Development and Validation of a Nomogram to Predict Depression Risk in Patients with Cardiovascular Disease
Abstract
1. Introduction
2. Materials and Methods
2.1. Study Design
2.2. Participants
2.3. Data Interpolation
2.4. Cross-Validation: Evaluating the Predictive Model Performance
2.5. Variables
2.5.1. Definition of Cardiovascular Disease and Depression
2.5.2. Definition of Risk Factors
2.6. Statistical Analysis
3. Results
3.1. Description of CVD Patients by Depression Status
3.2. Risk Factors for Post-CVD Depression
3.3. Elimination of Multicollinearity
3.4. Goodness of Fit Testing
3.5. Construction of a Risk Prediction Nomogram for Depression
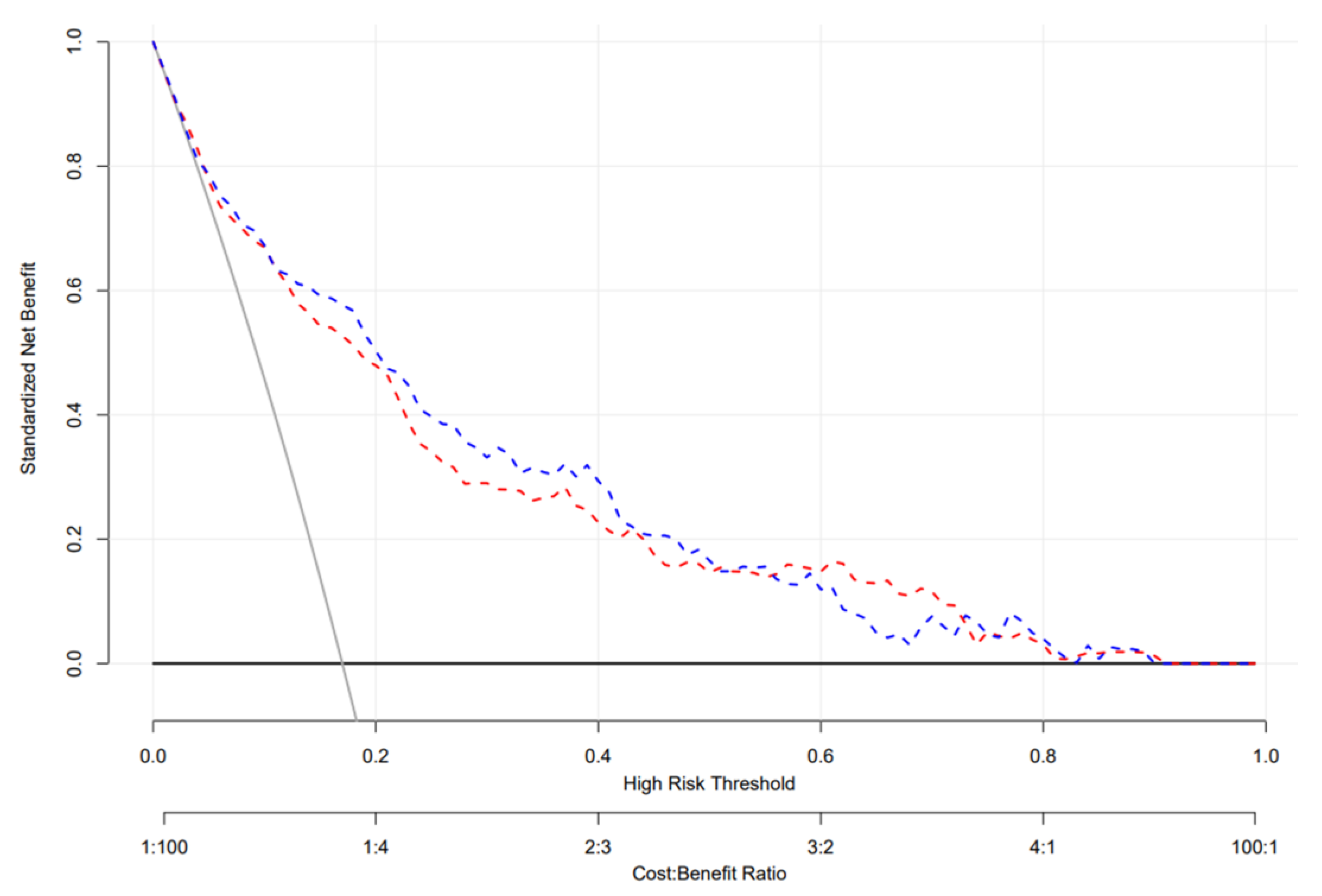
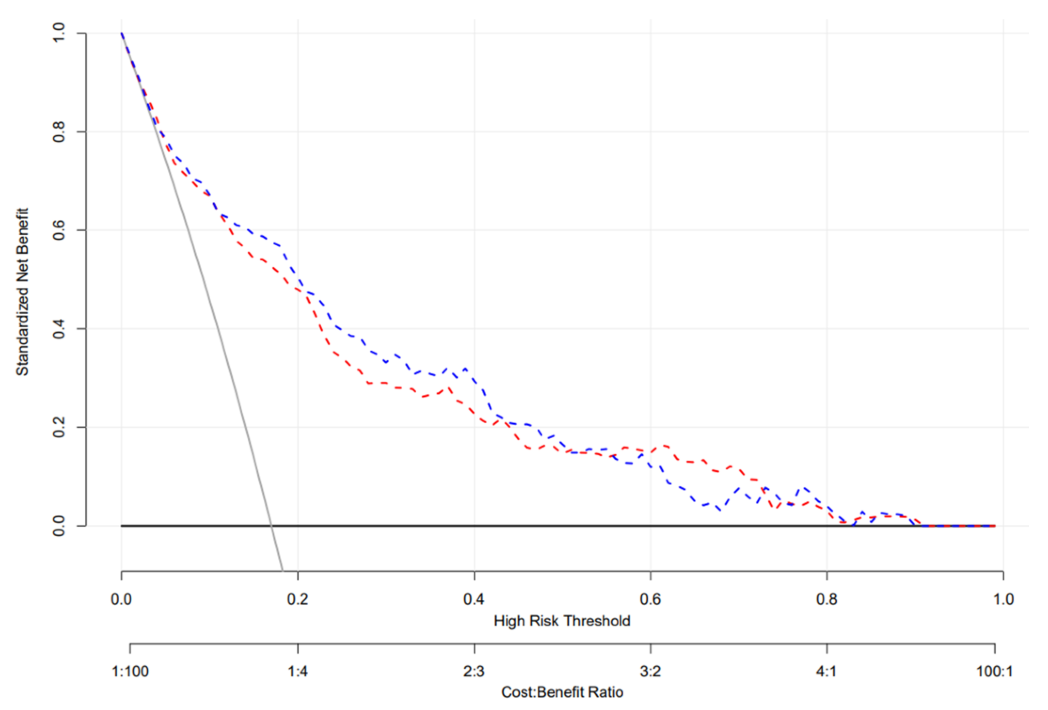
3.6. Performance Assessment of the Risk Prediction Nomogram for Depression
4. Discussion
5. Conclusions
Author Contributions
Funding
Institutional Review Board Statement
Informed Consent Statement
Data Availability Statement
Acknowledgments
Conflicts of Interest
Abbreviations
| CVD | Cardiovascular disease |
| AUC | Area under the curve |
| WHO | World Health Organization |
| NCHS | National Center for Health Statistics |
| CDC | Center for Disease Control and Prevention |
| NHNES | National Health and Nutrition Examination Survey |
| BIC | Bayesian Information Criterion |
| ROCAUC | Area the under the receiver operating characteristic curve |
| PRAUC | Area under the precision-recall curve |
| MCQ | Medical conditions questionnaire |
| PHQ-9 | Nine-item Patient Health Questionnaire |
| DSM-5 | Diagnostic and Statistical Manual of Mental Disorders, firth edition |
| PA | Physical activity |
| BMI | Body mass index |
| LPA | Light physical activity |
| MPA | Moderate physical activity |
| VPA | Vigorous physical activity |
| METs | Metabolic equivalent tasks |
| CBC | Complete blood count |
| SII | Systemic immune-inflammation index |
| SIRI | Systemic inflammatory response index |
| VIF | Variance inflation factor |
| OR | Odds ratio |
| CI | Confidence interval |
| DCA | Decision curve analysis |
| CIC | Clinical impact curve |
| HL | Hosmer-Lemeshow |
Appendix A
| Factors | Levels | Training Cohort (n = 5025) | p-Value | Validation Cohort (n = 1677) | p-Value | ||
|---|---|---|---|---|---|---|---|
| Not Depressed | Depressed | Not Depressed | Depressed | ||||
| (n = 4122) | (n = 903) | (n = 1375) | (n = 302) | ||||
| Age (mean (SD)) | 69.04 (10.54) | 59.16 (11.68) | <0.0001 | 69.25 (10.77) | 59.10 (12.27) | <0.0001 | |
| Gender (%) | Male | 2519 (61.11) | 424 (46.95) | <0.0001 | 833 (60.58) | 138 (45.70) | <0.0001 |
| Female | 1603 (38.89) | 479 (53.05) | 542 (39.42) | 164 (54.30) | |||
| Race (%) | Non-Hispanic White | 2618 (63.51) | 444 (49.17) | <0.0001 | 879 (63.93) | 146 (48.34) | <0.0001 |
| Mexican American | 325 (7.88) | 122 (13.51) | 119 (8.65) | 42 (13.91) | |||
| Other Hispanic | 261 (6.33) | 116 (12.85) | 79 (5.75) | 39 (12.91) | |||
| Non-Hispanic Black | 823 (19.97) | 179 (19.82) | 271 (19.71) | 63 (20.86) | |||
| Other Race | 95 (2.30) | 42 (4.65) | 27 (1.96) | 12 (3.97) | |||
| Education (%) | Less Than 9th Grade | 655 (15.89) | 218 (24.14) | <0.0001 | 232 (16.87) | 60 (19.87) | <0.0001 |
| 9-11th Grade | 751 (18.22) | 196 (21.71) | 259 (18.84) | 72 (23.84) | |||
| High School Grad/GED | 1112 (26.98) | 244 (27.02) | 364 (26.47) | 82 (27.15) | |||
| Some College or AA degree | 1012 (24.55) | 224 (24.81) | 331 (24.07) | 83 (27.48) | |||
| College Graduate or above | 592 (14.36) | 21 (2.33) | 189 (13.75) | 5 (1.66) | |||
| Material status (%) | Married/Living with partner | 2392 (58.03) | 393 (43.52) | <0.0001 | 773 (56.22) | 139 (46.03) | <0.0001 |
| Widowed/Divorced/Separated | 1488 (36.10) | 375 (41.53) | 520 (37.82) | 119 (39.40) | |||
| Never married | 242 (5.87) | 135 (14.95) | 82 (5.96) | 44 (14.57) | |||
| Family income to poverty ratio (%) | More than 130% | 2829 (68.63) | 364 (40.31) | <0.0001 | 955 (69.45) | 135 (44.70) | <0.0001 |
| Less than 130% | 1293 (31.37) | 539 (59.69) | 420 (30.55) | 167 (55.30) | |||
| BMI (%) | Underweight (<18.5) | 19 (0.46) | 5 (0.55) | <0.0001 | 8 (0.58) | 4 (1.32) | 0.0017 |
| Normal (18.5 to <25) | 690 (16.74) | 128 (14.17) | 229 (16.65) | 48 (15.89) | |||
| Overweight (25 to <30) | 1316 (31.93) | 195 (21.59) | 449 (32.65) | 68 (22.52) | |||
| Obese (30 or greater) | 2097 (50.87) | 575 (63.68) | 689 (50.11) | 182 (60.26) | |||
| Alcohol status (%) | Non-drinker | 1637 (39.71) | 243 (26.91) | <0.0001 | 573 (41.67) | 79 (26.16) | <0.0001 |
| Drinker | 2485 (60.29) | 660 (73.09) | 802 (58.33) | 223 (73.84) | |||
