Remote Patient Monitoring Is Associated with Improved Outcomes in Hypertension: A Large, Retrospective, Cohort Analysis
Abstract
1. Introduction
2. Materials and Methods
3. Results
3.1. Overall Participation
3.2. RPM Is Associated with Improvements in Blood Pressure Control
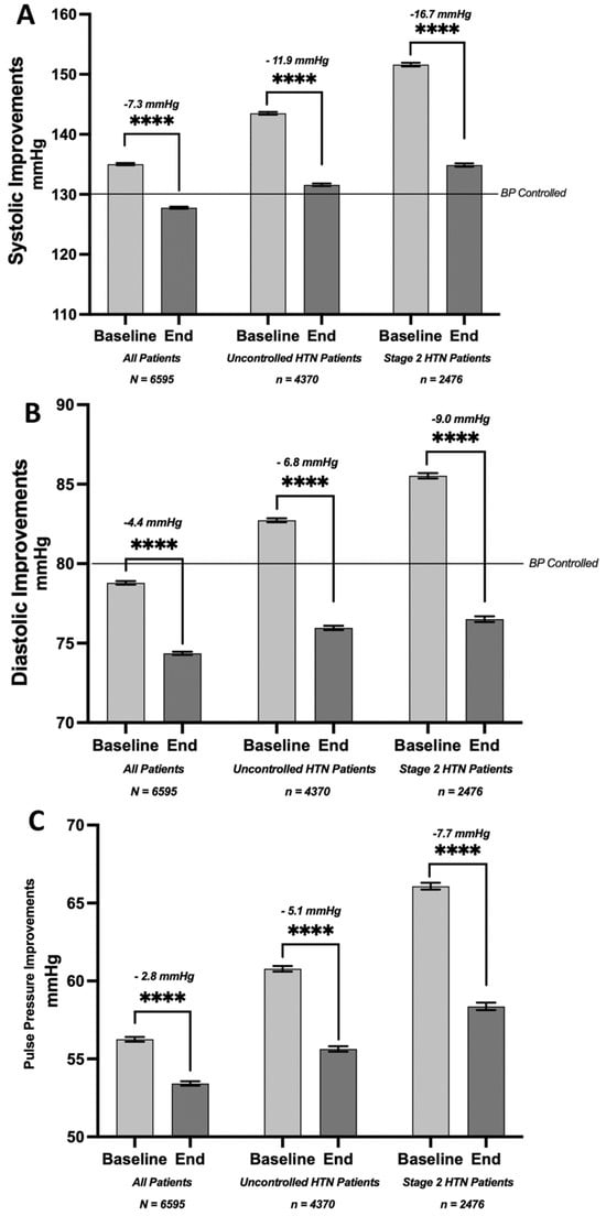
3.3. RPM Is Associated with Changes in Blood Pressure Readings
3.4. Longer RPM Participation Is Associated with Improved Outcomes
4. Discussion
4.1. Treatment Duration Is Associated with Improved HTN Control
4.2. Limitations of the Present Study and Future Directions
5. Conclusions
Author Contributions
Funding
Institutional Review Board Statement
Informed Consent Statement
Data Availability Statement
Conflicts of Interest
References
- Zinzuwadia, A.; Goldberg, J.M.; Hanson, M.A.; Wessler, J.D. Chapter 7—Continuous cardiology: The intersection of telehealth and remote patient monitoring. In Emerging Practices in Telehealth; Freeman, A.M., Bhatt, A.B., Eds.; Academic Press: Cambridge, MA, USA, 2023; pp. 97–115. [Google Scholar] [CrossRef]
- Clemente, M.R.C.; Felix, N.; Navalha, D.D.P.; Pasqualotto, E.; Morgado Ferreira, R.O.; Braga, M.A.P.; Nogueira, A.; Costa, T.A.; Marinho, A.D.; Fernandes, A. Long-term impact of home-based monitoring after an admission for acute decompensated heart failure: A systematic review and meta-analysis of randomised controlled trials. EClinicalMedicine 2024, 71, 102541. [Google Scholar] [CrossRef]
- Farias, F.A.C.D.; Dagostini, C.M.; Bicca, Y.D.A.; Falavigna, V.F.; Falavigna, A. Remote Patient Monitoring: A Systematic Review. Telemed. e-Health 2020, 26, 576–583. [Google Scholar] [CrossRef] [PubMed]
- Undavalli, V.K.; Mp, H. Prevalence of undiagnosed hypertension: A public health challenge. Int. J. Community Med. Public Health 2018, 5, 1366–1370. [Google Scholar] [CrossRef][Green Version]
- Mills, K.T.; Stefanescu, A.; He, J. The global epidemiology of hypertension. Nat. Rev. Nephrol. 2020, 16, 223–237. [Google Scholar] [CrossRef]
- Gorostidi, M.; Vinyoles, E.; Banegas, J.R.; de la Sierra, A. Prevalence of white-coat and masked hypertension in national and international registries. Hypertens. Res. 2015, 38, 1–7. [Google Scholar] [CrossRef] [PubMed]
- Burnier, M.; Egan, B.M. Adherence in hypertension: A review of prevalence, risk factors, impact, and management. Circ. Res. 2019, 124, 1124–1140. [Google Scholar] [CrossRef] [PubMed]
- Tucker, K.L.; Sheppard, J.P.; Stevens, R.; Bosworth, H.B.; Bove, A.; Bray, E.P.; Earle, K.; George, J.; Godwin, M.; Green, B.B. Self-monitoring of blood pressure in hypertension: A systematic review and individual patient data meta-analysis. PLoS Med. 2017, 14, e1002389. [Google Scholar] [CrossRef]
