Establishing Reference Data for Fitness Assessment of Law Enforcement Officers Using a Qualitative Systematic Review
Abstract
1. Introduction
2. Materials and Methods
2.1. Experimental Approach to the Problem
2.2. Procedures
2.2.1. Search Strategy
2.2.2. Critical Appraisal
2.2.3. Data Extraction
2.2.4. Meta-Analysis and Data Aggregation
| Author/Year of Publication | Study Population | Physical Capacity | Fitness Tests * |
|---|---|---|---|
| Beck et al., 2015 [3] | Law Enforcement Officers USA n = 16 (♂) Age, 33.1 ± 8.7 years | ME |
|
| MS |
| ||
| MP |
| ||
| F |
| ||
Other
| |||
| Crawley et al., 2016 [11] | Police Cadets Michigan, USA n = 55 (♀, n = 6; ♂, n = 49) Age: ♀, 22.7 ± 2.1 years ♂, 23.4 ± 2.9 years ♀♂, 23 ± 3 years | ME |
|
| MS |
| ||
| MP |
| ||
| Ag |
| ||
| F |
| ||
| Dawes et al., 2016 [16] | Police Officers Colorado, USA n = 76 (♂) Age: 39.42 ± 8.41 years | ME |
|
| MS |
| ||
| MP |
| ||
| AC |
| ||
| Losty et al., 2016 [19] | Police Officers Trainees Ireland n = 273 (♀, n = 85; ♂, n = 188) Age: ♀♂, 24 ± 4 years | ME |
|
| AC |
| ||
| F |
| ||
| Dawes et al., 2017 [10] | Highway Patrol Officers Colorado, USA n = 631 (♀, n = 34; ♂, n = 597) Age: ♀, 36.21 ± 8.45 years ♂, 39.52 ± 8.09 years Age groups (years): (20–29), n = 89 (♀, n = 6; ♂, n = 83) (30–39), n = 218 (♀, n = 16; ♂, n = 202) (40–49), n = 262 (♀, n = 10; ♂, n = 252) (50–59), n = 57 (♀, n = 2; ♂, n = 55) (60–69), n = 5 (♂) [Note: Complementarily, percentile (P5, P10, P15, P20, P25, P30, P35, P40, P45, P50, P55, P60, P65, P70, P75, P80, P85, P90, P95) ranking (push-ups, sit-ups, handgrip, vertical jump, and number of shuttles) were presented for only male police officers.] | ME |
|
| MS |
| ||
| MP |
| ||
| AC |
| ||
| Violanti et al., 2017 [20] | Police Officers USA n = 1941 (♀, n = 115; ♂, n = 1826) Age: ♀, 33.0 ± 4.8 years ♂, 35.5 ± 6.8 years ♂♀, 35.3 ± 6.7 years Relative body fat (%BF) groups: ♀ (7.0–20.0%BF), n = 37; ♀ (20.2–23.4%BF), n = 39; ♀ (23.7–35.3%BF), n = 39 ♂ (2.7–13.6%BF), n = 601; ♂ (13.8–18.3%BF), n = 621; ♂ (18.4–34.1%BF), n = 604. | ME |
|
| AC |
| ||
| F |
| ||
| Orr et al., 2018 [21] | Law Enforcement Agency USA n = 164 (♀, n = 25; ♂, n = 139) Police Officers n = 80 (♀, n = 7; ♂, n = 73) Age: ♀, 37.86 ± 3.67 years ♂, 39.43 ± 8.28 years Police Academy Cadets n = 84 (♀, n = 18; ♂, n = 66) Age: ♀, 30.50 ± 5.76 years ♂, 27.96 ± 5.73 years | ME |
|
| MS |
| ||
| MP |
| ||
| AC |
| ||
| Frio Marins et al., 2019 [22] | Federal Highway Police Officers Brazil n = 13 (♂) Age: 36.8 ± 3.7 years Groups: Unloaded conditions Loaded conditions | MP |
|
| Other AC: Maximal treadmill (VO2max; mL/kg/min): Unloaded, 46.2 ± 6.6; Loaded, 45.9 ± 7.5 | |||
| Kim et al., 2019 [23] | Police Officers Korea n = 372 (♂, n = 334; ♀, n = 38) Age: ♀, 33.9 ± 6.8 years ♂, 41.8 ± 9.0 years Groups: 2014 (♀, n = 24; ♂, n = 295) 2015 (♀, n = 26; ♂, n = 299) 2016 (♀, n = 34; ♂, n = 316) 2017 (♀, n = 36; ♂, n = 315) 2018 (♀, n = 34; ♂, n = 320) 2019 (♀, n = 35; ♂, n = 327) | ME |
|
| MS |
| ||
| Lentz et al., 2019 [24] | Police Officers Canada n = 1006 (♀, n = 146; ♂, n = 860) Age: ♀, 38.4 ± 6.3 years ♂, 40.0 ± 5.7 years ♀♂, 39.7 ± 5.8 years Groups: Uninjured (♀♂, n = 670) Injured (♀♂, n = 336) | ME |
|
| MS |
