Does the Expression of Vascular Endothelial Growth Factor (VEGF) and Bcl-2 Have a Prognostic Significance in Advanced Non-Small Cell Lung Cancer?
Abstract
1. Introduction
2. Materials and Methods
2.1. Study Population
2.2. Method
2.2.1. H&E Method
2.2.2. Immunohistochemical Method
2.3. Immunohistochemical Detection of VEGF and Bcl-2 in NSCLC
2.4. Statistical Analysis
3. Results
3.1. Clinical Pathological Characteristics
3.2. Association between the IHC Expression of Bcl-2 and Clinicopathological Features
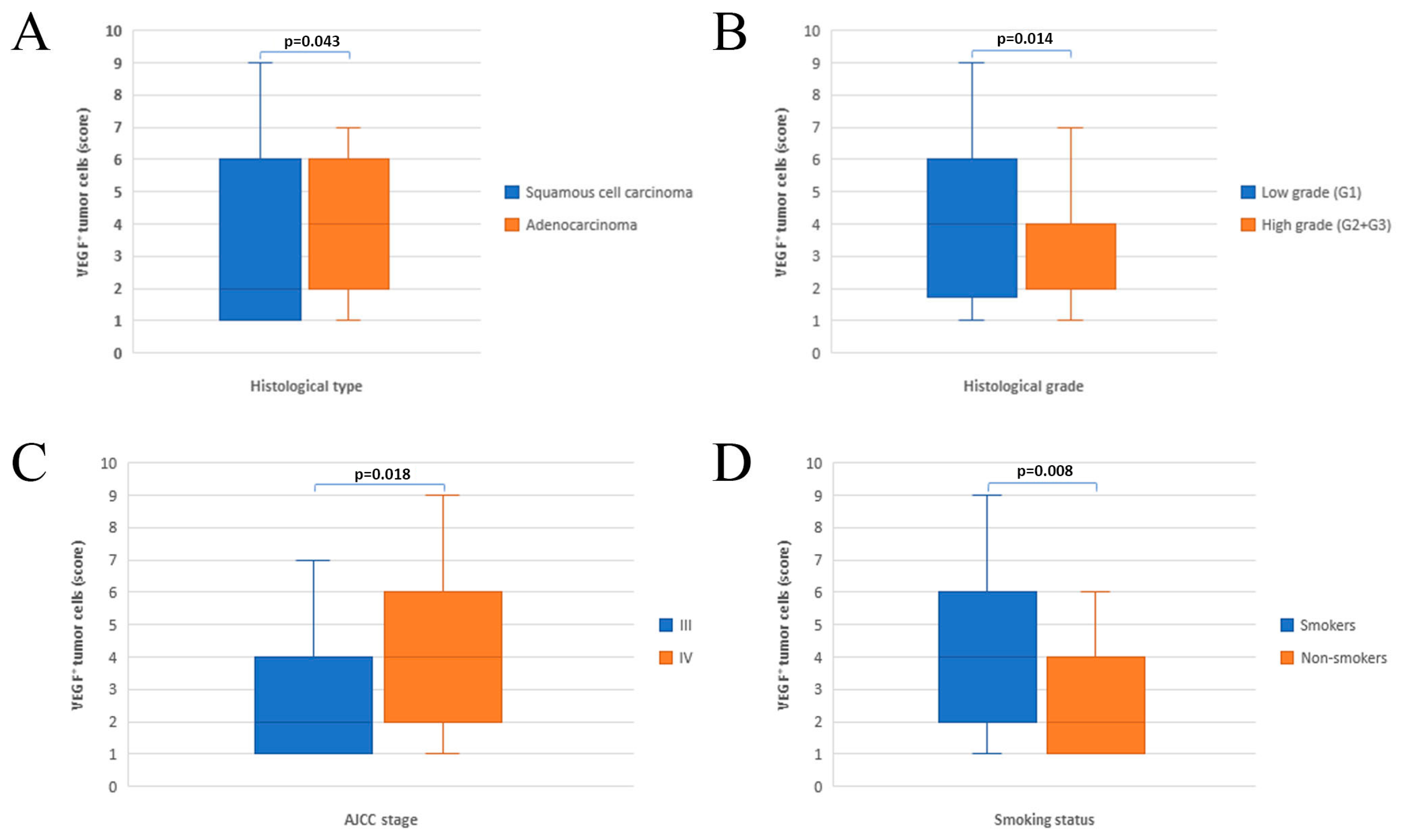
3.3. Association between the IHC Expression of VEGF and Clinicopathologial Features
3.4. Relationship between the Expression of VEGFa and Bcl-2
3.5. Association of the Proliferation Index with the Expression of VEGFa and Bcl-2
3.6. Association of EGFR Status with Expression of VEGFa and Bcl-2
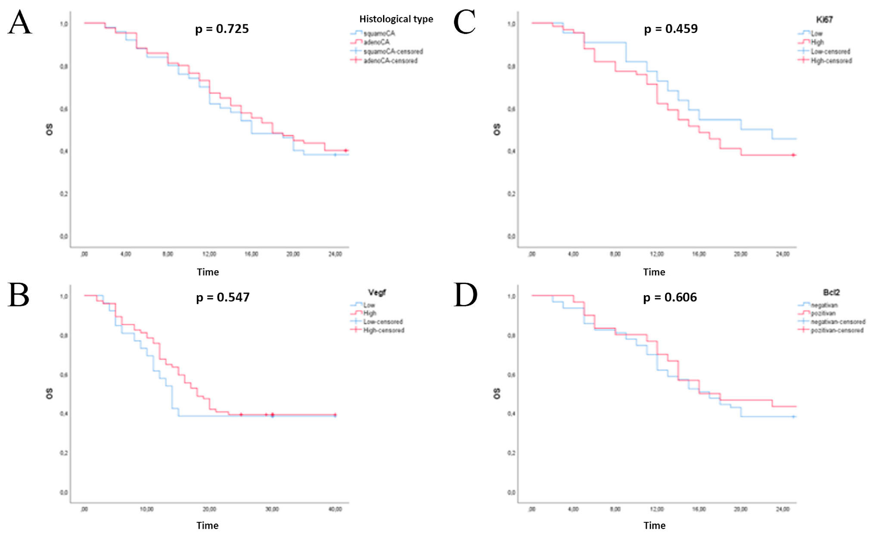
3.7. Survival
4. Discussion
5. Conclusions
Author Contributions
Funding
Institutional Review Board Statement
Informed Consent Statement
Data Availability Statement
Acknowledgments
Conflicts of Interest
References
- Howlader, N.N.A.; Krapcho, M.; Miller, D.; Brest, A.; Yu, M.; Ruhl, J.; Tatalovich, Z.; Mariotto, A.; Lewis, D.R.; Chen, H.S.; et al. (Eds.) SEER Cancer Statistics Review, 1975–2017; National Cancer Institute: Bethesda, MD, USA, 2020. Available online: https://seer.cancer.gov/csr/1975_2017/ (accessed on 1 April 2020).
- Gurguş, D.; Grigoraş, M.L.; Motoc, A.G.M.; Zamfir, C.L.; Cornianu, M.; Faur, C.I.; Pop, D.L.; Folescu, R. Clinical relevance and accuracy of p63 and TTF-1 for better approach of small cell lung carcinoma versus poorly differentiated nonkeratinizing squamous cell carcinoma. Rom. J. Morphol Embryol. 2019, 60, 139–143. [Google Scholar] [PubMed]
- Moldvay, J.; Jackel, M.; Bogos, K.; Soltész, I.; Agócs, L.; Kovács, G.; Schaff, Z. The role of TTF-1 in differentiating primary and metastatic lung adenocarcinomas. Pathol. Oncol. Res. 2004, 10, 85–88. [Google Scholar] [CrossRef] [PubMed]
- Ma, Y.; Fan, M.; Dai, L.; Kang, X.; Liu, Y.; Sun, Y.; Xiong, H.; Liang, Z.; Yan, W.; Chen, K. Expression of p63 and CK5/6 in early-stage lung squamous cell carcinoma is not only an early diagnostic indicator but also correlates with a good prognosis. Thorac. Cancer 2015, 6, 288–295. [Google Scholar] [CrossRef] [PubMed]
