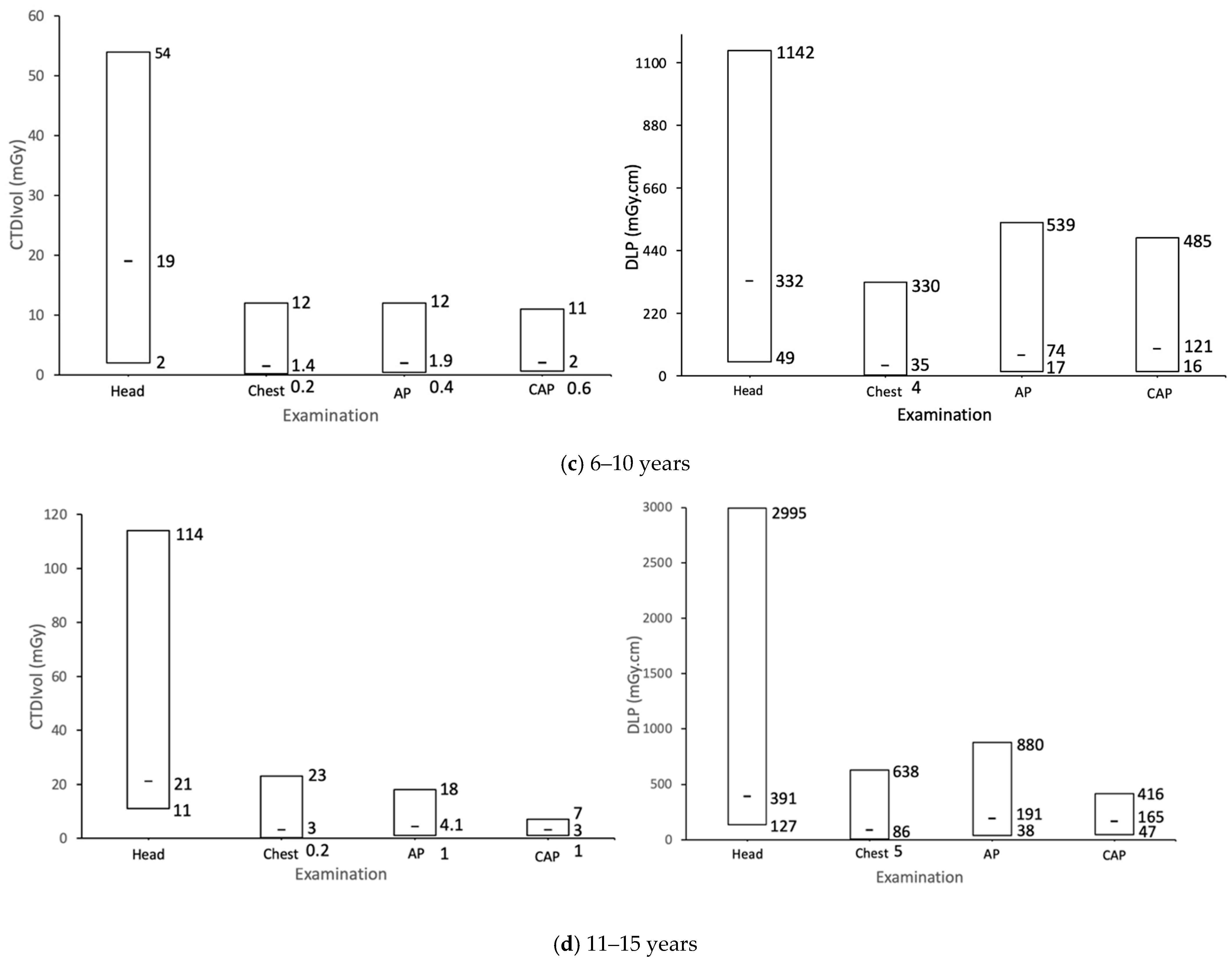
Figure 1 illustrates the distribution of DRLs for paediatric CT examinations (Head, Chest, AP, and CAP) across different age groups (<1 year, 1–5 years, 6–10 years, and 11–15 years). The data reveal variations in dose levels depending on examination type, patient age, and examination adjustments aimed at balancing radiation exposure with diagnostic image quality. Head CT scans consistently exhibit the highest radiation doses across all age groups, which is expected due to the necessity for adequate X-ray penetration of the skull to produce diagnostic image quality. The distribution of Head CT doses is moderately right-skewed, with most values on the lower end and fewer high-dose cases, reflecting variation based on individual patient characteristics.
Chest and AP scans show a right-skewed distribution, where most examinations involve lower doses, but some cases require higher radiation levels due to extended scan duration and scan length defined by the operator. This variability indicates large variations in scanning protocols due to patient-specific factors (e.g., weight) and varying clinical requests (e.g., clinical indication). In contrast, CAP examinations exhibit a normal dose distribution across the youngest and oldest age groups. This demonstrates a consistent approach to CAP scanning protocol implementation in terms of dose exposure settings and selection of imaging range.
The rise in radiation dose with age across all scan types suggests that exposure settings are adjusted to accommodate patient size and maintain adequate image quality. The wide variation observed in Chest and AP scans highlights the necessity for improved scanning protocols to minimize unnecessary dose discrepancies, while the more consistent dose level in Head and CAP scans illustrates the benefits of using common local scanning practices. These findings emphasize the need for ongoing optimization of paediatric CT protocols to ensure effective dose management and minimize radiation risks without compromising diagnostic outcomes.

