Factors Influencing Quality of Life after Massive Weight Loss—What Makes the Difference?
Abstract
1. Introduction
2. Material and Methods
2.1. Study Design
2.2. Inclusion Criteria
2.3. Measurement Tools and Software Used
2.4. Data Analysis
3. Results
3.1. Patient Demographics
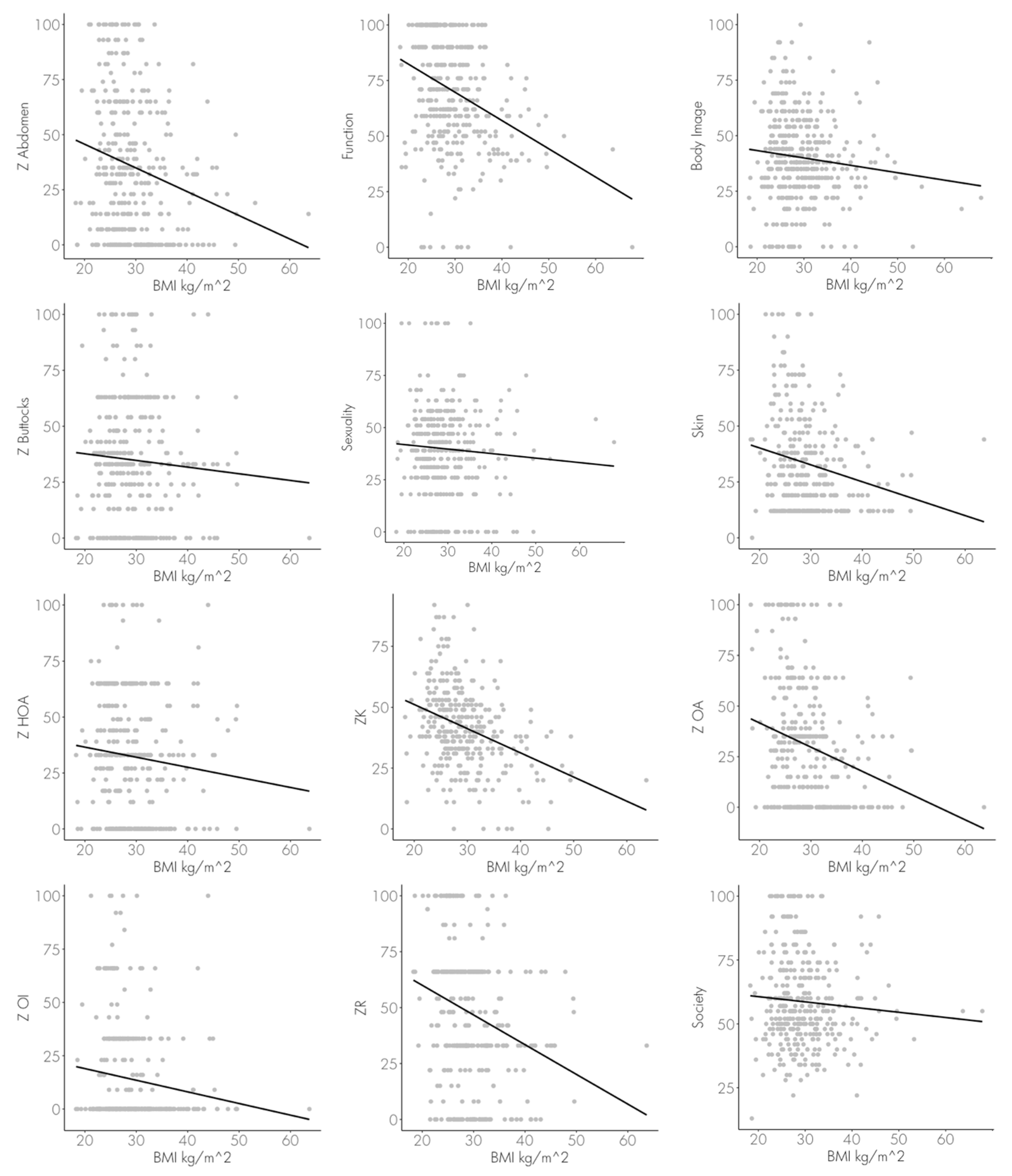
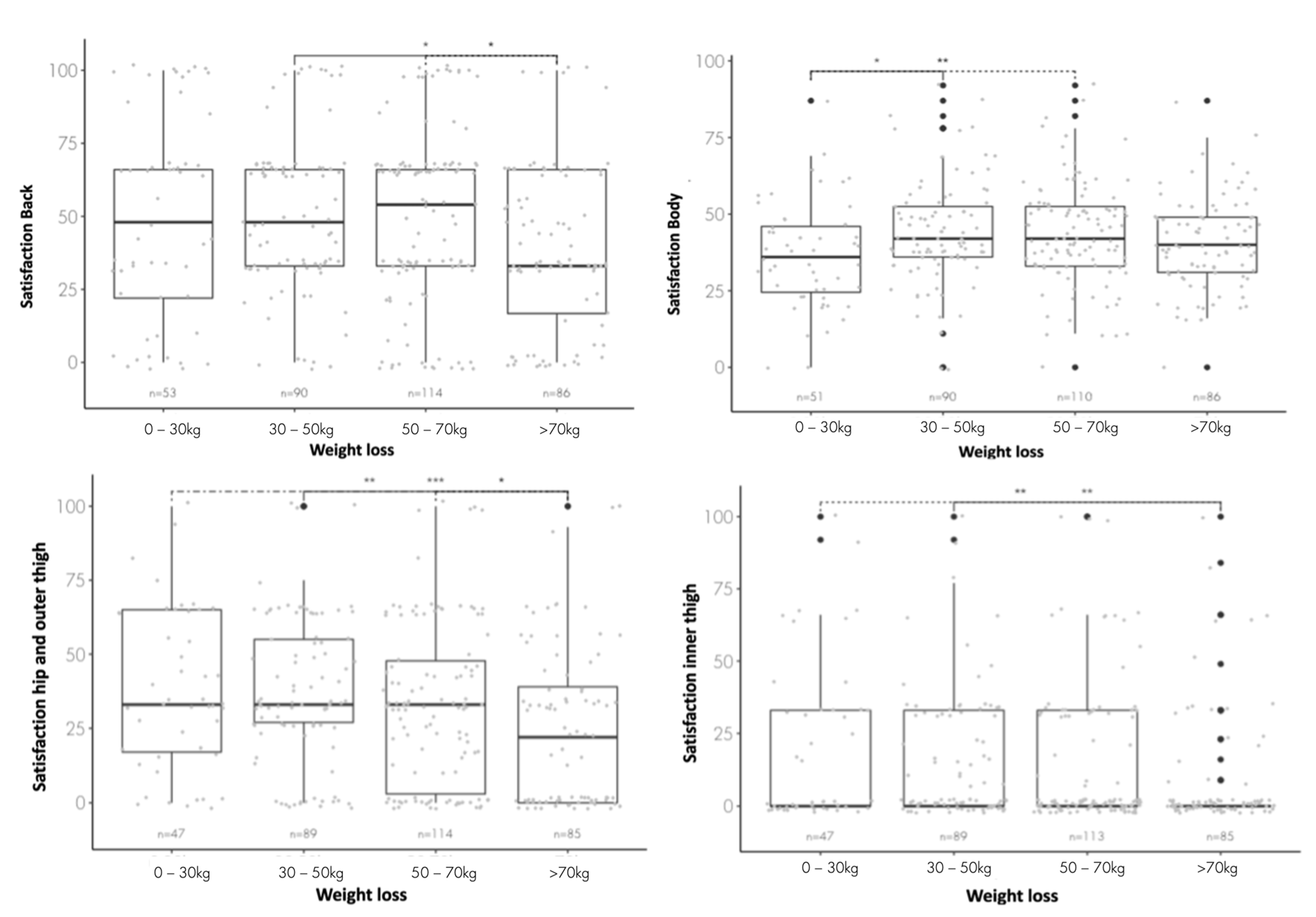
3.2. Results BODY-Q
4. Discussion
5. Conclusions
Limitations
Author Contributions
Funding
Institutional Review Board Statement
Informed Consent Statement
Data Availability Statement
Acknowledgments
Conflicts of Interest
References
- Schienkiewitz, A.; Mensink, G.; Kuhnert, R.; Lange, C. Übergewicht und Adipositas bei Erwachsenen in Deutschlan. J. Health Monit. 2017, 2. [Google Scholar] [CrossRef]
- Biraima-Steinemann, M.; Maurer, S.; Angst, E. Konservative Therapie der Adipositas. Ther. Umsch. 2016, 73, 651–657. [Google Scholar] [CrossRef] [PubMed]
- González-Muniesa, P.; Mártinez-González, M.A.; Hu, F.B.; Després, J.-P.; Matsuzawa, Y.; Loos, R.J.F.; Moreno, L.A.; Bray, G.A.; Martinez, J.A. Obesity. Nat. Rev. Dis. Prim. 2017, 3, 17034. [Google Scholar] [CrossRef] [PubMed]
- Pyschkin, A. Abdominoplastik Nach Massivem Gewichtsverlust. Eine Analyse von Komplikationen und der Entwicklung Postoperativer Lebensqualität. Ph.D. Thesis, Universität Leipzig, Leipzig, Germany, 2020. [Google Scholar]
- Hauner, H.; Buchholz, G.; Hamann, A.; Husemann, B.; Koletzko, B.; Liebermeister, H.; Wabitsch, M.; Westenhöfer, J.; Wirth, A.; Wolfram, G. Prävention und Therapie der Adipositas. Evidenzbasierte Leitlin. Version 2007, 26. [Google Scholar]
- Weir, C.B.; Jan, A. BMI Classification Percentile and Cut Off Points; StatPearls: Treasure Island, FL, USA, 2019. [Google Scholar]
