Reliability and Validity of a Portable Traction Dynamometer in Knee-Strength Extension Tests: An Isometric Strength Assessment in Recreationally Active Men
Abstract
1. Introduction
2. Materials and Methods
2.1. Participants
2.2. Study Design
2.3. Computerized Dynamometer and Portable Traction Dynamometer
2.4. Statistical Analyses
3. Results
| Variable | Mean ± SD |
|---|---|
| Age (years) | 29.50 ± 7.26 |
| BW (kg) | 78.68 ± 7.96 |
| Height (m) | 1.78 ± 0.05 |
| BF (%) | 12.70 ± 5.88 |
3.1. Reliability Absolute Measurements
3.2. Reliability Relative Measurements
3.3. Validity Absolute Measurements
3.4. Validity Relative Measurements
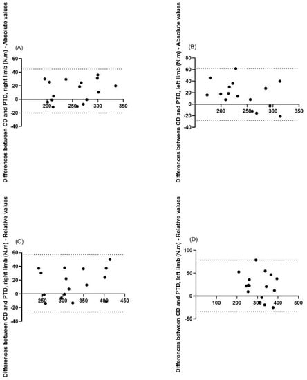
3.5. Bland–Altman Absolute Values
3.6. Bland–Altman Relative Values
4. Discussion
5. Conclusions
Author Contributions
Funding
Institutional Review Board Statement
Informed Consent Statement
Data Availability Statement
Acknowledgments
Conflicts of Interest
References
- Lum, D.; Haff, G.G.; Barbosa, T.M. The relationship between isometric force-time characteristics and dynamic performance: A systematic review. Sports 2020, 8, 63. [Google Scholar] [CrossRef] [PubMed]
- Hartog, J.; Dijkstra, S.; Fleer, J.; van der Harst, P.; Mariani, M.A.; van der Woude, L.H.V. A portable isometric knee extensor strength testing device: Test-retest reliability and minimal detectable change scores of the Q-Force II; in healthy adults. BMC Musculoskelet. Disord. 2021, 22, 966. [Google Scholar] [CrossRef] [PubMed]
- Van Driessche, S.; Van Roie, E.; Vanwanseele, B.; Delecluse, C. Test-retest reliability of knee extensor rate of velocity and power development in older adults using the isotonic mode on a Biodex System 3 dynamometer. PLoS ONE 2018, 13, e0196838. [Google Scholar] [CrossRef]
- Šarabon, N.; Kozinc, Ž.; Perman, M.J. Establishing reference values for isometric knee extension and flexion strength. Front. Physiol. 2021, 12, 767941. [Google Scholar] [CrossRef] [PubMed]
- Cvetic, D.; Janicijevic, D.; Knezevic, O.M.; García-Ramos, A.; Mirkov, D.M. Methodological considerations for assessing whole-body strength capacity through isometric dynamometry. Sport. Biomech. 2022, 15, 1–15. [Google Scholar] [CrossRef]
- Stark, T.; Walker, B.; Phillips, J.K.; Fejer, R.; Beck, R. Hand-held dynamometry correlation with the gold standard isokinetic dynamometry: A systematic review. PM R 2011, 3, 472–479. [Google Scholar] [CrossRef] [PubMed]
- da Silva, V.; Corrêa, H.; Neves, R.; Deus, L.; Reis, A.; Souza, M.; Dos Santos, C.; de Castro, D.; Honorato, F.; Simões, H.J. Impact of low hemoglobin on body composition, strength, and redox status of older hemodialysis patients following resistance training. Front. Physiol. 2021, 12, 619054. [Google Scholar] [CrossRef]
- de Oliveira, N.T.; Medeiros, T.M.; Vianna, K.B.; dos Santos Oliveira, G.; de Araujo Ribeiro-Alvares, J.B.; Baroni, B.M. A four-week training program with the Nordic hamstring exercise during preseason increases eccentric strength of male soccer players. Int. J. Sports Phys. Ther. 2020, 15, 571. [Google Scholar] [CrossRef]