4.1.3. Comparison to Other CT Paediatric DRLs

The comparison of the paediatric CT diagnostic reference levels (DRLs) from the present study with those reported in international studies reveals a consistent trend of lower radiation doses across most examination types and age groups, as shown in Table 7.
In this study, the CTDIvol values for head examinations range from 13 to 21 mGy, noticeably lower than those reported in other countries: 23–69 mGy in Malaysia [29], 23–27 mGy in Morocco [30], 17–34 mGy in China [31], and 30–60 mGy in Japan [21]. The DLP values, ranging from 187 to 391 mGy·cm, are also considerably lower than the values reported in these studies, showing a reduction of 25–60%. This suggests effective local management of doses and optimization of protocols in head CT scanning. A similar pattern is found in chest CT examinations, where the CTDIvol values in this study (0.4–3 mGy) are markedly lower than those reported in the United States (1.6–7.2 mGy) [32,33], Japan (3–6.5 mGy) [21], Malaysia (3.7–6.2 mGy) [29], and China (1.5–4.6 mGy) [31]. Additionally, the DLP values, spanning from 7 to 86 mGy·cm, are 70–90% lower than the abovementioned studies, indicating significant reductions in both dose per volume and scan length, especially among younger age groups who are more sensitive to radiation.
In AP CT scans, the CTDIvol values found in this study (0.9–4.1 mGy) are notably lower than those from the US (2.4–7.9 mGy) [32] and Japan (5–9 mGy) [21]. They are instead comparable to results reported from Saudi Arabia [33] for the 1–5 year age group. However, the DLP values (19–191 mGy·cm) are 9–158% higher than the findings from the Saudi study, despite the lower CTDIvol. This difference implies that the lengths of scans used in AP examinations may exceed what is clinically necessary, a concern raised during recent local clinical governance meetings. In CAP CT scans, the CTDIvol values in this study (0.4–3 mGy) are much lower than those found in the US (2.7–9.1 mGy) [32] and Malaysia (3–11.7 mGy) [29], reflecting dose reductions of up to 90%. The DLP values also align with this trend, showing a reduction of 60–90% across all age groups. Overall, these comparisons highlight effective dose optimization in the scanning protocols for head, chest, and CAP examinations, consistent with radiation protection principles in paediatric imaging. The consistently lower CTDIvol and DLP values indicate that radiographers are successfully implementing and running specialized paediatric protocols, particularly in sensitive areas such as the brain and chest.

4.2. Weight-Based Classification of DRLs

4.2.1. CTDIvol and DLP DRLs

As shown in Table 6, when stratified by weight, statistically significant differences in median CTDIvol and DLP values were found in most weight groups between the two centres, particularly for head and chest CT examinations in paediatric patients under 50 kg (p < 0.001). Centre 1 consistently demonstrated higher median CTDIvol and DLP values in head CT, while Centre 2 reported higher median values for CTDIvol and DLP in chest and CAP examinations, especially in lighter patients. In contrast, no significant differences in median CTDIvol and DLP values were found for chest and CAP examinations for patients over 50 kg (p = 0.580 and p = 0.134, respectively). Overall, these findings reflect more aligned practices in terms of scanning protocol parameters (exposure parameters and the selected imaging range) in the two centres in heavier paediatric patients.
Figure 2 illustrates the distribution of DRLs for paediatric CT examinations (head, chest, AP, and CAP) across the different weight groups (<15 kg, 15−<30 kg, 30–50 kg and >50 kg). The median CTDIvol (mGy) range was found to be 3.4–40.9 for the head, 0.1–7.4 for the chest, 0.5–6.9 for the AP, and 0.4–6.2 for the CAP. The DLP (mGy.cm) was found to be 712 for the head, 13–286 for the chest, 11–314 for AP and 10–344 for the CAP. The lowest CTDIvol and DLP values were observed in the lightest group of <15 kg. The values of CTDIvol and DLP increased with weight, reaching the highest values for the heaviest group of >50 kg. These findings are in agreement with previous studies that have demonstrated a relationship between median values of CTDIvol and DLP with weight [21,34,35,36,37]. As patient weight increases, higher radiation output is typically needed to ensure adequate image quality, which leads to an increase in both CTDIvol and DLP values due to greater body size and scan length. Head CT scans consistently exhibit the highest radiation doses across all weight groups, which is expected, as generating diagnostic quality images of the brain requires more energy to pass through the dense structure of the skull. The CTDIvol distribution for head CT shows a clear right-skewed pattern. For chest, AP, and CAP scans a right-skewed distribution is observed as well, indicating these findings of DRLs do not mean to differentiate between good or bad clinical practice. The use of DRLs for paediatric patients is likely to raise radiation exposure awareness among medical staff in radiology departments, encouraging safer CT paediatric practices and aiding in acquiring an appropriate diagnostic CT image quality required for paediatric examinations.