| ||
| MP |
| ||
| AC |
| ||
| Lockie et al., 2019 [25] | Law Enforcement Officers USA n = 383 (♀, n = 21; ♂, n = 362) Age: ♀♂, 38.44 ± 7.40 years ♀, 35.14 ± 5.16 years ♂, 38.64 ± 7.47 years Age groups: ♀ (20–29), 28.50 ± 0.58 years ♀ (30–39), 34.42 ± 2.91 years ♀ (40–49), 42.20 ± 1.30 years ♂ (20–29), 26.80 ± 1.56 years ♂ (30–39), 34.62 ± 3.0 years ♂ (40–49), 43.19 ± 2.57 years ♂ (50–59), 52.55 ± 3.96 years | ME |
|
| MP |
| ||
| AC |
| ||
| F |
| ||
| Myers et al., 2019 [26] | Law Enforcement Officers USA n = 398 (♀, n = 11; ♂, n = 387) Law Enforcement Agencies: LEA1, n = 79 (♀, n = 7; ♂, n = 72) LEA2, n = 319 (♀, n = 4; ♂, n = 315) Age (groups): ♀ (LEA1), 38.14 ± 3.84 years ♂ (LEA1), 39.43 ± 8.28 years ♀ (LEA2), 32.0 ± 7.07 years ♂ (LEA2), 37.9 ± 7.71 years | ME |
|
| MP |
| ||
| AC |
| ||
| Teixeira et al., 2019 [27] | Police Officers Portugal n = 97 (♂) Age categories (years): 20–29 (n = 43; age, 25.19 ± 2.65 yrs) 30–39 (n = 24; age, 33.29 ± 2.77 yrs) 40–49 (n = 20; age, 44.65 ± 3.18 yrs) > 49 (n = 10; 52.30 ± 2.26 yrs) | ME |
|
| MS |
| ||
| MP |
| ||
| Other evaluation AC: Jackson non-exercise [33] (estimated VO2max; mL/kg/min): 20–29 years, 48.94 ± 3.46; 30–39 years, 45.94 ± 4.18; 40–49 years, 37.10 ± 6.04; >49 years, 34.30 ± 4.33 | |||
| Kukić et al., 2020 [14] | Police Students Serbia n = 177 (♀, n = 79; ♂, n = 98) Age: ♀, 20.9 ± 1.4 years ♂, 20.6 ± 1.3 years | ME |
|
| MS |
| ||
| MP |
| ||
| AC |
| ||
| Lockie et al., 2020 [15] | Law Enforcement Agency-Recruits USA n = 908 (♀, n = 147; ♂, n = 761) Age: ♀, 26.97 ± 4.78 years ♂, 27.19 ± 5.86 years ♂♀, 27.16 ± 5.70 years Class number (♂♀): 1 (n = 90; age, 26.87 ± 5.27 years) 2 (n = 93; age, 28.12 ± 6.12 years) 3 (n = 66; age, 25.77 ± 4.06 years) 4 (n = 79; age, 27.22 ± 6.20 years) 5 (n = 67; age, 26.58 ± 5.66 years) 6 (n = 88; age, 27.14 ± 5.63 years) 7 (n = 83; age, 26.88 ± 5.05 years) 8 (n = 84; age, 27.92 ± 6.57 years) 9 (n = 79; age, 27.04 ± 5.25 years) 10 (n = 89; age, 26.92 ± 6.15 years) 11 (n = 88; age, 27.68 ± 5.86 years) | ME |
|
| AC |
| ||
| Araújo et al., 2021 [28] | Police Officers (Special Police Unit) Portugal n = 117 (♂) Age, 42.5 ± 4.4 years | ME |
|
| MS |
| ||
| MP |
| ||
| AC |
| ||
| F |
| ||
| Caetano et al., 2021 [29] | Military Police Paraná, Brazil n = 1705 (♀♂) Year groups: 2016 (n = 103) 2017 (n = 664) 2018 (n = 410) 2019 (n = 528) | ME |
|
| AC |
| ||
| Lockie et al., 2021 [30] | Law Enforcement Agency Recruits USA n = 514 (♀♂) Graduate (GRAD, n = 436) Age: ♀, 26.7 ± 5.0 years ♂, 26.6 ± 5.3 years ♂♀, 26.6 ± 5.3 years Separate (SEP, n = 78) Age: ♀, 30.5 ± 12.0 years ♂, 32.3 ± 9.2 years ♂♀, 31.8 ± 10.1 years | ME |
|
| AC |
| ||
| Sá et al., 2021 [31] | Police Officers Close Protection Unit-recruits Portugal n = 32 (♀♂; Age, 30.1 ± 2.7 years) | ME |
|
| AC |
| ||
3. Results
3.1. Search Results
3.2. Fitness Measures
3.3. Meta-Analysis
4. Discussion
5. Conclusions
Author Contributions
Funding
Institutional Review Board Statement
Informed Consent Statement
Data Availability Statement
Conflicts of Interest
References
- Stanish, H.I.; Wood, T.M.; Campagna, P. Prediction of performance on the RCMP physical ability requirement evaluation. J. Occup. Environ. Med. 1999, 41, 669–677. [Google Scholar] [CrossRef] [PubMed]
