Effects of an Asthma Education Camp Program on Quality of Life and Asthma Control among Thai Children with Asthma: A Quasi-Experimental Study
Abstract
:1. Introduction
2. Materials and Methods
2.1. Study Design and Population
2.2. Data Collection
2.3. Statistical Analysis
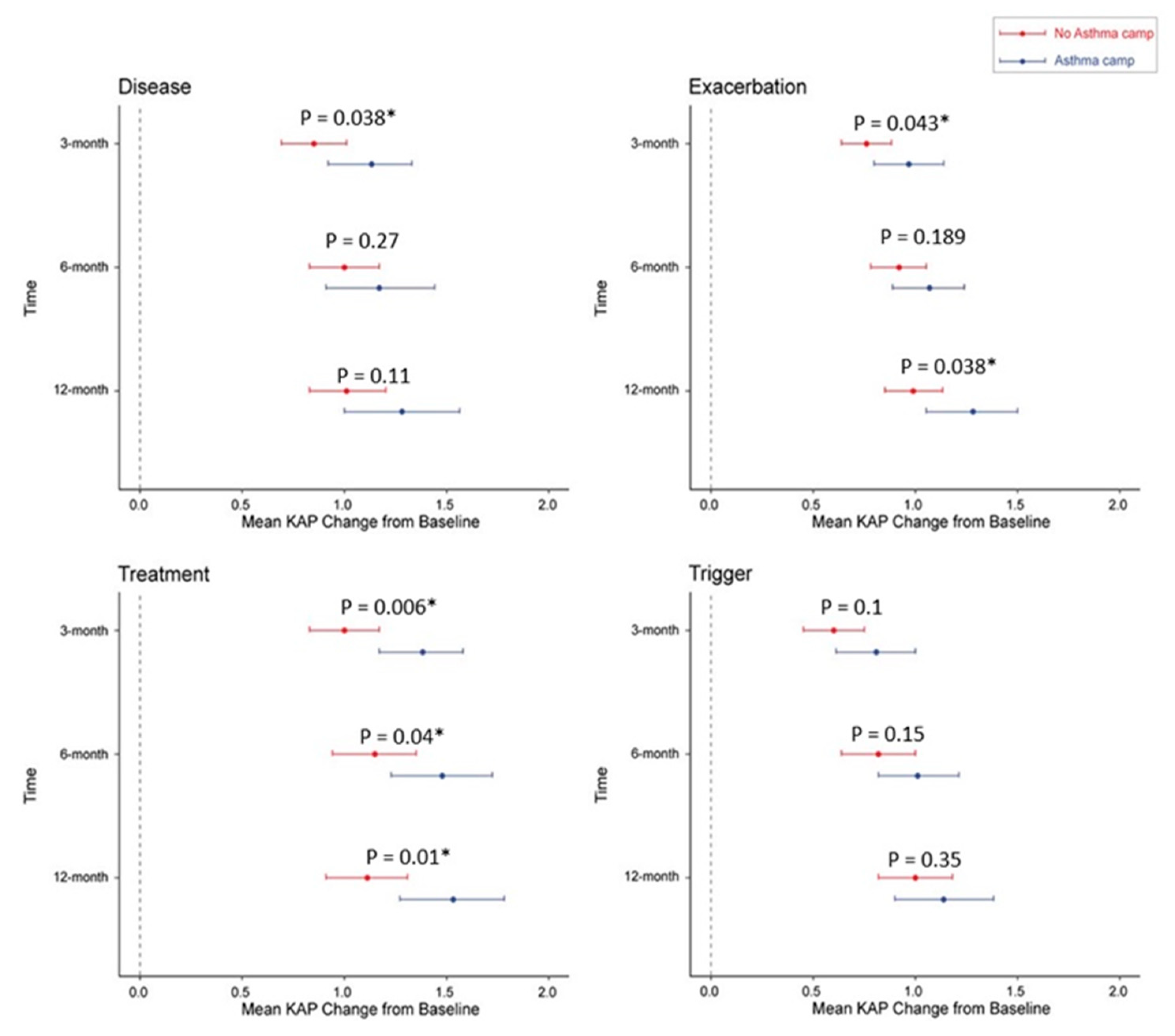
3. Results
3.1. Participant Characteristics
3.2. PAQLQ and Caregiver KAP Scores
3.3. KAP Scores and Level of Asthma Control
4. Discussion
5. Conclusions
Author Contributions
Funding
Institutional Review Board Statement
Informed Consent Statement
Data Availability Statement
Acknowledgments
Conflicts of Interest
References
- Global Initiative for Asthma. Global Strategy for Asthma Management and Prevention. Available online: http://www.ginasthma.org (accessed on 15 May 2022).