4.2.2. Comparison to Other CT Paediatric DRLs

As there are limited data available from Oman, we benchmarked against international data, as shown in Table 8. The DRL values for CT examination of chest, pelvis, and chest and pelvis were lower than those reported in Japan [21,34], Germany [35], Saudi Arabia [33], Greece [36] and Europe [37]. The head scan results were not compared with other published reports since no data were reported in these studies. For chest scans, the values of CTDIvol observed in this study for most weight groups were lower compared to data from other countries except Greece [36], where the values were comparable in the heaviest groups of 30–50 kg and <50 kg. Our DLP values are less than those in other countries, indicating that lower scan lengths were present in our data. For AP and CAP scans, the values of CTDIvol and DLP values observed in this study for most weight groups were generally 40–65% lower when compared to data from other countries, but not those for AP and CAP scans in Saudi Arabia [33], where the values were comparable for all weight groups except in the lightest group of <15 kg.
These differences may be attributed to several factors. One major reason is the variation in scanner type and technology; some centres use newer CT systems that are more efficient in reducing doses. Another important factor is the scanning protocol itself, including settings like tube current, voltage, scan length, and whether dose-saving features like automatic exposure control are used properly. Also, the level of experience among radiologists and how well protocols are followed can affect dose values.
The Kruskal–Wallis test indicates a statistically significant difference in CTDIvol and DLP DRLs between age- and weight-based groups across the different examinations, with a p-value of 0.006. Nonetheless, the age− and weight-based DRLs derived in the present study are in good agreement with several recently published paediatric CT DRLs.
From a practical implementation perspective, the findings of this study suggest that age-based grouping of paediatric subjects may allow for more consistent benchmarking and easier integration into clinical practice. A major challenging factor in paediatric imaging is that age is more frequently and accurately documented in medical records than weight, making it a more practical and reliable parameter for establishing and implementing DRLs. Therefore, age-based DRLs appear to be more effective than weight-based DRLs for dose optimisation in paediatric CT imaging. Nonetheless, weight-based DRLs could offer more tailored adjustment of exposure parameters, potentially leading to lower doses for individual patients.
The study has several limitations to note. First, manual collection of CT dose data was time-consuming, especially compared to automated methods using dose management software [34,36,37]. Second, some patients’ weight data were missing, which led to the exclusion of their scans. Third, the limited frequency of some examinations could extend significantly the data collection period, highlighting the need for team-based efforts. Fourth, the data were collected from only two large hospitals. Including more hospitals from across the country in future studies would help establish more reliable and robust national DRLs that better reflect national imaging practices. Finally, collecting more paediatric CT dose data may provide a clearer understanding of current clinical approaches [34,35]. Additionally, the optimisation of radiation doses through DRLs becomes more meaningful if radiation dose is evaluated alongside the desired image quality required for diagnosis [19,34]. In this context, Rehani et al. [13] introduced the concept of acceptable quality dose. This concept aligns with the diagnostic imaging vetting process and supports the development of more robust and clinically relevant DRLs that enhance optimisation efforts in routine radiology practice.

5. Conclusions

In the present study, age- and weight-based DRLs for the four most common paediatric CT examinations were established for dosimetric data collected from the two largest tertiary hospitals in Oman. The CTDIvol and DLP DRLs reveal noticeable differences in dose distribution between the two hospitals, highlighting the need for review and optimisation of some scanning protocols, especially for Chest and AP examinations. Additionally, the estimated DRLs compare well with those published in other countries, assuring a good adherence to radiation protection principles and international safety standards. To obtain more representative and reliable dose distributions, the derived DRLs should be updated by including paediatric CT data from a broader range of hospitals across the country. This study also underscores the importance of using radiation dose monitoring tools to streamline and accelerate the DRL estimation process. Based on this first study of paediatric CT DRLs in Oman, we recommend developing national DRL guidelines, implementing dose-monitoring software in clinical practice, and providing regular training for radiology staff to support dose optimization and patient safety.