- Strating, M.; Bakker, R.H.; Dijkstra, G.J.; Lemmink, K.A.; Groothoff, J.W. A job-related fitness test for the Dutch police. Occup. Med. 2010, 60, 255–260. [Google Scholar] [CrossRef]
- Beck, A.Q.; Clasey, J.L.; Yates, J.W.; Koebke, N.C.; Palmer, T.G.; Abel, M.G. Relationship of Physical Fitness Measures vs. Occupational Physical Ability in Campus Law Enforcement Officers. J. Strength Cond. Res. 2015, 29, 2340–2350. [Google Scholar] [CrossRef] [PubMed]
- Lockie, R.G.; Balfany, K.; Bloodgood, A.M.; Moreno, M.R.; Cesario, K.A.; Dulla, J.M.; Dawes, J.J.; Orr, R.M. The Influence of Physical Fitness on Reasons for Academy Separation in Law Enforcement Recruits. Int. J. Environ. Res. Public Health 2019, 16, 372. [Google Scholar] [CrossRef] [PubMed]
- Shusko, M.; Benedetti, L.; Korre, M.; Eshleman, E.J.; Farioli, A.; Christophi, C.A.; Kales, S.N. Recruit Fitness as a Predictor of Police Academy Graduation. Occup. Med. 2017, 67, 555–561. [Google Scholar] [CrossRef]
- Dawes, J.; Lockie, R.G.; Orr, R.M.; Kornhauser, C.; Holmes, R. Initial Fitness Testing Scores as a Predictor of Police Academy Graduation. J. Aust. Strength Cond. 2019, 27, 30–37. [Google Scholar]
- Petersen, S.R.; Anderson, G.S.; Tipton, M.J.; Docherty, D.; Graham, T.E.; Sharkey, B.J.; Taylor, N.A. Towards best practice in physical and physiological employment standards. Appl. Physiol. Nutr. Metab. 2016, 41 (Suppl. 2), S47–S62. [Google Scholar] [CrossRef]
- Mantilla-Rodríguez, J.P.; Hernández-Cortés, P.L.; Enríquez-Reyna, M.-C.; Carranza-Garcia, L.E. Proposal of normative values for the physical evaluation of police officers. J. Hum. Sport Exerc. 2021, 16, S1587–S1596. [Google Scholar] [CrossRef]
- Massuça, L.M.; Santos, V.; Monteiro, L.F. Identifying the Physical Fitness and Health Evaluations for Police Officers: Brief Systematic Review with an Emphasis on the Portuguese Research. Biology 2022, 11, 1061. [Google Scholar] [CrossRef]
- Dawes, J.J.; Orr, R.M.; Flores, R.R.; Lockie, R.G.; Kornhauser, C.; Holmes, R. A physical fitness profile of state highway patrol officers by gender and age. Ann. Occup. Environ. Med. 2017, 29, 16. [Google Scholar] [CrossRef]
- Crawley, A.A.; Sherman, R.A.; Crawley, W.R.; Cosio-Lima, L.M. Physical Fitness of Police Academy Cadets: Baseline Characteristics and Changes During a 16-Week Academy. J. Strength Cond. Res. 2016, 30, 1416–1424. [Google Scholar] [CrossRef]
- Yoo, H.L.; Franke, W.D. Prevalence of cardiovascular disease risk factors in volunteer firefighters. J. Occup. Environ. Med. 2009, 51, 958–962. [Google Scholar] [CrossRef]
- Adams, J.; Cheng, D.; Lee, J.; Shock, T.; Kennedy, K.; Pate, S. Use of the bootstrap method to develop a physical fitness test for public safety officers who serve as both police officers and firefighters. Bayl. Univ. Med. Cent. Proc. 2014, 27, 199–202. [Google Scholar] [CrossRef]
- Kukić, F.; Lockie, R.G.; Vesković, A.; Petrović, N.; Subošić, D.; Spasić, D.; Paspalj, D.; Vulin, L.; Koropanovski, N. Perceived and Measured Physical Fitness of Police Students. Int. J. Environ. Res. Public Health 2020, 17, 7628. [Google Scholar] [CrossRef]