| Smoking status (%) | Never smoker | 1524 (36.97) | 266 (29.46) | <0.0001 | 498 (36.22) | 86 (28.48) | <0.0001 |
| Former smoker | 1930 (46.82) | 263 (29.13) | 673 (48.95) | 89 (29.47) | |||
| Current smoker | 668 (16.21) | 374 (41.42) | 204 (14.84) | 127 (42.05) | |||
| SII (%) | Q1 | 1004 (24.36) | 266 (29.46) | 0.0001 | 336 (24.44) | 72 (23.84) | 0.2379 |
| Q2 | 1106 (26.83) | 184 (20.38) | 328 (23.85) | 57 (18.87) | |||
| Q3 | 1010 (24.50) | 216 (23.92) | 363 (26.40) | 90 (29.80) | |||
| Q4 | 1002 (24.31) | 237 (26.25) | 348 (25.31) | 83 (27.48) | |||
| SIRI (%) | Q1 | 977 (23.70) | 300 (33.22) | <0.0001 | 301 (21.89) | 101 (33.44) | 0.0002 |
| Q2 | 1055 (25.59) | 209 (23.15) | 353 (25.67) | 58 (19.21) | |||
| Q3 | 1016 (24.65) | 237 (26.25) | 357 (25.96) | 74 (24.50) | |||
| Q4 | 1074 (26.06) | 157 (17.39) | 364 (26.47) | 69 (22.85) | |||
| Eosinophils count (%) | Q1 | 1440 (34.93) | 252 (27.91) | 0.0001 | 461 (33.53) | 88 (29.14) | 0.0318 |
| Q2 | 1307 (31.71) | 343 (37.98) | 425 (30.91) | 120 (39.74) | |||
| Q3 | 674 (16.35) | 143 (15.84) | 249 (18.11) | 47 (15.56) | |||
| Q4 | 701 (17.01) | 165 (18.27) | 240 (17.45) | 47 (15.56) | |||
| Red cell distribution width (%) | Q1 | 1135 (27.54) | 305 (33.78) | 0.0024 | 381 (27.71) | 99 (32.78) | 0.1175 |
| Q2 | 917 (22.25) | 186 (20.60) | 294 (21.38) | 64 (21.19) | |||
| Q3 | 1048 (25.42) | 214 (23.70) | 340 (24.73) | 78 (25.83) | |||
| Q4 | 1022 (24.79) | 198 (21.93) | 360 (26.18) | 61 (20.20) | |||
| Blood lead (%) | Q1 | 970 (23.53) | 301 (33.33) | <0.0001 | 360 (26.18) | 106 (35.10) | 0.0162 |
| Q2 | 1026 (24.89) | 203 (22.48) | 323 (23.49) | 63 (20.86) | |||
| Q3 | 1029 (24.96) | 232 (25.69) | 351 (25.53) | 72 (23.84) | |||
| Q4 | 1097 (26.61) | 167 (18.49) | 341 (24.80) | 61 (20.20) | |||
| Blood cadmium (%) | Q1 | 1103 (26.76) | 165 (18.27) | <0.0001 | 371 (26.98) | 46 (15.23) | <0.0001 |
| Q2 | 1107 (26.86) | 172 (19.05) | 363 (26.40) | 67 (22.19) | |||
| Q3 | 974 (23.63) | 232 (25.69) | 360 (26.18) | 78 (25.83) | |||
| Q4 | 938 (22.76) | 334 (36.99) | 281 (20.44) | 111 (36.75) | |||
| Mercury (%) | Q1 | 992 (24.07) | 307 (34.00) | <0.0001 | 312 (22.69) | 84 (27.81) | 0.0020 |
| Q2 | 1035 (25.11) | 210 (23.26) | 347 (25.24) | 82 (27.15) | |||
| Q3 | 975 (23.65) | 250 (27.69) | 346 (25.16) | 86 (28.48) | |||
| Q4 | 1120 (27.17) | 136 (15.06) | 370 (26.91) | 50 (16.56) | |||
| Cotinine (%) | Q1 | 1137 (27.58) | 150 (16.61) | <0.0001 | 400 (29.09) | 48 (15.89) | <0.0001 |
| Q2 | 1134 (27.51) | 110 (12.18) | 359 (26.11) | 44 (14.57) | |||
| Q3 | 1020 (24.75) | 211 (23.37) | 350 (25.45) | 66 (21.85) | |||
| Q4 | 831 (20.16) | 432 (47.84) | 266 (19.35) | 144 (47.68) | |||
| Asthma (%) | No | 3379 (81.97) | 503 (55.70) | <0.0001 | 1148 (83.49) | 165 (54.64) | <0.0001 |
| Yes | 743 (18.03) | 400 (44.30) | 227 (16.51) | 137 (45.36) | |||
| Osteoarthritis (%) | No | 1626 (39.45) | 225 (24.92) | <0.0001 | 549 (39.93) | 82 (27.15) | <0.0001 |
| Yes | 2496 (60.55) | 678 (75.08) | 826 (60.07) | 220 (72.85) | |||
| Stomach or intestinal illness (%) | No | 3757 (91.15) | 596 (66.00) | <0.0001 | 1243 (90.40) | 198 (65.56) | <0.0001 |
| Yes | 365 (8.85) | 307 (34.00) | 132 (9.60) | 104 (34.44) | |||
| Work limitation (%) | No | 2540 (61.62) | 238 (26.36) | <0.0001 | 856 (62.25) | 75 (24.83) | <0.0001 |
| Yes | 1582 (38.38) | 665 (73.64) | 519 (37.75) | 227 (75.17) | |||
| Mobility disorder (%) | No | 2737 (66.40) | 488 (54.04) | <0.0001 | 917 (66.69) | 167 (55.30) | 0.0002 |
| Yes | 1385 (33.60) | 415 (45.96) | 458 (33.31) | 135 (44.70) | |||
| Confusion memory problems (%) | No | 3380 (82.00) | 457 (50.61) | <0.0001 | 1159 (84.29) | 160 (52.98) | <0.0001 |
| Yes | 742 (18.00) | 446 (49.39) | 216 (15.71) | 142 (47.02) | |||
| Prescribed medicine use (%) | No | 54 (1.31) | 10 (1.11) | 0.7429 | 7 (0.51) | 5 (1.66) | 0.0778 |
| Yes | 4068 (98.69) | 893 (98.89) | 1368 (99.49) | 297 (98.34) | |||
| Sleep duration (%) | <6 | 534 (12.95) | 104 (11.52) | <0.0001 | 179 (13.02) | 36 (11.92) | <0.0001 |
| ≤8 | 2864 (69.48) | 435 (48.17) | 969 (70.47) | 139 (46.03) | |||
| ≤12 | 724 (17.56) | 364 (40.31) | 227 (16.51) | 127 (42.05) | |||
| Sleep disorder (%) | No | 2479 (60.14) | 276 (30.56) | <0.0001 | 808 (58.76) | 80 (26.49) | <0.0001 |
| Yes | 1643 (39.86) | 627 (69.44) | 567 (41.24) | 222 (73.51) | |||
| Teeth health (%) | Good | 2423 (58.78) | 376 (41.64) | <0.0001 | 808 (58.76) | 135 (44.70) | <0.0001 |
| Fair | 924 (22.42) | 215 (23.81) | 303 (22.04) | 71 (23.51) | |||
| Poor | 775 (18.80) | 312 (34.55) | 264 (19.20) | 96 (31.79) | |||