Author Contributions

Conceptualization, Y.B.; methodology, Y.B., A.A.M. (Amal Al Maimani) and S.B.; validation, Y.B., S.B., F.A.K. and S.A.S.; formal analysis, A.A.M. (Amani Al Maqbali), M.A.K., A.A.M. (Amal Al Maimani) and A.A.J.; data curation, H.A.M., A.A.M. (Amani Al Maqbali), F.A.K., S.A.S. and A.A.J.; supervision, Y.B., H.A.M. and S.R.S.; writing—original draft preparation, A.A.M. (Amani Al Maqbali) and M.A.K.; writing—review and editing, Y.B., S.B., S.R.S. and A.A.M. (Amal Al Maimani). All authors have read and agreed to the published version of the manuscript.

Funding

This research work was funded by Sultan Qaboos University Undergraduate Student Research Fund (USRF); Project code: UF/MED/RADI/24/01.

Institutional Review Board Statement

The approval of the Medical Research Ethics Committee, College of Medicine and Health Sciences, Sultan Qaboos University, and the Royal Hospital ethics committee was obtained (Ethics approval code: REF. NO. SQU-EC/ 305\2023; MREC # 3221. Date: 11 February 2024).

Informed Consent Statement

Not applicable.

Data Availability Statement

The data collected from the radiology storage systems at Sultan Qaboos University Hospital and Royal Hospital are only available for access by the local researchers. The data analysed or generated during the study are included in the manuscript.

Acknowledgments

For language enhancement, ChatGPT, GPT-4-Turbo model was used.

Conflicts of Interest

The authors declare no conflicts of interest.

