Reliable Efficient Difference Methods for Random Heterogeneous Diffusion Reaction Models with a Finite Degree of Randomness
Abstract
1. Introduction
2. Preliminaries and Construction of the Random Finite Difference Scheme
3. Properties of the Random Numerical Scheme: Positivity, Stability and Consistency
- Case 1.
- , .
- Case 2.
4. Algorithm
| Algorithm 1 Procedure to compute the approximations to the expectation and the standard deviation of the numerical solution of the problem (3)–(6). |
|
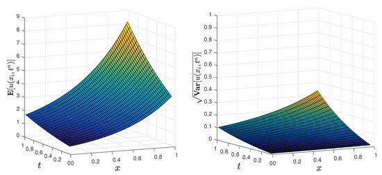
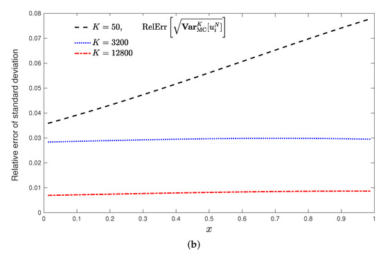
Numerical Example
5. Conclusions
Author Contributions
Funding
Data Availability Statement
Conflicts of Interest
References
- Hundsdorfer, W.; Verwer, J.G. Numerical Solution of Time-Dependent Advection-Diffusion-Reaction Equations; Springer: New York, NY, USA, 2003. [Google Scholar]
- Smith, G.D. Numerical Solution of Partial Differential Equations: Finite Difference Methods, 3rd ed.; Clarendon Press: Oxford, UK, 1985. [Google Scholar]
- Bharucha-Reid, A.T. On the Theory of Random Equations. In Stochastic Processes in Mathematical Physics and Engineering. Proceedings of Symposia in Applied Mathematics; American Mathematical Society: Providence, PI, USA, 1964; Volume XVI, pp. 40–69. [Google Scholar]
- Bharucha-Reid, A.T. Probabilistic Methods in Applied Mathematics; Academic Press, Inc.: New York, NY, USA, 1973. [Google Scholar]
- Torquato, S. Random Heterogeneous Materials: Microstructure and Macroscopic Properties; Springer: New York, NY, USA, 2002. [Google Scholar]
- Vanmarcke, E. Random Fields: Analysis and Synthesis; World Scientific Publishing Co. Inc.: London, UK, 2010. [Google Scholar]
- Farlow, S.J. Partial Differential Equations for Scientists and Engineers; Dover: New York, NY, USA, 1993. [Google Scholar]
- Casabán, M.-C.; Company, R.; Egorova, V.; Jódar, L. Integral transform solution of random coupled parabolic partial differential models. Math. Meth. Appl. Sci. 2020, 43, 8223–8236. [Google Scholar] [CrossRef]
- Gunzburger, M.D.; Webster, C.G.; Zhang, G. Stochastic finite element methods for partial differential equations with random input data. Acta Numer. 2014, 23, 521–650. [Google Scholar] [CrossRef]
- Casabán, M.-C.; Company, R.; Jódar, L. Numerical solutions of random mean square Fisher-KPP models with advection. Math. Meth. Appl. Sci. 2020, 43, 8015–8031. [Google Scholar] [CrossRef]
- Cortés, J.-C.; Romero, J.-V.; Roselló, M.-D.; Sohaly, M.A. Solving random boundary heat model using the finite difference method under mean square convergence. Comp. Math. Meth. 2019, 1, e1026. [Google Scholar] [CrossRef]
- Sohaly, M.A. Random difference scheme for diffusion advection model. Adv. Differ. Equ. 2019, 2019, 54. [Google Scholar] [CrossRef]
- Øksendal, B. Stochastic Differential Equations. An Introduction with Applications, 5th ed.; Springer: Berlin/Heidelberg, Germany, 2003. [Google Scholar]
- Soong, T.T. Random Differential Equations in Science and Engineering; Academic Press: New York, NY, USA, 1973. [Google Scholar]
- Kroese, D.P.; Taimre, T.; Botev, Z.I. Handbook of Monte Carlo Methods; Wiley Series in Probability and Statistics; John Wiley & Sons: New York, NY, USA, 2011. [Google Scholar]
- Asmussen, S.; Glynn, P.W. Stochastic Simulation: Algorithms and Analysis; Rozovskii, B., Grimmett, G., Eds.; Springer Science & Business Media, LLC: New York, NY, USA, 2007. [Google Scholar]
- Özişik, M.N. Boundary Value Problems of Heat Conduction; Dover Publications, Inc.: New York, NY, USA, 1968. [Google Scholar]
- Polyanin, A.D.; Nazaikinskii, V.E. Handbook of Linear Partial Differential Equations for Engineers and Scientists; Taylor & Francis Group: Boca Raton, FL, USA, 2016. [Google Scholar]
- Jódar, L.; Caudillo, L.A. A low computational cost numerical method for solving mixed diffusion problems. Appl. Math. Comput. 2005, 170, 673–685. [Google Scholar] [CrossRef]
- Coatléven, J. A virtual volume method for heterogeneous and anisotropic diffusion-reaction problems on general meshes. Esaim Math. Model. Numer. Anal. 2017, 51, 797–824. [Google Scholar] [CrossRef][Green Version]
- Wolfram Research, Inc. Mathematica; Version 12.0; Mathematica Wolfram Research, Inc.: Champaign, IL, USA, 2020; Available online: https://www.wolfram.com/mathematica (accessed on 7 December 2020).



| K | RMSE | RMSE |
|---|---|---|
| 50 | 10 | 10 |
| 200 | 10 | 10 |
| 800 | 10 | 10 |
| 3200 | 10 | 10 |
| 12,800 | 10 | 10 |
| h | k | RMSE | RMSE |
|---|---|---|---|
| K | CPU,s |
|---|---|
| 50 | |
| 200 | |
| 800 | |
| 3200 | |
| 12,800 | 22,600.100 |
| h | k | CPU,s |
|---|---|---|
Publisher’s Note: MDPI stays neutral with regard to jurisdictional claims in published maps and institutional affiliations. |
© 2021 by the authors. Licensee MDPI, Basel, Switzerland. This article is an open access article distributed under the terms and conditions of the Creative Commons Attribution (CC BY) license (http://creativecommons.org/licenses/by/4.0/).
Share and Cite
Casabán, M.C.; Company, R.; Jódar, L. Reliable Efficient Difference Methods for Random Heterogeneous Diffusion Reaction Models with a Finite Degree of Randomness. Mathematics 2021, 9, 206. https://doi.org/10.3390/math9030206
Casabán MC, Company R, Jódar L. Reliable Efficient Difference Methods for Random Heterogeneous Diffusion Reaction Models with a Finite Degree of Randomness. Mathematics. 2021; 9(3):206. https://doi.org/10.3390/math9030206
Chicago/Turabian StyleCasabán, María Consuelo, Rafael Company, and Lucas Jódar. 2021. "Reliable Efficient Difference Methods for Random Heterogeneous Diffusion Reaction Models with a Finite Degree of Randomness" Mathematics 9, no. 3: 206. https://doi.org/10.3390/math9030206
APA StyleCasabán, M. C., Company, R., & Jódar, L. (2021). Reliable Efficient Difference Methods for Random Heterogeneous Diffusion Reaction Models with a Finite Degree of Randomness. Mathematics, 9(3), 206. https://doi.org/10.3390/math9030206

