Figure 1.
The graph of Hazard function of IEHLD.
Figure 1.
The graph of Hazard function of IEHLD.
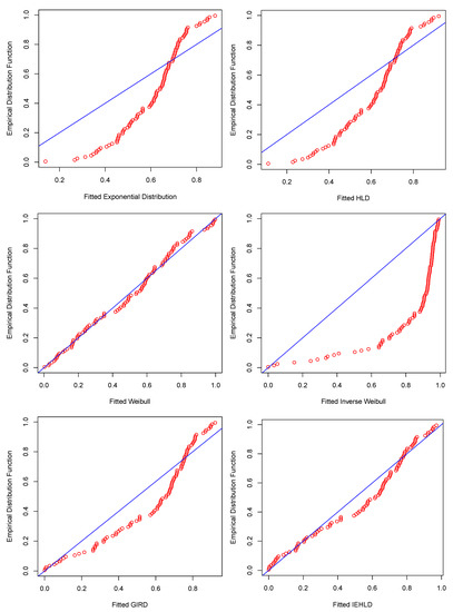
Figure 2.
Q-Q plots of fitting different models to the practical data.
Figure 2.
Q-Q plots of fitting different models to the practical data.
Table 1.
Maximum likelihood estimates and MSEs of parameters and reliability and hazard functions when , , , , , N = 1000.
Table 1.
Maximum likelihood estimates and MSEs of parameters and reliability and hazard functions when , , , , , N = 1000.
k | n | m | Scheme | | | | |
---|
EV | MSE | EV | MSE | EV | MSE | EV | MSE |
---|
3 | 30 | 15 | (15,0*14) | 0.3619 | 0.0342 | 1.4697 | 0.1403 | 0.6082 | 0.0091 | 0.2304 | 0.0124 |
| | (0*6,10,5,0*7) | 0.3763 | 0.0413 | 1.4531 | 0.1186 | 0.6017 | 0.0103 | 0.2390 | 0.0149 |
| | ((2,0)*7,1) | 0.3840 | 0.0593 | 1.4451 | 0.1285 | 0.6013 | 0.0110 | 0.2430 | 0.0194 |
| 20 | (10,0*19) | 0.3402 | 0.0135 | 1.4734 | 0.1189 | 0.6172 | 0.0053 | 0.2173 | 0.0050 |
| | ((2,0)*2,(1,0)*6,0*4) | 0.3480 | 0.0198 | 1.4622 | 0.1146 | 0.6153 | 0.0062 | 0.2217 | 0.0071 |
| | ((0*3,1*4)*2,1,1,0*4) | 0.3543 | 0.0208 | 1.4477 | 0.1045 | 0.6114 | 0.0064 | 0.2257 | 0.0075 |
| 30 | (0*30) | 0.3184 | 0.0064 | 1.4746 | 0.0773 | 0.6303 | 0.0029 | 0.2040 | 0.0024 |
50 | 25 | (25,0*24) | 0.3322 | 0.0090 | 1.4719 | 0.0850 | 0.6197 | 0.0040 | 0.2127 | 0.0034 |
| | (0*8,2,3*7,2,0*8) | 0.3405 | 0.0166 | 1.4777 | 0.0758 | 0.6158 | 0.0057 | 0.2179 | 0.0063 |
| | (3*6,0*12,1*7) | 0.3418 | 0.0141 | 1.4710 | 0.0816 | 0.6143 | 0.0050 | 0.2187 | 0.0053 |
| 30 | (20,0*29) | 0.3224 | 0.0075 | 1.4854 | 0.0752 | 0.6254 | 0.0033 | 0.2067 | 0.0028 |
| | ((2,0,0)*10) | 0.3350 | 0.0104 | 1.4737 | 0.0684 | 0.6169 | 0.0040 | 0.2147 | 0.0039 |
| | (0*29,20) | 0.3436 | 0.0166 | 1.4734 | 0.0807 | 0.6141 | 0.0051 | 0.2197 | 0.0061 |
| 50 | (0*50) | 0.3154 | 0.0037 | 1.4811 | 0.0538 | 0.6284 | 0.0018 | 0.2026 | 0.0014 |
5 | 30 | 15 | (15,0*14) | 0.3709 | 0.0452 | 1.4658 | 0.1099 | 0.6044 | 0.0102 | 0.2359 | 0.0163 |
| | (0*6,10,5,0*7) | 0.4012 | 0.0647 | 1.4465 | 0.1042 | 0.5883 | 0.0143 | 0.2547 | 0.0235 |
| | ((2,0)*7,1) | 0.4429 | 0.1922 | 1.4273 | 0.1170 | 0.5777 | 0.0188 | 0.2785 | 0.0607 |
| 20 | (10,0*19) | 0.3482 | 0.0196 | 1.4694 | 0.0836 | 0.6120 | 0.0067 | 0.2226 | 0.0073 |
| | ((2,0)*2,(1,0)*6,0*4) | 0.3647 | 0.0298 | 1.4480 | 0.0872 | 0.6049 | 0.0084 | 0.2325 | 0.0110 |
| | ((0*3,1*4)*2,1,1,0*4) | 0.3644 | 0.0324 | 1.4589 | 0.0874 | 0.6050 | 0.0089 | 0.2325 | 0.0121 |
| 30 | (0*30) | 0.3308 | 0.0099 | 1.4790 | 0.0694 | 0.6203 | 0.0038 | 0.2119 | 0.0037 |
50 | 25 | (25,0*24) | 0.3401 | 0.0147 | 1.4683 | 0.0705 | 0.6158 | 0.0055 | 0.2177 | 0.0056 |
| | (0*8,2,3*7,2,0*8) | 0.3491 | 0.0222 | 1.4812 | 0.0615 | 0.6098 | 0.0075 | 0.2235 | 0.0084 |
| | (3*6,0*12,1*7) | 0.3474 | 0.0188 | 1.4680 | 0.0649 | 0.6115 | 0.0062 | 0.2222 | 0.0070 |
| 30 | (20,0*29) | 0.3280 | 0.0100 | 1.4833 | 0.0671 | 0.6221 | 0.0039 | 0.2103 | 0.0038 |
| | ((2,0,0)*10) | 0.3450 | 0.0145 | 1.4634 | 0.0521 | 0.6103 | 0.0054 | 0.2211 | 0.0055 |
| | (0*29,20) | 0.3609 | 0.0251 | 1.4530 | 0.0715 | 0.6053 | 0.0076 | 0.2305 | 0.0094 |
| 50 | (0*50) | 0.3127 | 0.0045 | 1.4872 | 0.04174 | 0.6302 | 0.0021 | 0.2010 | 0.0017 |
Table 2.