- Kim, J.H.; Kim, H.S.; Kim, B.J.; Han, B.; Choi, D.R.; Kwon, J.H. Prognostic Impact of TTF-1 Expression in Non-Squamous Non-Small-Cell Lung Cancer: A Meta-Analysis. J. Cancer 2018, 9, 4279–4286. [Google Scholar] [CrossRef] [PubMed]
- Svaton, M.; Fiala, O.; Krakorova, G.; Blazek, J.; Hurdalkova, K.; Barinova, M.; Mukensnabl, P.; Pesek, M. Thyroid transcription factor 1 and p63 expression is associated with survival outcome in patients with non-small cell lung cancer treated with erlotinib. Oncol. Lett. 2020, 20, 1376–1382. [Google Scholar]
- Zhu, L.; Yu, H.; Liu, S.Y.; Xiao, X.S.; Dong, W.H.; Chen, Y.N.; Xu, W.; Zhu, T. Prognostic value of tissue inhibitor of metalloproteinase-2 expression in patients with non-small cell lung cancer: A systematic review and meta-analysis. PLoS ONE 2015, 10, e0124230. [Google Scholar] [CrossRef] [PubMed]
- Huang, L.N.; Wang, D.S.; Chen, Y.Q.; Zhao, C.L.; Gong, B.L.; Jiang, A.B.; Jia, W.; Hu, F.D. Expression of survivin and patients survival in non-small cell lung cancer: A meta-analysis of the published studies. Mol. Biol. Rep. 2013, 40, 917–924. [Google Scholar] [CrossRef]
- Farhat, F.S.; Tfayli, A.; Fakhruddin, N.; Mahfouz, R.; Otrock, Z.K.; Alameddine, R.S.; Awada, A.H.; Shamseddine, A. Expression, prognostic and predictive impact of VEGF and bFGF in non-small cell lung cancer. Crit. Rev. Oncol. Hematol. 2012, 84, 149–160. [Google Scholar] [CrossRef]
- Hanahan, D.; Weinberg, R.A. Hallmarks of cancer: The next generation. Cell 2011, 144, 646–674. [Google Scholar] [CrossRef]
- Guo, X.; Chen, Y.; Xu, Z.; Xu, Z.; Qian, Y.; Yu, X. Prognostic significance of VEGF-C expression in correlation with COX-2, lymphatic microvessel density, and clinicopathologic characteristics in human non-small cell lung cancer. Acta Biochim. Biophys. Sin. 2009, 41, 217–222. [Google Scholar] [CrossRef]
- Bonnesen, B.; Pappot, H.; Holmstav, J.; Skov, B.G. Vascular endothelial growth factor A and vascular endothelial growth factor receptor 2 expression in non-small cell lung cancer patients: Relation to prognosis. Lung Cancer 2009, 66, 314–318. [Google Scholar] [CrossRef] [PubMed]
- Gustafsson, A.B.; Gottlieb, R.A. Bcl-2 family members and apoptosis, taken to heart. Am. J. Physiol. Cell Physiol. 2007, 292, C45–C51. [Google Scholar] [CrossRef] [PubMed]
- White, E. Mechanisms of apoptosis regulation by viral oncogenes in infection and tumorigenesis. Cell Death Differ. 2006, 13, 1371–1377. [Google Scholar] [CrossRef]