- WHO. Body Mass Index-BMI. Available online: https://www.euro.who.int/en/health-topics/disease-prevention/nutrition/a-healthy-lifestyle/body-mass-index-bmi (accessed on 7 April 2023).
- Hauner, H. Prävention und Therapie der Adipositas. Der Junge Zahnarzt 2018, 9, 35–39. [Google Scholar] [CrossRef]
- BDDNN. Damit Jetzige und Kommende Generationen Gut Leben Können. 2016. Available online: http://www.deutsche-nachhaltigkeitsstrategie.de/ (accessed on 7 April 2023).
- Böcken, J.; Braun, B.; Landmann, J. Gesundheitsmonitor 2009: Gesundheitsversorgung und Gestaltungsoptionen aus der Perspektive der Bevölkerung; Verlag Bertelsmann Stiftung: Gütersloh, Germany, 2010. [Google Scholar]
- Umbach, G. Kosten-Nutzen-Bewertungen. In Erfolgreich als Medical Advisor und Medical Science Liaison Manager; Springer: Berlin/Heidelberg, Germany, 2014. [Google Scholar]
- Schneider, F.; Wien, S.; Weber-Papen, S. Epidemiologie und Ätiologie psychischer Erkrankungen. In Facharztwissen Psychiatrie, Psychosomatik und Psychotherapie; Springer: Berlin/Heidelberg, Germany, 2017. [Google Scholar]
- Meier, A.C. Lebensqualität und Zufriedenheit Nach Ästhetischer Abdominoplastik–eine Prospektive Studie. PhD Thesis, Technische Universität München, Munich, Germany, 2020. [Google Scholar]
- Kolotkin, R.L.; Andersen, J.R. A Systematic Review of Reviews: Exploring the Relationship Between Obesity, Weight Loss and Health-Related Quality of Life. Clin. Obes. 2017, 7, 273–289. [Google Scholar] [CrossRef]
- Bevans, M. Health-Related Quality of Life Following Allogeneic Hematopoietic Stem Cell Transplantation. Hematol. Am. Soc. Hematol. Educ. Program 2010, 1, 248–254. [Google Scholar] [CrossRef]
