Profile of Hospital Admissions Due to Preterm Labor and Delivery in England
Abstract
1. Introduction
2. Materials and Methods
2.1. Study Source and Population Demography
2.2. Statistical Analysis
3. Results
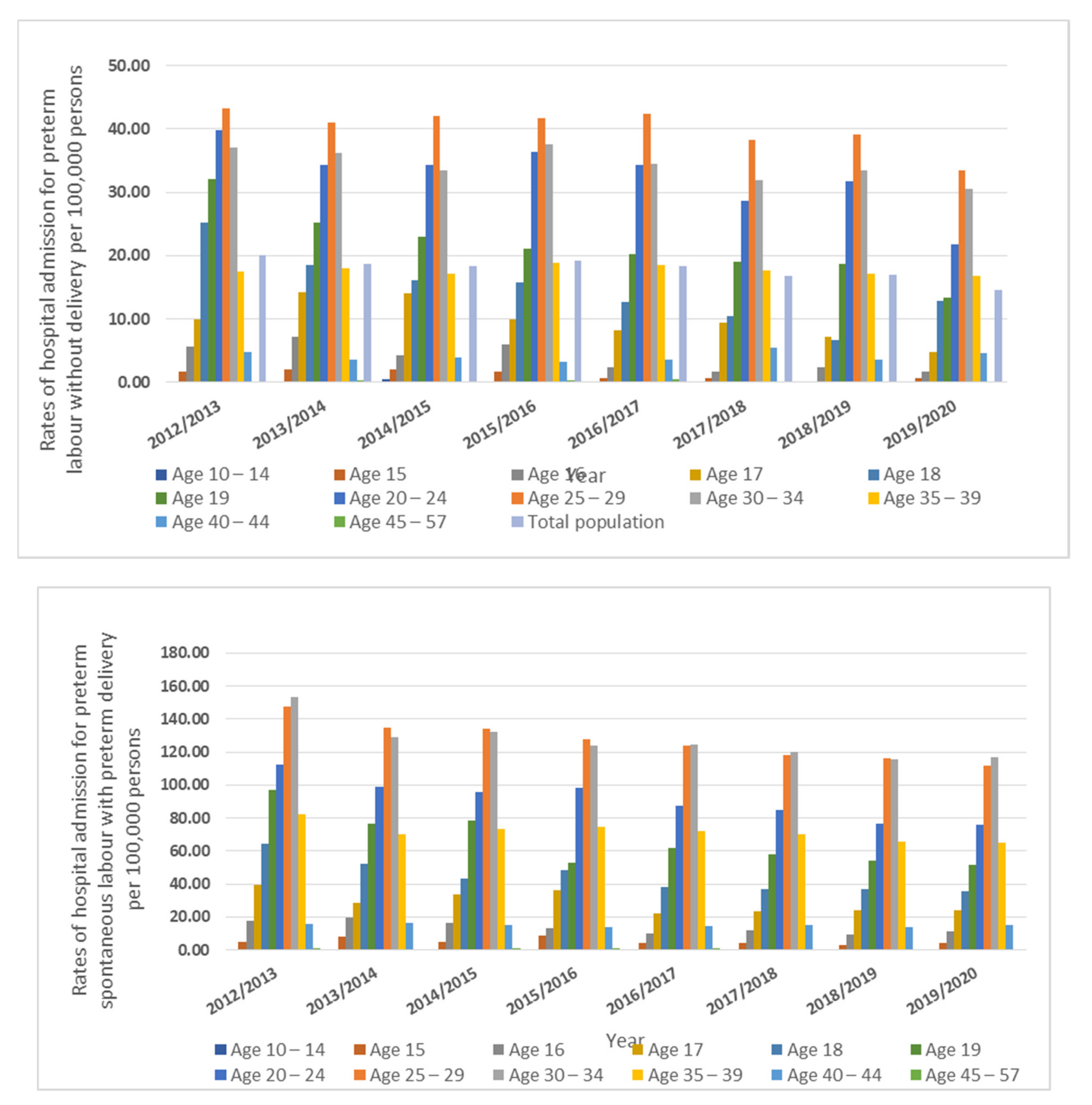
3.1. Preterm Labor and Delivery Admission Rate by Age Group
3.2. Other Preterm Labor and Delivery-Related Admission Rates
4. Discussion
5. Conclusions
Author Contributions
Funding
Institutional Review Board Statement
Informed Consent Statement
Data Availability Statement
Conflicts of Interest
References
- Bitar, G.; Sciscione, A. Preterm Labor. In Ferri’s Clinical Advisor 2022; Elsevier: Amsterdam, The Netherlands, 2022. [Google Scholar]
- Chestnut, D.H.; Wong, C.A.; Tsen, L.C.; Kee, W.D.N.; Beilin, Y.; Mhyre, J.; Bateman, B.T.; Msc, M.D.; Nathan, N. Chestnut. Anestesia Obstétrica. Principios y Práctica; Elsevier: Amsterdam, The Netherlands, 2020. [Google Scholar]
- Mayo Clinic. Preterm Labor—Symptoms and Causes. Available online: https://www.mayoclinic.org/diseases-conditions/preterm-labor/symptoms-causes/syc-20376842 (accessed on 23 March 2022).