- Ushiyama, N.; Kurobe, Y.; Momose, K. Validity of maximal isometric knee extension strength measurements obtained via belt-stabilized hand-held dynamometry in healthy adults. J. Phys. Ther. Sci. 2017, 29, 1987–1992. [Google Scholar] [CrossRef]
- Kim, W.K.; Kim, D.-K.; Seo, K.M.; Kang, S.H. Reliability and validity of isometric knee extensor strength test with hand-held dynamometer depending on its fixation: A pilot study. Ann. Rehabil. Med. 2014, 38, 84–93. [Google Scholar] [CrossRef]
- Heale, R.; Twycross, A.J. Validity and reliability in quantitative studies. Evid.-Based Nurs. 2015, 18, 66–67. [Google Scholar] [CrossRef] [PubMed]
- Pate, R.R.; Pratt, M.; Blair, S.N.; Haskell, W.L.; Macera, C.A.; Bouchard, C.; Buchner, D.; Ettinger, W.; Heath, G.W.; King, A.C.; et al. Physical activity and public health. A recommendation from the Centers for Disease Control and Prevention and the American College of Sports Medicine. JAMA 1995, 273, 402–407. [Google Scholar] [CrossRef] [PubMed]
- Dodds, R.M.; Syddall, H.E.; Cooper, R.; Benzeval, M.; Deary, I.J.; Dennison, E.M.; Der, G.; Gale, C.R.; Inskip, H.M.; Jagger, C.; et al. Grip strength across the life course: Normative data from twelve British studies. PLoS ONE 2014, 9, e113637. [Google Scholar] [CrossRef]
- American College of Sports Medicine. ACSM’s Guidelines for Exercise Testing and Prescription; Lippincott Williams & Wilkins: Philadelphia, PA, USA, 2013. [Google Scholar]
- Ernesto, C.; Bottaro, M.; Silva, F.; Sales, M.; Celes, R.S.; Oliveira, R.J. Effects of different rest intervals on isokinetic muscle performance among older adults. Braz. J. Phys. Ther. 2009, 13, 65–72. [Google Scholar] [CrossRef]
- Dos’Santos, T.; Thomas, C.; Jones, P.A.; Comfort, P. Assessing muscle-strength asymmetry via a unilateral-stance isometric midthigh pull. Int. J. Sport. Physiol. Perform. 2017, 12, 505–511. [Google Scholar] [CrossRef] [PubMed]
- The National Isometric Muscle Strength (NIMS) Database Consortium. Muscular weakness assessment: Use of normal isometric strength data. Arch. Phys. Med. Rehabil. 1996, 77, 1251–1255. [Google Scholar] [CrossRef] [PubMed]
- Hogrel, J.-Y.; Payan, C.A.; Ollivier, G.; Tanant, V.; Attarian, S.; Couillandre, A.; Dupeyron, A.; Lacomblez, L.; Doppler, V.; Meininger, V.; et al. Development of a French isometric strength normative database for adults using quantitative muscle testing. Arch. Phys. Med. Rehabil. 2007, 88, 1289–1297. [Google Scholar] [CrossRef]
- Meldrum, D.; Cahalane, E.; Conroy, R.; Fitzgerald, D.; Hardiman, O. Maximum voluntary isometric contraction: Reference values and clinical application. Amyotroph. Lateral Scler. 2007, 8, 47–55. [Google Scholar] [CrossRef] [PubMed]
- Smidt, G.L. Biomechanical analysis of knee flexion and extension. J. Biomech. 1973, 6, 79–92. [Google Scholar] [CrossRef]
- Dvir, Z. Avaliações Musculares, Interpretações e Aplicações Clínicas Isocinética; Editora Manole: Sao Paulo, Brazil, 2002. [Google Scholar]
- Almeida, G.P.L.; Albano, T.R.; Melo, A.K.P. Hand-held dynamometer identifies asymmetries in torque of the quadriceps muscle after anterior cruciate ligament reconstruction. Knee Surg. Sport. Traumatol. Arthrosc. 2019, 27, 2494–2501. [Google Scholar] [CrossRef]
