Improving Knowledge of Audit and Feedback among Health Care Professionals in Sicily
Abstract
1. Introduction
2. Materials and Methods
2.1. Study Design and Setting
2.2. Inclusion/Excusion Criteria
2.3. Study Population
2.4. Training Interventions
2.5. Assessment
2.6. Data Collection
2.7. Statistical Analysis
3. Results
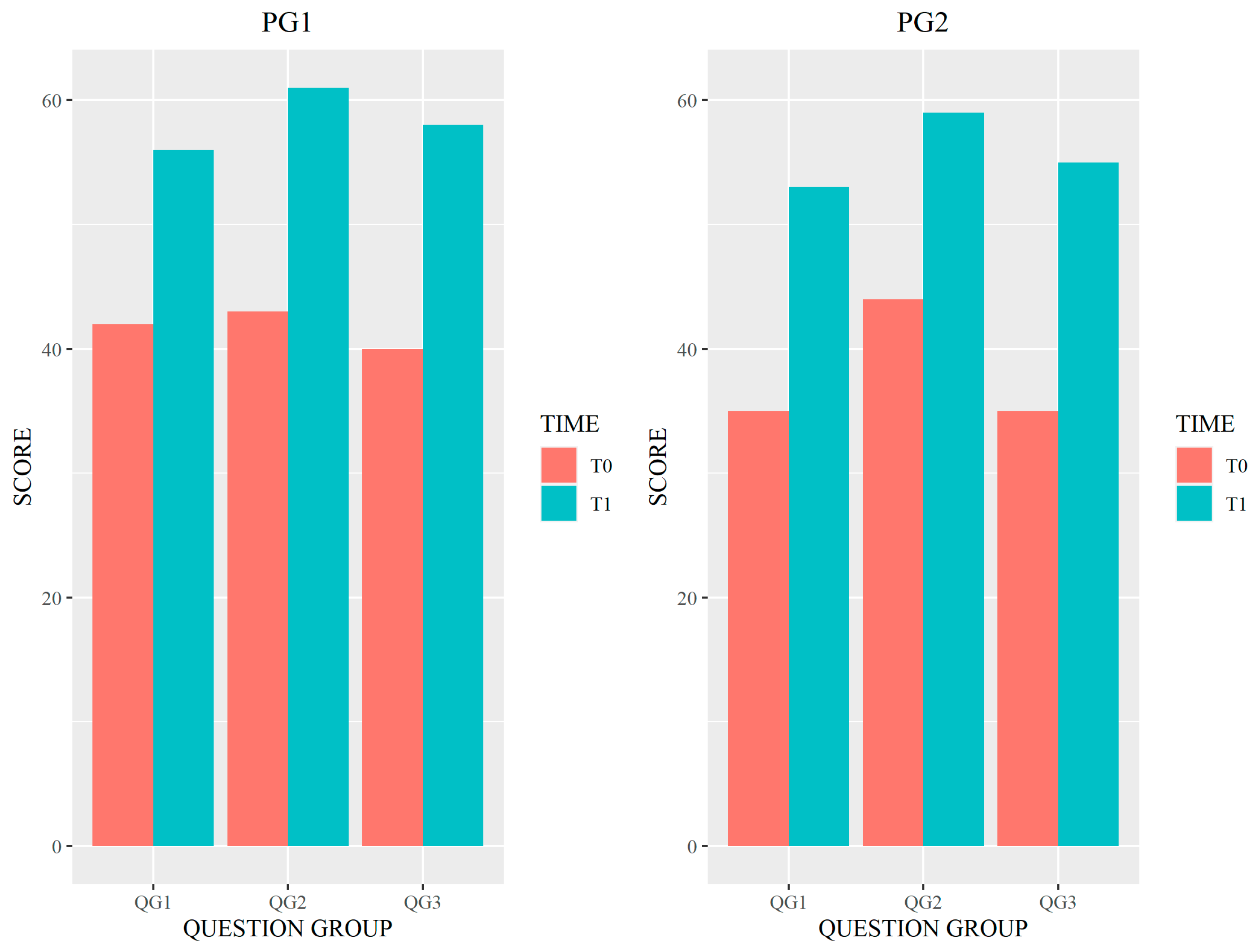
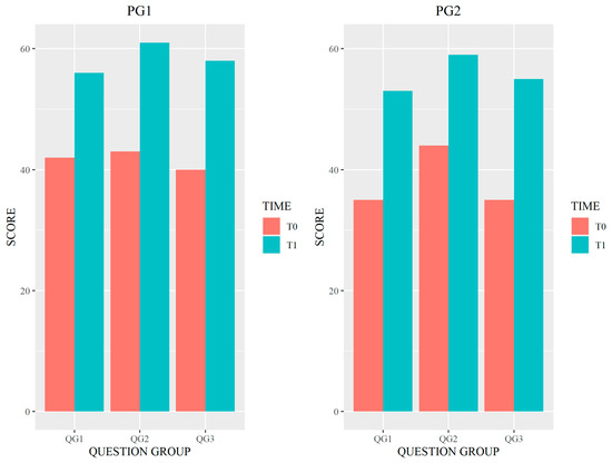
3.1. Intra-Group Analysis
3.2. Sub-Groups Analysis
3.3. Satisfaction Survey
4. Discussion
5. Future Research
6. Conclusions
Supplementary Materials
Author Contributions
Funding
Institutional Review Board Statement
Informed Consent Statement
Data Availability Statement
Conflicts of Interest
Abbreviations
References
- Schaaf, E.B.V.; Seashore, C.J.; Randolph, G.D. Translating Clinical Guidelines Into Practice: Challenges and Opportunities in a Dynamic Health Care Environment. North Carol. Med. J. 2015, 76, 230–234. [Google Scholar] [CrossRef] [PubMed]
- Worsley, C.; Webb, S.; Vaux, E. Training healthcare professionals in quality improvement. Future Hosp. J. 2016, 3, 207–210. [Google Scholar] [CrossRef]
- Giguère, A.; Légaré, F.; Grimshaw, J.; Turcotte, S.; Fiander, M.; Grudniewicz, A.; Makosso-Kallyth, S.; Wolf, F.M.; Farmer, A.P.; Gagnon, M.-P. Printed educational materials: Effects on professional practice and healthcare outcomes. Cochrane Database Syst. Rev. 2012, 2012, CD004398. [Google Scholar] [CrossRef] [PubMed]
- Vratsistas-Curto, A.; McCluskey, A.; Schurr, K. Use of audit, feedback and education increased guideline implementation in a multidisciplinary stroke unit. BMJ Open Qual. 2017, 6, e000212. [Google Scholar] [CrossRef]
