Predicting the Dynamic Response of Dual-Rotor System Subject to Interval Parametric Uncertainties Based on the Non-Intrusive Metamodel
Abstract
1. Introduction
2. Model Description and Motion Equations
3. Non-Intrusive Interval Analysis of the System Based on Meta-Modeling
4. Results and Discussions
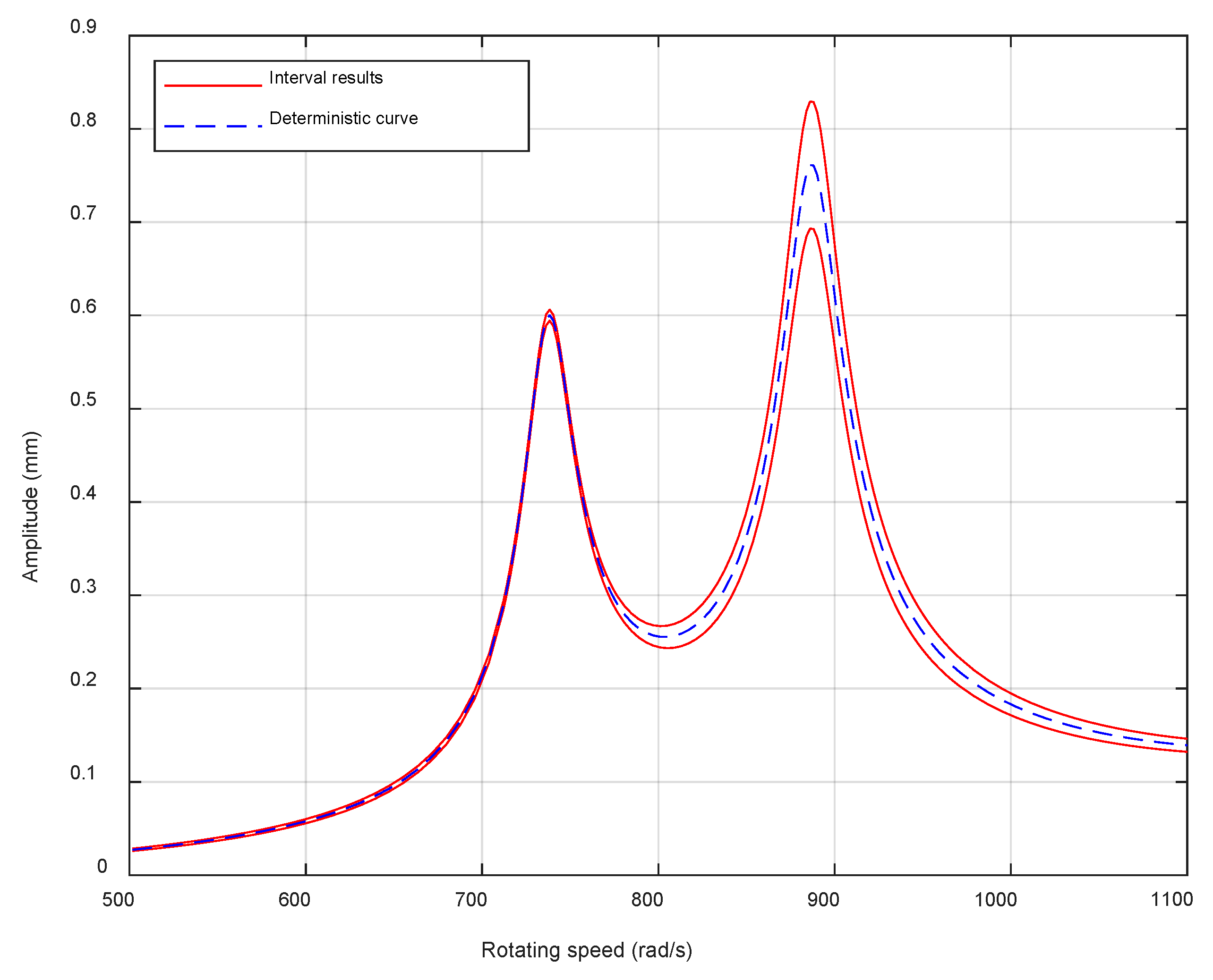
4.1. Effect of Interval Mass Eccentricity
4.2. Effect of Interval Bearing Stiffness
4.3. Effect of Interval Geometric Length
4.4. Effect of Multi Interval Parameters
5. Conclusions
Author Contributions
Funding
Conflicts of Interest
References
- Stanković, M.; Stević, Ž.; Das, D.K.; Subotić, M.; Pamučar, D. A new fuzzy MARCOS method for road traffic risk analysis. Mathematics 2020, 8, 457. [Google Scholar] [CrossRef]
 - Roy, J.; Das, S.; Kar, S.; Pamučar, D. An extension of the CODAS approach using interval-valued intuitionistic fuzzy set for sustainable material selection in construction projects with incomplete weight information. Symmetry 2019, 11, 393. [Google Scholar] [CrossRef]
 - Gupta, K.; Gupta, K.D.; Athre, K. Unbalance response of a dual rotor system: Theory and experiment. J. Vib. Acoust. 1993, 115, 427–435. [Google Scholar] [CrossRef]
 - Yang, Y.; Cao, D.; Wang, D.; Jiang, G. Fixed-point rubbing characteristic analysis of a dual-rotor system based on the Lankarani-Nikravesh model. Mech. Mach. Theory 2016, 103, 202–221. [Google Scholar] [CrossRef]
 - Wang, N.; Jiang, D.; Behdinan, K. Vibration response analysis of rubbing faults on a dual-rotor bearing system. Arch. Appl. Mech. 2017, 87, 1–17. [Google Scholar] [CrossRef]
 - Childs, D.W. A modal transient rotordynamic model for dual-rotor jet engine systems. J. Eng. Ind. 1976, 98, 876–882. [Google Scholar] [CrossRef]
 - Zhou, H.; Chen, G. Dynamic response analysis of dual rotor-ball bearing-stator coupling system for aero-engine. J. Aerosp. Power 2009, 24, 1284–1291. [Google Scholar]
 - Hou, L.; Chen, Y.; Fu, Y.; Chen, H.; Lu, Z.; Liu, Z. Application of the HB–AFT method to the primary resonance analysis of a dual-rotor system. Nonlinear Dynam. 2017, 88, 2531–2551. [Google Scholar] [CrossRef]
 - Luo, G.; Hu, X.; Yang, X. Nonlinear dynamic performance analysis of counter-rotating dual-rotor system. J. Vib. Eng. 2009, 22, 268–273. [Google Scholar]
 - Chiang, H.W.D.; Hsu, C.N.; Tu, S.H. Rotor-bearing analysis for turbomachinery single- and dual-rotor systems. J. Propul. Power 2012, 20, 1096–1104. [Google Scholar] [CrossRef]