Maximum likelihood estimates and MSEs of parameters and reliability and hazard functions when , , , , , N = 1000.
Table 2.
Maximum likelihood estimates and MSEs of parameters and reliability and hazard functions when , , , , , N = 1000.
k | n | m | Scheme | | | | |
---|
EV | MSE | EV | MSE | EV | MSE | EV | MSE |
---|
3 | 30 | 15 | (15,0*14) | 0.3521 | 0.0260 | 0.7766 | 0.0377 | 0.7480 | 0.0038 | 0.2006 | 0.0057 |
| | (0*6,10,5,0*7) | 0.3832 | 0.0531 | 0.7729 | 0.0388 | 0.7390 | 0.0051 | 0.2152 | 0.0111 |
| | ((2,0)*7,1) | 0.3899 | 0.0576 | 0.7708 | 0.0341 | 0.7351 | 0.0050 | 0.2190 | 0.0121 |
| 20 | (10,0*19) | 0.3410 | 0.0169 | 0.7849 | 0.0326 | 0.7480 | 0.0029 | 0.1965 | 0.0040 |
| | ((2,0)*2,(1,0)*6,0*4) | 0.3463 | 0.0213 | 0.7744 | 0.0278 | 0.7484 | 0.0027 | 0.1985 | 0.0044 |
| | ((0*3,1*4)*2,1,1,0*4) | 0.3517 | 0.0215 | 0.7845 | 0.0289 | 0.7434 | 0.0031 | 0.2021 | 0.0050 |
| 30 | (0*30) | 0.3250 | 0.0085 | 0.7861 | 0.0253 | 0.6395 | 0.0034 | 0.1885 | 0.0021 |
50 | 25 | (25,0*24) | 0.3266 | 0.0089 | 0.7988 | 0.0250 | 0.7495 | 0.0021 | 0.1905 | 0.0023 |
| | (0*8,2,3*7,2,0*8) | 0.3384 | 0.0120 | 0.7752 | 0.0300 | 0.7504 | 0.0024 | 0.1949 | 0.0028 |
| | (3*6,0*12,1*7) | 0.3343 | 0.0123 | 0.7832 | 0.0207 | 0.7492 | 0.0022 | 0.1942 | 0.0032 |
| 30 | (20,0*29) | 0.3253 | 0.0087 | 0.7798 | 0.0220 | 0.6407 | 0.0028 | 0.1891 | 0.0023 |
| | ((2,0,0)*10) | 0.3296 | 0.0094 | 0.7779 | 0.0195 | 0.6409 | 0.0027 | 0.1913 | 0.0023 |
| | (0*29,20) | 0.3403 | 0.0149 | 0.7825 | 0.0222 | 0.6400 | 0.0030 | 0.1967 | 0.0035 |
| 50 | (0*50) | 0.3135 | 0.0038 | 0.7938 | 0.0134 | 0.6335 | 0.0017 | 0.1844 | 0.0011 |
5 | 30 | 15 | (15,0*14) | 0.3735 | 0.0495 | 0.7845 | 0.0318 | 0.7366 | 0.0051 | 0.2127 | 0.0104 |
| | (0*6,10,5,0*7) | 0.4006 | 0.0608 | 0.7640 | 0.0289 | 0.7292 | 0.0060 | 0.2262 | 0.0137 |
| | ((2,0)*7,1) | 0.4381 | 0.1288 | 0.7615 | 0.0318 | 0.7208 | 0.0092 | 0.2434 | 0.0278 |
| 20 | (10,0*19) | 0.3505 | 0.0202 | 0.7774 | 0.0251 | 0.7442 | 0.0032 | 0.2021 | 0.0051 |
| | ((2,0)*2,(1,0)*6,0*4) | 0.3604 | 0.0237 | 0.7718 | 0.0242 | 0.7409 | 0.0035 | 0.2071 | 0.0059 |
| | ((0*3,1*4)*2,1,1,0*4) | 0.3729 | 0.0508 | 0.7698 | 0.0259 | 0.7392 | 0.0040 | 0.2120 | 0.0100 |
| 30 | (0*30) | 0.3264 | 0.0093 | 0.7878 | 0.0197 | 0.6373 | 0.0025 | 0.1902 | 0.0024 |
50 | 25 | (25,0*24) | 0.3377 | 0.0129 | 0.7890 | 0.0189 | 0.7451 | 0.0023 | 0.1968 | 0.0034 |
| | (0*8,2,3*7,2,0*8) | 0.3449 | 0.0184 | 0.7783 | 0.0226 | 0.7468 | 0.0026 | 0.1989 | 0.0044 |
| | (3*6,0*12,1*7) | 0.3507 | 0.0209 | 0.7857 | 0.0199 | 0.7414 | 0.0032 | 0.2032 | 0.0054 |
| 30 | (20,0*29) | 0.3303 | 0.0101 | 0.7876 | 0.0172 | 0.6368 | 0.0023 | 0.1926 | 0.0026 |
| | ((2,0,0)*10) | 0.3502 | 0.0199 | 0.7773 | 0.0169 | 0.6404 | 0.0023 | 0.2028 | 0.0049 |
| | (0*29,20) | 0.3490 | 0.0208 | 0.7834 | 0.0185 | 0.6387 | 0.0025 | 0.2020 | 0.0053 |
| 50 | (0*50) | 0.3212 | 0.0048 | 0.7841 | 0.0120 | 0.6366 | 0.0016 | 0.1884 | 0.0013 |
Table 3.