| Sedentary time (%) | Q1 | 1534 (37.21) | 307 (34.00) | <0.0001 | 501 (36.44) | 100 (33.11) | 0.0505 |
| Q2 | 1089 (26.42) | 211 (23.37) | 351 (25.53) | 78 (25.83) | |||
| Q3 | 762 (18.49) | 232 (25.69) | 273 (19.85) | 80 (26.49) | |||
| Q4 | 737 (17.88) | 153 (16.94) | 250 (18.18) | 44 (14.57) | |||
| Physical activity (%) | Vigorous | 1212 (29.40) | 185 (20.49) | <0.0001 | 390 (28.36) | 43 (14.24) | <0.0001 |
| Moderate | 390 (9.46) | 76 (8.42) | 127 (9.24) | 22 (7.28) | |||
| Low | 2520 (61.14) | 642 (71.10) | 858 (62.40) | 237 (78.48) | |||
| Variable | lambda.1se |
|---|---|
| Race | 1.310458 |
| Material status | 2.293593 |
| Blood cadmium | 3.727409 |
| Cotinine | 2.470422 |
| Asthma | 1.367038 |
| Stomach intestinal illness | 1.179397 |
| Confusion memory problems | 1.753833 |
| Sleep disorder | 2.169977 |
| Eosinophils count | 2.537814 |
| Walk limitation | 1.673927 |
| Sedentary time | 3.124892 |
Appendix B


References
- Adhikary, D.; Barman, S.; Ranjan, R.; Stone, H. A systematic review of major cardiovascular risk factors: A growing global health concern. Cureus 2022, 14, e30119. [Google Scholar] [CrossRef]
- Liu, J.; Liu, Y.; Ma, W.; Tong, Y.; Zheng, J. Temporal and spatial trend analysis of all-cause depression burden based on Global Burden of Disease (GBD) 2019 study. Sci. Rep. 2024, 14, 12346. [Google Scholar] [CrossRef]
- Basha, E.A.; Mengistu, B.T.; Engidaw, N.A.; Wubetu, A.D.; Haile, A.B. Suicidal ideation and its associated factors among patients with major depressive disorder at Amanuel Mental Specialized Hospital, Addis Ababa, Ethiopia. Neuropsychiatr. Dis. Treat. 2021, 17, 1571–1577. [Google Scholar] [CrossRef]
- Kwapong, Y.A.; Boakye, E.; Khan, S.S.; Honigberg, M.C.; Martin, S.S.; Oyeka, C.P.; Hays, A.G.; Natarajan, P.; Mamas, M.A.; Blumenthal, R.S.; et al. Association of depression and poor mental health with cardiovascular disease and suboptimal cardiovascular health among young adults in the United States. J. Am. Heart Assoc. 2023, 12, e028332. [Google Scholar] [CrossRef]
- Li, X.; Zhou, J.; Wang, M.; Yang, C.; Sun, G. Cardiovascular disease and depression: A narrative review. Front. Cardiovasc. Med. 2023, 10, 1274595. [Google Scholar] [CrossRef]
- Carney, R.M.; Freedland, K.E. Depression and coronary heart disease. Nat. Rev. Cardiol. 2017, 14, 145–155. [Google Scholar] [CrossRef]
- Rutledge, T.; Reis, V.A.; Linke, S.E.; Greenberg, B.H.; Mills, P.J. Depression in heart failure a meta-analytic review of prevalence, intervention effects, and associations with clinical outcomes. J. Am. Coll. Cardiol. 2006, 48, 1527–1537. [Google Scholar] [CrossRef]
- Smith, D.F.; Sterndorff, B.; Røpcke, G.; Gustavsen, E.M.; Hansen, J.K. Prevalence and severity of anxiety, depression and Type A behaviors in angina pectoris. Scand. J. Psychol. 1996, 37, 249–258. [Google Scholar] [CrossRef]
- Ayerbe, L.; Ayis, S.; Wolfe, C.D.; Rudd, A.G. Natural history, predictors and outcomes of depression after stroke: Systematic review and meta-analysis. Br. J. Psychiatry 2013, 202, 14–21. [Google Scholar] [CrossRef]
- Wynn, A. Unwarranted emotional distress in men with ischaemic heart disease (IHD). Med. J. Aust. 1967, 2, 847–851. [Google Scholar] [CrossRef]
- Cay, E.L.; Vetter, N.; Philip, A.E.; Dugard, P. Psychological status during recovery from an acute heart attack. J. Psychosom. Res. 1972, 16, 425–435. [Google Scholar] [CrossRef]
- Lichtman, J.H.; Froelicher, E.S.; Blumenthal, J.A.; Carney, R.M.; Doering, L.V.; Frasure-Smith, N.; Freedland, K.E.; Jaffe, A.S.; Leifheit-Limson, E.C.; Sheps, D.S.; et al. Depression as a risk factor for poor prognosis among patients with acute coronary syndrome: Systematic review and recommendations: A scientific statement from the American Heart Association. Circulation 2014, 129, 1350–1369. [Google Scholar] [CrossRef]
- Khandaker, G.M.; Zuber, V.; Rees, J.M.B.; Carvalho, L.; Mason, A.M.; Foley, C.N.; Gkatzionis, A.; Jones, P.B.; Burgess, S. Correction: Shared mechanisms between coronary heart disease and depression: Findings from a large UK general population-based cohort. Mol. Psychiatry 2021, 26, 3659–3661, Erratum in Mol. Psychiatry 2020, 25, 1477–1486. [Google Scholar] [CrossRef]
- Borsboom, D. A network theory of mental disorders. World Psychiatry 2017, 16, 5–13. [Google Scholar] [CrossRef]
- Fel, S.; Jurek, K.; Lenart-Kłoś, K. The relationship between socio-demographic factors and depression: A cross sectional study among civilian participants in hostilities in Ukraine. Sci. Rep. 2023, 13, 21897. [Google Scholar] [CrossRef]