- Karimi, M.; Brazier, J. Health, Health-Related Quality of Life, and Quality of Life: What is the Difference? Pharmacoeconomics 2016, 34, 645–649. [Google Scholar] [CrossRef]
- de Ligt, K.M.; de Rooji, B.H.; Hedayati, E.; Karsten, M.M.; Smaardijk, V.R.; Velting, M.; Saunders, C.; Travado, L.; Cardoso, F.; Lopez, E.; et al. International Development of a Patient-Centered Core Outcome Set for Assessing Health-Related Quality of Life in Metastatic Breast Cancer Patients. Breast Cancer Res. Treat. 2023, 198, 1–17. [Google Scholar] [CrossRef]
- Bullinger, M. Zur Messbarkeit von Lebensqualität. In Lebensqualität in der Medizin; Springer: Berlin/Heidelberg, Germany, 2016. [Google Scholar]
- Sarwer, D.B.; Lavery, M.; Spitzer, J.C. A Review of the Relationships Between Extreme Obesity, Quality of Life, and Sexual Function. Obes. Surg. 2012, 22, 668–676. [Google Scholar] [CrossRef]
- Sarwer, D.B.; Fabricatore, A.N. Psychiatric Considerations of the Massive Weight Loss Patient. Clin. Plast. Surg. 2008, 35, 110. [Google Scholar] [CrossRef] [PubMed]
- Strasser, B.; Pichler, B. Diet and Physical Activity in the Treatment of Obesity. Wien Med. Wochenschr. 2004, 154, 313–319. [Google Scholar] [CrossRef] [PubMed]
- Klassen, A.F.; Kaur, M.; Breitkopf, T.; Thoma, A.; Cano, S.; Pusic, A. Using the BODY-Q to Understand Impact of Weight Loss, Excess Skin, and the Need for Body Contouring following Bariatric Surgery. Plast. Reconstr. Surg. 2018, 142, 77–86. [Google Scholar] [CrossRef] [PubMed]