Lindley approximation values and MSEs of parameters and reliability and hazard functions under SELF using noninformative priors when , , , , , , , , , N = 1000.
Table 3.
Lindley approximation values and MSEs of parameters and reliability and hazard functions under SELF using noninformative priors when , , , , , , , , , N = 1000.
k | n | m | Scheme | | | | |
---|
EV | MSE | EV | MSE | EV | MSE | EV | MSE |
---|
3 | 30 | 20 | (10,0*19) | 0.3318 | 0.0126 | 0.8374 | 0.0371 | 0.7496 | 0.0025 | 0.2044 | 0.0038 |
| | ((2,0)*2,(1,0)*6,0*4) | 0.3502 | 0.0233 | 0.8261 | 0.0390 | 0.7457 | 0.0030 | 0.2124 | 0.0062 |
| | ((0*3,1*4)*2,1,1,0*4) | 0.3472 | 0.0243 | 0.8445 | 0.0402 | 0.7435 | 0.0028 | 0.2116 | 0.0064 |
| 30 | (0*30) | 0.3217 | 0.0070 | 0.8298 | 0.0294 | 0.7518 | 0.0017 | 0.1970 | 0.0022 |
50 | 25 | (25,0*24) | 0.3266 | 0.0096 | 0.8127 | 0.0244 | 0.7525 | 0.0027 | 0.1990 | 0.0031 |
| | (0*8,2,3*7,2,0*8) | 0.3455 | 0.0161 | 0.8187 | 0.0245 | 0.7432 | 0.0023 | 0.2082 | 0.0047 |
| | (3*6,0*12,1*7) | 0.3329 | 0.0135 | 0.8257 | 0.0268 | 0.7489 | 0.0022 | 0.2013 | 0.0039 |
| 30 | (20,0*29) | 0.3212 | 0.0070 | 0.8250 | 0.0244 | 0.7512 | 0.0018 | 0.1959 | 0.0022 |
| | ((2,0,0)*10) | 0.3288 | 0.0096 | 0.8262 | 0.0229 | 0.7485 | 0.0017 | 0.1993 | 0.0028 |
| | (0*29,20) | 0.3379 | 0.0149 | 0.8216 | 0.0250 | 0.7479 | 0.0020 | 0.2040 | 0.0043 |
| 50 | (0*50) | 0.3095 | 0.0033 | 0.8170 | 0.0163 | 0.7556 | 0.0010 | 0.1876 | 0.0010 |
5 | 30 | 20 | (10,0*19) | 0.3550 | 0.0283 | 0.8218 | 0.0303 | 0.7420 | 0.0031 | 0.2143 | 0.0074 |
| | ((2,0)*2,(1,0)*6,0*4) | 0.3620 | 0.0320 | 0.8272 | 0.0317 | 0.7392 | 0.0035 | 0.2175 | 0.0084 |
| | ((0*3,1*4)*2,1,1,0*4) | 0.3690 | 0.0374 | 0.8201 | 0.0295 | 0.7388 | 0.0039 | 0.2208 | 0.0101 |
| 30 | (0*30) | 0.3271 | 0.0093 | 0.8298 | 0.0221 | 0.7476 | 0.0019 | 0.1988 | 0.0029 |
50 | 25 | (25,0*24) | 0.3385 | 0.0124 | 0.8115 | 0.0211 | 0.7465 | 0.0020 | 0.2041 | 0.0037 |
| | (0*8,2,3*7,2,0*8) | 0.3737 | 0.0331 | 0.8075 | 0.0212 | 0.7347 | 0.0038 | 0.2223 | 0.0093 |
| | (3*6,0*12,1*7) | 0.3954 | 0.0690 | 0.8255 | 0.0285 | 0.7312 | 0.0052 | 0.2335 | 0.0173 |
| 30 | (20,0*29) | 0.3258 | 0.0087 | 0.8202 | 0.0188 | 0.7495 | 0.0017 | 0.1970 | 0.0027 |
| | ((2,0,0)*10) | 0.3399 | 0.0160 | 0.8186 | 0.0194 | 0.7452 | 0.0023 | 0.2039 | 0.0046 |
| | (0*29,20) | 0.3729 | 0.0395 | 0.8174 | 0.0255 | 0.7360 | 0.0036 | 0.2213 | 0.0105 |
| 50 | (0*50) | 0.3157 | 0.0044 | 0.8159 | 0.0117 | 0.7511 | 0.0010 | 0.1904 | 0.0013 |
Table 4.
Lindley approximation values and MSEs of parameters and reliability and hazard functions under SELF when , , , , , , , , , N = 1000.
Table 4.
