Comparative Investigation on Hydrodynamic Performance of Pump-Jet Propulsion Designed by Direct and Inverse Design Methods
Abstract
1. Introduction
2. Design Methods of Pump-Jet Propulsion
2.1. Direct Design of Pump-Jet Model
2.1.1. Lifting Design Method
- (1)
- The flow in the rotor is regarded as potential flow, and there is no radial velocity component;
- (2)
- The distribution of velocity loop is constant along the radius;
- (3)
- There is no induced velocity in the axial direction.
2.1.2. Lifting-Line Method
- (1)
- The fluid is regarded as ideally incompressible;
- (2)
- Treating the inflow as steady and axisymmetric;
- (3)
- The rotor wake is regarded as non-contracting, and its influence on the shape of the vortex is not considered;
- (4)
- The radial induced speed is not considered;
- (5)
- It is assumed that the circulation at the hub diameter is 0, but for the rotor with a larger hub, a later correction is required.
2.1.3. Optimization Following Direct Method Design
2.2. Inverse Design of Pump-Jet Model
3. Numerical Method and Computational Setup
3.1. Governing Equation
3.2. Turbulence Model
3.3. Pump-Jet Basic Parameters and Models
3.4. Mesh Generation and Boundary Conditions
3.5. Numerical Method Validation
4. Results and Discussion
4.1. Analysis of Pump-Jet Performance by Direct Design Method
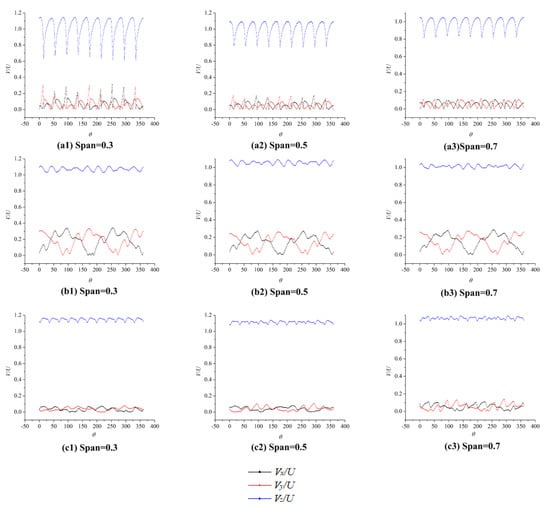
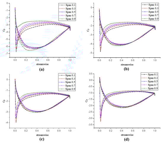
4.1.1. Comparison of Lifting Method and Lifting-Line Method
4.1.2. Optimized Pump-Jet Model Performance
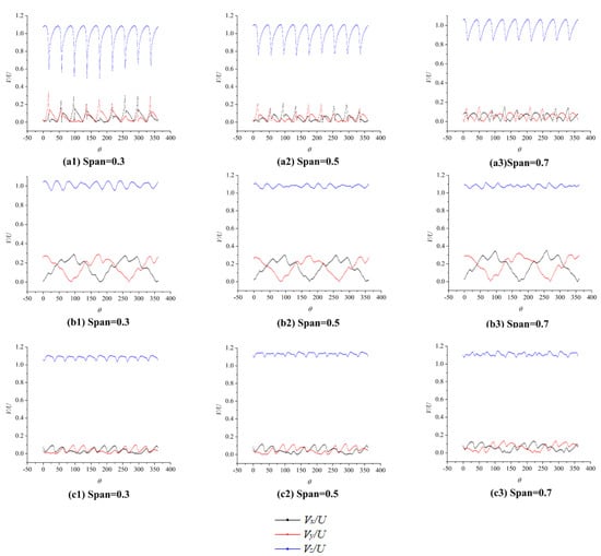
4.2. Analysis of Pump-Jet Performance by Inverse Design Method
5. Conclusions
- For the direct design method, compared to the lifting-line method, the pump-jet propeller designed by lifting method has higher efficiency under the working condition of J < 1.5, which is roughly 5% higher on average, while the range of the high-efficiency operating conditions (η > 60%) of the two methods is similar. The pump-jet designed by the lifting method has a weaker accelerating effect on the mainstream, which produces lower thrust and torque. Moreover, the cavitation is less likely to occur on the blades and the pressure distribution is more uniform, which indicates that the work exerted on the fluid is more uniform and the fluid merges with the mainstream to a greater degree after acceleration so that the matching stator is less prone to cavitation. The turbulent kinetic energy of the internal flow field is also lower. Thus, for small and medium-sized underwater vehicles, the pump-jet designed by the lift method is more suitable.