- Reed, J.C.; Miyashita, T.; Takayama, S.; Wang, H.G.; Sato, T.; Krajewski, S.; Aimé-Sempé, C.; Bodrug, S.; Kitada, S.; Hanada, M. BCL-2 family proteins: Regulators of cell death involved in the pathogenesis of cancer and resistance to therapy. J. Cell. Biochem. 1996, 60, 23–32. [Google Scholar] [CrossRef]
- Hartman, M.L.; Czyz, M. Anti-apoptotic proteins on guard of melanoma cell survival. Cancer Lett. 2013, 331, 24–34. [Google Scholar] [CrossRef] [PubMed]
- Vairo, G.; Innes, K.M.; Adams, J.M. Bcl-2 has a cell cycle inhibitory function separable from its enhancement of cell survival. Oncogene 1996, 13, 1511–1519. [Google Scholar] [PubMed]
- Pietenpol, J.A.; Papadopoulos, N.; Markowitz, S.; Willson, J.K.; Kinzler, K.W.; Vogelstein, B. Paradoxical inhibition of solid tumor cell growth by bcl-2. Cancer Res. 1994, 54, 3714–3717. [Google Scholar]
- Oliver, L.; Cordel, S.; Barbieux, I.; LeCabellec, M.T.; Meflah, K.; Grégoire, M.; Vallette, F.M. Resistance to apoptosis is increased during metastatic dissemination of colon cancer. Clin. Exp. Metastasis 2002, 19, 175–180. [Google Scholar] [CrossRef]
- Melucci, E.; Cosimelli, M.; Carpanese, L.; Pizzi, G.; Izzo, F.; Fiore, F.; Golfieri, R.; Giampalma, E.; Sperduti, I.; Ercolani, C.; et al. Decrease of survivin, p53 and Bcl-2 expression in chemorefractory colorectal liver metastases may be predictive of radiosensivity radiosensivity after radioembolization with yttrium-90 resin microspheres. J. Exp. Clin. Cancer Res. 2013, 32, 13. [Google Scholar] [CrossRef]
- Neri, A.; Marrelli, D.; Roviello, F.; DeMarco, G.; Mariani, F.; DeStefano, A.; Megha, T.; Caruso, S.; Corso, G.; Cioppa, T.; et al. Bcl-2 expression correlates with lymphovascular invasion and long-term prognosis in breast cancer. Breast Cancer Res. Treat. 2006, 99, 77–83. [Google Scholar] [CrossRef]
- Tawfik, K.; Kimler, B.F.; Davis, M.K.; Fan, F.; Tawfik, O. Prognostic significance of Bcl-2 in invasive mammary carcinomas: A comparative clinicopathologic study between “triple-negative” and non-”triple-negative” tumors. Hum. Pathol. 2012, 43, 23–30. [Google Scholar] [CrossRef] [PubMed]
- WHO. Classification of Tumours Editorial Board. In Thoracic Tumours, 5th ed.; Lyon, F., Ed.; International Agency for Research on Cancer: Lyon, France, 2021; Available online: https://tumourclassification.iarc.who.int/ (accessed on 1 May 2021).