Lindley approximation values and MSEs of parameters and reliability and hazard functions under SELF when , , , , , , , , , N = 1000.
k | n | m | Scheme | | | | |
---|
EV | MSE | EV | MSE | EV | MSE | EV | MSE |
---|
3 | 30 | 20 | (10,0*19) | 0.3089 | 0.0040 | 0.8028 | 0.0055 | 0.7495 | 0.0021 | 0.1991 | 0.0020 |
| | ((2,0)*2,(1,0)*6,0*4) | 0.3076 | 0.0040 | 0.8122 | 0.0067 | 0.7481 | 0.0022 | 0.1979 | 0.0020 |
| | ((0*3,1*4)*2,1,1,0*4) | 0.3099 | 0.0056 | 0.8197 | 0.0044 | 0.7432 | 0.0024 | 0.2008 | 0.0022 |
| 30 | (0*30) | 0.3096 | 0.0032 | 0.8132 | 0.0053 | 0.7512 | 0.0014 | 0.1942 | 0.0014 |
50 | 25 | (25,0*24) | 0.3119 | 0.0039 | 0.8105 | 0.0040 | 0.7509 | 0.0018 | 0.1948 | 0.0017 |
| | (0*8,2,3*7,2,0*8) | 0.3150 | 0.0041 | 0.8102 | 0.0051 | 0.7491 | 0.0017 | 0.1957 | 0.0018 |
| | (3*6,0*12,1*7) | 0.3112 | 0.0041 | 0.8161 | 0.0054 | 0.7493 | 0.0019 | 0.1945 | 0.0018 |
| 30 | (20,0*29) | 0.3151 | 0.0039 | 0.8125 | 0.0047 | 0.7488 | 0.0017 | 0.1954 | 0.0016 |
| | ((2,0,0)*10) | 0.3106 | 0.0034 | 0.8171 | 0.0055 | 0.7510 | 0.0014 | 0.1922 | 0.0014 |
| | (0*29,20) | 0.3091 | 0.0031 | 0.8187 | 0.0054 | 0.7503 | 0.0014 | 0.1933 | 0.0014 |
| 50 | (0*50) | 0.3040 | 0.0023 | 0.8148 | 0.0063 | 0.7516 | 0.0009 | 0.1894 | 0.0009 |
5 | 30 | 20 | (10,0*19) | 0.3091 | 0.0039 | 0.8152 | 0.0049 | 0.7486 | 0.0020 | 0.1960 | 0.0018 |
| | ((2,0)*2,(1,0)*6,0*4) | 0.3018 | 0.0059 | 0.8178 | 0.0047 | 0.7480 | 0.0019 | 0.1938 | 0.0017 |
| | ((0*3,1*4)*2,1,1,0*4) | 0.2907 | 0.0370 | 0.8174 | 0.0049 | 0.7513 | 0.0018 | 0.1899 | 0.0024 |
| 30 | (0*30) | 0.3126 | 0.0034 | 0.8134 | 0.0056 | 0.7505 | 0.0014 | 0.1933 | 0.0014 |
50 | 25 | (25,0*24) | 0.3161 | 0.0044 | 0.8147 | 0.0048 | 0.7484 | 0.0018 | 0.1953 | 0.0018 |
| | (0*8,2,3*7,2,0*8) | 0.3032 | 0.0264 | 0.8153 | 0.0054 | 0.7503 | 0.0016 | 0.1895 | 0.0053 |
| | (3*6,0*12,1*7) | 0.3109 | 0.0058 | 0.8166 | 0.0051 | 0.7496 | 0.0016 | 0.1929 | 0.0018 |
| 30 | (20,0*29) | 0.3188 | 0.0045 | 0.8131 | 0.0060 | 0.7474 | 0.0016 | 0.1956 | 0.0018 |
| | ((2,0,0)*10) | 0.3146 | 0.0054 | 0.8163 | 0.0058 | 0.7481 | 0.0014 | 0.1937 | 0.0018 |
| | (0*29,20) | 0.3020 | 0.0080 | 0.8176 | 0.0047 | 0.7505 | 0.0012 | 0.1904 | 0.0017 |
| 50 | (0*50) | 0.3097 | 0.0027 | 0.8159 | 0.0061 | 0.7520 | 0.0009 | 0.1879 | 0.0009 |
Table 5.
Lindley approximation values and MSEs of parameters and reliability and hazard functions under LLF when , , , , , , , , , , N = 1000.
Table 5.
Lindley approximation values and MSEs of parameters and reliability and hazard functions under LLF when , , , , , , , , , , N = 1000.