- Lockie, R.G.; Dawes, J.J.; Orr, R.M.; Dulla, J.M. Recruit Fitness Standards From a Large Law Enforcement Agency: Between-Class Comparisons, Percentile Rankings, and Implications for Physical Training. J. Strength Cond. Res. 2020, 34, 934–941. [Google Scholar] [CrossRef]
- Dawes, J.J.; Orr, R.M.; Siekaniec, C.L.; Vanderwoude, A.A.; Pope, R. Associations between anthropometric characteristics and physical performance in male law enforcement officers: A retrospective cohort study. Ann. Occup. Environ. Med. 2016, 28, 26. [Google Scholar] [CrossRef]
- Page, M.J.; McKenzie, J.E.; Bossuyt, P.M.; Boutron, I.; Hoffmann, T.C.; Mulrow, C.D.; Shamseer, L.; Tetzlaff, J.M.; Akl, E.A.; Brennan, S.E.; et al. The PRISMA 2020 statement: An updated guideline for reporting systematic reviews. BMJ 2021, 372, 105906. [Google Scholar] [CrossRef]
- Buccheri, R.K.; Sharifi, C. Critical Appraisal Tools and Reporting Guidelines for Evidence-Based Practice. Worldviews Evid. Based Nurs. 2017, 14, 463–472. [Google Scholar] [CrossRef]
- Losty, C.; Williams, E.; Gossman, P. Police officer physical fitness to work: A case for health and fitness training. J. Hum. Sport Exerc. 2017, 11, 455–467. [Google Scholar] [CrossRef]
- Violanti, J.M.; Ma, C.C.; Fekedulegn, D.; Andrew, M.E.; Gu, J.K.; Hartley, T.A.; Charles, L.E.; Burchfiel, C.M. Associations Between Body Fat Percentage and Fitness among Police Officers: A Statewide Study. Saf. Health Work 2017, 8, 36–41. [Google Scholar] [CrossRef]
- Orr, R.M.; Dawes, J.J.; Pope, R.; Terry, J. Assessing Differences in Anthropometric and Fitness Characteristics Between Police Academy Cadets and Incumbent Officers. J. Strength Cond. Res. 2018, 32, 2632–2641. [Google Scholar] [CrossRef] [PubMed]
- Frio Marins, E.; Cabistany, L.; Bartel, C.; Dawes, J.J.; Boscolo Del Vecchio, F. Aerobic fitness, upper-body strength and agility predict performance on an occupational physical ability test among police officers while wearing personal protective equipment. J. Sports Med. Phys. Fit. 2019, 59, 1835–1844. [Google Scholar] [CrossRef] [PubMed]
- Kim, S.; Kim, J. A Comparative Analysis of Physical Fitness in Korean Police Officers: Focus on Results between 2014 to 2019. Exerc. Sci. 2019, 28, 396–400. [Google Scholar] [CrossRef]
- Lentz, L.; Randall, J.R.; Guptill, C.A.; Gross, D.P.; Senthilselvan, A.; Voaklander, D. The Association Between Fitness Test Scores and Musculoskeletal Injury in Police Officers. Int. J. Environ. Res. Public Health 2019, 16, 4667. [Google Scholar] [CrossRef] [PubMed]
- Lockie, R.G.; Dawes, J.J.; Kornhauser, C.L.; Holmes, R.J. Cross-Sectional and Retrospective Cohort Analysis of the Effects of Age on Flexibility, Strength Endurance, Lower-Body Power, and Aerobic Fitness in Law Enforcement Officers. J. Strength Cond. Res. 2019, 33, 451–458. [Google Scholar] [CrossRef]
- Myers, C.J.; Orr, R.M.; Goad, K.S.; Schram, B.L.; Lockie, R.; Kornhauser, C.; Holmes, R.; Dawes, J.J. Comparing levels of fitness of police Officers between two United States law enforcement agencies. Work 2019, 63, 615–622. [Google Scholar] [CrossRef]
- Teixeira, J.; Monteiro, L.F.; Silvestre, R.; Beckert, J.; Massuça, L.M. Age-related influence on physical fitness and individual on-duty task performance of Portuguese male non-elite police officers. Biol. Sport 2019, 36, 163–170. [Google Scholar] [CrossRef]