- Drake, D.; Kennedy, R.; Wallace, E. Familiarization, validity and smallest detectable difference of the isometric squat test in evaluating maximal strength. J. Sports Sci. 2018, 36, 2087–2095. [Google Scholar] [CrossRef]
- Midgley, A.W.; Marchant, D.C.; Levy, A.R. A call to action towards an evidence-based approach to using verbal encouragement during maximal exercise testing. Clin. Physiol. Funct. Imaging 2018, 38, 547–553. [Google Scholar] [CrossRef] [PubMed]
- Almeida, G.P.L.; das Neves Rodrigues, H.L.; de Freitas, B.W.; de Paula Lima, P.O. Reliability and validity of the hip stability isometric test (HipSIT): A new method to assess hip posterolateral muscle strength. J. Orthop. Sport. Phys. Ther. 2017, 47, 906–913. [Google Scholar] [CrossRef] [PubMed]
- Weir, J.P.; Vincent, W.J. Statistics in Kinesiology; Human Kinetics Publishers: Champaign, IL, USA, 2020. [Google Scholar]
- Weir, J.P. Quantifying test-retest reliability using the intraclass correlation coefficient and the SEM. J. Strength Cond. Res. 2005, 19, 231–240. [Google Scholar] [PubMed]
- Koo, T.K.; Li, M.Y. A Guideline of Selecting and Reporting Intraclass Correlation Coefficients for Reliability Research. J. Chiropr. Med. 2016, 15, 155–163. [Google Scholar] [CrossRef] [PubMed]
- Batterham, A.M. Bias in Bland-Altman but not regression validity analyses. Sportscience 2004, 8, 42–47. [Google Scholar]
- Cohen, J. Stafisfical Power Analysis for the Behavioral Sciences, 2nd ed.; Lawrence Erlbaum Associates: Mahwah, NJ, USA, 1988. [Google Scholar]
- Goss-Sampson, M. Statistical Analysis in JASP: A Guide for Students; JASP: Amsterdam, The Netherlands, 2019. [Google Scholar]
- Mayr, S.; Erdfelder, E.; Buchner, A.; Faul, F. A short tutorial of GPower. Tutor. Quant. Methods Psychol. 2007, 3, 51–59. [Google Scholar] [CrossRef]
- Beck, T.W. The importance of a priori sample size estimation in strength and conditioning research. J. Strength Cond. Res. 2013, 27, 2323–2337. [Google Scholar] [CrossRef]
- Jackson, S.M.; Cheng, M.S.; Smith Jr, A.R.; Kolber, M.J. Intrarater reliability of hand held dynamometry in measuring lower extremity isometric strength using a portable stabilization device. Musculoskelet. Sci. Pract. 2017, 27, 137–141. [Google Scholar] [CrossRef]
- Roy, M.-A.G.; Doherty, T.J. Reliability of hand-held dynamometry in assessment of knee extensor strength after hip fracture. Am. J. Phys. Med. Rehabil. 2004, 83, 813–818. [Google Scholar] [CrossRef]
- Verkerke, G.; Lemmink, K.; Slagers, A.; Westhoff, M.; Van Riet, G.; Rakhorst, G. Precision, comfort and mechanical performance of the Quadriso-tester, a quadriceps force measuring device. Med. Biol. Eng. Comput. 2003, 41, 283–289. [Google Scholar] [CrossRef] [PubMed]
- Bohannon, R.W.; Bubela, D.J.; Wang, Y.-C.; Magasi, S.R.; Gershon, R.C. Adequacyof belt-stabilized testing of knee extension strength. J. Strength Cond. Res. 2011, 25, 1963. [Google Scholar] [CrossRef] [PubMed]
- Martins, J.; da Silva, J.R.; da Silva, M.R.B.; Bevilaqua-Grossi, D. Reliability and Validity of the Belt-Stabilized Handheld Dynamometer in Hip- and Knee-Strength Tests. J. Athl. Train. 2017, 52, 809–819. [Google Scholar] [CrossRef] [PubMed]