k | n | m | Scheme | | | | |
---|
EV | MSE | EV | MSE | EV | MSE | EV | MSE |
---|
3 | 30 | 20 | (10,0*19) | 0.3122 | 0.0043 | 0.8008 | 0.0183 | 0.7564 | 0.0019 | 0.2071 | 0.0029 |
| | ((2,0)*2,(1,0)*6,0*4) | 0.3060 | 0.0057 | 0.8088 | 0.0112 | 0.7595 | 0.0018 | 0.2066 | 0.0029 |
| | ((0*3,1*4)*2,1,1,0*4) | 0.3025 | 0.0104 | 0.8140 | 0.0212 | 0.7589 | 0.0019 | 0.2084 | 0.0030 |
| 30 | (0*30) | 0.3115 | 0.0033 | 0.8165 | 0.0061 | 0.7566 | 0.0013 | 0.1985 | 0.0018 |
50 | 25 | (25,0*24) | 0.3157 | 0.0041 | 0.8103 | 0.0055 | 0.7565 | 0.0016 | 0.2010 | 0.0022 |
| | (0*8,2,3*7,2,0*8) | 0.3159 | 0.0039 | 0.8181 | 0.0056 | 0.7580 | 0.0014 | 0.2045 | 0.0024 |
| | (3*6,0*12,1*7) | 0.3168 | 0.0041 | 0.8187 | 0.0059 | 0.7558 | 0.0014 | 0.2047 | 0.0025 |
| 30 | (20,0*29) | 0.3114 | 0.0034 | 0.8165 | 0.0053 | 0.7573 | 0.0014 | 0.1958 | 0.0016 |
| | ((2,0,0)*10) | 0.3161 | 0.0047 | 0.8179 | 0.0061 | 0.7555 | 0.0014 | 0.2019 | 0.0022 |
| | (0*29,20) | 0.3138 | 0.0033 | 0.8252 | 0.0060 | 0.7562 | 0.0012 | 0.2057 | 0.0024 |
| 50 | (0*50) | 0.3096 | 0.0024 | 0.8090 | 0.0062 | 0.7579 | 0.0009 | 0.1904 | 0.0010 |
5 | 30 | 20 | (10,0*19) | 0.3062 | 0.0107 | 0.8154 | 0.0065 | 0.7612 | 0.0017 | 0.2063 | 0.0028 |
| | ((2,0)*2,(1,0)*6,0*4) | 0.3006 | 0.0206 | 0.8173 | 0.0054 | 0.7629 | 0.0018 | 0.2039 | 0.0146 |
| | ((0*3,1*4)*2,1,1,0*4) | 0.2985 | 0.0096 | 0.8200 | 0.0054 | 0.7643 | 0.0015 | 0.2082 | 0.0027 |
| 30 | (0*30) | 0.3153 | 0.0037 | 0.8154 | 0.0065 | 0.7571 | 0.0012 | 0.2013 | 0.0021 |
50 | 25 | (25,0*24) | 0.3171 | 0.0056 | 0.8126 | 0.0066 | 0.7570 | 0.0016 | 0.2038 | 0.0027 |
| | (0*8,2,3*7,2,0*8) | 0.3068 | 0.0196 | 0.8180 | 0.0056 | 0.7606 | 0.0014 | 0.2066 | 0.0030 |
| | (3*6,0*12,1*7) | 0.3132 | 0.0043 | 0.8202 | 0.0057 | 0.7612 | 0.0013 | 0.2043 | 0.0026 |
| 30 | (20,0*29) | 0.3167 | 0.0040 | 0.8138 | 0.0058 | 0.7572 | 0.0013 | 0.1995 | 0.0020 |
| | ((2,0,0)*10) | 0.3163 | 0.0041 | 0.8164 | 0.0059 | 0.7589 | 0.0011 | 0.2033 | 0.0024 |
| | (0*29,20) | 0.3083 | 0.0064 | 0.8194 | 0.0050 | 0.7629 | 0.0010 | 0.2086 | 0.0027 |
| 50 | (0*50) | 0.3120 | 0.0030 | 0.8158 | 0.0065 | 0.7560 | 0.0008 | 0.1921 | 0.0012 |
Table 6.
Lindley approximation values and MSEs of parameters and reliability and hazard functions under LLF when , , , , , , , , , , N = 1000.
Table 6.
Lindley approximation values and MSEs of parameters and reliability and hazard functions under LLF when , , , , , , , , , , N = 1000.
k | n | m | Scheme | | | | |
---|
EV | MSE | EV | MSE | EV | MSE | EV | MSE |
---|
3 | 30 | 20 | (10,0*19) | 0.3107 | 0.0042 | 0.8070 | 0.0045 | 0.7521 | 0.0021 | 0.2046 | 0.0027 |
| | ((2,0)*2,(1,0)*6,0*4) | 0.3107 | 0.0042 | 0.8070 | 0.0045 | 0.7521 | 0.0021 | 0.2046 | 0.0027 |
| | ((0*3,1*4)*2,1,1,0*4) | 0.3033 | 0.0034 | 0.8139 | 0.0044 | 0.7555 | 0.0017 | 0.2048 | 0.0025 |
| 30 | (0*30) | 0.3056 | 0.0030 | 0.8109 | 0.0045 | 0.7562 | 0.0014 | 0.1946 | 0.0015 |
50 | 25 | (25,0*24) | 0.3130 | 0.0040 | 0.8076 | 0.0042 | 0.7527 | 0.0018 | 0.1994 | 0.0021 |
| | (0*8,2,3*7,2,0*8) | 0.3166 | 0.0041 | 0.8116 | 0.0047 | 0.7516 | 0.0016 | 0.2055 | 0.0026 |
| | (3*6,0*12,1*7) | 0.3151 | 0.0043 | 0.8129 | 0.0049 | 0.7518 | 0.0017 | 0.2033 | 0.0025 |
| 30 | (20,0*29) | 0.3113 | 0.0036 | 0.8096 | 0.0048 | 0.7536 | 0.0015 | 0.1958 | 0.0017 |
| | ((2,0,0)*10) | 0.3112 | 0.0034 | 0.8119 | 0.0058 | 0.7545 | 0.0012 | 0.1983 | 0.0019 |
| | (0*29,20) | 0.3065 | 0.0031 | 0.8209 | 0.0046 | 0.7557 | 0.0013 | 0.1998 | 0.0020 |
| 50 | (0*50) | 0.3077 | 0.0022 | 0.8087 | 0.0057 | 0.75527 | 0.0008 | 0.1895 | 0.0009 |
5 | 30 | 20 | (10,0*19) | 0.3097 | 0.0041 | 0.8128 | 0.0042 | 0.7542 | 0.0019 | 0.2059 | 0.0028 |
| | ((2,0)*2,(1,0)*6,0*4) | 0.3036 | 0.0049 | 0.8155 | 0.0042 | 0.7571 | 0.0020 | 0.2056 | 0.0029 |
| | ((0*3,1*4)*2,1,1,0*4) | 0.2972 | 0.0059 | 0.8155 | 0.0042 | 0.7610 | 0.0022 | 0.2036 | 0.0030 |
| 30 | (0*30) | 0.3101 | 0.0033 | 0.8156 | 0.0055 | 0.7543 | 0.0013 | 0.1978 | 0.0018 |
50 | 25 | (25,0*24) | 0.3142 | 0.0040 | 0.8105 | 0.0047 | 0.7533 | 0.0016 | 0.2010 | 0.0023 |
| | (0*8,2,3*7,2,0*8) | 0.3085 | 0.0038 | 0.8152 | 0.0050 | 0.7575 | 0.0014 | 0.2020 | 0.0023 |
| | (3*6,0*12,1*7) | 0.3102 | 0.0041 | 0.8115 | 0.0050 | 0.7568 | 0.0015 | 0.2031 | 0.0027 |
| 30 | (20,0*29) | 0.3135 | 0.0039 | 0.8068 | 0.0053 | 0.7545 | 0.0014 | 0.1979 | 0.0019 |
| | ((2,0,0)*10) | 0.3150 | 0.0037 | 0.8158 | 0.0050 | 0.7527 | 0.0013 | 0.2019 | 0.0022 |
| | (0*29,20) | 0.3075 | 0.0036 | 0.8140 | 0.0045 | 0.7581 | 0.0012 | 0.2059 | 0.0025 |
| 50 | (0*50) | 0.3083 | 0.0027 | 0.8073 | 0.0054 | 0.7561 | 0.0008 | 0.1900 | 0.0011 |
Table 7.