- Forsetlund, L.; Bjørndal, A.; Rashidian, A.; Jamtvedt, G.; O’Brien, M.A.; Wolf, F.M.; Davis, D.; Odgaard-Jensen, J.; Oxman, A.D. Continuing education meetings and workshops: Effects on professional practice and health care outcomes. Cochrane Database Syst. Rev. 2009, 2009, CD003030. [Google Scholar] [CrossRef]
- Ivers, N.; Jamtvedt, G.; Flottorp, S.; Young, J.M.; Odgaard-Jensen, J.; French, S.D.; O’Brien, M.A.; Johansen, M.; Grimshaw, J.; Oxman, A.D. Audit and feedback: Effects on professional practice and healthcare outcomes. Cochrane Database Syst. Rev. 2012, 6, CD000259. [Google Scholar] [CrossRef]
- Brehaut, J.C.; Eva, K.W. Building theories of knowledge translation interventions: Use the entire menu of constructs. Implement. Sci. 2012, 7, 114. [Google Scholar] [CrossRef] [PubMed]
- Moore, L.; Guertin, J.R.; Tardif, P.-A.; Ivers, N.M.; Hoch, J.; Conombo, B.; Antony, J.; Stelfox, H.T.; Berthelot, S.; Archambault, P.; et al. Economic evaluations of audit and feedback interventions: A systematic review. BMJ Qual. Saf. 2022, 31, 754–767. [Google Scholar] [CrossRef] [PubMed]
- Jamtvedt, G.; Flottorp, S.; Ivers, N. Audit and Feedback as a Quality Strategy. In Improving Healthcare Quality in Europe: Characteristics, Effectiveness and Implementation of Different Strategies; Busse, R., Klazinga, N., Panteli, D., Quentin, W., Eds.; European Observatory on Health Systems and Policies: Copenhagen, Denmark, 2019; Volume 53. Available online: https://www.ncbi.nlm.nih.gov/books/NBK549284/ (accessed on 8 June 2023).
- EASY-NET Project. Available online: https://easy-net.info/ (accessed on 8 June 2023).