| Limb | Computer Dynamometer | Portable Traction Dynamometer | ||||||
|---|---|---|---|---|---|---|---|---|
| Intraclass Correlation Coefficient (2,1) | SEM | MDC | Mean Difference | Intraclass Correlation Coefficient (2,1) | SEM | MDC | Mean Difference | |
| (95% CI) | (Nm) | (Nm) | (Nm) | (95% CI) | (Nm) | (Nm) | (Nm) | |
| Right Absolute | 0.89 (0.71–0.96) | 16.42 | 45.50 | −2.43 | 0.91 (0.76–0.97) | 13.01 | 36.05 | 5.25 |
| Left Absolute | 0.85 (0.57–0.95) | 14.72 | 40.80 | 12.42 | 0.91 (0.76–0.97) | 14.35 | 39.79 | 9.09 |
| Right Relative | 0.91 (0.76–0.97) | 20.27 | 56.19 | −3.71 | 0.93 (0.81–0.97) | 15.65 | 43.37 | 5.87 |
| Left Relative | 0.87 (0.59–0.96) | 18.03 | 49.99 | 16.25 | 0.92 (0.77–0.97) | 17.29 | 47.94 | 10.76 |
Disclaimer/Publisher’s Note: The statements, opinions and data contained in all publications are solely those of the individual author(s) and contributor(s) and not of MDPI and/or the editor(s). MDPI and/or the editor(s) disclaim responsibility for any injury to people or property resulting from any ideas, methods, instructions or products referred to in the content. |
© 2023 by the authors. Licensee MDPI, Basel, Switzerland. This article is an open access article distributed under the terms and conditions of the Creative Commons Attribution (CC BY) license (https://creativecommons.org/licenses/by/4.0/).
Share and Cite
Garcia, D.; de Sousa Neto, I.V.; de Souza Monteiro, Y.; Magalhães, D.P.; Ferreira, G.M.L.; Grisa, R.; Prestes, J.; Rosa, B.V.; Abrahin, O.; Martins, T.M.; et al. Reliability and Validity of a Portable Traction Dynamometer in Knee-Strength Extension Tests: An Isometric Strength Assessment in Recreationally Active Men. Healthcare 2023, 11, 1466. https://doi.org/10.3390/healthcare11101466
Garcia D, de Sousa Neto IV, de Souza Monteiro Y, Magalhães DP, Ferreira GML, Grisa R, Prestes J, Rosa BV, Abrahin O, Martins TM, et al. Reliability and Validity of a Portable Traction Dynamometer in Knee-Strength Extension Tests: An Isometric Strength Assessment in Recreationally Active Men. Healthcare. 2023; 11(10):1466. https://doi.org/10.3390/healthcare11101466
Chicago/Turabian StyleGarcia, Danielle, Ivo Vieira de Sousa Neto, Yuri de Souza Monteiro, Denis Pinheiro Magalhães, Gleison Miguel Lissemerki Ferreira, Roberto Grisa, Jonato Prestes, Bruno Viana Rosa, Odilon Abrahin, Tatiane Meire Martins, and et al. 2023. "Reliability and Validity of a Portable Traction Dynamometer in Knee-Strength Extension Tests: An Isometric Strength Assessment in Recreationally Active Men" Healthcare 11, no. 10: 1466. https://doi.org/10.3390/healthcare11101466
APA StyleGarcia, D., de Sousa Neto, I. V., de Souza Monteiro, Y., Magalhães, D. P., Ferreira, G. M. L., Grisa, R., Prestes, J., Rosa, B. V., Abrahin, O., Martins, T. M., Vidal, S. E., de Moura Andrade, R., Celes, R. S., Rolnick, N., & da Cunha Nascimento, D. (2023). Reliability and Validity of a Portable Traction Dynamometer in Knee-Strength Extension Tests: An Isometric Strength Assessment in Recreationally Active Men. Healthcare, 11(10), 1466. https://doi.org/10.3390/healthcare11101466

