Survival Prediction Using Transformer-Based Categorical Feature Representation in the Treatment of Diffuse Large B-Cell Lymphoma
Abstract
1. Introduction
- We design a systematic analysis of the clinical covariates based on their occurrence during various stages of the treatment.
- We propose a deep-learning-based method for predicting survival time in patients with lymphoma that leverages categorical embedding to represent the disease severity information in categorical data.
2. Proposed Method
2.1. Categorical Embedding
2.2. Transformer Encoders
2.3. Survival Prediction
3. Experiments
3.1. Datasets
3.2. Experiment Design
3.3. Evaluation Metrics
3.3.1. The C-Index
3.3.2. The MAE
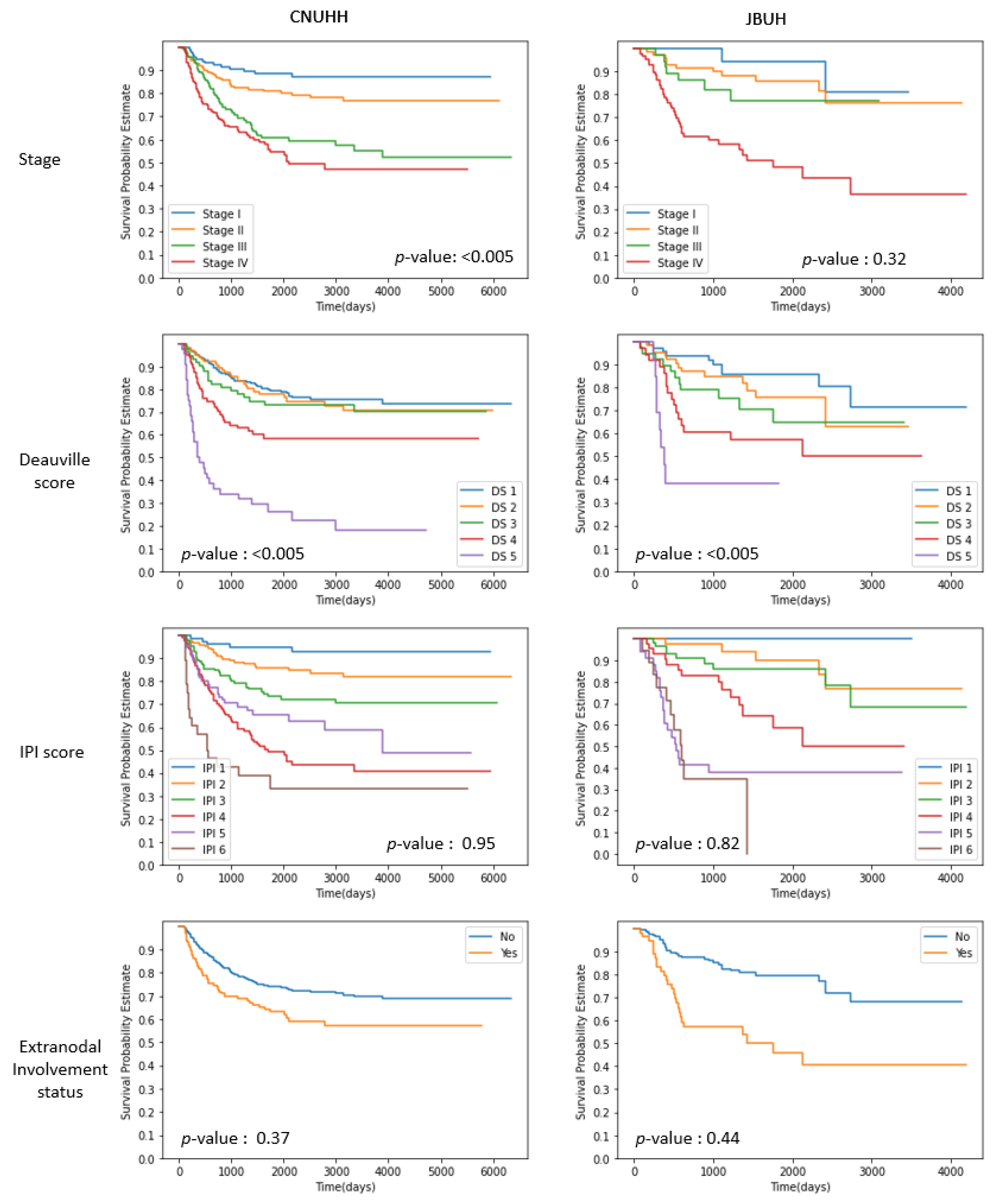
4. Results
5. Discussion
6. Conclusions
Author Contributions
Funding
Institutional Review Board Statement
Informed Consent Statement
Data Availability Statement
Conflicts of Interest
References
- Shankland, K.R.; Armitage, J.O.; Hancock, B.W. Non-Hodgkin Lymphoma. Lancet 2012, 380, 848–857. [Google Scholar] [CrossRef]
- Urquhart, A.; Berg, R. Hodgkin’s and non-Hodgkin’s lymphoma of the head and neck. Laryngoscope 2001, 111, 1565–1569. [Google Scholar] [CrossRef] [PubMed]
- Hopfinger, G.; Jäger, U.; Worel, N. CAR-T Cell Therapy in Diffuse Large B Cell Lymphoma: Hype and Hope. HemaSphere 2019, 3, e185. [Google Scholar] [CrossRef] [PubMed]
- Cheson, B.D.; Nowakowski, G.; Salles, G. Diffuse large B-cell lymphoma: New targets and novel therapies. Blood Cancer J. 2021, 11, 68. [Google Scholar] [CrossRef] [PubMed]
- Guinney, J.; Wang, T.; Laajala, T.D.; Winner, K.K.; Bare, J.C.; Neto, E.C.; Khan, S.A.; Peddinti, G.; Airola, A.; Pahikkala, T.; et al. Prostate Cancer Challenge DREAM Community. Prediction of overall survival for patients with metastatic castration-resistant prostate cancer: Development of a prognostic model through a crowdsourced challenge with open clinical trial data. Lancet Oncol. 2017, 18, 132–142. [Google Scholar] [CrossRef]
- Shipp, M.A. A predictive model for aggressive non-Hodgkin’s lymphoma. the international non-Hodgkin’s lymphoma prognostic factors project. N. Engl. J. Med. 1993, 329, 987–994. [Google Scholar]
- Yang, D.H.; Min, J.J.; Song, H.C.; Jeong, Y.Y.; Chung, W.K.; Bae, S.Y.; Ahn, J.S.; Kim, Y.K.; Bom, H.S.; Chung, I.J.; et al. Prognostic significance of interim ¹⁸F-FDG PET/CT after three or four cycles of R-CHOP chemotherapy in the treatment of diffuse large B-cell lymphoma. Eur. J. Cancer 2021, 47, 1312–1318. [Google Scholar] [CrossRef]