- Ge, L.; Yap, C.W.; Ong, R.; Heng, B.H. Social isolation, loneliness and their relationships with depressive symptoms: A population-based study. PLoS ONE 2017, 12, e0182145. [Google Scholar] [CrossRef]
- Matcham, F.; Simblett, S.K.; Leightley, D.; Dalby, M.; Siddi, S.; Haro, J.M.; Lamers, F.; Penninx, B.W.H.J.; Bruce, S.; Nica, R.; et al. The association between persistent cognitive difficulties and depression and functional outcomes in people with major depressive disorder. Psychol. Med. 2023, 53, 6334–6344. [Google Scholar] [CrossRef]
- Karki, P.; Shahi, P.V.; Sapkota, K.P.; Bhandari, R.; Adhikari, N.; Shrestha, B. Depressive symptoms and associated factors among persons with physical disabilities in disability care homes of Kathmandu district, Nepal: A mixed method study. PLoS Glob. Public Health 2023, 3, e0001461. [Google Scholar] [CrossRef]
- O’Neil, A.; Williams, E.D.; Stevenson, C.E.; Oldenburg, B.; Sanderson, K. Co-morbid depression is associated with poor work outcomes in persons with cardiovascular disease (CVD): A large, nationally representative survey in the Australian population. BMC Public Health 2012, 12, 47. [Google Scholar] [CrossRef]
- Nguyen, H.D.; Kim, M.S. Interactions between cadmium, lead, mercury, and arsenic and depression: A molecular mechanism involved. J. Affect. Disord. 2023, 327, 315–329. [Google Scholar] [CrossRef]
- Kim, H.; Yoo, J.; Han, K.; Jeon, H.J. Physical activity and cardiovascular health in depression: Links between changes in physical activity and cardiovascular risk. Gen. Hosp. Psychiatry 2022, 78, 35–41. [Google Scholar] [CrossRef]
- Shiga, T. Depression and cardiovascular diseases. J. Cardiol. 2023, 81, 485–490. [Google Scholar] [CrossRef]
- Quartagno, M.; Grund, S.; Carpenter, J. Jomo: A flexible package for two-level joint modelling multiple imputation. R J. 2019, 11, 205–228. [Google Scholar] [CrossRef]
- You, Y.; Ablitip, A.; Chen, Y.; Ding, H.; Chen, K.; Cui, Y.; Ma, X. Saturation effects of the relationship between physical exercise and systemic immune inflammation index in the short-sleep population: A cross-sectional study. BMC Public Health 2024, 24, 1920. [Google Scholar] [CrossRef]
- You, Y.; Li, J.; Zhang, Y.; Li, X.; Li, X.; Ma, X. Exploring the potential relationship between short sleep risks and cognitive function from the perspective of inflammatory biomarkers and cellular pathways: Insights from population-based and mice studies. CNS Neurosci. Ther. 2024, 30, e14783. [Google Scholar] [CrossRef]
- Quartagno, M.; Carpenter, J.R.; Goldstein, H. Multiple imputation with survey weights: A multilevel approach. J. Surv. Stat. Methodol. 2020, 8, 965–989. [Google Scholar] [CrossRef]
- Muntner, P.; Hardy, S.T.; Fine, L.J.; Jaeger, B.C.; Wozniak, G.; Levitan, E.B.; Colantonio, L.D. Trends in blood pressure control among US adults with hypertension, 1999–2000 to 2017–2018. JAMA 2020, 324, 1190–1200. [Google Scholar] [CrossRef]
- Manea, L.; Gilbody, S.; McMillan, D. Optimal cut-off score for diagnosing depression with the Patient Health Questionnaire (PHQ-9): A meta-analysis. CMAJ 2012, 184, E191–E196. [Google Scholar] [CrossRef]
- Hou, X.Z.; Wu, Q.; Lv, Q.Y.; Yang, Y.T.; Li, L.L.; Ye, X.J.; Yang, C.Y.; Lv, Y.F.; Wang, S.H. Development and external validation of a risk prediction model for depression in patients with coronary heart disease. J. Affect. Disord. 2024, 367, 137–147. [Google Scholar] [CrossRef]
- Dye, B.A.; Li, X.; Lewis, B.G.; Iafolla, T.; Beltran-Aguilar, E.D.; Eke, P.I. Overview and quality assurance for the oral health component of the National Health and Nutrition Examination Survey (NHANES), 2009–2010. J. Public Health Dent. 2014, 74, 248–256. [Google Scholar] [CrossRef]
- Tucker, J.M.; Welk, G.J.; Beyler, N.K. Physical activity in U.S.: Adults compliance with the Physical Activity Guidelines for Americans. Am. J. Prev. Med. 2011, 40, 454–461. [Google Scholar] [CrossRef]
- Dziedzic, E.A.; Gąsior, J.S.; Tuzimek, A.; Paleczny, J.; Junka, A.; Dąbrowski, M.; Jankowski, P. Investigation of the associations of novel inflammatory biomarkers-systemic inflammatory index (SII) and systemic inflammatory response index (SIRI)-with the severity of coronary artery disease and acute coronary syndrome occurrence. Int. J. Mol. Sci. 2022, 23, 9553. [Google Scholar] [CrossRef] [PubMed]
- R Foundation for Statistical Computing. R: A Language and Environment for Statistical Computing; R Foundation for Statistical Computing: Vienna, Australia, 2021; Available online: https://www.R-project.org (accessed on 10 September 2024).