- After optimizing, the rotor hub ratio changed from 0.4 to 0.45; The rotor placement angle was changed from 64.9° to 69.66°; The tip clearance was changed from 1 to 1.9 mm; The gap of rotor-stator increased from 26.8 to 33.49 mm. In addition, the stator placement angle increased from 77° to 82°. In terms of the hydrodynamic performance, the weighted average efficiency of the two working conditions J = 1.06 and J = 1.07 is 5.372%, which is higher than that before the optimization. After the optimization, the highest efficiency of the pump-jet increased by 5.14%, with the thrust increasing roughly 224.8 N, while the thrust coefficient and efficiency curve both deviate to the direction of the higher speed, with the optimal working condition point slightly shifting. The efficiency drop is slightly slowed down at a higher advance coefficient, which broadens the high-efficiency range. Moreover, the blade has a stronger effect on fluid rotation and acceleration so that the energy obtained by the fluid is higher, with the thrust relatively increasing at a higher advance coefficient. For the stator part, it is more likely to produce cavitation at the outlet edge than that before optimization, but part of it converts the kinetic energy at the rotor outlet into the high-pressure energy.
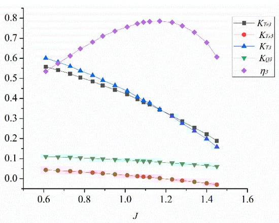
- The pump-jet obtained by the inverse design method has a greater thrust, with the negative thrust generated by the stator shifting to a higher speed at the operating point, implying that the matching of the rotor and stator is better. The maximum efficiency is 78.56%, which is 5.94% higher than that obtained by the direct design method. Furthermore, the high-efficiency range is wider, so that efficiency value is more stable at a medium speed. Compared to the pump-jet obtained by the direct method, the inverse method has a larger effect on the rotation acceleration of the fluid, so that the fluid achieves greater energy, with greater thrust and velocity. As the advance coefficient increases, the adaptive advance speed range is larger. However, the fluid accelerated by the rotor makes the stator flow field more unstable and the turbulent kinetic energy is greater. As the fluid further develops, the periodicity in the channel weakens as the internal flow field becomes more complicated, which indicates that the turbulent kinetic energy is higher, causing relatively larger energy loss. On the whole, the pump-jet obtained by the inverse design method has better balance and anti-cavitation performance, especially at higher speeds.
Author Contributions
Funding
Institutional Review Board Statement
Informed Consent Statement
Data Availability Statement
Conflicts of Interest
References
- Tiankui Wang, D.T. Pump jet propeller-the method of low noise nuclear submarine propulsion. Mod. Mil. 2006, 7, 52–54. [Google Scholar]
- Zhao, B.; Yin, S.P.; Gao, Y.; Cai, W.J.; Gao, Z.Y. Study on Noise Generation Mechanism of Flow Interference for Torpedo Pump Jet Propulsor. Torpedo Technol. 2009, 17, 1–4. (In Chinese) [Google Scholar]
- Yang, Q.; Wang, Y. Principle and Application of Low Noise Pumpjet Design; Huazhong University of Science and Technology (HUST) Press: Wuhan, China, 2016. (In Chinese) [Google Scholar]
- Bontempo, R.; Manna, M. Performance analysis of ducted marine propellers. Part II–Accelerating duct. Appl. Ocean Res. 2018, 75, 153–164. [Google Scholar] [CrossRef]
- Bontempo, R.; Cardone, M.; Manna, M. Performance analysis of ducted marine propellers. Part I–Decelerating duct. Appl. Ocean Res. 2016, 58, 322–330. [Google Scholar] [CrossRef]
- Henderson, R.E.; McMahon, J.F.; Wislicenus, G.F. A Method for the Design of Pumpjets; Defense Technical Information Center: Fort Belvoir, VA, USA, 1964.
- Wu, X. Inspiration from the Developmental Process of US MK48 Series Torpedoes. Torpedo Technol. 2006, 14, 7–9. [Google Scholar]
- Chiang, W.L.; Furuya, O. A New Pumpjet Design Theory; Armed Services Technical Information Agency: Washington, DC, USA, 1987.