- Abernethy, A.; Adams, L.; Barrett, M.; Bechtel, C.; Brennan, P.; Butte, A.; Faulkner, J.; Fontaine, E.; Friedhoff, S.; Halamka, J. The promise of digital health: Then, now, and the future. In NAM Perspectives; National Academy of Medicine: Washington, DC, USA, 2022; Volume 2022. [Google Scholar] [CrossRef]
- Noah, B.; Keller, M.S.; Mosadeghi, S.; Stein, L.; Johl, S.; Delshad, S.; Tashjian, V.C.; Lew, D.; Kwan, J.T.; Jusufagic, A. Impact of remote patient monitoring on clinical outcomes: An updated meta-analysis of randomized controlled trials. NPJ Digit. Med. 2018, 1, 20172. [Google Scholar] [CrossRef] [PubMed]
- Hayes, C.J.; Dawson, L.; McCoy, H.; Hernandez, M.; Andersen, J.; Ali, M.M.; Bogulski, C.A.; Eswaran, H. Utilization of remote patient monitoring within the United States health care system: A scoping review. Telemed. e-Health 2023, 29, 384–394. [Google Scholar] [CrossRef]
- Navathe, A.S.; Crowley, A.; Liao, J.M. Remote patient monitoring—Will more data lead to more health? JAMA Intern. Med. 2022, 182, 1007–1008. [Google Scholar] [CrossRef]
- Anonymous. Monitoring Your Blood Pressure at Home. 2023. [Google Scholar]
- Carey, R.M.; Calhoun, D.A.; Bakris, G.L.; Brook, R.D.; Daugherty, S.L.; Dennison-Himmelfarb, C.R.; Egan, B.M.; Flack, J.M.; Gidding, S.S.; Judd, E.; et al. Resistant Hypertension: Detection, Evaluation, and Management: A Scientific Statement From the American Heart Association. Hypertension 2018, 72, e53–e90. [Google Scholar] [CrossRef] [PubMed]
- Whelton, P.K.; Carey, R.M.; Mancia, G.; Kreutz, R.; Bundy, J.D.; Williams, B. Harmonization of the American College of Cardiology/American Heart Association and European Society of Cardiology/European Society of Hypertension Blood Pressure/Hypertension Guidelines: Comparisons, Reflections, and Recommendations. Circulation 2022, 146, 868–877. [Google Scholar] [CrossRef] [PubMed]
- Whelton, P.K.; Carey, R.M.; Aronow, W.S.; Casey, D.E.; Collins, K.J.; Dennison Himmelfarb, C.; DePalma, S.M.; Gidding, S.; Jamerson, K.A.; Jones, D.W. 2017 ACC/AHA/AAPA/ABC/ACPM/AGS/APhA/ASH/ASPC/NMA/PCNA guideline for the prevention, detection, evaluation, and management of high blood pressure in adults: A report of the American College of Cardiology/American Heart Association Task Force on Clinical Practice Guidelines. J. Am. Coll. Cardiol. 2018, 71, e127–e248. [Google Scholar] [PubMed]
- Anonymous. Underlying Cause of Death, 1999–2020.