- Rao, U.; Poland, R.E.; Lin, K.M. Comparison of symptoms in African-American, Asian-American, Mexican-American and Non-Hispanic White patients with major depressive disorder. Asian J. Psychiatr. 2012, 5, 28–33. [Google Scholar] [CrossRef]
- De Oliveira, G.; Cianelli, R.; Gattamorta, K.; Kowalski, N.; Peragallo, N. Social determinants of depression among Hispanic women. J. Am. Psychiatr. Nurses Assoc. 2017, 23, 28–36. [Google Scholar] [CrossRef]
- Bulloch, A.G.M.; Williams, J.V.A.; Lavorato, D.H.; Patten, S.B. The depression and marital status relationship is modified by both age and gender. J. Affect. Disord. 2017, 223, 65–68. [Google Scholar] [CrossRef]
- Osborne, M.T.; Shin, L.M.; Mehta, N.N.; Pitman, R.K.; Fayad, Z.A.; Tawakol, A. Disentangling the links between psychosocial stress and cardiovascular disease. Circ. Cardiovasc. Imaging 2020, 13, e010931. [Google Scholar] [CrossRef]
- Sharma, T.; Padala, P.R.; Mehta, J.L. Loneliness and social isolation: Determinants of cardiovascular outcomes. Curr. Cardiol. Rev. 2021, 17, e051121190873. [Google Scholar] [CrossRef]
- Eustis, S.J.; McCall, M.W.; Murphy, E.A.; Wirth, M.D. Association between gastrointestinal symptoms and depression in a representative sample of adults in the United States: Findings from National Health and Nutrition Examination Survey (2005–2016). J. Acad. Consult. Liaison Psychiatry 2022, 63, 268–279. [Google Scholar] [CrossRef]
- Stubbs, M.A.; Clark, V.L.; Gibson, P.G.; Yorke, J.; McDonald, V.M. Associations of symptoms of anxiety and depression with health-status, asthma control, dyspnoea, dysfunction breathing and obesity in people with severe asthma. Respir. Res. 2022, 23, 341. [Google Scholar] [CrossRef]
- Zhu, F.; Tu, H.; Chen, T. The Microbiota-Gut-Brain Axis in Depression: The potential pathophysiological mechanisms and microbiota combined antidepression effect. Nutrients 2022, 14, 2081. [Google Scholar] [CrossRef]
- Kumar, A.; Pramanik, J.; Goyal, N.; Chauhan, D.; Sivamaruthi, B.S.; Prajapati, B.G.; Chaiyasut, C. Gut microbiota in anxiety and depression: Unveiling the relationships and management options. Pharmaceuticals 2023, 16, 565. [Google Scholar] [CrossRef]
- Herrera, P.A.; Campos-Romero, S.; Szabo, W.; Martínez, P.; Guajardo, V.; Rojas, G. Understanding the relationship between depression and chronic diseases such as diabetes and hypertension: A grounded theory study. Int. J. Environ. Res. Public Health 2021, 18, 12130. [Google Scholar] [CrossRef]
- Dehdar, K.; Raoufy, M.R. Brain structural and functional alterations related to anxiety in allergic asthma. Brain Res. Bull. 2023, 202, 110727. [Google Scholar] [CrossRef]
- Celano, C.M.; Freudenreich, O.; Fernandez-Robles, C.; Stern, T.A.; Caro, M.A.; Huffman, J.C. Depressogenic effects of medications: A review. Dialogues Clin. Neurosci. 2011, 13, 109–125. [Google Scholar] [CrossRef]
- Beck, A.; Crain, A.L.; Solberg, L.I.; Unützer, J.; Glasgow, R.E.; Maciosek, M.V.; Whitebird, R. Severity of depression and magnitude of productivity loss. Ann. Fam. Med. 2011, 9, 305–311. [Google Scholar] [CrossRef]
- Song, R.; Xu, H.; Dintica, C.S.; Pan, K.Y.; Qi, X.; Buchman, A.S.; Bennett, D.A.; Xu, W. Associations between cardiovascular risk, structural brain changes, and cognitive decline. J. Am. Coll. Cardiol. 2020, 75, 2525–2534. [Google Scholar] [CrossRef]
- Leritz, E.C.; McGlinchey, R.E.; Kellison, I.; Rudolph, J.L.; Milberg, W.P. Cardiovascular disease risk factors and cognition in the elderly. Curr. Cardiovasc. Risk Rep. 2011, 5, 407–412. [Google Scholar] [CrossRef]
- Papenberg, G.; Bäckman, L.; Fratiglioni, L.; Laukka, E.J.; Fastbom, J.; Johnell, K. Anticholinergic drug use is associated with episodic memory decline in older adults without dementia. Neurobiol. Aging 2017, 55, 27–32. [Google Scholar] [CrossRef]
- Nutt, D.J. Neurobiological mechanisms in generalized anxiety disorder. J. Clin. Psychiatry 2001, 62, 22–27. [Google Scholar]
- Lerner, D.; Adler, D.A.; Rogers, W.H.; Chang, H.; Lapitsky, L.; McLaughlin, T.; Reed, J. Work performance of employees with depression: The impact of work stressors. Am. J. Health Promot. 2010, 24, 205–213. [Google Scholar] [CrossRef]
- Irwin, M.R.; Witarama, T.; Caudill, M.; Olmstead, R.; Breen, E.C. Sleep loss activates cellular inflammation and signal transducer and activator of transcription (STAT) family proteins in humans. Brain Behav. Immun. 2015, 47, 86–92. [Google Scholar] [CrossRef]
- Sakamoto, M.; Suematsu, Y.; Yano, Y.; Kaino, K.; Teshima, R.; Matsuda, T.; Fujita, M.; Tazawa, R.; Fujimi, K.; Miura, S.I. Depression and anxiety are associated with physical performance in patients undergoing cardiac rehabilitation: A retrospective observational study. J. Cardiovasc. Dev. Dis. 2022, 9, 21. [Google Scholar] [CrossRef]
- Gordois, A.L.; Toth, P.P.; Quek, R.G.; Proudfoot, E.M.; Paoli, C.J.; Gandra, S.R. Productivity losses associated with cardiovascular disease: A systematic review. Expert. Rev. Pharmacoecon Outcomes Res. 2016, 16, 759–769. [Google Scholar] [CrossRef]