- Araújo, A.O.; Cancela, J.M.; Bezerra, P.; Chaves, C.; Rodrigues, L.P. Age-related influences on somatic and physical fitness of elite police agents. Retos 2021, 40, 281–288. [Google Scholar] [CrossRef]
- Caetano, H.B.S.; Israel-Caetano, C.; López-Gil, J.F.; Sentone, R.G.; Godoy, K.B.S.; Cavichiolli, F.R.; Paulo, A.C. Physical fitness tests as a requirement for physical performance improvement in officers in the military police of the state of Paraná, Brazil. Rev. Bras. Med. Trab. 2021, 18, 444–448. [Google Scholar] [CrossRef]
- Lockie, R.G.; Dawes, J.J.; Orr, R.M.; Dulla, J.M. Physical fitness: Differences between initial hiring to academy in law enforcement recruits who graduate or separate from academy. Work 2021, 68, 1081–1090. [Google Scholar] [CrossRef]
- Sá, M.; Santos, T.; Afonso, J.; Gouveia, E.R.; Marques, A. Physical fitness and anthropometrical profile for the recruits of the elite close protection unit of the Portuguese public security police. Police Pract. Res. 2021, 23, 308–321. [Google Scholar] [CrossRef]
- Higgins, J.P.; Thompson, S.G.; Deeks, J.J.; Altman, D.G. Measuring inconsistency in meta-analyses. BMJ 2003, 327, 557–560. [Google Scholar] [CrossRef]
- Jackson, A.S.; Sui, X.; O’Connor, D.P.; Church, T.S.; Lee, D.C.; Artero, E.G.; Blair, S.N. Longitudinal cardiorespiratory fitness algorithms for clinical settings. Am. J. Prev. Med. 2012, 43, 512–519. [Google Scholar] [CrossRef]
- Orr, R.M.; Kukić, F.; Čvorović, A.; Koropanovski, N.; Janković, R.; Dawes, J.; Lockie, R. Associations between Fitness Measures and Change of Direction Speeds with and without Occupational Loads in Female Police Officers. Int. J. Environ. Res. Public Health 2019, 16, 1947. [Google Scholar] [CrossRef]





| Databases | Search Terms | Filters (Sort by) | Results |
|---|---|---|---|
| PubMed | “Police” OR “Law enforcement” AND “Fitness test” OR “Physical fitness” AND “health” | Best Match | 177 |
| ScienceDirect | “Police” AND “Fitness test” AND “health” | Relevance | 1702 |
| Study | Q1 | Q2 | Q3 | Q4 | Q5 | Q6 | Q7 | Q8 | Q9 | Q10 |
|---|---|---|---|---|---|---|---|---|---|---|
| Beck et al., 2015 [3] | yes | yes | yes | yes | yes | yes | yes | yes | yes | 09/09 |
| Crawley et al., 2016 [11] | yes | yes | yes | yes | yes | yes | yes | yes | yes | 09/09 |
| Dawes et al., 2016 [16] | yes | yes | yes | yes | yes | yes | yes | yes | yes | 09/09 |
| Losty et al., 2016 [19] | yes | yes | yes | yes | yes | yes | yes | yes | yes | 09/09 |
| Dawes et al., 2017 [10] | yes | yes | yes | yes | yes | yes | yes | yes | yes | 09/09 |
| Violanti et al., 2017 [20] | yes | yes | yes | yes | yes | yes | yes | yes | yes | 09/09 |
| Orr et al., 2018 [21] | yes | yes | yes | yes | yes | yes | yes | yes | yes | 09/09 |
| Frio Marins et al., 2019 [22] | yes | yes | yes | yes | yes | yes | yes | no | yes | 08/09 |
| Kim et al., 2019 [23] | yes | yes | yes | yes | yes | yes | yes | no | yes | 08/09 |
| Lentz et al., 2019 [24] | yes | yes | yes | yes | yes | yes | yes | yes | yes | 09/09 |
| Lockie et al., 2019 [25] | yes | yes | yes | yes | yes | yes | yes | yes | yes | 09/09 |
| Myers et al., 2019 [26] | yes | yes | yes | yes | yes | yes | yes | no | yes | 08/09 |