- El-Galaly, T.C.; Villa, D.; Gormsen, L.C.; Baech, J.; Lo, A.; Cheah, C.Y. FDG-PET/CT in the management of lymphomas: Current status and future directions. J. Intern. Med. 2018, 284, 358–376. [Google Scholar] [CrossRef]
- Meignan, M.; Gallamini, A.; Meignan, M.; Gallamini, A.; Haioun, C. Report on the First International Workshop on Interim-PET-Scan in Lymphoma. Leuk. Lymphoma 2009, 50, 1257–1260. [Google Scholar] [CrossRef]
- Lue, K.H.; Wu, Y.F.; Lin, H.H.; Hsieh, T.C.; Liu, S.H.; Chan, S.C.; Chen, Y.H. Prognostic Value of Baseline Radiomic Features of 18F-FDG PET in Patients with Diffuse Large B-Cell Lymphoma. Diagnostics 2020, 11, 36. [Google Scholar] [CrossRef]
- Cox, D.R. Analysis of Survival Data; Routledge: New York, NY, USA, 2018. [Google Scholar]
- Lin, D.Y.; Wei, L.J. The robust inference for the Cox proportional hazards model. J. Am. Stat. Assoc. 1989, 84, 1074–1078. [Google Scholar] [CrossRef]
- Breslow, N.E. Analysis of survival data under the proportional hazards model. Int. Stat. Rev. Rev. Int. Stat. 1975, 43, 45–57. [Google Scholar] [CrossRef]
- Ishwaran, H.; Kogalur, U.B.; Blackstone, E.H.; Lauer, M.S. Random survival forests. Ann. Appl. Stat. 2008, 2, 841–860. [Google Scholar] [CrossRef]
- Jaeger, B.C.; Long, D.L.; Long, D.M.; Sims, M.; Szychowski, J.M.; Min, Y.; Mcclure, L.A.; Howard, G.; Simon, N. Oblique random survival forests. Ann. Appl. Stat. 2019, 13, 1847–1883. [Google Scholar] [CrossRef]
- Lee, D.; Chen, N.; Ishwaran, H.; Wang, X.; Pakbin, A.; Mortazavi, B.; Zhao, H. Theory and software for boosted nonparametric hazard estimation. In Proceedings of the AAAI Spring Symposium on Survival Prediction-Algorithms, Challenges, and Applications, PMLR, Palo Alto, CA, USA, 22–24 March 2021; pp. 149–158. [Google Scholar]
- Kraisangka, J.; Druzdzel, M.J. Making Large Cox’s Proportional Hazard Models Tractable in Bayesian Networks. In Proceedings of the Conference on Probabilistic Graphical Models, Lugano, Switzerland, 6–9 September 2016; pp. 252–263. [Google Scholar]
- Kraisangka, J.; Druzdzel, M.J. A Bayesian network interpretation of the Cox’s proportional hazard model. Int. J. Approx. Reason. 2018, 103, 195–211. [Google Scholar] [CrossRef] [PubMed]
- Faraggi, D.; Simon, R. A neural network model for survival data. Stat. Med. 1995, 14, 73–82. [Google Scholar] [CrossRef]
- Xiang, A.; Lapuerta, P.; Ryutov, A.; Buckley, J.; Azen, S. Comparison of the performance of neural network methods and Cox regression for censored survival data. Comput. Stat. Data Anal. 2000, 4, 243–257. [Google Scholar] [CrossRef]
- Sargent, D.J. Comparison of artificial neural networks with other statistical approaches: Results from medical data sets. Cancer 2001, 91, 1636–1642. [Google Scholar] [CrossRef]