- Suman, V.; Luther, E.E. Preterm labor. In StatPearls [Internet]; StatPearls Publishing: Orlando, FL, USA, 2021. [Google Scholar]
- Balest, A.L. Preterm Infants. Available online: https://www.msdmanuals.com/professional/pediatrics/perinatal-problems/preterm-infants (accessed on 14 December 2022).
- Goldenberg, R.L.; Culhane, J.F.; Iams, J.D.; Romero, R. Epidemiology and causes of preterm birth. Lancet 2008, 371, 75–84. [Google Scholar] [CrossRef] [PubMed]
- Eichenwald, E.C.; Stark, A.R. Management and outcomes of very low birth weight. N. Engl. J. Med. 2008, 358, 1700–1711. [Google Scholar] [CrossRef] [PubMed]
- Sameshima, H. Preterm Labor and Delivery; Springer: Amsterdam, The Netherlands, 2020. [Google Scholar]
- National Health Services. Hospital Admitted Patient Care Activity. Available online: https://digital.nhs.uk/data-and-information/publications/statistical/hospital-admitted-patient-care-activity (accessed on 7 December 2022).
- World Health Organization. Preterm Birth. Available online: https://www.who.int/news-room/fact-sheets/detail/preterm-birth (accessed on 23 March 2022).
- Perin, J.; Mulick, A.; Yeung, D.; Villavicencio, F.; Lopez, G.; Strong, K.L.; Prieto-Merino, D.; Cousens, S.; Black, R.E.; Liu, L. Global, regional, and national causes of under-5 mortality in 2000–19: An updated systematic analysis with implications for the Sustainable Development Goals. Lancet Child Adolesc. Health 2022, 6, 106–115. [Google Scholar] [CrossRef] [PubMed]
- UK National Screening Committee. Preterm Birth. Available online: https://view-health-screening-recommendations.service.gov.uk/preterm-birth/ (accessed on 7 December 2022).
- Sen, C. Preterm labor and preterm birth. J. Perinat. Med. 2017, 45, 911–913. [Google Scholar] [CrossRef] [PubMed][Green Version]
- Petrou, S. The economic consequences of preterm birth duringthe first 10 years of life. BJOG Int. J. Obstet. Gynaecol. 2005, 112, 10–15. [Google Scholar] [CrossRef] [PubMed]
- Rose, C.H.; McWeeney, D.T.; Brost, B.C.; Davies, N.P.; Watson, W.J. Cost-effective standardization of preterm labor evaluation. Am. J. Obstet. Gynecol. 2010, 203, 250.e1–250.e5. [Google Scholar] [CrossRef] [PubMed]
- Henderson, J.; Carson, C.; Redshaw, M. Impact of preterm birth on maternal well-being and women’s perceptions of their baby: A population-based survey. BMJ Open 2016, 6, e012676. [Google Scholar] [CrossRef] [PubMed]
- World Health Organization. Born Too Soon: The Global Action Report on Preterm Birth; WHO: Geneva, Switzerland, 2012. [Google Scholar]
- Harrison, M.S.; Goldenberg, R.L. Global burden of prematurity. Semin. Fetal Neonatal Med. 2016, 21, 74–79. [Google Scholar] [CrossRef] [PubMed]
- Al-shehri, H.; Dahmash, D.T.; Rochow, N.; Alturki, B.; Alrajhi, D.; Alayed, F.; Alhazani, F.; Alsuhibany, H.; Naser, A.Y. Hospital Admission Profile of Neonates for Conditions Originating in the Perinatal Period in England and Wales Between 1999–2020: An Ecological Study. Int. J. Gen. Med. 2022, 15, 1973–1984. [Google Scholar] [CrossRef]
- Mustafa Ali, M.K.; Naser, A.Y.; AbuAlhommos, A.; Al-Daghastani, T.; Alrawashdeh, H.; Mustafa Ali, S.; Alwafi, H.; Alqurashi, M.M.; Basha Ahmed, A.H.; Albarqi, H. Hospital Admissions Secondary to Diseases of the Blood, Blood-Forming Organs, and Immune System in England and Wales. Cureus 2022, 14, e30179. [Google Scholar] [CrossRef] [PubMed]
- Mustafa Ali, S.; Naser, A.Y.; Alghanemi, A.G.; AbuAlhommos, A.K.; Sabha, M.; Mustafa Ali, M.K.; Hemmo, S.I.; Alrajeh, A.M.; Alqahtani, J.S.; Aldhahir, A.M.; et al. Musculoskeletal System and Connective Tissue Related Hospital Admission in England and Wales Between 1999 and 2019: An Ecologic Study. Cureus 2022, 14, e32453. [Google Scholar] [CrossRef]
- National Health Services. SCCI0021: International Statistical Classification of Diseases and Health Related Problems (ICD-10) 5th Edition. Available online: https://digital.nhs.uk/data-and-information/information-standards/information-standards-and-data-collections-including-extractions/publications-and-notifications/standards-and-collections/scci0021-international-statistical-classification-of-diseases-and-health-related-problems-icd-10-5th-edition (accessed on 7 December 2022).