References

  1. Al Mahrooqi, K.M.S.; Ng, C.K.C.; Sun, Z. Pediatric Computed Tomography Dose Optimization Strategies: A Literature Review. J. Med. Imaging Radiat. Sci. 2015, 46, 241–249. [Google Scholar] [CrossRef] [PubMed][Green Version]
  2. Abalo, K.D.; Rage, E.; Leuraud, K.; Richardson, D.B.; Le Pointe, H.D.; Laurier, D.; Bernier, M.O. Early life ionizing radiation exposure and cancer risks: Systematic review and meta-analysis. Pediatr. Radiol. 2021, 51, 45–56. [Google Scholar] [CrossRef] [PubMed]
  3. Forghani, N.; Cohen, R.A.; Abbott, M.B. Radiation risks of CT scans. Pediatr. Rev. 2006, 27, 79. [Google Scholar] [CrossRef] [PubMed]
  4. Smith-Bindman, R.; Wang, Y.; Nelson, T.R.; Moghadassi, M.; Wilson, N.; Gould, R.; Seibert, A.; Boone, J.M.; Krishnam, M.; Lamba, R.; et al. Predictors of CT radiation dose and their effect on patient care: A comprehensive analysis using automated data. Radiology 2017, 282, 182–193. [Google Scholar] [CrossRef] [PubMed]
  5. Kutanzi, K.R.; Lumen, A.; Koturbash, I.; Miousse, I.R. Pediatric Exposures to Ionizing Radiation: Carcinogenic Considerations. Int. J. Environ. Res. Public Health 2016, 28, 1057. [Google Scholar] [CrossRef] [PubMed]
  6. Goo, H.W. CT radiation dose optimization and estimation: An update for radiologists. Korean J. Radiol. 2012, 13, 1–11. [Google Scholar] [CrossRef] [PubMed]
  7. Gilbert, E.S. Ionizing radiation and cancer risks: What have we learned from epidemiology? Int. J. Radiat. Biol. 2009, 85, 467–482. [Google Scholar] [CrossRef] [PubMed]
  8. Reisz, J.A.; Bansal, N.; Qian, J.; Zhao, W.; Furdui, C.M. Effects of ionizing radiation on biological molecules–mechanisms of damage and emerging methods of detection. Antioxid. Redox Signal. 2014, 21, 260–292. [Google Scholar] [CrossRef] [PubMed]
  9. Power, S.P.; Moloney, F.; Twomey, M.; James, K.; O’Connor, O.J.; Maher, M.M. Computed tomography and patient risk: Facts, perceptions and uncertainties. World J. Radiol. 2016, 8, 902. [Google Scholar] [CrossRef] [PubMed]
  10. Aubert, B.; Aubert, B. CT exposure from pediatric MDCT: Results from the 2007–2008 SFIPP/ISRN survey. J. Radiol. 2009, 90, 207–215. [Google Scholar]
  11. ICRP (International Commission on Radiological Protection). Radiological Protection and Safety in Medicine. ICRP Publication 73. Ann. ICRP 1996, 26. [Google Scholar]
  12. ICRP (International Commission on Radiological Protection). Diagnostic Reference Levels in Medical Imaging. ICRP Publication 135. Ann. ICRP 2017, 46, 1–144. [Google Scholar] [CrossRef] [PubMed]
  13. Rehani, M.M. Limitations of diagnostic reference level (DRL) and introduction of acceptable quality dose (AQD). Br. J. Radiol. 2015, 88, 20140344. [Google Scholar] [CrossRef] [PubMed]
  14. Paulo, G.; Damilakis, J.; Tsapaki, V.; Schegerer, A.A.; Repussard, J.; Jaschke, W.; Frija, G.; European Society of Radiology. Diagnostic Reference Levels based on clinical indications in computed tomography: A literature review. Insights Imaging 2020, 11, 96. [Google Scholar] [CrossRef] [PubMed]
  15. Dawd, J.E.; Ozsahin, D.U.; Ozsahin, I. A review of diagnostic reference levels in computed tomography. Curr. Med. Imaging 2022, 18, 623–632. [Google Scholar] [PubMed]
  16. Bibbo, G.; Brown, S.; Linke, R. Diagnostic reference levels of pediatric computed tomography examinations performed at a dedicated Australian pediatric hospital. J. Med. Imaging Radiat. Oncol. 2016, 60, 475–484. [Google Scholar] [CrossRef] [PubMed]
  17. Korir, G.K.; Wambani, J.S.; Korir, I.K.; Tries, M.A.; Boen, P.K. National diagnostic reference level initiative for computed tomography examinations in Kenya. Radiat. Prot. Dosim. 2016, 168, 242–252. [Google Scholar] [CrossRef] [PubMed]
  18. Rawashdeh, M.; Abdelrahman, M.; Zaitoun, M.; Saade, C.; Alewaidat, H.; McEntee, M.F. Diagnostic reference levels for paediatric CT in Jordan. J. Radiol. Prot. 2019, 39, 1060. [Google Scholar] [CrossRef] [PubMed]
  19. Bouchareb, Y.; Al-Maimani, A.; Al-Balushi, A.Y.; Al-Kalbani, M.; Al-Maskari, H.; Al-Dhuhli, H.; Al-Kindi, F. Establishment of diagnostic reference levels in computed tomography in two large hospitals in Oman. Radiat. Prot. Dosim. 2023, 199, 2148–2155. [Google Scholar] [CrossRef] [PubMed]
  20. Foley, S.J.; McEntee, M.F.; Rainford, L.A. Establishment of CT diagnostic reference levels in Ireland. Br. J. Radiol. 2012, 85, 1390–1397. [Google Scholar] [CrossRef] [PubMed]
  21. Kanal, K.M.; Butler, P.F.; Chatfield, M.B.; Wells, J.; Samei, E.; Simanowith, M.; Golden, D.; Gress, D.A.; Burleson, J.; Sensakovic, W.F.; et al. US diagnostic reference levels and achievable doses for 10 pediatric CT examinations. Radiology 2022, 302, 164–174. [Google Scholar] [CrossRef] [PubMed]
  22. Lee, M.Y.; Kwon, J.; Ryu, G.W.; Kim, K.H.; Nam, H.W.; Kim, K.P. Review of national diagnostic reference levels for interventional procedures. Prog. Med. Phys. 2019, 30, 75–88. [Google Scholar] [CrossRef]
  23. Walter, H.; Fred, A.M. Volume CT Dose Index and Dose-Length Product Displayed during CT: What Good Are They? Radiology 2011, 258, 236–242. [Google Scholar] [CrossRef] [PubMed]
  24. Matsubara, K. Computed tomography dosimetry: From basic to state-of-the-art techniques. Med. Phys. Int. J. 2017, 5, 61–67. [Google Scholar]
  25. Mansour, Z.; Mokhtar, A.; Sarhan, A.; Ahmed, M.T.; El-Diasty, T. Quality control of CT image using American College of Radiology (ACR) phantom. Egypt. J. Radiol. Nucl. Med. 2016, 47, 1665–1671. [Google Scholar] [CrossRef][Green Version]