- Korde, U.A. Study of a jet-propulsion method for an underwater vehicle. Ocean Eng. 2004, 31, 1205–1218. [Google Scholar] [CrossRef]
- Lu, L. Reaseach on Design and Flow Field Characteristic of the Pumpjet Propulsor. Ph.D. Thesis, Northwestern Polytechnical University, Xi’an, China, 2016. [Google Scholar]
- Rao, Z. Numerical Simulation of Hydrodynamical Performance of Pump Jet Propulsor; Shanghai Jiao Tong University: Shanghai, China, 2012. [Google Scholar]
- Liu, Y. Study on Design Method of Pump Jet Thruster for Underwater Vehicles. Ph.D. Thesis, Harbin Engineering University, Harbin, China, 2013. [Google Scholar]
- Yuan, J.; Chen, Y.; Wang, L.; Fu, Y.; Zhou, Y.; Xu, J.; Lu, R. Dynamic Analysis of Cavitation Tip Vortex of Pump-Jet Propeller Based on DES. Appl Sci. 2020, 10, 5998. [Google Scholar] [CrossRef]
- Zhang, M. 3-D inverse design of pumpjet and comparison with opening water performance of original propeller. J. Harbin Eng. Univ. 2017, 38, 690–696. [Google Scholar]
- Jin, S. Research on the global parameters selection and design of pumpjet of underwater vehicle. J. Harbin Eng. Univ. 2018, 39, 851–856. [Google Scholar]
- Suryanarayana, C. Innovative CAM techniques for propeller manufacture. In Proceedings of the 3rd International Conference on Navy and Ship Building Nowadays(NSN2003), St Petursburg, Russia, 4 June 2003. [Google Scholar]
- Ch, S.; Satyanarayana, B.; Ramji, K.; Saiju, A. Experimental evaluation of pumpjet propulsor for an axisymmetric body in wind tunnel. Int. J. Nav. Archit. Ocean Eng. 2010, 2, 24–33. [Google Scholar]
- Suryanarayana, C.; Suryanarayana, B.; Ramji, K. Performance evaluation of an underwater body and pumpjet by model testing in cavitation tunnel. Int. J. Nav. Archit. Ocean Eng. 2010, 2, 57–67. [Google Scholar] [CrossRef]
- Shirazi, A.T.; Nazari, M.R.; Manshadi, M.D. Numerical and experimental investigation of the fluid flow on a full-scale pump jet thruster. Ocean Eng. 2019, 182, 527–539. [Google Scholar] [CrossRef]
- Ivanell, S. Hydrodynamic Simulation of a Torpedo with Pumpjet Propulsion System; Royal Institute of Technology: Stockholm, Sweden, 2001. [Google Scholar]
- Fangwei, X.; Rui, X.; Gang, S.; Cuntang, W. Flow characteristics of accelerating pump in hydraulic-type wind power generation system under different wind speeds. Int. J. Adv. Manuf. Tech. 2017, 92, 189–196. [Google Scholar] [CrossRef]
- Zhang, N.; Liu, X.; Gao, B.; Wang, X.; Xia, B. Effects of modifying the blade trailing edge profile on unsteady pressure pulsations and flow structures in a centrifugal pump. Int. J. Heat Fluid Flow 2019, 75, 227–238. [Google Scholar] [CrossRef]
- Zhang, N.; Yang, M.; Gao, B.; Li, Z.; Ni, D. Investigation of rotor-stator interaction and flow unsteadiness in a low specific speed centrifugal pump. Stroj. Vestn. J. Mech. Eng. 2016, 62, 21–31. [Google Scholar] [CrossRef]
- Abomohra, A.E.-F.; Jin, W.; Sagar, V.; Ismail, G.A. Optimization of chemical flocculation of Scenedesmus obliquus grown on municipal wastewater for improved biodiesel recovery. Renew. Energy 2018, 115, 880–886. [Google Scholar] [CrossRef]
- Afonaa-Mensah, S.; Wang, Q.; Uzoejinwa, B.B. Optimization of the cost of power generation of an evolving load profile in a solar photovoltaic-integrated power system. Energy Explor. Exploit. 2019, 37, 1388–1407. [Google Scholar] [CrossRef]
- Yongphet, P.; Wang, J.; Wang, D.; Mulbah, C. Optimization of operation conditions for biodiesel preparation from soybean oil using an electric field. Biomass Convers. Biorefinery 2020. [Google Scholar] [CrossRef]
- Zhao, B.; Wang, Y.; Chen, H.; Qiu, J.; Hou, D. Hydraulic optimization of a double-channel pump’s impeller based on multi-objective genetic algorithm. Chin. J. Mech. Eng. 2015, 28, 634–640. [Google Scholar] [CrossRef]
- Wang, W.; Mo, R.; Zhang, Y. Multi-Objective Aerodynamic Optimization Design Method of Compressor Rotor Based on Isight. Procedia Eng. 2011, 15, 3699–3703. [Google Scholar] [CrossRef][Green Version]
- Poli, R.; Kennedy, J.; Blackwell, T. Particle swarm optimization. In Proceedings of the IEEE International Conference on Neural Networks Proceedings, Perth, Australia, 6 August 2002. [Google Scholar]
- Luo, X. Calculation and Optimization of the Full Three-Dimensional Inverse Design Method of Francis Turbine Impeller; Beijing University: Beijing, China, 1995. [Google Scholar]
- Isight. 5.8.3. September 2013. DS SIMULIA. Available online: http://www.3ds.com/products/simulia/overview/ (accessed on 1 December 2020).