- Ciurleo, R.; De Cola, M.C.; Agabiti, N.; Di Martino, M.; Bramanti, P.; Corallo, F. Audit and feedback in cardio– and cerebrovascular setting: Toward a path of high reliability in Italian healthcare. Front. Public Health 2022, 10, 907201. [Google Scholar] [CrossRef] [PubMed]
- Evans, J.R.; Mathur, A. The value of online surveys: A look back and a look ahead. Internet Res. 2018, 28, 854–887. [Google Scholar] [CrossRef]
- Desveaux, L.; Ivers, N.M.; Devotta, K.; Ramji, N.; Weyman, K.; Kiran, T. Unpacking the intention to action gap: A qualitative study understanding how physicians engage with audit and feedback. Implement. Sci. 2021, 16, 1–9. [Google Scholar] [CrossRef] [PubMed]
- Ventura, M.; Belleudi, V.; Sciattella, P.; Di Domenicantonio, R.; Di Martino, M.; Agabiti, N.; Davoli, M.; Fusco, D. High quality process of care increases one-year survival after acute myocardial infarction (AMI): A cohort study in Italy. PLoS ONE 2019, 14, e0212398. [Google Scholar] [CrossRef] [PubMed]
- Shafei, I.; Karnon, J.; Crotty, M. Quality Improvement in Stroke Rehabilitation: A Scoping Review. J. Multidiscip. Health 2022, 15, 2913–2931. [Google Scholar] [CrossRef]
- Cappadona, I.; Corallo, F.; Cardile, D.; Ielo, A.; Bramanti, P.; Buono, V.L.; Ciurleo, R.; D’aleo, G.; De Cola, M.C. Audit as a Tool for Improving the Quality of Stroke Care: A Review. Int. J. Environ. Res. Public Health 2023, 20, 4490. [Google Scholar] [CrossRef]
- Agarwal, N.; Youngerman, B.; Kaakaji, W.; Smith, G.; McGregor, J.M.; Powers, C.J.; Guthikonda, B.; Menger, R.; Schirmer, C.M.; Rosenow, J.M.; et al. Optimizing Medical Care Via Practice Guidelines and Quality Improvement Initiatives. World Neurosurg. 2021, 151, 375–379. [Google Scholar] [CrossRef] [PubMed]
- Jolliffe, L.; Morarty, J.; Hoffmann, T.; Crotty, M.; Hunter, P.; Cameron, I.D.; Li, X.; Lannin, N.A. Using audit and feedback to increase clinician adherence to clinical practice guidelines in brain injury rehabilitation: A before and after study. PLoS ONE 2019, 14, e0213525. [Google Scholar] [CrossRef]
- Cowan, P.J. The role of clinical audit in risk reduction. Br. J. Clin. Gov. 2002, 7, 220–223. [Google Scholar] [CrossRef]
- Johnston, G.; Crombie, I.K.; Alder, E.M.; Davies, H.T.O.; Millard, A. Reviewing audit: Barriers and facilitating factors for effective clinical audit. Qual. Health Care 2000, 9, 23–36. [Google Scholar] [CrossRef]
- Vahidi, R.G.; Tabrizi, J.S.; Iezadi, S.; Gholipour, K.; Mojahed, F.; Rasi, V. Organizational Facilitators and Barriers to Implementing Effective Clinical Audit: Systematic Review. J. Pak. Med. Stud. 2013, 3, 38–45. [Google Scholar]
- Shinohara, M.; Nakamura, T.; Kunikata, N.; Okudera, H.; Kuroda, Y. A half-day stroke workshop based on the Kirkpatrick model to improve new clinical staff behavior. J. Adv. Med. Educ. Prof. 2020, 8, 10–17. [Google Scholar] [CrossRef]
- Johnston, S.; Coyer, F.M.; Nash, R. Kirkpatrick’s Evaluation of Simulation and Debriefing in Health Care Education: A Systematic Review. J. Nurs. Educ. 2018, 57, 393–398. [Google Scholar] [CrossRef] [PubMed]




| All | PG1 | PG2 | p-Value | |
|---|---|---|---|---|
| Participants | 26 | 13 (50.0) | 13 (50.0) | - |
| Male | 12 (46.2) | 5 (38.5) | 7 (53.9) | 0.83 |
| Age (years) | 47.9 ± 9.1 | 48.3 ± 11.9 | 47.5 ± 5.4 | 0.70 |
| Question Group | Question Number | Question |
|---|---|---|
| QG1 | Q1 | In which area has the audit process been used extensively in recent times? |