- Mahul, B.; Amin, S.B.E.; Frederick, L.; Greene, D.R.; Byrd, R.K.; Brookland, M.K.W.; Jeffrey, E.G.; Carolyn, C.; Kenneth, R.H.; Daniel, C.; et al. AJCC Cancer Staging Manual, 8th ed.; Springer: Berlin/Heidelberg, Germany, 2017; pp. 819–831. [Google Scholar]
- Klein, M.; Vignaud, J.M.; Hennequin, V.; Toussaint, B.; Bresler, L.; Plénat, F.; Leclère, J.; Duprez, A.; Weryha, G. Increased expression of the vascular endothelial growth factor is a pejorative prognosis marker in papillary thyroid carcinoma. J. Clin. Endocrinol. Metab. 2001, 86, 656–658. [Google Scholar] [CrossRef] [PubMed]
- Yano, T.; Tanikawa, S.; Fujie, T.; Masutani, M.; Horie, T. Vascular endothelial growth factor expression and neovascularisation in non-small cell lung cancer. Eur. J. Cancer 2000, 36, 601–609. [Google Scholar] [CrossRef] [PubMed]
- Shibata, Y.; Hidaka, S.; Tagawa, Y.; Nagayasu, T. Bcl-2 protein expression correlates with better prognosis in patients with advanced non-small cell lung cancer. Anticancer Res. 2004, 24, 1925–1928. [Google Scholar] [PubMed]
- Beierle, E.A.; Strande, L.F.; Chen, M.K. VEGF upregulates Bcl-2 expression and is associated with decreased apoptosis in neuroblastoma cells. J. Pediatr. Surg. 2002, 37, 467–471. [Google Scholar] [CrossRef]
- Fernandez, A.; Udagawa, T.; Schwesinger, C.; Beecken, W.; Achilles-Gerte, E.; McDonnell, T.; D’Amato, R. Angiogenic potential of prostate carcinoma cells overexpressing bcl-2. J. Natl. Cancer Inst. 2001, 93, 208–213. [Google Scholar] [CrossRef]
- Biroccio, A.; Candiloro, A.; Mottolese, M.; Sapora, O.; Albini, A.; Zupi, G.; Del Bufalo, D. Bcl-2 overexpression and hypoxia synergistically act to modulate vascular endothelial growth factor. FASEB J. 2000, 14, 652–660. [Google Scholar] [CrossRef]
- Bairey, O.; Zimra, Y.; Shaklai, M.; Rabizadeh, E. Bcl-2 expression correlates positively with serum basic fibroblast growth factor (bFGF) and negatively with cellular vascular endothelial growth factor (VEGF) in patients with chronic lymphocytic leukaemia. Br. J. Haematol. 2001, 113, 400–406. [Google Scholar] [CrossRef]
- Jinyoung, Y.J.H.J.; Hyun, J.C.; Seok, J.K.; Chang, S.K. Expression of bcl-2, p53 and VEGF in Non-Small Cell Lung Carcinomas: Their Relation with the Microvascular Density and Prognosis. Korean J. Pathol. 2005, 39, 74–80. [Google Scholar]
- Ahmed, M.B.; Nabih, E.S.; Louka, M.L.; Abdel Motaleb, F.I.; El Sayed, M.A.; Elwakiel, H.M. Evaluation of nestin in lung adenocarcinoma: Relation to VEGF and Bcl-2. Biomarkers 2014, 19, 29–33. [Google Scholar] [CrossRef]
- Tian, J.; Hu, L.; Li, X.; Geng, J.; Dai, M.; Bai, X. MicroRNA-130b promotes lung cancer progression via PPARγ/VEGF-A/BCL-2-mediated suppression of apoptosis. J. Exp. Clin. Cancer Res. 2016, 35, 105. [Google Scholar] [CrossRef] [PubMed]
- Stefanou, D.; Goussia, A.C.; Arkoumani, E.; Agnantis, N.J. Expression of vascular endothelial growth factor and the adhesion molecule E-cadherin in non-small cell lung cancer. Anticancer Res. 2003, 23, 4715–4720. [Google Scholar] [PubMed]
- Lin, Q.; Guo, L.; Lin, G.; Chen, Z.; Chen, T.; Lin, J.; Zhang, B.; Gu, X. Clinical and prognostic significance of OPN and VEGF expression in patients with non-small-cell lung cancer. Cancer Epidemiol. 2015, 39, 539–544. [Google Scholar] [CrossRef] [PubMed]