  26. Satharasinghe, D.M.; Jeyasugiththan, J.; Wanninayake, W.M.N.M.B.; Pallewatte, A.S. Paediatric diagnostic reference levels in computed tomography: A systematic review. J. Radiol. Prot. 2021, 41, R1. [Google Scholar] [CrossRef] [PubMed]
  27. Bosmans, H.; Damilakis, J.; Ducou le Pointe, H.; Foley, S.J. Radiation Protection No. 185 European Guidelines on Diagnostic Reference Levels for Pediatric Imaging. (Online Resource 2018). Available online: https://www.eurosafeimaging.org/wp/wp-content/uploads/2018/09/rp_185.pdf (accessed on 10 March 2024).
  28. Muhammad, N.A.; Abdul Karim, M.K.; Abu Hassan, H.; Ahmad Kamarudin, M.; Ding Wong, J.H.; Ng, K.H. Diagnostic reference level of radiation dose and image quality among pediatric CT examinations in a tertiary hospital in Malaysia. Diagnostics 2020, 10, 591. [Google Scholar] [CrossRef] [PubMed]
  29. Benmessaoud, M.; Dadouch, A.; Talbi, M.; Tahiri, M.; El-Ouardi, Y. Diagnostic reference levels for pediatric head computed tomography in Morocco: A nationwide survey. Radiat. Prot. Dosim. 2020, 191, 400–408. [Google Scholar] [CrossRef] [PubMed]
  30. Yang, F.; Gao, L. Age-based diagnostic reference levels and achievable doses for pediatric CT: A survey in Shanghai, China. J. Radiol. Prot. 2024, 44, 021509. [Google Scholar] [CrossRef] [PubMed]
  31. National Diagnostic Reference Levels in Japan (2020)—Japan DRLs 2020. Available online: https://j-rime.qst.go.jp/report/DRL2020_Engver.pdf (accessed on 9 October 2021).
  32. UK Health Security Agency. UKHSA-RCE-1: Doses from Computed Tomography (CT) Exams in the UK (2019 Review); UK Health Security Agency: London, UK, 2022.
  33. Alenazi, K.; Alkhybari, E.; Alhailiy, A.; Alahmad, H.; Alghamdi, S.; Fisal, N.; Albeshan, S. Local diagnostic reference levels of pediatric chest and abdominopelvic CT examinations based on body weight in central region of Saudi Arabia. J. Radiat. Res. Appl. Sci. 2025, 18, 101371. [Google Scholar] [CrossRef]
  34. Abe, K.; Hosono, M.; Igarashi, T.; Iimori, T.; Ishiguro, M.; Ito, T.; Nagahata, T.; Tsushima, H.; Watanabe, H. The 2020 national diagnostic reference levels for nuclear medicine in Japan. Ann. Nucl. Med. 2020, 34, 799–806. [Google Scholar] [CrossRef] [PubMed]
  35. Schegerer, A.A.; Loose, R.; Heuser, L.; Brix, G. Diagnostic reference levels for diagnostic and interventional X-ray procedures in Germany: Update and handling–Answer to the comments of members of the chest radiology workshop of the German Roentgen Society. RöFo-Fortschritte Gebiet Röntgenstrahlen bildgebenden Verfahren 2022, 192, 83. [Google Scholar] [CrossRef] [PubMed]
  36. Ploussi, A.; Syrgiamiotis, V.; Makri, T.; Hatzigiorgi, C.; Efstathopoulos, E.P. Local diagnostic reference levels in pediatric CT examinations: A survey at the largest children’s hospital in Greece. Br. J. Radiol. 2020, 93, 20190358. [Google Scholar] [CrossRef] [PubMed]
  37. European Guidelines on Diagnostic Reference Levels for Paediatric Imaging—Publications Office of the EU. Available online: https://op.europa.eu/en/publication-detail/-/publication/6e473ff5-bd4b-11e8-99ee-01aa75ed71a1/language-en (accessed on 13 November 2024).
Figure 1. Bar charts of the minimum, median, maximum CTDIvol, and DLP for Head, Chest, AP, and CAP CT examinations for different age groups. Numeric values in each bar represent minimum (bottom), median (middle), and maximum (top) value.
Figure 1. Bar charts of the minimum, median, maximum CTDIvol, and DLP for Head, Chest, AP, and CAP CT examinations for different age groups. Numeric values in each bar represent minimum (bottom), median (middle), and maximum (top) value.
Healthcare 13 01728 g001aHealthcare 13 01728 g001b
Figure 2. Bar charts of the minimum, median, maximum CTDIvol, and DLP for Head, Chest, AP, and CAP CT examinations for the different weight groups. Numeric values in each bar represent minimum (bottom), median (middle), and maximum (top) value.
Figure 2. Bar charts of the minimum, median, maximum CTDIvol, and DLP for Head, Chest, AP, and CAP CT examinations for the different weight groups. Numeric values in each bar represent minimum (bottom), median (middle), and maximum (top) value.
Healthcare 13 01728 g002aHealthcare 13 01728 g002b
Table 1. Patients’ weight and acquisition parameters in CT paediatric examinations at Centre 1 and Centre 2.
Table 1. Patients’ weight and acquisition parameters in CT paediatric examinations at Centre 1 and Centre 2.
ExaminationWeight (Range, kg)kVpmAsPitch FactorRotation Time (s)
Centre 1
Head0.45–8070–15018–6930.35–1.200.50–1.00
Chest1–105.570–15017.5–6930.55–3.000.25–1.00
AP1.65–8170–12021–6930.60–1.900.25–1.00
CAP1.55–10870–12028–6930.60–1.900.25–0.50
Centre 2
Head1.74–69.5070–12069–4000.8–0.550.50–1.00
Chest2.33–69.5070–12012–2751.9–3.20.25–0.28
AP2.33–69.5070–12026–2001.9–2.50.25–0.28
CAP6.50–69.5070–12044–2001.9–2.50.25–0.28
Table 2. Descriptive statistics of CTDIvol and DLP across Centre 1 and Centre 2, including medians, IQRs, and 95% confidence intervals (CI).
Table 2. Descriptive statistics of CTDIvol and DLP across Centre 1 and Centre 2, including medians, IQRs, and 95% confidence intervals (CI).
VariableCentreNMeanStDevMedianIQR95% CI
Age (year)Centre 153417.575.1879.99(7–7)
Centre 26165.894.0368(7–7)
Weight (kg)Centre 183021.8016.291817.68(16.6–18)
Centre 261620.0112.8317.3515.41(16.6–18)
CTDIvol (mGy)Centre 1534112.8111.5311.0519.09(10.28–11.23)
Centre 26168.637.256.49512.69(10.28–11.23)
DLP (mGy.cm)Centre 15341254.50211.03216.89332.29(200.95–216.89)
Centre 2616170.14124.03146.5207.63(201–216.89)
KVpCentre 1534177.2595.0632.75139.75(46.9–54.5)