| Q2 | What is the definition of “internal audit”? | |
| Q3 | What is the definition of “external audit”? | |
| Q4 | What are the characteristics that all types of audit have in common? | |
| Q5 | What is the benefit that an audit process brings to the people involved? | |
| QG2 | Q6 | What is the definition of “clinical audit”? |
| Q7 | On what elements is the clinical audit based? | |
| Q8 | What, in order, are the stages of a clinical audit process? | |
| Q9 | How should a clinical audit working group be composed? | |
| Q10 | What is the goal of a clinical audit process? | |
| QG3 | Q11 | In the context of a clinical audit process, what is an indicator? |
| Q12 | Which types of studies can be employed for data collection? | |
| Q13 | Which of the following methods should be excluded for data collection? | |
| Q14 | What is the definition of “current data”? | |
| Q15 | Which of the following is not a type of quality indicator? |
| PG1 | p-Value | PG2 | p-Value | |||
|---|---|---|---|---|---|---|
| T0 | T1 | T0 | T1 | |||
| S.QG1 | 3.0 (3.0–4.0) | 5.0 (4.0–5.0) | 0.013 | 2.0 (1.0–4.0) | 4.0 (3.0–5.0) | 0.005 |
| S.QG2 | 3.0 (3.0–4.0) | 5.0 (4.0–5.0) | 0.013 | 3.0 (3.0–4.0) | 5.0 (4.0–5.0) | 0.008 |
| S.QG3 | 4.0 (3.0–4.0) | 5.0 (4.0–5.0) | 0.021 | 2.0 (2.0–3.0) | 5.0 (4.0–5.0) | 0.005 |
| S.TOT | 10.0 (8.0–11.0) | 14.0 (12.0–15.0) | 0.006 | 7.0 (7.0–9.0) | 13.0 (11.0–15.0) | 0.003 |
| Group Coefficient | Adjusted R2 | ||||
|---|---|---|---|---|---|
| Estimate | Std. Error | t Value | p Value | ||
| S.TOT | 0.497 | 0.153 | 3.241 | 0.004 | 0.312 |
Disclaimer/Publisher’s Note: The statements, opinions and data contained in all publications are solely those of the individual author(s) and contributor(s) and not of MDPI and/or the editor(s). MDPI and/or the editor(s) disclaim responsibility for any injury to people or property resulting from any ideas, methods, instructions or products referred to in the content. |
© 2023 by the authors. Licensee MDPI, Basel, Switzerland. This article is an open access article distributed under the terms and conditions of the Creative Commons Attribution (CC BY) license (https://creativecommons.org/licenses/by/4.0/).
Share and Cite
Ielo, A.; De Cola, M.C.; Corallo, F.; D’Aleo, G.; Mento, A.; Cardile, D.; Cappadona, I.; Pagano, M.; Bramanti, P.; Ciurleo, R. Improving Knowledge of Audit and Feedback among Health Care Professionals in Sicily. Healthcare 2023, 11, 1987. https://doi.org/10.3390/healthcare11141987
Ielo A, De Cola MC, Corallo F, D’Aleo G, Mento A, Cardile D, Cappadona I, Pagano M, Bramanti P, Ciurleo R. Improving Knowledge of Audit and Feedback among Health Care Professionals in Sicily. Healthcare. 2023; 11(14):1987. https://doi.org/10.3390/healthcare11141987
Chicago/Turabian StyleIelo, Augusto, Maria Cristina De Cola, Francesco Corallo, Giangaetano D’Aleo, Agata Mento, Davide Cardile, Irene Cappadona, Maria Pagano, Placido Bramanti, and Rosella Ciurleo. 2023. "Improving Knowledge of Audit and Feedback among Health Care Professionals in Sicily" Healthcare 11, no. 14: 1987. https://doi.org/10.3390/healthcare11141987
APA StyleIelo, A., De Cola, M. C., Corallo, F., D’Aleo, G., Mento, A., Cardile, D., Cappadona, I., Pagano, M., Bramanti, P., & Ciurleo, R. (2023). Improving Knowledge of Audit and Feedback among Health Care Professionals in Sicily. Healthcare, 11(14), 1987. https://doi.org/10.3390/healthcare11141987