- Klassen, A.F.; Cano, S.J.; Alderman, A.; Soldin, M.; Thoma, A.; Robson, S.; Kaur, M.; Papas, A.; Van Laeken, N.; Pusic, A.L. The BODY-Q: A Patient-Reported Outcome Instrument for Weight Loss and Body Contouring Treatments. Plast. Reconstr. Surg. Glob. Open 2016, 4, e679. [Google Scholar] [CrossRef] [PubMed]
- Tönsmeyer, T.; Wieters, H. Welt–Hunger–Hilfe. Zur Zeitgeschichte eines Menschheitsproblems. Zeithistorische Forsch. –Stud. Contemp. Hist. 2022, 18, 231–251. [Google Scholar]
- OECD. Obesity Update 2017; Organisation for Economic Co-operation and Developmen: Paris, France, 2017. [Google Scholar]
- Adams, K.F.; Schatzkin, A.; Harris, T.B.; Kipnis, V.; Mouw, T.; Ballard-Barbash, R.; Hollenbeck, A.; Leitzmann, M.F. Overweight, Obesity, and Mortality in a Large Prospective Cohort of Persons 50 to 71 Years Old. N. Engl. J. Med. 2006, 355, 763–778. [Google Scholar] [CrossRef]
- Kurth, T.; Gaziano, J.M.; Berger, K.; Kase, C.S.; Rexrode, K.M.; Cook, N.R.; Buring, J.E.; Manson, J.E. Body Mass Index and the Risk of Stroke in Men. Arch. Intern. Med. 2002, 162, 2557–2562. [Google Scholar] [CrossRef]
- Zammit, C.; Liddicoat, H.; Moonsie, I.; Makker, H. Obesity and Respiratory Diseases. Int. J. Gen. Med. 2010, 3, 335–343. [Google Scholar]
- Mensink, G.B.M.; Schienkiewitz, A.; Haftenberger, M.; Lampert, T.; Ziese, T.; Scheidt-Nave, C. Übergewicht und Adipositas in Deutschland. Bundesgesundheitsblatt-Gesundh. -Gesundh. 2013, 56, 786–794. [Google Scholar] [CrossRef]
- Kolotkin, R.L.; Crosby, R.D.; Williams, G.R.; Hartley, G.G.; Nicol, S. The Relationship Between Health-Related Quality of Life and Weight Loss. Obes. Res. 2001, 9, 564–571. [Google Scholar] [CrossRef]
- Quality Of Life Consulting. IWQOL-Lite. Available online: https://www.qualityoflifeconsulting.com/iwqol-lite.html (accessed on 7 April 2023).