- Ding, M.; Liu, L.; Hu, C.; Liu, Y.; Qiao, Y.; Jiang, X. Expression of VEGFR2 and NRP-1 in non-small cell lung cancer and their clinical significance. Chin. J. Cancer Res. 2014, 26, 669–677. [Google Scholar]
- Wei, D.; Xin, Y.; Rong, Y.; Hao, Y. Correlation between the Expression of VEGF and Ki67 and Lymph Node Metastasis in Non-small-Cell Lung Cancer: A Systematic Review and Meta-Analysis. Evid. Based Complement. Alternat. Med. 2022, 2022, 9693746. [Google Scholar] [CrossRef]
- Usuda, K.; Iwai, S.; Funasaki, A.; Sekimura, A.; Motono, N.; Ueda, Y.; Shimazaki, M.; Uramoto, H. Expression and Prognostic Impact of VEGF, CD31 and αSMA in Resected Primary Lung Cancers. Anticancer Res. 2018, 38, 4057–4063. [Google Scholar] [CrossRef]
- Dai, M.; Hua, C.; Wang, M.; Gao, L.; Jiang, L.; Liu, Y. Targeting regulation of VEGF by BPTF in Non-Small Cell Lung Cancer and its potential clinical significance. Eur. J. Med. Res. 2022, 27, 299. [Google Scholar] [CrossRef]
- Liu, J.; Liu, C.; Qiu, L.; Li, J.; Zhang, P.; Sun, Y. Overexpression of both platelet-derived growth factor-BB and vascular endothelial growth factor-C and its association with lymphangiogenesis in primary human non-small cell lung cancer. Diagn Pathol 2014, 9, 128. [Google Scholar] [CrossRef]
- Yang, Z.; Wang, Y.G.; Su, K. VEGF-C and VEGF-D expression and its correlation with lymph node metastasis in esophageal squamous cell cancer tissue. Asian Pac. J. Cancer Prev. 2015, 16, 271–274. [Google Scholar] [CrossRef]
- Kostis, G.; Ioannis, L.; Helen, K.; Helen, P. The expression of vascular endothelial growth factor-C correlates with lymphatic microvessel density and lymph node metastasis in prostate carcinoma: An immunohistochemical study. Urol. Ann. 2014, 6, 224–230. [Google Scholar] [CrossRef]
- Kruszyna, Ł.; Murawa, D.; Jagodziński, P.P.; Oszkinis, G.; Krasiński, Z. The Expression and Prognostic Significance of VEGF and CXCR4 in Gastric Cancer: Correlation with Angiogenesis, Lymphangiogenesis and Progression. Curr. Issues Mol. Biol. 2022, 44, 3075–3088. [Google Scholar] [CrossRef] [PubMed]
- Cucina, A.; Sapienza, P.; Borrelli, V.; Corvino, V.; Foresi, G.; Randone, B.; Cavallaro, A.; Santoro-D’Angelo, L. Nicotine reorganizes cytoskeleton of vascular endothelial cell through platelet-derived growth factor BB. J. Surg. Res. 2000, 92, 233–238. [Google Scholar] [CrossRef] [PubMed]
- Cucina, A.; Corvino, V.; Sapienza, P.; Borrelli, V.; Lucarelli, M.; Scarpa, S.; Strom, R.; Santoro-D’Angelo, L.; Cavallaro, A. Nicotine regulates basic fibroblastic growth factor and transforming growth factor beta1 production in endothelial cells. Biochem. Biophys. Res. Commun. 1999, 257, 306–312. [Google Scholar] [CrossRef] [PubMed]
- Heeschen, C.; Jang, J.J.; Weis, M.; Pathak, A.; Kaji, S.; Hu, R.S.; Tsao, P.S.; Johnson, F.L.; Cooke, J.P. Nicotine stimulates angiogenesis and promotes tumor growth and atherosclerosis. Nat. Med. 2001, 7, 833–839. [Google Scholar] [CrossRef]
- Conklin, B.S.; Zhao, W.; Zhong, D.S.; Chen, C. Nicotine and cotinine up-regulate vascular endothelial growth factor expression in endothelial cells. Am. J. Pathol. 2002, 160, 413–418. [Google Scholar] [CrossRef]