| Teixeira et al., 2019 [27] | yes | yes | yes | yes | yes | yes | yes | yes | yes | 09/09 |
| Kukić et al., 2020 [14] | yes | yes | yes | yes | yes | yes | yes | yes | yes | 09/09 |
| Lockie et al., 2020 [15] | yes | yes | yes | yes | yes | yes | yes | yes | yes | 09/09 |
| Araújo et al., 2021 [28] | yes | yes | yes | yes | yes | yes | yes | yes | yes | 09/09 |
| Caetano et al., 2021 [29] | yes | yes | yes | yes | yes | yes | yes | no | yes | 08/09 |
| Lockie et al., 2021 [30] | yes | yes | yes | yes | yes | yes | yes | yes | yes | 09/09 |
| Sá et al., 2021 [31] | yes | yes | yes | yes | yes | yes | yes | no | yes | 08/09 |
| Study | Muscular Endurance | Muscular Strength | Muscular Power | Aerobic Capacity | Agility | Flexibility | |||||||
|---|---|---|---|---|---|---|---|---|---|---|---|---|---|
| Push-Ups | Sit-Ups | Pull-Ups | Handgrip | 1 RM Bench Press | Vertical Jump | Standing Broad Jump | Medicine Throw Ball | 20-m Shuttle Run | 2.4-km Run | Cooper | t-Test | Sit-and-Reach | |
| Beck et al., 2015 [3] | ♂ | ♂ | ♂ | ♂ | ♂ | ||||||||
| Crawley et al., 2016 [11] | ♀♂, ♀, ♂ | ♀♂, ♀, ♂ | ♀♂, ♀, ♂ | ♀♂, ♀, ♂ | ♀♂, ♀, ♂ | ♀♂, ♀, ♂ | ♀♂, ♀, ♂ | ||||||
| Dawes et al., 2016 [16] | ♂ | ♂ | ♂ | ♂ | ♂ | ||||||||
| Losty et al., 2016 [19] | ♀♂ | ♀♂ | ♀♂ | ♀♂ | |||||||||
| Dawes et al., 2017 [10] | ♀♂, ♀, ♂ | ♀♂, ♀, ♂ | ♀♂, ♀, ♂ | ♀♂, ♀, ♂ | ♀♂, ♀, ♂ | ||||||||
| Violanti et al., 2017 [20] | ♀, ♂ | ♀, ♂ | ♀, ♂ | ♀, ♂ | |||||||||
| Orr et al., 2018 [21] | ♀, ♂ | ♀, ♂ | ♀, ♂ | ♀, ♂ | ♀, ♂ | ||||||||
| Frio Marins et al., 2019 [22] | ♂ | ♂ | |||||||||||
| Kim et al., 2019 [23] | ♀, ♂ | ♀, ♂ | ♀, ♂ | ||||||||||
| Lentz et al., 2019 [24] | ♀♂ | ♀♂ | ♀♂ | ♀♂ | ♀♂ | ||||||||
| Lockie et al., 2019 [25] | ♀, ♂ | ♀, ♂ | ♀, ♂ | ♀, ♂ | ♀, ♂ | ||||||||
| Myers et al., 2019 [26] | ♀♂, ♂ | ♀♂, ♂ | ♀♂, ♂ | ♀♂ | ♀♂ | ||||||||
| Teixeira et al., 2019 [27] | ♂ | ♂ | ♂ | ♂ | ♂ | ♂ | |||||||
| Kukić et al., 2020 [14] | ♀♂, ♀, ♂ | ♀♂, ♀, ♂ | ♀♂, ♀, ♂ | ♀♂, ♀, ♂ | |||||||||
| Lockie et al., 2020 [15] | ♀♂ | ♀♂ | ♀♂ | ♀♂ | |||||||||
| Araújo et al., 2021 [28] | ♂ | ♂ | ♂ | ♂ | ♂ | ♂ | ♂ | ♂ | ♂ | ||||
| Caetano et al., 2021 [29] | (♀♂ unclear) | (♀♂ unclear) | ♀♂ | ♀♂ | |||||||||
| Lockie et al., 2021 [30] | ♀♂ | ♀♂ | ♀♂ | ||||||||||
| Sá et al., 2021 [31] | ♀♂ | ♀♂ | ♀♂ | ♀♂ | |||||||||
| Physical Capacity | Fitness Tests | Groups | Studies | n | Mean | SD | Z | p-Value | 95% Confidence Interval | Meta-Analysis (Cochran’s Q-Statistic) | |
|---|---|---|---|---|---|---|---|---|---|---|---|
| Lower | Upper | ||||||||||
| Muscular Endurance | Push-ups (repetitions) | Cadets | [11,21] | 24 | 33.61 | 16.53 | 2.034 | <0.001 | 1.22 | 66.00 | Q [df, 21] = 69.31, p < 0.001; I2 = 0.72, τ2 = 79.79 QM [df, 1] = 0.00, p = 0.99 |
| Officers | [10,20,21,23,25,26] | 226 | 33.81 | 2.68 | 12.605 | <0.001 | 28.55 | 39.06 | |||
| Overall | [10,11,20,21,23,25,26] | 250 | 33.67 | 2.62 | 12.856 | <0.001 | 28.54 | 38.80 | |||
| Sit-ups (repetitions) | Cadets | [11,14,21] | 103 | 34.06 | 7.43 | 4.585 | <0.001 | 19.50 | 48.62 | Q [df, 22] = 44.60, p < 0.001; I2 = 0.48, τ2 = 27.85 QM [df, 1] = 0.02, p = 0.89 | |
| Officers | [10,20,21,23,25,26] | 226 | 35.09 | 1.57 | 22.392 | <0.001 | 32.02 | 38.16 | |||