- GBD 2016 Disease and Injury Incidence and Prevalence Collaborators. Global, regional, and national incidence, prevalence, and years lived with disability for 328 diseases and injuries for 195 countries, 1990–2016: A systematic analysis for Global Burden of Disease Study 2016. Lancet 2017, 390, 1211–1259. [Google Scholar] [CrossRef]
- Chinratanapisit, S.; Suratannon, N.; Pacharn, P.; Sritipsukho, P.; Vichyanond, P. Prevalence and severity of asthma, rhinoconjunctivitis and eczema in children from the Bangkok area: The Global Asthma Network (GAN) Phase I. Asian Pac. J. Allergy Immunol. 2019, 37, 226–231. [Google Scholar] [PubMed]
- Miadich, S.; Everhart, R.; Borschuk, A.; Winter, M.; Fiese, B. Quality of life in children with asthma: A developmental perspective. J. Ped. Psych. 2015, 40, 672–679. [Google Scholar] [CrossRef] [PubMed]
- Kosse, R.; Koster, E.; Kaptein, A.; de Vries, T.; Bouvy, M. Asthma control and quality of life in adolescents: The role of illness perception, medication beliefs, and adherence. J. Asthma 2020, 57, 1145–1154. [Google Scholar] [CrossRef] [PubMed]
- Matsunaga, N.Y.; Ribeiro, M.A.G.O.; Saad, I.A.B.; Morcillo, A.M.; Ribeiro, J.D.; Toro, A.D.C. Evaluation of quality of life according to asthma control and asthma severity in children and adolescents. J. Bras. Pneumol. 2015, 41, 502–508. [Google Scholar] [CrossRef]
- Annett, R.D. Assessment of health status and quality of life outcomes for children with asthma. J. Allergy Clin. Immunol. 2001, 107, S473–S481. [Google Scholar] [CrossRef]
- Juniper, E.F.; Guyatt, G.H.; Feeny, D.H.; Ferrie, P.J.; Grith, L.E.; Townsend, M. Measuring quality of life in children with asthma. Qual. Life Res. 1996, 5, 35–46. [Google Scholar] [CrossRef]
- Poachanukoon, O.; Visitsunthorn, N.; Leurmarnkul, W.; Vicyanond, P. Pediatric asthma quality of life questionnaire (PAQLQ): Validation among asthmatic children in Thailand. Pediatr. Allergy Immunol. 2006, 17, 207–212. [Google Scholar] [CrossRef]
- Guevara, J.; Fredic, W.; Grum, C.; Clark, N. Effects of educational interventions for self management of asthma in children and adolescents: Systematic review and meta-analysis. BMJ 2003, 326, 1308-9. [Google Scholar] [CrossRef]
- Costa, M.R.; Oliveira, M.A.; Santoro, I.L.; Juliano, Y.; Pinto, J.R.; Fernandes, A.L. Educational camp for children with asthma. J. Bras. Pneumol. 2008, 34, 191–195. [Google Scholar] [CrossRef]
- Zahradnik, A. Asthma education information source preferences and their relationship to asthma knowledge. J. Health Hum. Serv. Adm. 2011, 34, 325–351. [Google Scholar]