- Wasada, T.; Kawahara, R.; Katsumori, K.; Naruse, M.; Omori, Y. Plasma concentration of immunoreactive vascular endothelial growth factor and its relation to smoking. Metabolism 1998, 47, 27–30. [Google Scholar] [CrossRef]
- Takigawa, N.; Segawa, Y.; Fujimoto, N.; Hotta, K.; Eguchi, K. Elevated vascular endothelial growth factor levels in sera of patients with lung cancer. Anticancer Res. 1998, 18, 1251–1254. [Google Scholar]
- Ugur, M.G.; Kutlu, R.; Kilinc, I. The effects of smoking on vascular endothelial growth factor and inflammation markers: A case-control study. Clin. Respir. J. 2018, 12, 1912–1918. [Google Scholar] [CrossRef]
- Zhao, H.; Wu, L.; Wang, Y.; Zhou, J.; Li, R.; Zhou, J.; Wang, Z.; Xu, C. Nicotine promotes vascular endothelial growth factor secretion by human trophoblast cells under hypoxic conditions and improves the proliferation and tube formation capacity of human umbilical endothelial cells. Reprod. Biomed. Online 2017, 34, 406–413. [Google Scholar] [CrossRef]
- Naumov, G.N.; Nilsson, M.B.; Cascone, T.; Briggs, A.; Straume, O.; Akslen, L.A.; Lifshits, E.; Byers, L.A.; Xu, L.; Wu, H.K.; et al. Combined vascular endothelial growth factor receptor and epidermal growth factor receptor (EGFR) blockade inhibits tumor growth in xenograft models of EGFR inhibitor resistance. Clin. Cancer Res. 2009, 15, 3484–3494. [Google Scholar] [CrossRef]
- Xu, L.; Nilsson, M.B.; Saintigny, P.; Cascone, T.; Herynk, M.H.; Du, Z.; Nikolinakos, P.G.; Yang, Y.; Prudkin, L.; Liu, D.; et al. Epidermal growth factor receptor regulates MET levels and invasiveness through hypoxia-inducible factor-1alpha in non-small cell lung cancer cells. Oncogene 2010, 29, 2616–2627. [Google Scholar] [CrossRef] [PubMed]
- Kim, M.S.; Park, S.H. Immunohistochemical Expression and Prognostic Value of VEGF, HIF-1alpha, EGFR in Non-Small Cell Lung Cancer. Tuberc. Respir. Dis. 2010, 68, 22–28. [Google Scholar] [CrossRef]
- Le, X.; Nilsson, M.; Goldman, J.; Reck, M.; Nakagawa, K.; Kato, T.; Ares, L.P.; Frimodt-Moller, B.; Wolff, K.; Visseren-Grul, C.; et al. Dual EGFR-VEGF Pathway Inhibition: A Promising Strategy for Patients With EGFR-Mutant NSCLC. J. Thorac. Oncol. 2021, 16, 205–215. [Google Scholar] [CrossRef] [PubMed]
- Johnson, B.E.; Kabbinavar, F.; Fehrenbacher, L.; Hainsworth, J.; Kasubhai, S.; Kressel, B.; Lin, C.Y.; Marsland, T.; Patel, T.; Polikoff, J.; et al. ATLAS: Randomized, double-blind, placebo-controlled, phase IIIB trial comparing bevacizumab therapy with or without erlotinib, after completion of chemotherapy, with bevacizumab for first-line treatment of advanced non-small-cell lung cancer. J. Clin. Oncol. 2013, 31, 3926–3934. [Google Scholar] [CrossRef] [PubMed]
- Stinchcombe, T.E.; Jänne, P.A.; Wang, X.; Bertino, E.M.; Weiss, J.; Bazhenova, L.; Gu, L.; Lau, C.; Paweletz, C.; Jaslowski, A.; et al. Effect of Erlotinib Plus Bevacizumab vs Erlotinib Alone on Progression-Free Survival in Patients with Advanced EGFR-Mutant Non-Small Cell Lung Cancer: A Phase 2 Randomized Clinical Trial. JAMA Oncol. 2019, 5, 1448–1455. [Google Scholar] [CrossRef]