- Schweinsberg, K.; Wegner, L. Advantages of complex SQL types in storing XML documents. Future Gener. Comput. Syst. 2017, 68, 500–507. [Google Scholar] [CrossRef]
- Xu, J.; Wang, L.; Asomani, N. Improvement of Internal Flow Performance of a Centrifugal Pump-As-Turbine (PAT) by Impeller Geometric Optimization. Mathematics 2020, 8, 1714. [Google Scholar] [CrossRef]
- Zangeneh, M.; Bonaiuti, D. On the coupling of inverse design and optimization techniques for the multiobjective, multipoint design of turbomachinery blades. J. Turbomach. 2009, 131, 134149. [Google Scholar]
- Guan, X. Modern Pump Theory and Design; China Aerospace Publishing House: Beijing, China, 2011. [Google Scholar]
- Ji, B.; Luo, X.-W.; Wu, Y.-L.; Liu, S.-H.; Xu, H.-Y.; Oshima, A. Numerical investigation of unsteady cavitating turbulent flow around a full scale marine propeller. J. Hydrodyn. 2010, 22, 705–710. [Google Scholar] [CrossRef]
- Liu, Y.; Hinrichsen, O. Study on CFD-PBM turbulence closures based on k-E, and Reynolds stress models for heterogeneous bubble column flows. Comput. Fluids 2014, 105, 91–100. [Google Scholar] [CrossRef]
- Gao, X.; Shi, W.; Shi, Y.; Chang, H.; Zhao, T. DEM-CFD Simulation and Experiments on the Flow Characteristics of Particles in Vortex Pumps. Water 2020, 12, 2444. [Google Scholar] [CrossRef]
- Zhan, S.; Yang, J.; Wang, Z.; Zhao, R.; Zheng, J.; Wang, J. CFD Simulation of Effect of Interphase Forces and Turbulence Models on Gas–Liquid Two-Phase Flows in Non-Industrial Aluminum Electrolysis Cells. JOM 2017, 69, 1589–1599. [Google Scholar] [CrossRef]
- Zhao, R.; Gosselin, L.; Fafard, M.; Tessier, J.; Ziegler, D.P. Efficiency of pot tightness in reduced pot draft conditions based on multi-length scale CFD simulations. Int. J. Therm. Sci. 2017, 112, 395–407. [Google Scholar] [CrossRef]
- Subhas, S.; Saji, V.F.; Ramakrishna, S.; Das, H.N. CFD Analysis of a Propeller Flow and Cavitation. Int. J. Comput. Appl. 2012, 55, 26–33. [Google Scholar]
- Rijpkema, D.R.; Vaz, G.N.V.B. Viscous flow computations on propulsors: Verification, validation and scale effects. In Proceedings of the Rina Marine Cfd, London, UK, 22 May 2011. [Google Scholar]
- Felli, M.; Camussi, R.; Di Felice, F. Mechanisms of evolution of the propeller wake in the transition and far fields. J. Fluid Mech. 2011, 682, 5–53. [Google Scholar] [CrossRef]
- Bonaiuti, D.; Zangeneh, M.; Aartojarvi, R.; Eriksson, J. Parametric design of a waterjet pump by means of inverse design, CFD calculations and experimental analyses. J. Fluids Eng. 2010, 132, 1–15. [Google Scholar] [CrossRef]
- Cheng, W.T.; Wu, Y.M.; Li, C.; Ma, G.; Zhang, J. Study of three-dimensional numerical simulation on hydro-brake with baffle. J. Drain. Irrig. Mach. Eng. 2018, 36, 50–54. (In Chinese) [Google Scholar]
- Ma, G.F.; Wu, Y.M.; Fang, Y.; Li, C.; Zheng, Y.; Zhang, L. Solid-phase flushing features numerical simulation of three-dimensional multiphase flow in eddy current device. J. Drain. Irrig. Mach. Eng. 2018, 36, 334–339. (In Chinese) [Google Scholar]
- Li, Y.; Wu, Z.C.; Tagawa, K.; Feng, F.; Zhang, T.T.; Bai, R.B.; Li, J.Y. Numerical simulation on aerodynamic characteristics of vertical axis wind turbine with eccentric rotor structure. J. Drain. Irrig. Mach. Eng. 2018, 36, 413–419. [Google Scholar]
- Zhao, Z.Z.; Qian, S.Y.; Shen, W.Z.; Wang, T.G.; Xu, B.F.; Zheng, Y.; Wang, R.X. Numerical simulation of new variable-pitch strategy for H-type wind turbine. J. Drain. Irrig. Mach. Eng. 2018, 36, 230–236. [Google Scholar]