- Yilmaz, O.; Eroglu, N.; Ozalp, D.; Yuksel, H. Beliefs about medications in asthmatic children presenting to emergency department and their parents. J. Asthma 2012, 49, 282–287. [Google Scholar] [CrossRef] [PubMed]
- Thoonen, B.P.A.; Schermer, T.R.J.; Van Den Boom, G.; Molema, J.; Folgering, H.; Akkermans, R.P.; Grol, R.; Van Weel, C.; Van Schayck, C.P. Self-management of asthma in general practice, asthma control and quality of life: A randomized controlled trial. Thorax 2003, 58, 30–36. [Google Scholar] [CrossRef] [PubMed]
- Ho, J.; Bender, B.G.; Gavin, L.A.; O’Connor, S.L.; Wamboldt, M.Z.; Wamboldt, F.S. Relations among asthma knowledge, treament adherence, and outcome. J. Allergy Clin. Immunol. 2003, 111, 498–502. [Google Scholar] [CrossRef] [PubMed]
- Sriratawong, K.; Predeeyanon, P.; Poachanukoon, O. Asthma knowledge, level of control and quality of life in asthmatic children at Thammasat hospital. Thai J. Pediatr. 2010, 49, 255–262. [Google Scholar]
- Wattanarunggsun, P. Asthma knowledge, level of control and quality of life in asthmatic children at Chaoprayayomraj hospital. Thai J. Pediatr. 2013, 52, 227–235. [Google Scholar]
- Sommanus, S.; Direkwattanachai, C.; Lawpoolsri, S.; Sitcharungsi, R. Accuracy of childhood asthma control test among Thai childhood asthma patients. Asian Pac. J. Allergy Immunol. 2018, 36, 152–158. [Google Scholar]
- American Thoracic Society (ATS). Statement on standardization of spirometry—1994 update. Am. J. Respir. Crit. Care Med. 1995, 152, 1107–1139. [Google Scholar] [CrossRef]
- Kelly, C.S.; Shield, S.W.; Gowen, M.A.; Jaganjac, N.; Andersen, C.L.; Strope, G.L. Outcome analysis of a summer asthma camp. J. Asthma. 1998, 35, 165–171. [Google Scholar] [CrossRef]
- Mellett, L.H.; Soto, A.; Govande, J.; Ogborn, C.; Sagar, M. Role of asthma camp in improving the overall health of children with asthma. Proc. Bayl. Univ. Med. Cent. 2019, 32, 54–57. [Google Scholar] [CrossRef]
- Welch, M.; Carson, A.; Larson, D.; Fena, P. Clinical profile, health-related quality of life, and asthma control in children attending US asthma camps. Ann. Allergy Asthma Immunol. 2007, 99, 496–501. [Google Scholar] [CrossRef]
- Numkiatwongsa, S.; Tongkaew, S.; Chatchatee, P.; Ngamphaiboon, J. Asthma education camp: Immediate and long term impacts on Thai asthmatic children and their families. J. Allergy Clin. Immunol. 2006, 117, s274. [Google Scholar] [CrossRef]
- Zhao, J.; Shen, K.; Xiang, L.; Zhang, G.; Xie, M.; Bai, J.; Chen, Q. The knowledge, attitudes and practices of parents of children with asthma in cities of China: A multi-center study. BMC Pediatr. 2013, 13, 20. [Google Scholar] [CrossRef] [PubMed]