- Petrişor, O.; Giuşcă, S.E.; Sajin, M.; Dobrescu, G.; Căruntu, I.D. Ki-67, p53 and bcl-2 analysis in colonic versus rectal adenocarcinoma. Rom. J. Morphol. Embryol. 2008, 49, 163–171. [Google Scholar]
- Kirkin, V.; Joos, S.; Zörnig, M. The role of Bcl-2 family members in tumorigenesis. Biochim. Biophys. Acta 2004, 1644, 229–249. [Google Scholar] [CrossRef]
- Krug, L.M.; Miller, V.A.; Filippa, D.A.; Venkatraman, E.; Ng, K.K.; Kris, M.G. Bcl-2 and bax expression in advanced non-small cell lung cancer: Lack of correlation with chemotherapy response or survival in patients treated with docetaxel plus vinorelbine. Lung Cancer 2003, 39, 139–143. [Google Scholar] [CrossRef]
- Zhang, J.; Wang, S.; Wang, L.; Wang, R.; Chen, S.; Pan, B.; Sun, Y.; Chen, H. Prognostic value of Bcl-2 expression in patients with non-small-cell lung cancer: A meta-analysis and systemic review. OncoTargets Ther. 2015, 8, 3361–3369. [Google Scholar] [CrossRef]
- Lee, H.W.; Choi, Y.W.; Han, J.H.; Kim, J.H.; Jung, J.H.; Jeong, S.H.; Kang, S.Y.; Choi, J.H.; Oh, Y.T.; Park, K.J.; et al. Expression of excision repair cross-complementation group 1 protein predicts poor outcome in advanced non-small cell lung cancer patients treated with platinum-based doublet chemotherapy. Lung Cancer 2009, 65, 377–382. [Google Scholar] [CrossRef]
- Haitel, A.; Posch, B.; El-Baz, M.; Mokhtar, A.A.; Susani, M.; Ghoneim, M.A.; Marberger, M. Bilharzial related, organ confined, muscle invasive bladder cancer: Prognostic value of apoptosis markers, proliferation markers, p53, E-cadherin, epidermal growth factor receptor and c-erbB-2. J. Urol. 2001, 165, 1481–1487. [Google Scholar] [CrossRef] [PubMed]
- Kurabayashi, A.; Furihata, M.; Matsumoto, M.; Ohtsuki, Y.; Sasaguri, S.; Ogoshi, S. Expression of Bax and apoptosis-related proteins in human esophageal squamous cell carcinoma including dysplasia. Mod. Pathol. 2001, 14, 741–747. [Google Scholar] [CrossRef] [PubMed]
- Takayama, T.; Nagao, M.; Sawada, H.; Yamada, Y.; Emoto, K.; Fujimoto, H.; Ueno, M.; Hirao, S.; Nakajima, Y. Bcl-X expression in esophageal squamous cell carcinoma: Association with tumor progression and prognosis. J. Surg. Oncol. 2001, 78, 116–123. [Google Scholar] [CrossRef] [PubMed]
- Eerola, A.-K.; Ruokolainen, H.; Soini, Y.; Raunio, H.; Pääkkö, P. Accelerated apoptosis and low Bcl-2 expression associated with neuroendocrine differentiation predict shortened survival in operated large cell carcinoma of the lung. Pathol. Oncol. Res. 1999, 5, 179–186. [Google Scholar] [CrossRef]
- Gurova, K.V.; Gudkov, A.V. Paradoxical role of apoptosis in tumor progression. J. Cell. Biochem. 2003, 88, 128–137. [Google Scholar] [CrossRef]
- Haldar, S.; Negrini, M.; Monne, M.; Sabbioni, S.; Croce, C.M. Down-regulation of bcl-2 by p53 in breast cancer cells. Cancer Res. 1994, 54, 2095–2097. [Google Scholar]
- Koukourakis, M.I.; Giatromanolaki, A.; O’Byrne, K.J.; Whitehouse, R.M.; Talbot, D.C.; Gatter, K.C.; Harris, A.L. Potential role of bcl-2 as a suppressor of tumour angiogenesis in non-small-cell lung cancer. Int. J. Cancer 1997, 74, 565–570. [Google Scholar] [CrossRef]