 - Miao, H.; Zang, C.; Friswell, M. Model updating and validation of a dual-rotor system. In Proceedings of the 26th International Conference on Noise and Vibration Engineering, KU Leuven, Leuven, Belgium, 15–17 September 2014. [Google Scholar]
 - Fu, C.; Ren, X.; Yang, Y. Vibration analysis of rotors under uncertainty based on Legendre series. J. Vib. Eng. Technol. 2019, 7, 43–51. [Google Scholar] [CrossRef]
 - Elishakoff, I.; Sarlin, N. Uncertainty quantification based on pillars of experiment, theory, and computation. Part II: Theory and computation. Mech. Syst. Signal Process. 2016, 74, 54–72. [Google Scholar] [CrossRef]
 - Soize, C. Maximum entropy approach for modeling random uncertainties in transient elastodynamics. J. Acoust. Soc. Amer. 2001, 109, 1979–1996. [Google Scholar] [CrossRef] [PubMed]
 - Fu, C.; Ren, X.; Yang, Y.; Lu, K.; Wang, Y. Nonlinear response analysis of a rotor system with a transverse breathing crack under interval uncertainties. Int. J. Nonlin. Mech. 2018, 105, 77–87. [Google Scholar] [CrossRef]
 - Ma, Y.; Wang, Y.; Wang, C.; Hong, J. Nonlinear interval analysis of rotor response with joints under uncertainties. Chin. J. Aeronaut. 2020, 33, 205–218. [Google Scholar] [CrossRef]
 - Sinou, J.J.; Nechak, L.; Besset, S. Kriging metamodeling in rotordynamics: Application for predicting critical speeds and vibrations of a flexible rotor. Complexity 2018, 1264619. [Google Scholar] [CrossRef]
 - Fu, C.; Xu, Y.; Yang, Y.; Lu, K.; Gu, F.; Ball, A. Response analysis of an accelerating unbalanced rotating system with both random and interval variables. J. Sound Vib. 2020, 466, 115047. [Google Scholar] [CrossRef]
 - Yang, Y.; Wu, Q.; Wang, Y.; Qin, W.; Lu, K. Dynamic characteristics of cracked uncertain hollow-shaft. Mech. Syst. Signal Process. 2019, 124, 36–48. [Google Scholar]
 - Didier, J.; Faverjon, B.; Sinou, J.-J. Analysing the dynamic response of a rotor system under uncertain parameters by polynomial chaos expansion. J. Vib. Control 2012, 18, 712–732. [Google Scholar] [CrossRef]
 - Sinou, J.J.; Didier, J.; Faverjon, B. Stochastic non-linear response of a flexible rotor with local non-linearities. Int. J. Nonlin. Mech. 2015, 74, 92–99. [Google Scholar] [CrossRef]
 - Sinou, J.-J.; Jacquelin, E. Influence of Polynomial Chaos expansion order on an uncertain asymmetric rotor system response. Mech. Syst. Signal Process. 2015, 50, 718–731. [Google Scholar] [CrossRef]
 - Gan, C.; Wang, Y.; Yang, S.; Cao, Y. Nonparametric modeling and vibration analysis of uncertain Jeffcott rotor with disc offset. Int. J. Mech. Sci. 2014, 78, 126–134. [Google Scholar] [CrossRef]