- Bernard-Bonnin, A.; Stachenko, S.; Bonin, D.; Charette, C.; Rousseau, E. Self-management teaching programs and morbidity of pediatric asthma: A meta-analysis. J. Allergy Clin. Immunol. 1995, 95, 34–41. [Google Scholar] [CrossRef]
- Juniper, E.F.; Wisniewski, M.E.; Cox, F.M.; Emmett, A.H.; Nielsen, K.E.; O’Byrnez, P.M. Relationship between quality of life and clinical status in asthma: A factor analysis. Eur. Respir. J. 2004, 23, 287–291. [Google Scholar] [CrossRef]
- Ahmed, S.T.; Sandhya, M.; Shankar, S. ICT’s role in building and understanding Indian telemedicine environment: A study. In Information and Communication Technology for Competitive Strategies; Springer: Singapore, 2019; pp. 391–397. [Google Scholar]
- Montalbano, L.; Ferrante, G.; Cilluffo, G.; Gentile, M.; Arrigo, M.; La Guardia, D.; Allegra, M.; Malizia, V.; Gagliardo, R.P.; Bonini, M.; et al. Targeting quality of life in asthmatic children: The MyTEP pilot randomized trial. Respir. Med. 2019, 153, 14–19. [Google Scholar] [CrossRef]
- Cook, K.; Moderna, B.; Simon, R. Improvement in asthma control using a minimally burdensome and proactive smartphone application. J. Allergy Clin. Immunol. Pract. 2016, 4, 730–737. [Google Scholar] [CrossRef]
- Fossati, A.; Challier, C.; Dalhoumi, A.A.; Rose, J.; Robinson, A.; Perisson, C.; Galode, F.; Luaces, B.; Fayon, M. Telehome monitoring of symptoms and lung function in children with asthma. Healthcare 2022, 10, 1131. [Google Scholar] [CrossRef]


| Variable | Attendees | Non-Attendees | p-Value |
|---|---|---|---|
| Total n = 212 | 72 (33.9) | 140 (66.1) | |
| Sex | |||
| Male | 40 (55.6) | 91 (65.0) | 0.18 |
| Female | 32 (44.4) | 49 (35.0) | |
| Asthma severity | |||
| Mild | 27 (37.5) | 41 (29.3) | 0.21 |
| Moderate | 38 (52.8) | 74 (52.9) | |
| Severe | 7 (9.7) | 25 (17.9) | |
| Comorbid diseases | |||
| Allergic rhinitis | 36 (50.0) | 63 (45.0) | 0.49 |
| Atopic dermatitis | 18 (25) | 26 (18.6) | 0.27 |
| Food allergy | 12 (16.7) | 14 (10.0) | 0.16 |
| History of acute and chronic sinusitis | 8 (11.1) | 6 (4.3) | 0.078 |
| History of urticarial rash | 10 (13.9) | 25 (17.9) | 0.46 |
| Snoring | 26 (36.1) | 25 (17.9) | 0.003 * |
| Acute asthmatic attack | 36 (50.0) | 67 (47.9) | 0.77 |
| Risk factors of asthma | |||
| Obesity | 21 (29.2) | 25 (17.9) | 0.058 |
| Pet owner | 24 (33.3) | 37 (26.4) | 0.29 |
| Environmental tobacco smoke | 36 (50.0) | 73 (52.1) | 0.77 |
| Family history of atopy | 32 (44.4) | 67 (47.9) | 0.64 |
| Aeroallergen sensitization (n = 204) | 58 (81.7) | 106 (79.7) | 0.73 |
| Relationship to child | |||
| Mother | 43 (59.7) | 79 (56.4) | 0.416 |
| Father | 15 (20.8) | 23 (16.4) | |
| Other | 14 (19.4) | 38 (27.1) | |
| Caregiver age | |||
| Age of caregiver (years) (min–max) | 43.17 ± 10.33 (24–67) | 42.71 ± 10.45 (26–69) | 0.64 |