- Cheng, X.; Ouyang, F.; Ma, T.; He, L.; Gong, L.; Yin, J.; Zhang, G.; Bai, Y. The individual and joint associations of depression and sleep duration with cardiometabolic diseases and mortality: A prospective cohort study. Atherosclerosis 2022, 361, 10–17. [Google Scholar] [CrossRef]
- Yang, Y.; Wang, Y.; Yang, L. Association between physical activity and sedentary behavior and depression in US adults with cardiovascular disease: NHANES 2007–2016. J. Affect. Disord. 2024, 367, 342–349. [Google Scholar] [CrossRef]
- Pérez-Stable, E.J.; Benowitz, N.L.; Marín, G. Is serum cotinine a better measure of cigarette smoking than self-report? Prev. Med. 1995, 24, 171–179. [Google Scholar] [CrossRef]
- Grizzell, J.A.; Iarkov, A.; Holmes, R.; Mori, T.; Echeverria, V. Cotinine reduces depressive-like behavior, working memory deficits, and synaptic loss associated with chronic stress in mice. Behav. Brain Res. 2014, 268, 55–65. [Google Scholar] [CrossRef]
- Brunetti, R.; Hicklin, H.; Rackley, J.; Ahmad, M.I.; Li, Y.; Soliman, E.Z. Serum cotinine and silent myocardial infarction in individuals free from cardiovascular disease. Am. J. Cardiol. 2019, 124, 666–670. [Google Scholar] [CrossRef]
- Orisakwe, O.E. The role of lead and cadmium in psychiatry. N. Am. J. Med. Sci. 2014, 6, 370–376. [Google Scholar] [CrossRef]
- Scinicariello, F.; Buser, M.C. Blood cadmium and depressive symptoms in young adults (aged 20–39 years). Psychol. Med. 2015, 45, 807–815. [Google Scholar] [CrossRef]
- Cybulska, A.M.; Grochans, S.; Kamińska, M.S.; Bosiacki, M.; Skonieczna-Żydecka, K.; Grochans, E. Are cadmium and lead levels linked to the development of anxiety and depression?—A systematic review of observational studies. Ecotoxicol. Environ. Saf. 2021, 216, 112211. [Google Scholar] [CrossRef]
- Tian, X.; Xue, B.; Wang, B.; Lei, R.; Shan, X.; Niu, J.; Luo, B. Physical activity reduces the role of blood cadmium on depression: A cross-sectional analysis with NHANES data. Environ. Pollut. 2022, 304, 119211. [Google Scholar] [CrossRef]
- Singh, M.; Singh, V.; Schurman, J.V.; Colombo, J.M.; Friesen, C.A. The relationship between mucosal inflammatory cells, specific symptoms, and psychological functioning in youth with irritable bowel syndrome. Sci. Rep. 2020, 10, 11988. [Google Scholar] [CrossRef]
- Ronkainen, J.; Aro, P.; Jones, M.; Walker, M.M.; Agréus, L.; Andreasson, A.; Talley, N.J. Duodenal eosinophilia and the link to anxiety: A population-based endoscopic study. Neurogastroenterol. Motil. 2021, 33, e14109. [Google Scholar] [CrossRef]
- Taft, T.H.; Guadagnoli, L.; Edlynn, E. Anxiety and depression in eosinophilic esophagitis: A scoping review and recommendations for future research. J. Asthma Allergy 2019, 12, 389–399. [Google Scholar] [CrossRef]
- Sadeghi, M.; Rahiminam, H.; Amerizadeh, A.; Masoumi, G.; Heidari, R.; Shahabi, J.; Mansouri, M.; Roohafza, H. Prevalence of return to work in cardiovascular patients after cardiac rehabilitation: A systematic review and meta-analysis. Curr. Probl. Cardiol. 2022, 47, 100876. [Google Scholar] [CrossRef]






| Factors | Levels | Without Depression (n = 5497) | With Depression (n = 1205) | p-Value |
|---|---|---|---|---|
| Age, years (SD) | 69.1 (10.6) | 59.2 (11.8) | <0.001 | |
| Gender, n (%) | Female | 3352 (60.98) | 562 (46.64) | <0.001 |
| Male | 2145 (39.02) | 643 (53.36) | ||
| Ethnicity, n (%) | Non-Hispanic White | 3497 (63.62) | 590 (48.96) | <0.001 |
| Mexican American | 444 (8.08) | 164 (13.61) | ||
| Other Hispanic | 340 (6.19) | 155 (12.86) | ||
| Non-Hispanic Black | 1094 (19.90) | 242 (20.08) | ||
| Others | 122 (2.22) | 54 (4.48) | ||
| Education, n (%) | Less than 9th grade | 887 (16.14) | 278 (23.07) | <0.001 |
| 9–11th grade | 1010 (18.37) | 268 (22.24) | ||
| High school Grad/GED | 1476 (26.85) | 326 (27.05) | ||
| Some college or AA degree | 1343 (24.43) | 307 (25.48) | ||
| College graduate or above | 781 (14.21) | 26 (2.16) | ||
| Marital status, n (%) | Married/living with a partner | 3165 (57.58) | 532 (44.15) | <0.001 |
| Widowed/divorced/separated | 2008 (36.53) | 494 (41.00) | ||
| Never married | 324 (5.89) | 179 (14.85) | ||
| Family income to poverty ratio, n (%) | More than 130% | 3784 (68.84) | 499 (41.41) | <0.001 |
| Less than 130% | 1713 (31.16) | 706 (58.59) | ||
| Body mass index, n (%) | Underweight | 27 (0.49) | 9 (0.75) | <0.001 |
| Normal | 919 (16.72) | 176 (14.61) | ||
| Overweight | 1765 (32.11) | 263 (21.83) | ||
| Obese | 2786 (50.68) | 757 (62.82) | ||
| Alcohol status, n (%) | Non-drinkers | 2210 (40.20) | 322 (26.72) | <0.001 |
| Drinkers | 3287 (59.80) | 883 (73.28) | ||
| Smoking status, n (%) | Never smokers | 2022 (36.78) | 352 (29.21) | <0.001 |
| Former smokers | 2603 (47.35) | 352 (29.21) | ||
| Current smokers | 872 (15.86) | 501 (41.58) | ||
| SII levels, n (%) | Q1 | 1340 (24.38) | 338 (28.05) | 0.001 |
| Q2 | 1434 (26.09) | 241 (20.00) | ||
| Q3 | 1373 (24.98) | 306 (25.39) | ||
| Q4 | 1350 (24.56) | 320 (26.56) | ||
| SIRI levels, n (%) | Q1 | 1278 (23.25) | 401 (33.28) | <0.001 |
| Q2 | 1408 (25.61) | 267 (22.16) | ||
| Q3 | 1373 (24.98) | 311 (25.81) | ||
| Q4 | 1438 (26.16) | 226 (18.76) | ||