 - Murthy, R.; Tomei, J.C.; Wang, X.Q.; Mignolet, M.P.; El-Shafei, A. Nonparametric stochastic modeling of structural uncertainty in rotordynamics: Unbalance and balancing aspects. J. Eng. Gas Turb. Power 2014, 136, 062506. [Google Scholar] [CrossRef]
 - Liu, X.; Gu, Z.; Wang, Z. Response analysis on aero-engine dual-rotor system under random excitation. J. Propul. Tech. 2012, 33, 43–46. [Google Scholar]
 - Koroishi, E.H.; Cavalini, A.A., Jr.; de Lima, A.M.; Steffen, V., Jr. Stochastic modeling of flexible rotors. J. Braz. Soc. Mech. Sci. Eng. 2012, 34, 574–583. [Google Scholar] [CrossRef]
 - Wu, J.; Zhang, Y.; Chen, L.; Luo, Z. A Chebyshev interval method for nonlinear dynamic systems under uncertainty. Appl. Math. Model. 2013, 37, 4578–4591. [Google Scholar] [CrossRef]
 - Wu, J.; Luo, Z.; Zhang, N.; Zhang, Y. A new interval uncertain optimization method for structures using Chebyshev surrogate models. Comput. Struct. 2015, 146, 185–196. [Google Scholar] [CrossRef]
 - Wu, J.; Luo, Z.; Zhang, Y.; Zhang, N.; Chen, L. Interval uncertain method for multibody mechanical systems using Chebyshev inclusion functions. Int. J. Numer. Methods Engin. 2013, 95, 608–630. [Google Scholar] [CrossRef]
 - Fu, C.; Ren, X.; Yang, Y.; Lu, K.; Qin, W. Steady-state response analysis of cracked rotors with uncertain-but-bounded parameters using a polynomial surrogate method. Commun. Nonlinear Sci. Numer. Simulat. 2019, 68, 240–256. [Google Scholar] [CrossRef]
 - Fu, C.; Ren, X.; Yang, Y.; Xia, Y.; Deng, W. An interval precise integration method for transient unbalance response analysis of rotor system with uncertainty. Mech. Syst. Signal Process. 2018, 107, 137–148. [Google Scholar] [CrossRef]
 - Hu, Q.; Deng, S.; Teng, H. A 5-DOF model for aeroengine spindle dual-rotor system analysis. Chin. J. Aeronaut. 2011, 24, 224–234. [Google Scholar] [CrossRef]
 - Sun, C.; Chen, Y.; Hou, L. Steady-state response characteristics of a dual-rotor system induced by rub-impact. Nonlinear Dynam. 2016, 86, 1–15. [Google Scholar] [CrossRef]
 - Qin, Z.; Chu, F.; Zu, J. Free vibrations of cylindrical shells with arbitrary boundary conditions: A comparison study. Int. J. Mech. Sci. 2017, 133, 91–99. [Google Scholar] [CrossRef]
 - Jacquelin, E.; Adhikari, S.; Friswell, M.; Sinou, J.-J. Role of roots of orthogonal polynomials in the dynamic response of stochastic systems. J. Eng. Mech. 2016, 142, 06016004. [Google Scholar] [CrossRef]
 - Isukapalli, S.S. Uncertainty Analysis of Transport-Transformation Models. Diss. Theses Gradworks 1999, 57, 31–32. [Google Scholar]