- Gao, X.Q.; Zhang, X.X.; Wang, J.J. Numerical simulation of corrosion inhibitor behavior. J. Drain. Irrig. Mach. Eng. 2017, 35, 50–55. [Google Scholar] [CrossRef]
- Yang, Y.; Qiu, T. Numerical simulation of fan nozzle of guide board type cleaning jet flow field. J. Drain. Irrig. Mach. Eng. 2017, 35, 243–247. [Google Scholar] [CrossRef]


































| Parameter | Setting Value | 
|---|---|
| The maximum number of iterations | 25 | 
| Number of particle groups | 20 | 
| Inertia weight | 0.9 | 
| Global increment | 0.9 | 
| Particle increment | 0.9 | 
| Maximum search speed | 0.1 | 
| Run failure threshold | 1.0 × 1030 | 
| Run failure target value | 1.0 × 1030 | 
| Optimization Variable | Initial Value | Upper and Lower Boundary | 
|---|---|---|
| Rotor placement angle | 64.9° | [55, 70] | 
| Stator placement angle | 77° | [70, 85] | 
| Rotating stator shaft spacing | 26.8 mm | [16, 36] | 
| Tip clearance | 1 mm | [1, 3] | 
| Hub ratio | 0.4 | [0.3, 0.5] | 
| Parts | Y Plus | 
|---|---|
| rotor blades | 4.5 | 
| rotor wall | 20.5 | 
| stator blades | 2.9 | 
| stator wall | 16.8 | 
| Physical Parameter | Definition | 
|---|---|
| Advance Coefficient | |
| Rotating System Thrust Coefficient | |
| Static System Thrust Coefficient | |
| Rotating System Torque Coefficient | |
| Total Thrust Coefficient | |
| Total Torque Coefficient | |
| Propulsion Efficiency | 
| J | Number of Grids | KT | KQ | η | 
|---|---|---|---|---|
| 1.12 | 1,768,631 | 0.235 | 0.0628 | 66.58% | 
| 2,364,892 | 0.241 | 0.0629 | 68.17% | |
| 2,873,435 | 0.234 | 0.0631 | 64.98% | |
| 3,371,002 | 0.239 | 0.0631 | 67.37% | |
| 3,812,531 | 0.240 | 0.0633 | 67.46% | |
| 4,371,656 | 0.241 | 0.0635 | 67.52% | 
| Publisher’s Note: MDPI stays neutral with regard to jurisdictional claims in published maps and institutional affiliations. | 
© 2021 by the authors. Licensee MDPI, Basel, Switzerland. This article is an open access article distributed under the terms and conditions of the Creative Commons Attribution (CC BY) license (http://creativecommons.org/licenses/by/4.0/).
Share and Cite
Zhou, Y.; Wang, L.; Yuan, J.; Luo, W.; Fu, Y.; Chen, Y.; Wang, Z.; Xu, J.; Lu, R. Comparative Investigation on Hydrodynamic Performance of Pump-Jet Propulsion Designed by Direct and Inverse Design Methods. Mathematics 2021, 9, 343. https://doi.org/10.3390/math9040343
Zhou Y, Wang L, Yuan J, Luo W, Fu Y, Chen Y, Wang Z, Xu J, Lu R. Comparative Investigation on Hydrodynamic Performance of Pump-Jet Propulsion Designed by Direct and Inverse Design Methods. Mathematics. 2021; 9(4):343. https://doi.org/10.3390/math9040343
Chicago/Turabian StyleZhou, Yunkai, Longyan Wang, Jianping Yuan, Wei Luo, Yanxia Fu, Yang Chen, Zilu Wang, Jian Xu, and Rong Lu. 2021. "Comparative Investigation on Hydrodynamic Performance of Pump-Jet Propulsion Designed by Direct and Inverse Design Methods" Mathematics 9, no. 4: 343. https://doi.org/10.3390/math9040343
APA StyleZhou, Y., Wang, L., Yuan, J., Luo, W., Fu, Y., Chen, Y., Wang, Z., Xu, J., & Lu, R. (2021). Comparative Investigation on Hydrodynamic Performance of Pump-Jet Propulsion Designed by Direct and Inverse Design Methods. Mathematics, 9(4), 343. https://doi.org/10.3390/math9040343
 
         
                                                



 
       