- Office for National Statistics. Birth Characteristics in England and Wales. Available online: https://www.ons.gov.uk/peoplepopulationandcommunity/birthsdeathsandmarriages/livebirths/bulletins/birthcharacteristicsinenglandandwales/2020 (accessed on 7 December 2022).
- Alanazi, A.F.R.; Naser, A.Y.; Pakan, P.; Alanazi, A.F.; Alanazi, A.A.A.; Alsairafi, Z.K.; Alsaleh, F.M. Trends of Hospital Admissions Due to Congenital Anomalies in England and Wales between 1999 and 2019: An Ecological Study. Int. J. Environ. Res. Public Health 2021, 18, 11808. [Google Scholar] [CrossRef]
- Alrawashdeh, H.M.; Naser, A.Y.; Alwafi, H.; AbuAlhommos, A.K.; Jalal, Z.; Paudyal, V.; Abdulmannan, D.M.; Hassanin, F.F.; Hemmo, S.I.; Al Sarireh, F. Trends in Hospital Admission Due to Diseases of the Eye and Adnexa in the Past Two Decades in England and Wales: An Ecological Study. Int. J. Gen. Med. 2022, 15, 1097–1110. [Google Scholar] [CrossRef] [PubMed]
- Naser, A.Y.; Mansour, M.M.; Alanazi, A.F.R.; Sabha, O.; Alwafi, H.; Jalal, Z.; Paudyal, V.; Dairi, M.S.; Salawati, E.M.; Alqahtan, J.S.; et al. Hospital admission trends due to respiratory diseases in England and Wales between 1999 and 2019: An ecologic study. BMC Pulm. Med. 2021, 21, 356. [Google Scholar] [CrossRef] [PubMed]
- World Health Organization. Newborn Mortality. Available online: https://www.who.int/news-room/fact-sheets/detail/levels-and-trends-in-child-mortality-report-2021 (accessed on 7 December 2022).
- Waldenström, U.; Cnattingius, S.; Vixner, L.; Norman, M. Advanced maternal age increases the risk of very preterm birth, irrespective of parity: A population-based register study. BJOG Int. J. Obstet. Gynaecol. 2017, 124, 1235–1244. [Google Scholar] [CrossRef] [PubMed]
- Sheu, J.; Al-Haddad, S.; Tran, V.; Calixte, R. Trends in Hospitalization for Preterm Labor Without Delivery in the United States, 2007–2014 [A210]. Obstet. Gynecol. 2022, 139, 61S. [Google Scholar] [CrossRef]







| ICD Code. | Indication | Percentage |
|---|---|---|
| O60.0 | “Preterm labor without delivery” | 20.6% |
| O60.1 | “Preterm spontaneous labor with preterm delivery” | 68.9% |
| O60.2 | “Preterm spontaneous labor with term delivery” | 0.9% |
| O60.3 | “Preterm delivery without spontaneous labor” | 9.6% |
Disclaimer/Publisher’s Note: The statements, opinions and data contained in all publications are solely those of the individual author(s) and contributor(s) and not of MDPI and/or the editor(s). MDPI and/or the editor(s) disclaim responsibility for any injury to people or property resulting from any ideas, methods, instructions or products referred to in the content. |
© 2023 by the authors. Licensee MDPI, Basel, Switzerland. This article is an open access article distributed under the terms and conditions of the Creative Commons Attribution (CC BY) license (https://creativecommons.org/licenses/by/4.0/).
Share and Cite
Naser, A.Y.; Al-Shehri, H.; Altamimi, N.; Alrasheed, A.; Albalawi, L. Profile of Hospital Admissions Due to Preterm Labor and Delivery in England. Healthcare 2023, 11, 163. https://doi.org/10.3390/healthcare11020163
Naser AY, Al-Shehri H, Altamimi N, Alrasheed A, Albalawi L. Profile of Hospital Admissions Due to Preterm Labor and Delivery in England. Healthcare. 2023; 11(2):163. https://doi.org/10.3390/healthcare11020163
Chicago/Turabian StyleNaser, Abdallah Y., Hassan Al-Shehri, Noora Altamimi, Anas Alrasheed, and Lama Albalawi. 2023. "Profile of Hospital Admissions Due to Preterm Labor and Delivery in England" Healthcare 11, no. 2: 163. https://doi.org/10.3390/healthcare11020163
APA StyleNaser, A. Y., Al-Shehri, H., Altamimi, N., Alrasheed, A., & Albalawi, L. (2023). Profile of Hospital Admissions Due to Preterm Labor and Delivery in England. Healthcare, 11(2), 163. https://doi.org/10.3390/healthcare11020163