- Katzman, J.; Shaham, U.; Bates, J.; Cloninger, A.; Jiang, T.; Kluger, Y. DeepSurv: Personalized Treatment Recommender System Using a Cox Proportional Hazards Deep Neural Network. BMC Med. Res. Methodol. 2018, 18, 24. [Google Scholar] [CrossRef]
- Kvamme, H.; Borgan, Ø.; Scheel, I. Time-to-event prediction with neural networks and Cox regression. arXiv 2019, arXiv:1907.00825. [Google Scholar]
- Vaswani, A.; Shazeer, N.; Parmar, N.; Uszkoreit, J.; Jones, L.; Gomez, A.N.; Kaiser, L.; Polosukhin, I. Attention Is All You Need. arXiv 2017, arXiv:1706.03762. [Google Scholar]
- Dosovitskiy, A.; Beyer, L.; Kolesnikov, A.; Weissenborn, D.; Zhai, X.; Unterthiner, T.; Dehghani, M.; Minderer, M.; Heigold, G.; Gelly, S.; et al. An Image is Worth 16x16 Words: Transformers for Image Recognition at Scale. arXiv 2021, arXiv:2010.11929. [Google Scholar]
- Huang, X.; Khetan, A.; Cvitkovic, M.; Karnin, Z. TabTransformer: Tabular Data Modeling Using Contextual Embeddings. arXiv 2022, arXiv:2012.06678. [Google Scholar]
- Robins, J.; Breslow, N.; Greenland, S. Estimators of the Mantel-Haenszel variance consistent in both sparse data and large-strata limiting models. Biometrics 1986, 42, 311–323. [Google Scholar] [CrossRef]





| Time of Evaluation | Characteristics | CNUHH (n = 604) | JBUH (n = 220) | |
|---|---|---|---|---|
| Pretreatment evaluation | Age (years) | 36–81 | 15–87 | |
| Sex | Female | 250 | 88 | |
| Male | 354 | 132 | ||
| LDH (IU/L) | 144–8402 | 244–3797 | ||
| LDH (normal vs. elevated) | Elevated | 314 | 132 | |
| Normal | 290 | 88 | ||
| ECOG performance status | 1 | 323 | 190 | |
| 2 | 201 | 16 | ||
| 3 | 66 | 11 | ||
| 4 | 14 | 3 | ||
| Number of extranodal involvement sites | 0 | 166 | 73 | |
| 1 | 291 | 93 | ||
| 2 | 120 | 30 | ||
| 3 | 20 | 11 | ||
| 4 | 3 | 7 | ||
| 5 | 3 | 4 | ||
| 6 | 1 | 2 | ||
| Bone marrow involvement | Yes | 48 | 46 | |
| No | 556 | 174 | ||
| B symptoms | Yes | 99 | 58 | |
| No | 505 | 162 | ||
| Ann Arbor stage | I | 118 | 23 | |
| II | 196 | 73 | ||
| III | 137 | 37 | ||
| IV | 153 | 87 | ||
| IPI score | 0 | 81 | 29 | |
| 1 | 152 | 39 | ||
| 2 | 135 | 58 | ||
| 3 | 131 | 43 | ||
| 4 | 77 | 33 | ||
| 5 | 28 | 18 | ||
| On-treatment evaluation | Deauville score | 1 | 290 | 67 |
| 2 | 108 | 65 | ||
| 3 | 87 | 39 | ||
| 4 | 75 | 36 | ||
| 5 | 44 | 13 | ||
| CNUHH | JBUH | |||
|---|---|---|---|---|
| Before | During | Before | During | |
| CoxPH [11] | 0.7134 | 0.7440 | 0.7858 | 0.7990 |
| DeepSurv [22] | 0.7213 | 0.7428 | 0.7403 | 0.7546 |