Centre 261691.6613.0510020(46.94–54.46)
mAsCentre 1534177.2595.0632.75139.75(46–53)
Centre 2616139.3356.7613378.75(46–53)
Table 3. Volume of CT scans performed across different age groups, hospitals, and examinations.
Table 3. Volume of CT scans performed across different age groups, hospitals, and examinations.
<1 Year1–5 Years6–10 Years11–15 YearsTotal
Centre
Centre 15731616127518765340
Centre 274219201122616
All6471835147619985956
Examination
Brain40910907748203093
Chest1824963515321561
AP5621792726381651
CAP15737860226
Table 4. The estimated median values for CTDIvol and DLP for Centre 1 and Centre 2 combined, according to the four age groups.
Table 4. The estimated median values for CTDIvol and DLP for Centre 1 and Centre 2 combined, according to the four age groups.
Imaging Protocol CTDIvol (mGy)DLP (mGy.cm)
Age Group (Year)RangeMedian Centre 1Median Centre 2Medianp-ValueRangeMedian Centre 1Median Centre 2Medianp-Value
Head<12–55151113<0.00121–799228145187<0.001
1–52–49181416<0.00120–813316236276<0.001
6–102–54201719<0.00149–1142359304332<0.001
11–1511–114311021<0.001135–2995537245391<0.001
Chest<10.1–100.30.60.40.0062–11841070.006
1–50.2–80.51.41<0.0013–223103322<0.001
6–100.2–120.721.4<0.0014–330155435<0.001
11–150.2–233330.4715–6289379860.411
AP<10.2–50.710.90.03321–1491522190.054
1–50.3–8121.50.06711–2204273580.018
6–100.4–121.52.31.90.80517–5396087740.960
11–151–1853.24.10.04338–880220161191-
CAP<10.1–0.70.4-0.4-1–2010-10-
1–50.3–712.21.60.18414–3364184630.012
6–100.6–112220.72616–4851141281210.677
11–151–73330.96747–4161222071650.185
Table 5. Volume of CT scans performed across different weight groups, centres, and examinations.
Table 5. Volume of CT scans performed across different weight groups, centres, and examinations.
<15 kg15−<30 kg30–50 kg>50 kgTotal
Hospital
Centre 134029114356830
Centre 22472607831616
All487551221871446
Examination
Brain2532048123561
Chest1931384220393
AP891376437327
CAP52723420178
Table 6. The estimated median values for CTDIvol and DLP for Centres 1 and 2 combined according to the four weight groups.
Table 6. The estimated median values for CTDIvol and DLP for Centres 1 and 2 combined according to the four weight groups.
Imaging Protocol CTDIvol (mGy)DLP (mGy.cm)
Weight Group (kg)RangeMedian Centre 1Median Centre 2Medianp-ValueRangeMedian Centre 1Median Centre 2Medianp-Value
Head<153.4–23.219.21215.6<0.00141–469339202270<0.001
15−>3011.6–30.123.316.718.0<0.001196–728420300360<0.001
30–507–36.624.917.821.4<0.00174–751448325387<0.001
>5016.2–40.930.120.525.30.009365–7125383654520.001
Chest<150.1–50.41.10.7<0.00113–1126.92114<0.001
15−>300.3–7.30.62.21.4<0.0017–2181353.833<0.001
30–500.8–8.11.0320.00823–2583185.7580.008
>502–7.44.13.53.80.58060–2861291081180.175
AP<150.5–4.90.92.11.5<0.00111–186257249<0.001
15−>302.9–3.81.42.23.40.01716–1744983660.024
30–502.4–8.02.73.73.20.025105–3431131751440.009
>502.6–6.95.33.54.4-123–314231172202-
CAP<150.4–6.812.21.60.00510–2733184580.002
15−>300.6–7.31.41.71.50.84925–3386178701.000
30–501.7–8.52.22.92.60.08688–430792071430.018
>502.0–6.244.44.20.42899–3441852862350.134
Table 7. DRL values in terms of CTDIvol (mGy) and the DLP (mGy·cm) estimated in the present study compared with data reported in studies from Malaysia, Morocco, China, US, Japan, and Saudi Arabia (KSA).
Table 7. DRL values in terms of CTDIvol (mGy) and the DLP (mGy·cm) estimated in the present study compared with data reported in studies from Malaysia, Morocco, China, US, Japan, and Saudi Arabia (KSA).
Age Group (Year)<11–56–1011–15
QuantityCTDIvolDLPCTDIvolDLPCTDIvolDLPCTDIvolDLP
ExaminationHead
Present study13187162761933221391
Japan [21]304804066055850601000
Malaysia [29]23250294493245969811
Morocco [30]23380254542649827523
China [31]17260243402743434434
ExaminationChest
Present study0.471221.435386
US [32]1.6312.4582.9957.2272
Japan [21]3704956.51756.530
Malaysia [29]3.7474.2676.21266.2156
China [31]1.5291.6352.2604.6153
ExaminationAP
Present study0.9191.6581.9744.1191
US [32]2.4602.91004.61707.9358
Japan [21]511061907.52659450
KSA [33]--1.5292.4665.774
ExaminationCAP
Present study0.4101.66321213165
US [32]2.78931094.32049.1437
Malaysia [29]3984.61507.129311.7645
Table 8. DRL values in terms of CTDIvol (mGy) and DLP (mGy·cm) estimated in the present study compared with data reported in previous studies from Greece, Japan, Germany, Europe, and Saudi Arabia.
Table 8. DRL values in terms of CTDIvol (mGy) and DLP (mGy·cm) estimated in the present study compared with data reported in previous studies from Greece, Japan, Germany, Europe, and Saudi Arabia.
Weight Group (Kg)<1515−<3030–50>50
QuantityCTDIvolDLPCTDIvolDLPCTDIvolDLPCTDIvolDLP
ExaminationChest
Present study0.714.11.433.4258.43.8118.2
Saudi Arabia [33]2.738.23.471.44.7107.26.5177
Greece [36]2422612613110
Europe [37]1352503704115
Japan [21]2.5384.5615.51556.5225
Germany [35]--2.750----
ExaminationAP
Present study1.5493.4663.21444.4202
Saudi Arabia [33]2.471.34.1156.15.1181.24.2206
Greece [36]--28521493226
Europe [37]--412051507210
Japan [21]2.56561656.53058360
Germany [35]--3102----
ExaminationCAP
Present study1.6581.5702.61434.2235
Saudi Arabia [33]2.661.22.980.52.9129.34.7230
Disclaimer/Publisher’s Note: The statements, opinions and data contained in all publications are solely those of the individual author(s) and contributor(s) and not of MDPI and/or the editor(s). MDPI and/or the editor(s) disclaim responsibility for any injury to people or property resulting from any ideas, methods, instructions or products referred to in the content.