| 24–35 | 14 (19.4) | 38 (27.1) | |
| 36–45 | 31 (43.1) | 56 (40.0) | |
| 46–55 | 14 (19.4) | 22 (15.7) | |
| 56–69 | 13 (18.1) | 24 (17.1) | |
| Educational level of caregiver | |||
| Below undergraduate level | 51 (70.8) | 99 (70.7) | 0.878 |
| Bachelor’s degree | 18 (25.0) | 33 (25.6) | |
| Master’s degree | 3 (4.17) | 8 (5.7) |
| Title 1 | Baseline Mean ± SD | 3 Months Mean ± SD | 6 Months Mean ± SD | 1 Year Mean ± SD | Overall p-Value |
|---|---|---|---|---|---|
| C-ACT score | |||||
| Camp | 20.18 ± 3.41 | 22.65 ± 2.70 | 23.43 ± 2.96 | 24.05 ± 2.19 | 0.81 |
| No camp | 19.91 ± 3.41 | 22.76 ± 2.87 | 22.79 ± 3.02 | 24.01 ± 2.39 | |
| p-value | 0.58 | 0.67 | 0.22 | 0.75 | |
| FEV1 | |||||
| Camp | 76.41 ± 13.83 | 88.34 ± 20.58 | 88.80 ± 18.99 | 92.33 ± 19.58 | 0.38 |
| No camp | 71.28 ± 13.78 | 84.34 ± 16.12 | 86.26 ± 17.06 | 90.76 ± 16.36 | |
| p-value | 0.01 * | 0.165 | 0.29 | 0.24 | |
| PAQLQ overall score | |||||
| Camp | 5.21 ± 0.92 | 5.81 ± 0.81 | 5.91 ± 0.86 | 6.15 ± 0.69 | 0.52 |
| No camp | 5.11 ± 0.98 | 5.81 ± 0.85 | 5.93 ± 0.85 | 6.11 ± 0.76 | |
| p-value | 0.49 | 0.89 | 0.84 | 0.40 | |
| KAP overall score | |||||
| Camp | 12.65 ± 2.56 | 16.86 ± 2.3 | 17.25 ± 2.22 | 17.38 ± 3.00 | <0.001 * |
| No camp | 12.69 ± 2.71 | 15.95 ± 2.78 | 16.7 ± 2.68 | 17.00 ± 2.52 | |
| p-value | 0.91 | 0.009 * | 0.04 * | 0.16 |
| n | Baseline Mean KAP (95% CI) | p-Value * | n | 3 Months Mean KAP (95% CI) | p-Value * | |
|---|---|---|---|---|---|---|
| Caregiver | ||||||
| Mother | 122 | 13.26 (12.81–13.72) | Ref | 118 | 16.76 (16.3–17.22) | Ref |
| Father | 38 | 12.18 (11.37–13.00) | 0.024 | 36 | 16.33 (15.5–17.16) | 0.37 |
| Other | 52 | 11.67 (10.97–12.37) | <0.001 | 47 | 15.02 (14.3–15.75) | <0.001 |
| Caregiver education | ||||||
| Undergraduate | 150 | 11.79 (11.42–12.15) | Ref | 140 | 15.23 (14.89–15.57) | Ref |
| Bachelor’s | 51 | 14.49 (13.87–15.11) | <0.001 | 50 | 18.3 (17.73–18.87) | <0.001 |
| Master’s | 11 | 16.36 (15.04–17.69) | <0.001 | 11 | 20.46 (19.24–21.67) | <0.001 |
| Caregiver age | ||||||
| 24–35 | 52 | 13.17 (12.47–13.87) | Ref | 49 | 16.49 (15.79–17.19) | Ref |
| 36–45 | 87 | 13.05 (12.5–13.59) | 0.778 | 86 | 16.8 (16.27–17.33) | 0.487 |
| 46–55 | 36 | 12.47 (11.63–13.31) | 0.21 | 33 | 16.36 (15.51–17.22) | 0.823 |
| 56–69 | 37 | 11.32 (10.49–12.16) | <0.001 | 28 | 14.52 (13.67–15.38) | <0.001 |
| Level of Control | n | Mean PAQLQ (95% CI) | Mean Difference | p-Value |
|---|---|---|---|---|
| 3 months | ||||
| Uncontrolled | 8 | 4.87 (4.43–5.31) | Ref | |
| Partly controlled | 67 | 5.15 (5.00–5.31) | 0.29 (−0.18–0.75) | 0.227 |
| Controlled | 126 | 6.22 (6.11–6.33) | 1.36 (0.90–1.81) | <0.001 * |