| CoxCC [23] | 0.6925 | 0.7055 | 0.7407 | 0.7501 |
| CoxTime [23] | 0.6929 | 0.7358 | 0.7384 | 0.7782 |
| TTSurv | 0.7245 | 0.7457 | 0.7756 | 0.7950 |
| CNUHH | JBUH | |||
|---|---|---|---|---|
| Before | During | Before | During | |
| CoxPH [11] | 1092.8914 | 969.0686 | 822.1458 | 662.0441 |
| DeepSurv [22] | 1117.5200 | 1006.5200 | 911.6237 | 873.2576 |
| CoxCC [23] | 1047.7943 | 1023.1200 | 798.5797 | 783.5695 |
| CoxTime [23] | 1195.6286 | 1011.7200 | 915.0136 | 774.6542 |
| TTSurv | 995.3200 | 958.0857 | 613.5119 | 559.8000 |
| Patient ID | Ground Truth (Days) | Median Life (Days) | |
|---|---|---|---|
| Before Tx | During Tx | ||
| JBUH_DLB004 | 321 | 324 | 332 |
| JBUH_DLB005 | 403 | 600 | 564 |
| JBUH_DLB007 | 1537 | 977 | 1531 |
| JBUH_DLB029 | 2340 | 1571 | 1611 |
| JBUH_DLB106 | 2127 | 673 | 677 |
Disclaimer/Publisher’s Note: The statements, opinions and data contained in all publications are solely those of the individual author(s) and contributor(s) and not of MDPI and/or the editor(s). MDPI and/or the editor(s) disclaim responsibility for any injury to people or property resulting from any ideas, methods, instructions or products referred to in the content. |
© 2023 by the authors. Licensee MDPI, Basel, Switzerland. This article is an open access article distributed under the terms and conditions of the Creative Commons Attribution (CC BY) license (https://creativecommons.org/licenses/by/4.0/).
Share and Cite
Pant, S.; Kang, S.-R.; Lee, M.; Phuc, P.-S.; Yang, H.-J.; Yang, D.-H. Survival Prediction Using Transformer-Based Categorical Feature Representation in the Treatment of Diffuse Large B-Cell Lymphoma. Healthcare 2023, 11, 1171. https://doi.org/10.3390/healthcare11081171
Pant S, Kang S-R, Lee M, Phuc P-S, Yang H-J, Yang D-H. Survival Prediction Using Transformer-Based Categorical Feature Representation in the Treatment of Diffuse Large B-Cell Lymphoma. Healthcare. 2023; 11(8):1171. https://doi.org/10.3390/healthcare11081171
Chicago/Turabian StylePant, Sudarshan, Sae-Ryung Kang, Minhee Lee, Pham-Sy Phuc, Hyung-Jeong Yang, and Deok-Hwan Yang. 2023. "Survival Prediction Using Transformer-Based Categorical Feature Representation in the Treatment of Diffuse Large B-Cell Lymphoma" Healthcare 11, no. 8: 1171. https://doi.org/10.3390/healthcare11081171
APA StylePant, S., Kang, S.-R., Lee, M., Phuc, P.-S., Yang, H.-J., & Yang, D.-H. (2023). Survival Prediction Using Transformer-Based Categorical Feature Representation in the Treatment of Diffuse Large B-Cell Lymphoma. Healthcare, 11(8), 1171. https://doi.org/10.3390/healthcare11081171