 - Lu, Z.; Zhong, S.; Chen, H.; Chen, Y.; Han, J.; Wang, C. Modeling and dynamic characteristics analysis of blade-disk dual-rotor system. Complexity 2020, 2493169. [Google Scholar] [CrossRef]
 - Lu, K.; Jin, Y.; Chen, Y.; Yang, Y.; Hou, L.; Zhang, Z.; Li, Z.; Fu, C. Review for order reduction based on proper orthogonal decomposition and outlooks of applications in mechanical systems. Mech. Syst. Signal Process. 2019, 123, 264–297. [Google Scholar] [CrossRef]
 - Guo, X.; Ma, H.; Zhang, X.; Ye, Z.; Fu, Q.; Liu, Z.; Han, Q. Uncertain frequency responses of clamp-pipeline systems using an interval-based method. IEEE Access 2020, 8, 29370–29384. [Google Scholar] [CrossRef]
 - Zheng, Z.; Xie, Y.; Zhang, D. Numerical investigation on the gravity response of a two-pole generator rotor system with interval uncertainties. Appl. Sci. 2019, 9, 3036. [Google Scholar] [CrossRef]
 - Liu, B.; Yin, X.; Jian, K.; Wu, Y. Perturbation transfer matrix method for eigendata of one-dimensional structural system with parameter uncertainties. Appl. Math. Mech. 2003, 24, 801–807. [Google Scholar]
 - Ma, X.; Ma, H.; Zeng, J.; Piao, Y. Rubbing-induced vibration response analysis of dual-rotor-casing system. Trans. Nanjing Univ. Aero. Astro. 2018, 35, 101–108. [Google Scholar]
 









© 2020 by the authors. Licensee MDPI, Basel, Switzerland. This article is an open access article distributed under the terms and conditions of the Creative Commons Attribution (CC BY) license (http://creativecommons.org/licenses/by/4.0/).
Share and Cite
Fu, C.; Feng, G.; Ma, J.; Lu, K.; Yang, Y.; Gu, F. Predicting the Dynamic Response of Dual-Rotor System Subject to Interval Parametric Uncertainties Based on the Non-Intrusive Metamodel. Mathematics 2020, 8, 736. https://doi.org/10.3390/math8050736
Fu C, Feng G, Ma J, Lu K, Yang Y, Gu F. Predicting the Dynamic Response of Dual-Rotor System Subject to Interval Parametric Uncertainties Based on the Non-Intrusive Metamodel. Mathematics. 2020; 8(5):736. https://doi.org/10.3390/math8050736
Chicago/Turabian StyleFu, Chao, Guojin Feng, Jiaojiao Ma, Kuan Lu, Yongfeng Yang, and Fengshou Gu. 2020. "Predicting the Dynamic Response of Dual-Rotor System Subject to Interval Parametric Uncertainties Based on the Non-Intrusive Metamodel" Mathematics 8, no. 5: 736. https://doi.org/10.3390/math8050736
APA StyleFu, C., Feng, G., Ma, J., Lu, K., Yang, Y., & Gu, F. (2020). Predicting the Dynamic Response of Dual-Rotor System Subject to Interval Parametric Uncertainties Based on the Non-Intrusive Metamodel. Mathematics, 8(5), 736. https://doi.org/10.3390/math8050736
        