- Fontanini, G.; Boldrini, L.; Vignati, S.; Chinè, S.; Basolo, F.; Silvestri, V.; Lucchi, M.; Mussi, A.; Angeletti, C.A.; Bevilacqua, G. Bcl-2 and p53 regulate vascular endothelial growth factor (VEGF)-mediated angiogenesis in non-small cell lung carcinoma. Eur. J. Cancer 1998, 34, 718–723. [Google Scholar] [CrossRef]





| Patient and Tumor Characteristics | Number of Cases | % |
|---|---|---|
| Sex | ||
| Male | 151 | 69.9 |
| Female | 65 | 30.1 |
| Histology | ||
| Squamous | 81 | 37.5 |
| Adenocarcinoma | 135 | 62.5 |
| Histology grade | ||
| Low grade | 34 | 16.6 |
| High grade | 172 | 83.4 |
| Smoking | ||
| Current smoker | 176 | 85.4 |
| Never smoked | 30 | 14.6 |
| Tumor size | ||
| T2 | 22 | 10.2 |
| T3 | 43 | 20.0 |
| T4 | 150 | 69.8 |
| Node status | ||
| N0 | 5 | 2.3 |
| N1 | 24 | 11.1 |
| N2 | 142 | 65.7 |
| N3 | 45 | 20.8 |
| Stage | ||
| III | 71 | 32.8 |
| IV | 145 | 67.2 |
| EGFR | |||
|---|---|---|---|
| Frequency | Percent | ||
| Valid | wild | 88 | 86.3 |
| mutations | 14 | 13.7 | |
| total | 102 | 100.0 |
| Variables | Bcl-2 | VEGF | |||||
|---|---|---|---|---|---|---|---|
| n | q | p-Value | n | q | p-Value | ||
| EGFR | Wild | 1 | (0.40) | 0.802 | 3 | (2.4) | 0.026 |
| mutations | 10 | (0.10) | 4 | (4.6) | |||
Disclaimer/Publisher’s Note: The statements, opinions and data contained in all publications are solely those of the individual author(s) and contributor(s) and not of MDPI and/or the editor(s). MDPI and/or the editor(s) disclaim responsibility for any injury to people or property resulting from any ideas, methods, instructions or products referred to in the content. |
© 2023 by the authors. Licensee MDPI, Basel, Switzerland. This article is an open access article distributed under the terms and conditions of the Creative Commons Attribution (CC BY) license (https://creativecommons.org/licenses/by/4.0/).
Share and Cite
Markovic, M.; Mitrovic, S.; Dagovic, A.; Jovanovic, D.; Nikolic, T.; Ivosevic, A.; Milosavljevic, M.Z.; Vojinovic, R.; Petrovic, M. Does the Expression of Vascular Endothelial Growth Factor (VEGF) and Bcl-2 Have a Prognostic Significance in Advanced Non-Small Cell Lung Cancer? Healthcare 2023, 11, 292. https://doi.org/10.3390/healthcare11030292
Markovic M, Mitrovic S, Dagovic A, Jovanovic D, Nikolic T, Ivosevic A, Milosavljevic MZ, Vojinovic R, Petrovic M. Does the Expression of Vascular Endothelial Growth Factor (VEGF) and Bcl-2 Have a Prognostic Significance in Advanced Non-Small Cell Lung Cancer? Healthcare. 2023; 11(3):292. https://doi.org/10.3390/healthcare11030292
Chicago/Turabian StyleMarkovic, Marina, Slobodanka Mitrovic, Aleksandar Dagovic, Dalibor Jovanovic, Tomislav Nikolic, Anita Ivosevic, Milos Z. Milosavljevic, Radisa Vojinovic, and Marina Petrovic. 2023. "Does the Expression of Vascular Endothelial Growth Factor (VEGF) and Bcl-2 Have a Prognostic Significance in Advanced Non-Small Cell Lung Cancer?" Healthcare 11, no. 3: 292. https://doi.org/10.3390/healthcare11030292
APA StyleMarkovic, M., Mitrovic, S., Dagovic, A., Jovanovic, D., Nikolic, T., Ivosevic, A., Milosavljevic, M. Z., Vojinovic, R., & Petrovic, M. (2023). Does the Expression of Vascular Endothelial Growth Factor (VEGF) and Bcl-2 Have a Prognostic Significance in Advanced Non-Small Cell Lung Cancer? Healthcare, 11(3), 292. https://doi.org/10.3390/healthcare11030292