- Petersen, I.; Burgmer, R.; Herpertz, S. Adipositas und Lebensqualität–ein Kontrollierter Vergleich Normal-und Übergewichtiger Stichproben. PPmP-Psychother. Psychosom.·Med. Psychol. 2007, 57, A071. [Google Scholar] [CrossRef]
- Sammet, I.; Dammann, G.; Wiesli, P.; Müller, M. Adipositas: Interdisziplinäre Behandlung und psychosomatische Perspektive; Kohlhammer Verlag: Stuttgart, Germany, 2016. [Google Scholar]
- Bischoff, G.; Imaguire, C.; Heidenreich, T.; Tschochner, R.; Hagen, H.; Wechsler, J.G. Einfluss einer Gewichtsreduktion auf die Gesundheitsbezogene Lebensqualität (SF 36). Aktuelle Ernährungsmedizin 2004, 29, 5. [Google Scholar] [CrossRef]
- Baranova, A.; Collantes, R.; Gowder, S.J.; Elariny, H.; Sclauch, K.; Younoszai, A.; King, S.; Randhawa, M.; Pusulury, S.; Alsheddi, T.; et al. Obesity-Related Differential Gene Expression in the Visceral Adipose Tissue. Obes. Surg. 2005, 15, 758–765. [Google Scholar] [CrossRef] [PubMed]
- Richter, D.F.; Stoff, A.; Velasco-Laguardia, F.J.; Reichenberger, M.A. Circumferential Lower Truncal Dermatolipectomy. Clin. Plast. Surg. 2008, 35, 53–71. [Google Scholar] [CrossRef] [PubMed]
- Hönig, J.F. Anatomie und Physiologie der Abdominalwand. In Abdominoplastik: Prinzip und Technik; Steinkopff: Berlin, Germany, 2008; pp. 13–26. [Google Scholar]
- Klöting, N.; Stumvoll, M.; Blüher, M. Biologie des Viszeralen Fetts. Der Internist 2007, 48, 126–133. [Google Scholar] [CrossRef]
- Bragg, T.W.; Jose, R.M.; Srivastava, S. Patient Satisfaction Following Abdominoplasty: An NHS Experience. J. Plast. Reconstr. Aesthet. Surg. 2007, 60, 75–78. [Google Scholar] [CrossRef]



| BMI | Weight Classes |
|---|---|
| <18.5 kg/m2 | Under weight |
| 18.5–24.9 kg/m2 | Normal weight |
| 25.0–29.9 kg/m2 | Pre-obesity (overweight) |
| 30.0–34.9 kg/m2 | Obesity grade I |
| 35.0–39.9 kg/m2 | Obesity grade II |
| ≥40 kg/m2 | Obesity grade III |
| Psychosocial | Body Image | Function | Sexuality | Society | Skin | ||
|---|---|---|---|---|---|---|---|
| conservative | 51.58 (±1.84) | 37.86 (±2.10) | 73.37 (±2.42) | 42.04 (±1.97) | 58.17 (±1.90) | 33.71 (±3.00) | |
| surgical | 43.29 (±1.15) | 40.85 (±1.03) | 69.33 (±1.41) | 39.09 (±1.27) | 58.88 (±1.06) | 32.92 (±1.35) | |
| Z Abdomen | ZOA | ZR | ZK | Z Buttock | ZHOA | ZOI | |
| conservative | 33.56 (±3.47) | 34.36 (±3.12) | 51.18 (±3.08) | 39.90 (±1.91) | 34.72 (±3.01) | 35.53 (±3.14) | 17.31 (±3.01) |
| surgical | 36.14 (±1.88) | 29.19 (±1.83) | 46.39 (±1.89) | 42.42 (±1.02) | 34.95 (±1.66) | 31.43 (±1.65) | 12.85 (±1.41) |