Lindley approximation values and MSEs of parameters and reliability and hazard functions under LLF when , , , , , , , , , , N = 1000.
Table 7.
Lindley approximation values and MSEs of parameters and reliability and hazard functions under LLF when , , , , , , , , , , N = 1000.
k | n | m | Scheme | | | | |
---|
EV | MSE | EV | MSE | EV | MSE | EV | MSE |
---|
3 | 30 | 20 | (10,0*19) | 0.3072 | 0.0038 | 0.8009 | 0.0032 | 0.7526 | 0.0020 | 0.2025 | 0.0024 |
| | ((2,0)*2,(1,0)*6,0*4) | 0.3094 | 0.0038 | 0.8085 | 0.0031 | 0.7503 | 0.0019 | 0.2061 | 0.0027 |
| | ((0*3,1*4)*2,1,1,0*4) | 0.3032 | 0.0036 | 0.8102 | 0.0033 | 0.7554 | 0.0041 | 0.2032 | 0.0026 |
| 30 | (0*30) | 0.3063 | 0.0028 | 0.8084 | 0.0035 | 0.7537 | 0.0014 | 0.1950 | 0.0014 |
50 | 25 | (25,0*24) | 0.3132 | 0.0041 | 0.8001 | 0.0039 | 0.7515 | 0.0018 | 0.1995 | 0.0021 |
| | (0*8,2,3*7,2,0*8) | 0.3110 | 0.0037 | 0.8059 | 0.0046 | 0.7532 | 0.0015 | 0.2018 | 0.0023 |
| | (3*6,0*12,1*7) | 0.3081 | 0.0036 | 0.8062 | 0.0045 | 0.7545 | 0.0015 | 0.1987 | 0.0021 |
| 30 | (20,0*29) | 0.3100 | 0.0036 | 0.8059 | 0.0042 | 0.7525 | 0.0016 | 0.1952 | 0.0017 |
| | ((2,0,0)*10) | 0.3100 | 0.0036 | 0.8070 | 0.0049 | 0.7535 | 0.0014 | 0.1976 | 0.0019 |
| | (0*29,20) | 0.3054 | 0.0029 | 0.8141 | 0.0050 | 0.7545 | 0.0013 | 0.1995 | 0.0019 |
| 50 | (0*50) | 0.3068 | 0.0022 | 0.8078 | 0.0058 | 0.7541 | 0.0009 | 0.1891 | 0.0009 |
5 | 30 | 20 | (10,0*19) | 0.3049 | 0.0035 | 0.8136 | 0.0031 | 0.7537 | 0.0018 | 0.2014 | 0.0023 |
| | ((2,0)*2,(1,0)*6,0*4) | 0.3052 | 0.0035 | 0.8143 | 0.0033 | 0.7540 | 0.0018 | 0.2046 | 0.0026 |
| | ((0*3,1*4)*2,1,1,0*4) | 0.3026 | 0.0029 | 0.8158 | 0.0033 | 0.7555 | 0.0018 | 0.2044 | 0.0022 |
| 30 | (0*30) | 0.3081 | 0.0033 | 0.8124 | 0.0049 | 0.7533 | 0.0014 | 0.1964 | 0.0018 |
50 | 25 | (25,0*24) | 0.3121 | 0.0038 | 0.8064 | 0.0048 | 0.7522 | 0.0015 | 0.1995 | 0.0021 |
| | (0*8,2,3*7,2,0*8) | 0.3075 | 0.0037 | 0.8139 | 0.0049 | 0.7552 | 0.0017 | 0.2006 | 0.0023 |
| | (3*6,0*12,1*7) | 0.3115 | 0.0036 | 0.8043 | 0.0046 | 0.7553 | 0.0022 | 0.2028 | 0.0025 |
| 30 | (20,0*29) | 0.3098 | 0.0037 | 0.8073 | 0.0053 | 0.7539 | 0.0014 | 0.1957 | 0.0018 |
| | ((2,0,0)*10) | 0.3138 | 0.0039 | 0.8067 | 0.0051 | 0.7523 | 0.0013 | 0.2014 | 0.0023 |
| | (0*29,20) | 0.3057 | 0.0029 | 0.8136 | 0.0039 | 0.7566 | 0.0017 | 0.2030 | 0.0023 |
| 50 | (0*50) | 0.3112 | 0.0028 | 0.8053 | 0.0057 | 0.7526 | 0.0009 | 0.1919 | 0.0011 |
Table 8.