| Eosinophil count, n (%) | Q1 | 1901 (34.58) | 340 (28.22) | <0.001 |
| Q2 | 1732 (31.51) | 463 (38.42) | ||
| Q3 | 923 (16.79) | 190 (15.77) | ||
| Q4 | 941 (17.12) | 212 (17.59) | ||
| Red cell distribution width, n (%) | Q1 | 1516 (27.58) | 404 (33.53) | 0.001 |
| Q2 | 1211 (22.03) | 250 (20.75) | ||
| Q3 | 1388 (25.25) | 292 (24.23) | ||
| Q4 | 1382 (25.14) | 259 (21.49) | ||
| Blood lead levels, n (%) | Q1 | 1330 (24.20) | 407 (33.78) | <0.001 |
| Q2 | 1349 (24.54) | 266 (22.07) | ||
| Q3 | 1380 (25.10) | 304 (25.23) | ||
| Q4 | 1438 (26.16) | 228 (18.92) | ||
| Blood cadmium levels, n (%) | Q1 | 1474 (26.81) | 211 (17.51) | <0.001 |
| Q2 | 1470 (26.74) | 239 (19.83) | ||
| Q3 | 1334 (24.27) | 310 (25.73) | ||
| Q4 | 1219 (22.18) | 445 (36.93) | ||
| Blood mercury levels, n (%) | Q1 | 1304 (23.72) | 391 (32.45) | <0.001 |
| Q2 | 1382 (25.14) | 292 (24.23) | ||
| Q3 | 1321 (24.03) | 336 (27.88) | ||
| Q4 | 1490 (27.11) | 186 (15.44) | ||
| Blood cotinine levels, n (%) | Q1 | 1537 (27.96) | 198 (16.43) | <0.001 |
| Q2 | 1493 (27.16) | 154 (12.78) | ||
| Q3 | 1370 (24.92) | 277 (22.99) | ||
| Q4 | 1097 (19.96) | 576 (47.80) | ||
| Asthma status, n (%) | No | 4527 (82.35) | 668 (55.44) | <0.001 |
| Yes | 970 (17.65) | 537 (44.56) | ||
| Osteoarthritis, n (%) | No | 2175 (39.57) | 307 (25.48) | <0.001 |
| Yes | 3322 (60.43) | 898 (74.52) | ||
| Stomach or intestinal illness, n (%) | No | 5000 (90.96) | 794 (65.89) | <0.001 |
| Yes | 497 (9.04) | 411 (34.11) | ||
| Work limitations, n (%) | No | 3396 (61.78) | 313 (25.98) | <0.001 |
| Yes | 2101 (38.22) | 892 (74.02) | ||
| Mobility disorders, n (%) | No | 3654 (66.47) | 655 (54.36) | <0.001 |
| Yes | 1843 (33.53) | 550 (45.64) | ||
| Confusion or memory problems, n (%) | No | 4539 (82.57) | 617 (51.20) | <0.001 |
| Yes | 958 (17.43) | 588 (48.80) | ||
| Prescription medicine use, n (%) | No | 61 (1.11) | 15 (1.24) | 0.802 |
| Yes | 5436 (98.89) | 1190 (98.76) | ||
| Sleep duration, n (%) | <6 h | 713 (12.97) | 140 (11.62) | <0.001 |
| ≤8 h | 3833 (69.73) | 574 (47.63) | ||
| ≤12 h | 951 (17.30) | 491 (40.75) | ||
| Sleep disorders, n (%) | No | 3287 (59.80) | 356 (29.54) | <0.001 |
| Yes | 2210 (40.20) | 849 (70.46) | ||
| Teeth health, n (%) | Good | 3231 (58.78) | 511 (42.41) | <0.001 |
| Fair | 1227 (22.32) | 286 (23.73) | ||
| Poor | 1039 (18.90) | 408 (33.86) | ||
| Sedentary time levels, n (%) | Q1 | 2035 (37.02) | 407 (33.78) | <0.001 |
| Q2 | 1440 (26.20) | 289 (23.98) | ||
| Q3 | 1035 (18.83) | 312 (25.89) | ||
| Q4 | 987 (17.96) | 197 (16.35) | ||
| Physical activity levels, n (%) | High | 1602 (29.14) | 228 (18.92) | <0.001 |
| Moderate | 517 (9.41) | 98 (8.13) | ||
| Low | 3378 (61.45) | 879 (72.95) |
| Variables | Univariate Logistic Regression | Multivariable Logistic Regression | |||||
|---|---|---|---|---|---|---|---|
| OR | 95% CI | p-Value | OR | 95% CI | p-Value | ||
| Age | 0.93 | 0.93–0.94 | <0.001 | 0.97 | 0.96–0.98 | <0.001 | |
| Gender | |||||||
| Male (reference) | |||||||
| Female | 1.79 | 1.58–2.03 | <0.001 | 1.27 | 1.04–1.55 | 0.019 | |
| Ethnicity | |||||||
| Non-Hispanic White (reference) | |||||||
| Mexican American | 2.19 | 1.79–2.67 | <0.001 | 3.06 | 2.29–4.08 | <0.001 | |
| Other Hispanic | 2.70 | 2.19–3.33 | <0.001 | 2.57 | 1.91–3.46 | <0.001 | |
| Non-Hispanic Black | 1.31 | 1.11–1.55 | 0.001 | 0.6 | 0.47–0.77 | <0.001 | |
| Others | 2.62 | 1.88–3.66 | <0.001 | 1.38 | 0.89–2.13 | 0.146 | |
| Education attainment | |||||||
| <9th Grade (reference) | |||||||
| 9–11th grade | 0.85 | 0.7–1.02 | 0.087 | 0.82 | 0.63–1.07 | 0.139 | |
| High school grad/GED | 0.70 | 0.59–0.84 | <0.001 | 0.65 | 0.49–0.84 | 0.001 | |
| Some college or AA degree | 0.73 | 0.61–0.88 | 0.001 | 0.95 | 0.72–1.25 | 0.718 | |
| College graduate or above | 0.11 | 0.07–0.16 | <0.001 | 0.15 | 0.09–0.26 | <0.001 | |
| Marital status | |||||||
| Married or living with a partner (reference) | |||||||
| Widowed or divorced or separated | 1.46 | 1.28–1.67 | <0.001 | 0.92 | 0.76–1.11 | 0.365 | |
| Never married | 3.29 | 2.68–4.03 | <0.001 | 1.79 | 1.33–2.41 | <0.001 | |
| Family income to poverty ratio | |||||||
| ≥130% (reference) | |||||||
| <130% | 3.13 | 2.75–3.55 | <0.001 | 1.25 | 1.04–1.52 | 0.02 | |
| Body mass index | |||||||
| Underweight (reference) | |||||||
| Normal weight | 0.57 | 0.27–1.24 | 0.159 | 0.83 | 0.34–2.02 | 0.683 | |
| Overweight | 0.45 | 0.21–0.96 | 0.039 | 0.65 | 0.27–1.57 | 0.34 | |
| Obese | 0.82 | 0.38–1.74 | 0.597 | 0.76 | 0.32–1.81 | 0.531 | |
| Alcohol status | |||||||
| Non-drinkers (reference) | |||||||
| Drinkers | 1.84 | 1.61–2.12 | <0.001 | 1.27 | 1.05–1.53 | 0.015 | |
| Smoking status | |||||||
| Non-smokers (reference) | |||||||
| Former smokers | 0.78 | 0.66–0.91 | 0.002 | 0.73 | 0.59–0.91 | 0.004 | |
| Current smokers | 3.30 | 2.82–3.86 | <0.001 | 0.53 | 0.37–0.76 | 0.001 | |
| SII levels | |||||||
| Q1 (reference) | |||||||
| Q2 | 0.67 | 0.56–0.8 | <0.001 | 0.88 | 0.68–1.13 | 0.306 | |
| Q3 | 0.88 | 0.74–1.05 | 0.158 | 1.52 | 1.14–2.01 | 0.004 | |
| Q4 | 0.94 | 0.79–1.11 | 0.475 | 1.32 | 0.96–1.81 | 0.09 | |