- Kelly, J.T.; Campbell, K.L.; Gong, E.; Scuffham, P. The Internet of Things: Impact and implications for health care delivery. J. Med. Internet Res. 2020, 22, e20135. [Google Scholar] [CrossRef] [PubMed]
- Bhatia, R. Emerging health technologies and how they can transform healthcare delivery. J. Health Manag. 2021, 23, 63–73. [Google Scholar] [CrossRef]
- DesRoches, C.M.; Worzala, C.; Joshi, M.S.; Kralovec, P.D.; Jha, A.K. Small, nonteaching, and rural hospitals continue to be slow in adopting electronic health record systems. Health Aff. 2012, 31, 1092–1099. [Google Scholar] [CrossRef] [PubMed]
- Kruse, C.S.; Kothman, K.; Anerobi, K.; Abanaka, L. Adoption factors of the electronic health record: A systematic review. JMIR Med. Inform. 2016, 4, e5525. [Google Scholar] [CrossRef]
- Hollander, J.E.; Carr, B.G. Virtually perfect? Telemedicine for COVID-19. N. Engl. J. Med. 2020, 382, 1679–1681. [Google Scholar] [CrossRef]
- Monaghesh, E.; Hajizadeh, A. The role of telehealth during COVID-19 outbreak: A systematic review based on current evidence. BMC Public Health 2020, 20, 1193. [Google Scholar] [CrossRef]
- Rahimi, K.; Bidel, Z.; Nazarzadeh, M.; Copland, E.; Canoy, D.; Ramakrishnan, R.; Pinho-Gomes, A.-C.; Woodward, M.; Adler, A.; Agodoa, L. Pharmacological blood pressure lowering for primary and secondary prevention of cardiovascular disease across different levels of blood pressure: An individual participant-level data meta-analysis. Lancet 2021, 397, 1625–1636. [Google Scholar] [CrossRef]
- De Guzman, K.R.; Snoswell, C.L.; Taylor, M.L.; Gray, L.C.; Caffery, L.J. Economic evaluations of remote patient monitoring for chronic disease: A systematic review. Value Health 2022, 25, 897–913. [Google Scholar] [CrossRef] [PubMed]
- Acharya, M.; Ali, M.M.; Bogulski, C.A.; Pandit, A.A.; Mahashabde, R.V.; Eswaran, H.; Hayes, C.J. Association of remote patient monitoring with mortality and healthcare utilization in hypertensive patients: A Medicare claims–based study. J. Gen. Intern. Med. 2024, 39, 762–773. [Google Scholar] [CrossRef] [PubMed]
- Mehmood, G.; Khan, M.Z.; Bashir, A.K.; Al-Otaibi, Y.D.; Khan, S. An efficient QoS-based multi-path routing scheme for smart healthcare monitoring in wireless body area networks. Comput. Electr. Eng. 2023, 109, 108517. [Google Scholar] [CrossRef]
- Richman, I.B.; Fairley, M.; Jørgensen, M.E.; Schuler, A.; Owens, D.K.; Goldhaber-Fiebert, J.D. Cost-effectiveness of intensive blood pressure management. JAMA Cardiol. 2016, 1, 872–879. [Google Scholar] [CrossRef]



Disclaimer/Publisher’s Note: The statements, opinions and data contained in all publications are solely those of the individual author(s) and contributor(s) and not of MDPI and/or the editor(s). MDPI and/or the editor(s) disclaim responsibility for any injury to people or property resulting from any ideas, methods, instructions or products referred to in the content. |
© 2024 by the authors. Licensee MDPI, Basel, Switzerland. This article is an open access article distributed under the terms and conditions of the Creative Commons Attribution (CC BY) license (https://creativecommons.org/licenses/by/4.0/).
Share and Cite
Smith, W.; Colbert, B.M.; Namouz, T.; Caven, D.; Ewing, J.A.; Albano, A.W. Remote Patient Monitoring Is Associated with Improved Outcomes in Hypertension: A Large, Retrospective, Cohort Analysis. Healthcare 2024, 12, 1583. https://doi.org/10.3390/healthcare12161583
Smith W, Colbert BM, Namouz T, Caven D, Ewing JA, Albano AW. Remote Patient Monitoring Is Associated with Improved Outcomes in Hypertension: A Large, Retrospective, Cohort Analysis. Healthcare. 2024; 12(16):1583. https://doi.org/10.3390/healthcare12161583
Chicago/Turabian StyleSmith, Wesley, Brett M. Colbert, Tariq Namouz, Dean Caven, Joseph A. Ewing, and Andrew W. Albano. 2024. "Remote Patient Monitoring Is Associated with Improved Outcomes in Hypertension: A Large, Retrospective, Cohort Analysis" Healthcare 12, no. 16: 1583. https://doi.org/10.3390/healthcare12161583
APA StyleSmith, W., Colbert, B. M., Namouz, T., Caven, D., Ewing, J. A., & Albano, A. W. (2024). Remote Patient Monitoring Is Associated with Improved Outcomes in Hypertension: A Large, Retrospective, Cohort Analysis. Healthcare, 12(16), 1583. https://doi.org/10.3390/healthcare12161583