Lindley approximation values and MSEs of parameters and reliability and hazard functions under GELF when , , , , , , , , , , N = 1000.
Table 8.
Lindley approximation values and MSEs of parameters and reliability and hazard functions under GELF when , , , , , , , , , , N = 1000.
k | n | m | Scheme | | | | |
---|
EV | MSE | EV | MSE | EV | MSE | EV | MSE |
---|
3 | 30 | 20 | (10,0*19) | 0.3064 | 0.0040 | 0.8071 | 0.0033 | 0.7510 | 0.0021 | 0.1820 | 0.0014 |
| | ((2,0)*2,(1,0)*6,0*4) | 0.3043 | 0.0040 | 0.8117 | 0.0038 | 0.7509 | 0.0021 | 0.1813 | 0.0014 |
| | ((0*3,1*4)*2,1,1,0*4) | 0.3018 | 0.0034 | 0.8155 | 0.0041 | 0.7516 | 0.0020 | 0.1802 | 0.0012 |
| 30 | (0*30) | 0.3041 | 0.0029 | 0.8116 | 0.0039 | 0.7539 | 0.0014 | 0.1800 | 0.0010 |
50 | 25 | (25,0*24) | 0.3078 | 0.0037 | 0.8056 | 0.0039 | 0.7530 | 0.0018 | 0.1818 | 0.0013 |
| | (0*8,2,3*7,2,0*8) | 0.3074 | 0.0037 | 0.8037 | 0.0046 | 0.7517 | 0.0019 | 0.1825 | 0.0013 |
| | (3*6,0*12,1*7) | 0.3082 | 0.0042 | 0.8112 | 0.0049 | 0.7523 | 0.0019 | 0.1822 | 0.0014 |
| 30 | (20,0*29) | 0.3103 | 0.0034 | 0.8024 | 0.0047 | 0.7529 | 0.0014 | 0.1829 | 0.0011 |
| | ((2,0,0)*10) | 0.3074 | 0.0035 | 0.8138 | 0.0051 | 0.7526 | 0.0014 | 0.1817 | 0.0011 |
| | (0*29,20) | 0.3082 | 0.0033 | 0.8138 | 0.0048 | 0.7514 | 0.0015 | 0.1825 | 0.0011 |
| 50 | (0*50) | 0.3055 | 0.0020 | 0.8088 | 0.0061 | 0.7545 | 0.0009 | 0.1804 | 0.0006 |
5 | 30 | 20 | (10,0*19) | 0.3048 | 0.0037 | 0.8148 | 0.0038 | 0.7510 | 0.0020 | 0.1814 | 0.0013 |
| | ((2,0)*2,(1,0)*6,0*4) | 0.3069 | 0.0050 | 0.8151 | 0.0040 | 0.7514 | 0.0027 | 0.1818 | 0.0013 |
| | ((0*3,1*4)*2,1,1,0*4) | 0.2985 | 0.0035 | 0.8216 | 0.0036 | 0.7535 | 0.0019 | 0.1781 | 0.0012 |
| 30 | (0*30) | 0.3078 | 0.0034 | 0.8152 | 0.0053 | 0.7521 | 0.0014 | 0.1820 | 0.0011 |
50 | 25 | (25,0*24) | 0.3118 | 0.0044 | 0.8108 | 0.0044 | 0.7503 | 0.0019 | 0.1842 | 0.0015 |
| | (0*8,2,3*7,2,0*8) | 0.3055 | 0.0036 | 0.8142 | 0.0045 | 0.7526 | 0.0017 | 0.1810 | 0.0012 |
| | (3*6,0*12,1*7) | 0.3102 | 0.0039 | 0.8131 | 0.0047 | 0.7505 | 0.0016 | 0.1836 | 0.0013 |
| 30 | (20,0*29) | 0.3084 | 0.0036 | 0.8096 | 0.0050 | 0.7533 | 0.0014 | 0.1820 | 0.0012 |
| | ((2,0,0)*10) | 0.3113 | 0.0037 | 0.8090 | 0.0052 | 0.7516 | 0.0013 | 0.1838 | 0.0012 |
| | (0*29,20) | 0.3045 | 0.0029 | 0.8152 | 0.0041 | 0.7538 | 0.0013 | 0.1804 | 0.0010 |
| 50 | (0*50) | 0.3064 | 0.0027 | 0.8065 | 0.0063 | 0.7554 | 0.0008 | 0.1807 | 0.0008 |
Table 9.
Lindley approximation values and MSEs of parameters and reliability and hazard functions under GELF when , , , , , , , , , , N = 1000.
Table 9.