| Body Image | Function | Sexuality | Society | Skin | |||
|---|---|---|---|---|---|---|---|
| p-value | 0.023 * | <0.001 * | 0.203 | 0.166 | <0.001 * | ||
| r | −0.113 | −0.335 | −0.066 | −0.073 | −0.203 | ||
| R2 | 0.010 | 0.110 | 0.002 | 0.003 | 0.038 | ||
| Z Abdomen | ZOA | ZR | ZK | Z Buttock | ZHOA | ZOI | |
| p-value | 0.074 | 0.005 * | 0.001 * | <0.001 * | 0.221 | 0.066 | 0.011 * |
| r | −0.209 | −0.242 | −0.264 | −0.357 | −0.066 | −0.101 | −0.139 |
| R2 | 0.041 | 0.056 | 0.067 | 0.125 | 0.001 | 0.007 | 0.016 |
| ZR | ZK | ZHOA | ZOI | |
|---|---|---|---|---|
| p-value | 0.040 * | 0.019 * | 0.003 * | 0.013 * |
| Chi-square | 8312 | 99,565 | 13,975 | 10,742 |
Disclaimer/Publisher’s Note: The statements, opinions and data contained in all publications are solely those of the individual author(s) and contributor(s) and not of MDPI and/or the editor(s). MDPI and/or the editor(s) disclaim responsibility for any injury to people or property resulting from any ideas, methods, instructions or products referred to in the content. |
© 2023 by the authors. Licensee MDPI, Basel, Switzerland. This article is an open access article distributed under the terms and conditions of the Creative Commons Attribution (CC BY) license (https://creativecommons.org/licenses/by/4.0/).
Share and Cite
Aitzetmüller-Klietz, M.M.; Raschke, L.; Hirsch, T.; Kückelhaus, M.; Wiebringhaus, P.; Aitzetmüller-Klietz, M.-L.; Harati, K. Factors Influencing Quality of Life after Massive Weight Loss—What Makes the Difference? Healthcare 2023, 11, 1147. https://doi.org/10.3390/healthcare11081147
Aitzetmüller-Klietz MM, Raschke L, Hirsch T, Kückelhaus M, Wiebringhaus P, Aitzetmüller-Klietz M-L, Harati K. Factors Influencing Quality of Life after Massive Weight Loss—What Makes the Difference? Healthcare. 2023; 11(8):1147. https://doi.org/10.3390/healthcare11081147
Chicago/Turabian StyleAitzetmüller-Klietz, Matthias Michael, Laura Raschke, Tobias Hirsch, Maximilian Kückelhaus, Philipp Wiebringhaus, Marie-Luise Aitzetmüller-Klietz, and Kamran Harati. 2023. "Factors Influencing Quality of Life after Massive Weight Loss—What Makes the Difference?" Healthcare 11, no. 8: 1147. https://doi.org/10.3390/healthcare11081147
APA StyleAitzetmüller-Klietz, M. M., Raschke, L., Hirsch, T., Kückelhaus, M., Wiebringhaus, P., Aitzetmüller-Klietz, M.-L., & Harati, K. (2023). Factors Influencing Quality of Life after Massive Weight Loss—What Makes the Difference? Healthcare, 11(8), 1147. https://doi.org/10.3390/healthcare11081147