| Overall | [10,11,14,20,21,23,25,26] | 329 | 35.13 | 1.79 | 19.627 | <0.001 | 31.62 | 38.63 | |||
| Muscular Strength | Handgrip (dominant) (kg) | Cadets | [14] | 79 | 39.03 | 4.26 | 9.162 | <0.001 | 30.68 | 47.38 | Q [df, 5] = 4.71, p = 0.45; I2 = 0.08, τ2 = 2.02 QM [df, 1] = 0.04, p = 0.84 |
| Officers | [10] | 34 | 40.01 | 2.49 | 16.048 | <0.001 | 35.12 | 44.89 | |||
| Overall | [10,14] | 113 | 39.89 | 2.03 | 19.688 | <0.001 | 35.92 | 43.87 | |||
| 1 RM bench press (kg) | Cadets | [11,21] | 24 | 44.64 | 9.36 | 4.770 | <0.001 | 26.30 | 62.98 | Q [df, 2] = 1.59, p = 0.45; I2 = 0.00, τ2 = 0.00 QM [df, 1] = 0.00, p = 0.94 | |
| Officers | [21] | 7 | 45.45 | 6.82 | 6.660 | <0.001 | 32.08 | 58.82 | |||
| Overall | [11,21] | 31 | 44.21 | 4.86 | 9.090 | <0.001 | 34.67 | 53.74 | |||
| Muscular Power | Vertical jump (Sargent/Abalakov) (cm) | Cadets | [11,21] | 24 | 42.86 | 3.25 | 13.185 | <0.001 | 36.49 | 49.23 | Q [df, 12] = 19.22, p = 0.08; I2 = 0.34, τ2 = 16.32 QM [df, 1] = 0.51, p = 0.48 |
| Officers | [10,21,25,26] | 73 | 39.96 | 2.46 | 16.251 | <0.001 | 35.14 | 44.78 | |||
| Overall | [10,11,21,25,26] | 97 | 40.39 | 1.99 | 20.331 | <0.001 | 36.50 | 44.29 | |||
| Aerobic Capacity | 2.4-km (1.5-mile) run (min) | Cadets | [21] | 18 | 12.35 | 0.82 | 15.061 | <0.001 | 10.74 | 13.96 | Q [df, 7] = 11.15, p = 0.13; I2 = 0.30, τ2 = 1.04 QM [df, 1] = 2.54, p = 0.11 |
| Officers | [20,21,25] | 143 | 14.19 | 0.81 | 17.522 | <0.001 | 12.60 | 15.77 | |||
| Overall | [20,21,25] | 161 | 13.67 | 0.68 | 20.164 | <0.001 | 12.35 | 15.00 | |||
| Flexibility | Sit-and-reach (cm) | Cadets | [11] | 6 | 32.10 | 6.20 | 5.177 | <0.001 | 19.95 | 44.25 | Q [df, 6] = 10.22, p = 0.12; I2 = 0.44, τ2 = 30.00 QM [df, 1] = 9.71, p < 0.001 |
| Officers | [20,25] | 136 | 52.87 | 2.44 | 21.681 | <0.001 | 48.09 | 57.64 | |||
| Overall | [11,20,25] | 142 | 49.47 | 3.20 | 15.465 | <0.001 | 43.20 | 55.74 | |||
| Physical Capacity | Fitness Tests | Groups | Studies | n | Mean | SD | Z | p-Value | 95% Confidence Interval | Meta-Analysis (Cochran’s Q-Statistic) | |
|---|---|---|---|---|---|---|---|---|---|---|---|
| Lower | Upper | ||||||||||
| Muscular Endurance | Push-ups (repetitions) | Cadets | [11,21] | 115 | 59.02 | 11.61 | 5.082 | <0.001 | 36.26 | 81.78 | Q [df, 29] = 18.77, p = 0.93; I2 = 0.00, τ2 = 00.00 QM [df, 1] = 2.24, p = 0.13 |
| Officers | [3,10,16,20,21,23,25,26,27] | 3768 | 41.37 | 1.99 | 20.791 | <0.001 | 37.47 | 45.27 | |||
| Overall | [3,10,11,16,20,21,23,25,26,27] | 3883 | 42.22 | 1.94 | 21.739 | <0.001 | 38.41 | 46.03 | |||
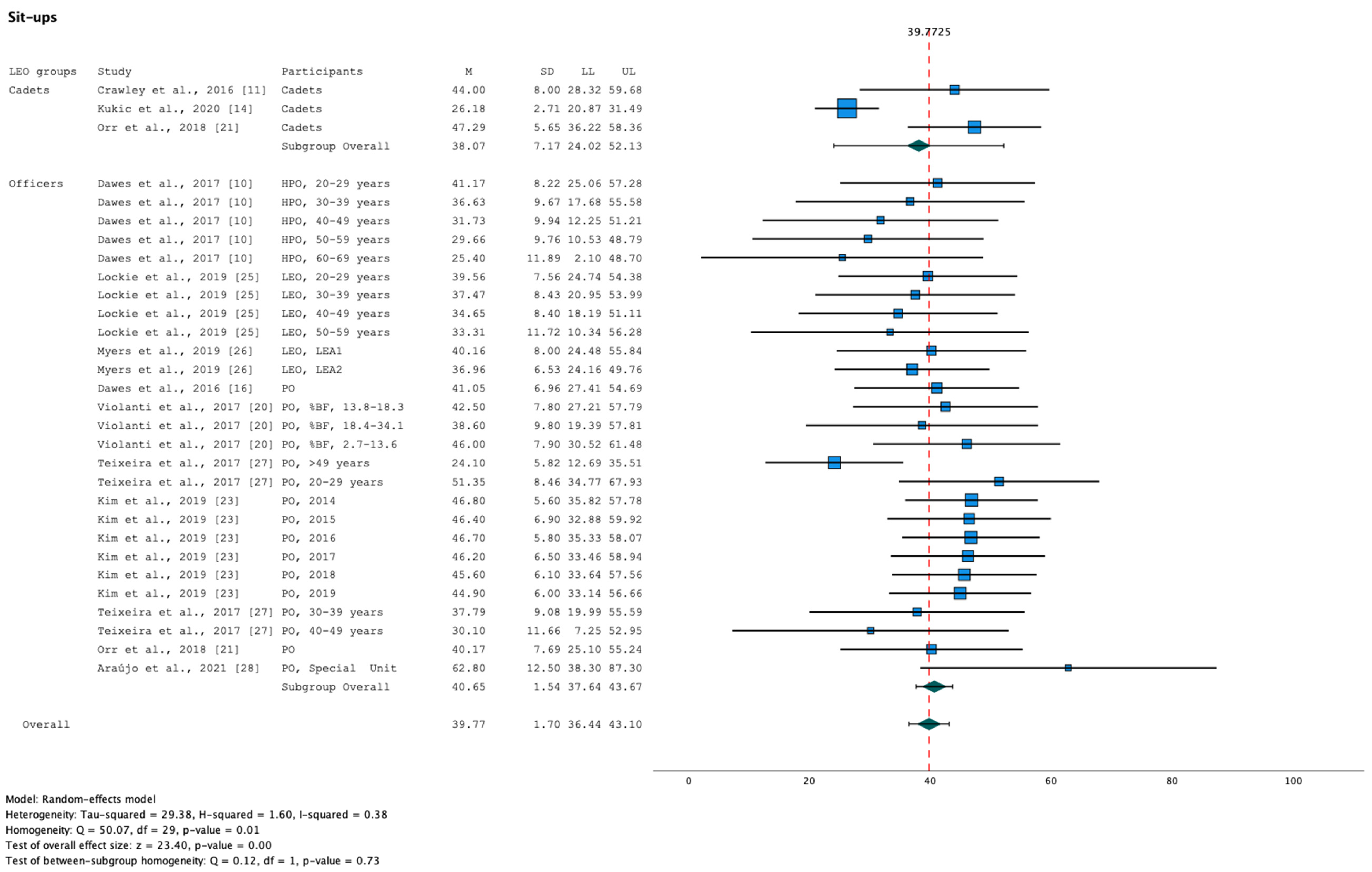
| Sit-ups (repetitions) | Cadets | [11,14,21] | 213 | 38.07 | 7.17 | 5.309 | <0.001 | 24.02 | 52.13 | Q [df, 29] = 50.07, p = 0.01; I2 = 0.38, τ2 = 29.38 QM [df, 1] = 0.12, p = 0.73 | |
| Officers | [10,16,20,21,23,25,26,27,28] | 3869 | 40.65 | 1.54 | 26.429 | <0.001 | 37.64 | 43.67 | |||
| Overall | [10,11,14,16,20,21,23,25,26,27,28] | 4082 | 39.77 | 1.70 | 23.405 | <0.001 | 36.44 | 43.10 | |||
| Muscular Strength | Handgrip (dominant) (kg) | Cadets | [14] | 98 | 63.19 | 7.24 | 8.728 | <0.001 | 49.00 | 77.38 | Q [df, 5] = 2.98, p = 0.70; I2 = 0.00, τ2 = 0.00 QM [df, 1] = 2.14, p = 0.14 |
| Officers | [10] | 597 | 51.99 | 2.49 | 20.863 | <0.001 | 47.11 | 56.88 | |||