| SIRI levels | |||||||
| Q1 (reference) | |||||||
| Q2 | 0.60 | 0.51–0.72 | <0.001 | 0.44 | 0.34–0.58 | <0.001 | |
| Q3 | 0.72 | 0.61–0.85 | <0.001 | 0.51 | 0.38–0.68 | <0.001 | |
| Q4 | 0.50 | 0.42–0.6 | <0.001 | 0.48 | 0.34–0.66 | <0.001 | |
| Eosinophils count | |||||||
| Q1 (reference) | |||||||
| Q2 | 1.49 | 1.28–1.74 | <0.001 | 1.61 | 1.31–1.99 | <0.001 | |
| Q3 | 1.15 | 0.95–1.4 | 0.156 | 1.53 | 1.18–1.99 | 0.001 | |
| Q4 | 1.26 | 1.04–1.52 | 0.016 | 1.78 | 1.38–2.3 | <0.001 | |
| Red cell distribution width | |||||||
| Q1 (reference) | |||||||
| Q2 | 0.77 | 0.65–0.92 | 0.004 | 0.65 | 0.51–0.82 | <0.001 | |
| Q3 | 0.79 | 0.67–0.93 | 0.006 | 0.85 | 0.68–1.07 | 0.163 | |
| Q4 | 0.70 | 0.59–0.84 | <0.001 | 0.84 | 0.66–1.06 | 0.142 | |
| Blood lead levels | |||||||
| Q1 (reference) | |||||||
| Q2 | 0.64 | 0.54–0.77 | <0.001 | 0.68 | 0.55–0.85 | 0.001 | |
| Q3 | 0.72 | 0.61–0.85 | <0.001 | 0.83 | 0.66–1.05 | 0.121 | |
| Q4 | 0.52 | 0.43–0.62 | <0.001 | 0.64 | 0.49–0.84 | 0.001 | |
| Blood cadmium levels | |||||||
| Q1 (reference) | |||||||
| Q2 | 1.14 | 0.93–1.39 | 0.209 | 2.02 | 1.55–2.63 | <0.001 | |
| Q3 | 1.62 | 1.34–1.96 | <0.001 | 1.81 | 1.38–2.39 | <0.001 | |
| Q4 | 2.55 | 2.13–3.05 | <0.001 | 1.82 | 1.33–2.48 | <0.001 | |
| Blood mercury levels | |||||||
| Q1 (reference) | |||||||
| Q2 | 0.70 | 0.59–0.83 | <0.001 | 0.67 | 0.54–0.85 | 0.001 | |
| Q3 | 0.85 | 0.72–1 | 0.05 | 1.07 | 0.85–1.34 | 0.569 | |
| Q4 | 0.42 | 0.34–0.5 | <0.001 | 0.78 | 0.6–1.02 | 0.066 | |
| Blood cotinine levels | |||||||
| Q1 (reference) | |||||||
| Q2 | 0.80 | 0.64–1 | 0.05 | 0.66 | 0.5–0.87 | 0.003 | |
| Q3 | 1.57 | 1.29–1.91 | <0.001 | 1.03 | 0.79–1.35 | 0.814 | |
| Q4 | 4.08 | 3.41–4.88 | <0.001 | 3.26 | 2.25–4.71 | <0.001 | |
| Asthma? | |||||||
| No (reference) | |||||||
| Yes | 3.75 | 3.28–4.29 | <0.001 | 1.87 | 1.54–2.27 | <0.001 | |
| Osteoarthritis? | |||||||
| No (reference) | |||||||
| Yes | 1.92 | 1.66–2.2 | <0.001 | 1.31 | 1.08–1.58 | 0.006 | |
| Stomach or intestinal illness? | |||||||
| No (reference) | |||||||
| Yes | 5.21 | 4.48–6.05 | <0.001 | 4.14 | 3.36–5.09 | <0.001 | |
| Work limitation? | |||||||
| No (reference) | |||||||
| Yes | 4.61 | 4.01–5.3 | <0.001 | 1.48 | 1.22–1.79 | <0.001 | |
| Mobility disorders? | |||||||
| No (reference) | |||||||
| Yes | 1.66 | 1.47–1.89 | <0.001 | 0.92 | 0.76–1.11 | 0.367 | |
| Confusion or memory problems? | |||||||
| No (reference) | |||||||
| Yes | 4.52 | 3.95–5.16 | <0.001 | 3.29 | 2.72–3.96 | <0.001 | |
| Prescription medicine use? | |||||||
| No (reference) | |||||||
| Yes | 0.89 | 0.5–1.57 | 0.688 | NA | NA | NA | |
| Sleep duration | |||||||
| 8–12 h (reference) | |||||||
| 6–8 h | 0.76 | 0.62–0.93 | 0.008 | 0.85 | 0.65–1.12 | 0.258 | |
| less than 6 h | 2.63 | 2.13–3.25 | <0.001 | 1.59 | 1.18–2.14 | 0.002 | |
| Sleep disorders | |||||||
| No (reference) | |||||||
| Yes | 3.55 | 3.1–4.06 | <0.001 | 1.76 | 1.47–2.12 | <0.001 | |
| Teeth health conditions | |||||||
| Good (reference) | |||||||
| Fair | 1.47 | 1.26–1.73 | <0.001 | 0.9 | 0.73–1.11 | 0.329 | |
| Poor | 2.48 | 2.14–2.88 | <0.001 | 1.02 | 0.84–1.25 | 0.843 | |
| Sedentary time | |||||||
| Q1 (reference) | |||||||
| Q2 | 1.0 | 0.85–1.18 | 0.967 | 1.06 | 0.85–1.32 | 0.617 | |
| Q3 | 1.51 | 1.28–1.78 | <0.001 | 1.54 | 1.21–1.96 | <0.001 | |
| Q4 | 1.0 | 0.83–1.2 | 0.983 | 1.7 | 1.31–2.22 | <0.001 | |
| Physical activity levels | |||||||
| High (reference) | |||||||
| Moderate | 1.33 | 1.03–1.72 | 0.029 | 1.27 | 0.88–1.83 | 0.209 | |
| Low | 1.83 | 1.56–2.14 | <0.001 | 1.33 | 1.07–1.66 | 0.011 | |
Disclaimer/Publisher’s Note: The statements, opinions and data contained in all publications are solely those of the individual author(s) and contributor(s) and not of MDPI and/or the editor(s). MDPI and/or the editor(s) disclaim responsibility for any injury to people or property resulting from any ideas, methods, instructions or products referred to in the content. |
© 2025 by the authors. Licensee MDPI, Basel, Switzerland. This article is an open access article distributed under the terms and conditions of the Creative Commons Attribution (CC BY) license (https://creativecommons.org/licenses/by/4.0/).
Share and Cite
Li, Z.; Zhao, Y.; Kang, H. Development and Validation of a Nomogram to Predict Depression Risk in Patients with Cardiovascular Disease. Healthcare 2025, 13, 1287. https://doi.org/10.3390/healthcare13111287
Li Z, Zhao Y, Kang H. Development and Validation of a Nomogram to Predict Depression Risk in Patients with Cardiovascular Disease. Healthcare. 2025; 13(11):1287. https://doi.org/10.3390/healthcare13111287
Chicago/Turabian StyleLi, Zhao, Yu Zhao, and Hyunsik Kang. 2025. "Development and Validation of a Nomogram to Predict Depression Risk in Patients with Cardiovascular Disease" Healthcare 13, no. 11: 1287. https://doi.org/10.3390/healthcare13111287
APA StyleLi, Z., Zhao, Y., & Kang, H. (2025). Development and Validation of a Nomogram to Predict Depression Risk in Patients with Cardiovascular Disease. Healthcare, 13(11), 1287. https://doi.org/10.3390/healthcare13111287