| 6 months | ||||
| Uncontrolled | 9 | 4.60 (4.17–5.02) | Ref | |
| Partly controlled | 51 | 5.30 (5.11–5.47) | 0.70 (0.24–1.16) | 0.0028 * |
| Controlled | 116 | 6.31 (6.19–6.43) | 1.72 (1.28–2.16) | <0.001 * |
| 12 months | ||||
| Uncontrolled | 4 | 5.01 (4.43–5.59) | Ref | |
| Partly controlled | 37 | 5.41 (5.22–5.60) | 0.40 (−0.21–1.01) | 0.198 |
| Controlled | 124 | 6.38 (6.27–6.48) | 1.37 (0.78–1.96) | <0.001 * |
| Mean KAP (95%CI) | p-Value | ||||
|---|---|---|---|---|---|
| n | Uncontrolled * | n | Controlled | ||
| Baseline | |||||
| Camp | 52 | 12.52 (11.82–13.22) | 20 | 13.00 (11.87–14.13) | 0.48 |
| No camp | 101 | 12.48 (11.95–13.00) | 39 | 13.26 (12.42–14.10) | 0.12 |
| 3 months | |||||
| Camp | 29 | 16.38 (15.56–17.19) | 43 | 17.19 (16.51–17.86) | 0.13 |
| No camp | 46 | 15.17 (14.39–15.95) | 83 | 16.39 (15.80–16.97) | 0.015 |
| 6 months | |||||
| Camp | 24 | 16.38 (15.53–17.21) | 41 | 17.76 (17.11–18.40) | 0.01 |
| No camp | 36 | 15.83 (14.99–16.68) | 75 | 17.12 (16.53–17.71) | 0.014 |
| 12 months | |||||
| Camp | 14 | 16.86 (15.76–17.95) | 42 | 17.90 (17.27–18.53) | 0.1 |
| No camp | 27 | 15.78 (16.88–17.92) | 82 | 17.40 (16.88–17.92) | 0.002 |
Publisher’s Note: MDPI stays neutral with regard to jurisdictional claims in published maps and institutional affiliations. |
© 2022 by the authors. Licensee MDPI, Basel, Switzerland. This article is an open access article distributed under the terms and conditions of the Creative Commons Attribution (CC BY) license (https://creativecommons.org/licenses/by/4.0/).
Share and Cite
Sommanus, S.; Sitcharungsi, R.; Lawpoolsri, S. Effects of an Asthma Education Camp Program on Quality of Life and Asthma Control among Thai Children with Asthma: A Quasi-Experimental Study. Healthcare 2022, 10, 1561. https://doi.org/10.3390/healthcare10081561
Sommanus S, Sitcharungsi R, Lawpoolsri S. Effects of an Asthma Education Camp Program on Quality of Life and Asthma Control among Thai Children with Asthma: A Quasi-Experimental Study. Healthcare. 2022; 10(8):1561. https://doi.org/10.3390/healthcare10081561
Chicago/Turabian StyleSommanus, Sirasuda, Raweerat Sitcharungsi, and Saranath Lawpoolsri. 2022. "Effects of an Asthma Education Camp Program on Quality of Life and Asthma Control among Thai Children with Asthma: A Quasi-Experimental Study" Healthcare 10, no. 8: 1561. https://doi.org/10.3390/healthcare10081561
APA StyleSommanus, S., Sitcharungsi, R., & Lawpoolsri, S. (2022). Effects of an Asthma Education Camp Program on Quality of Life and Asthma Control among Thai Children with Asthma: A Quasi-Experimental Study. Healthcare, 10(8), 1561. https://doi.org/10.3390/healthcare10081561