| Overall | [10,14] | 695 | 53.18 | 2.36 | 22.568 | <0.001 | 48.56 | 57.80 | |||
| 1 RM bench press (kg) | Cadets | [11,21] | 115 | 97.18 | 17.09 | 5.687 | <0.001 | 63.69 | 130.67 | Q [df, 9] = 9.16, p = 0.42; I2 = 0.37, τ2 = 181.98 QM [df, 1] = 0.51, p = 0.47 | |
| Officers | [3,16,21,27,28] | 379 | 83.79 | 7.68 | 10.913 | <0.001 | 68.75 | 98.84 | |||
| Overall | [3,11,16,21,27,28] | 494 | 86.12 | 7.42 | 11.614 | <0.001 | 71.59 | 100.65 | |||
| Muscular Power | Vertical jump (Sargent/Abalakov) (cm) | Cadets | [11,21] | 115 | 61.43 | 6.76 | 9.093 | <0.001 | 48.19 | 74.67 | Q [df, 15] = 18.18, p = 0.25; I2 = 0.29, τ2 = 23.24 QM [df, 1] = 1.43, p = 0.23 |
| Officers | [3,10,16,21,25,26] | 1511 | 52.86 | 2.40 | 22.017 | <0.001 | 48.15 | 57.56 | |||
| Overall | [3,10,11,16,21,25,26] | 1626 | 53.62 | 2.28 | 23.483 | <0.001 | 49.14 | 58.09 | |||
| Aerobic Capacity | 2.4-km (1.5-mile) run (min) | Cadets | [21] | 66 | 11.01 | 1.17 | 9.410 | <0.001 | 8.72 | 13.30 | Q [df, 9] = 6.39, p = 0.70; I2 = 0.00, τ2 = 0.00 QM [df, 1] = 1.57, p = 0.21 |
| Officers | [16,20,21,25] | 2337 | 12.68 | 0.65 | 19.593 | <0.001 | 11.41 | 13.95 | |||
| Overall | [16,20,21,25] | 2403 | 12.29 | 0.57 | 21.699 | <0.001 | 11.18 | 13.40 | |||
| Flexibility | Sit-and-reach (cm) | Cadets | [11] | 49 | 28.00 | 8.50 | 3.294 | <0.001 | 11.34 | 44.66 | Q [df, 9] = 8.36, p = 0.50; I2 = 0.00, τ2 = 0.00 QM [df, 1] = 3.07, p = 0.08 |
| Officers | [3,20,25,28] | 2321 | 43.56 | 2.57 | 16.966 | <0.001 | 38.52 | 48.59 | |||
| Overall | [3,11,20,25,28] | 2370 | 42.25 | 2.46 | 17.193 | <0.001 | 37.44 | 47.07 | |||
Disclaimer/Publisher’s Note: The statements, opinions and data contained in all publications are solely those of the individual author(s) and contributor(s) and not of MDPI and/or the editor(s). MDPI and/or the editor(s) disclaim responsibility for any injury to people or property resulting from any ideas, methods, instructions or products referred to in the content. |
© 2023 by the authors. Licensee MDPI, Basel, Switzerland. This article is an open access article distributed under the terms and conditions of the Creative Commons Attribution (CC BY) license (https://creativecommons.org/licenses/by/4.0/).
Share and Cite
Massuça, L.M.; Santos, V.; Monteiro, L. Establishing Reference Data for Fitness Assessment of Law Enforcement Officers Using a Qualitative Systematic Review. Healthcare 2023, 11, 1253. https://doi.org/10.3390/healthcare11091253
Massuça LM, Santos V, Monteiro L. Establishing Reference Data for Fitness Assessment of Law Enforcement Officers Using a Qualitative Systematic Review. Healthcare. 2023; 11(9):1253. https://doi.org/10.3390/healthcare11091253
Chicago/Turabian StyleMassuça, Luís Miguel, Vanessa Santos, and Luís Monteiro. 2023. "Establishing Reference Data for Fitness Assessment of Law Enforcement Officers Using a Qualitative Systematic Review" Healthcare 11, no. 9: 1253. https://doi.org/10.3390/healthcare11091253
APA StyleMassuça, L. M., Santos, V., & Monteiro, L. (2023). Establishing Reference Data for Fitness Assessment of Law Enforcement Officers Using a Qualitative Systematic Review. Healthcare, 11(9), 1253. https://doi.org/10.3390/healthcare11091253