Share and Cite

MDPI and ACS Style

Bouchareb, Y.; Al Kharusi, M.; Al Maqbali, A.; Al Maimani, A.; Al Maskari, H.; Sirasanagandla, S.R.; Al Jabri, A.; Al Kindi, F.; Al Shabibi, S.; Baawain, S. Establishing Diagnostic Reference Levels for Paediatric CT Imaging: A Multi-Centre Study. Healthcare 2025, 13, 1728. https://doi.org/10.3390/healthcare13141728

AMA Style

Bouchareb Y, Al Kharusi M, Al Maqbali A, Al Maimani A, Al Maskari H, Sirasanagandla SR, Al Jabri A, Al Kindi F, Al Shabibi S, Baawain S. Establishing Diagnostic Reference Levels for Paediatric CT Imaging: A Multi-Centre Study. Healthcare. 2025; 13(14):1728. https://doi.org/10.3390/healthcare13141728

Chicago/Turabian Style

Bouchareb, Yassine, Manar Al Kharusi, Amani Al Maqbali, Amal Al Maimani, Hasina Al Maskari, Srinivasa Rao Sirasanagandla, Amna Al Jabri, Faiza Al Kindi, Saud Al Shabibi, and Saleh Baawain. 2025. "Establishing Diagnostic Reference Levels for Paediatric CT Imaging: A Multi-Centre Study" Healthcare 13, no. 14: 1728. https://doi.org/10.3390/healthcare13141728

APA Style

Bouchareb, Y., Al Kharusi, M., Al Maqbali, A., Al Maimani, A., Al Maskari, H., Sirasanagandla, S. R., Al Jabri, A., Al Kindi, F., Al Shabibi, S., & Baawain, S. (2025). Establishing Diagnostic Reference Levels for Paediatric CT Imaging: A Multi-Centre Study. Healthcare, 13(14), 1728. https://doi.org/10.3390/healthcare13141728

Note that from the first issue of 2016, this journal uses article numbers instead of page numbers. See further details here.

Article Metrics

Back to TopTop