Lindley approximation values and MSEs of parameters and reliability and hazard functions under GELF when , , , , , , , , , , N = 1000.
k | n | m | Scheme | | | | |
---|
EV | MSE | EV | MSE | EV | MSE | EV | MSE |
---|
3 | 30 | 20 | (10,0*19) | 0.2997 | 0.0041 | 0.8012 | 0.0022 | 0.7495 | 0.0024 | 0.1781 | 0.0015 |
| | ((2,0)*2,(1,0)*6,0*4) | 0.2997 | 0.0037 | 0.8044 | 0.0024 | 0.7495 | 0.0020 | 0.1781 | 0.0013 |
| | ((0*3,1*4)*2,1,1,0*4) | 0.2972 | 0.0039 | 0.8092 | 0.0021 | 0.7503 | 0.0021 | 0.1768 | 0.0014 |
| 30 | (0*30) | 0.3030 | 0.0031 | 0.8022 | 0.0034 | 0.7499 | 0.0015 | 0.1796 | 0.0010 |
50 | 25 | (25,0*24) | 0.3036 | 0.0036 | 0.7973 | 0.0034 | 0.7495 | 0.0019 | 0.1798 | 0.0012 |
| | (0*8,2,3*7,2,0*8) | 0.3009 | 0.0034 | 0.8015 | 0.0026 | 0.7503 | 0.0018 | 0.1786 | 0.0012 |
| | (3*6,0*12,1*7) | 0.3042 | 0.0039 | 0.8006 | 0.0043 | 0.7489 | 0.0018 | 0.1802 | 0.0013 |
| 30 | (20,0*29) | 0.3003 | 0.0030 | 0.8000 | 0.0040 | 0.7523 | 0.0015 | 0.1779 | 0.0010 |
| | ((2,0,0)*10) | 0.3001 | 0.0033 | 0.8028 | 0.0050 | 0.7522 | 0.0015 | 0.1778 | 0.0011 |
| | (0*29,20) | 0.2988 | 0.0031 | 0.8073 | 0.0038 | 0.7522 | 0.0014 | 0.1774 | 0.0010 |
| 50 | (0*50) | 0.3032 | 0.0022 | 0.8025 | 0.0056 | 0.7524 | 0.0009 | 0.1795 | 0.0007 |
5 | 30 | 20 | (10,0*19) | 0.2957 | 0.0038 | 0.8058 | 0.0030 | 0.7527 | 0.0022 | 0.1757 | 0.0013 |
| | ((2,0)*2,(1,0)*6,0*4) | 0.2976 | 0.0037 | 0.8078 | 0.0030 | 0.7546 | 0.0101 | 0.1769 | 0.0013 |
| | ((0*3,1*4)*2,1,1,0*4) | 0.2942 | 0.0035 | 0.8120 | 0.0028 | 0.7566 | 0.0061 | 0.1751 | 0.0012 |
| 30 | (0*30) | 0.3016 | 0.0033 | 0.8064 | 0.0046 | 0.7502 | 0.0014 | 0.1789 | 0.0011 |
50 | 25 | (25,0*24) | 0.3012 | 0.0039 | 0.8043 | 0.0042 | 0.7499 | 0.0017 | 0.1787 | 0.0013 |
| | (0*8,2,3*7,2,0*8) | 0.2971 | 0.0037 | 0.8052 | 0.0036 | 0.7526 | 0.0018 | 0.1764 | 0.0013 |
| | (3*6,0*12,1*7) | 0.3036 | 0.0040 | 0.8034 | 0.0041 | 0.7485 | 0.0018 | 0.1802 | 0.0013 |
| 30 | (20,0*29) | 0.3007 | 0.0036 | 0.8005 | 0.0049 | 0.7526 | 0.0014 | 0.1781 | 0.0011 |
| | ((2,0,0)*10) | 0.3031 | 0.0042 | 0.8053 | 0.0051 | 0.7503 | 0.0017 | 0.1797 | 0.0013 |
| | (0*29,20) | 0.2968 | 0.0031 | 0.8090 | 0.0073 | 0.7528 | 0.0019 | 0.1764 | 0.0010 |
| 50 | (0*50) | 0.3025 | 0.0025 | 0.8029 | 0.0053 | 0.7528 | 0.0009 | 0.1792 | 0.0008 |
Table 10.
Lindley approximation values and MSEs of parameters and reliability and hazard functions under GELF when , , , , , , , , , , N = 1000.
Table 10.
Lindley approximation values and MSEs of parameters and reliability and hazard functions under GELF when , , , , , , , , , , N = 1000.
k | n | m | Scheme | | | | |
---|
EV | MSE | EV | MSE | EV | MSE | EV | MSE |
---|
3 | 30 | 20 | (10,0*19) | 0.2970 | 0.0040 | 0.7960 | 0.0016 | 0.7498 | 0.0022 | 0.1762 | 0.0014 |
| | ((2,0)*2,(1,0)*6,0*4) | 0.2955 | 0.0037 | 0.8023 | 0.0019 | 0.7490 | 0.0020 | 0.1755 | 0.0013 |
| | ((0*3,1*4)*2,1,1,0*4) | 0.2918 | 0.0039 | 0.8062 | 0.0017 | 0.7512 | 0.0020 | 0.1735 | 0.0013 |
| 30 | (0*30) | 0.2999 | 0.0034 | 0.7947 | 0.0034 | 0.7507 | 0.0016 | 0.1777 | 0.0011 |
50 | 25 | (25,0*24) | 0.3010 | 0.0034 | 0.7922 | 0.0035 | 0.7488 | 0.0018 | 0.1783 | 0.0011 |
| | (0*8,2,3*7,2,0*8) | 0.2989 | 0.0038 | 0.8010 | 0.0019 | 0.7482 | 0.0021 | 0.1776 | 0.0013 |
| | (3*6,0*12,1*7) | 0.2994 | 0.0039 | 0.7986 | 0.0036 | 0.7487 | 0.0017 | 0.1777 | 0.0013 |
| 30 | (20,0*29) | 0.3026 | 0.0033 | 0.7903 | 0.0045 | 0.7500 | 0.0016 | 0.1790 | 0.0011 |
| | ((2,0,0)*10) | 0.3015 | 0.0037 | 0.7957 | 0.0044 | 0.7494 | 0.0015 | 0.1787 | 0.0012 |
| | (0*29,20) | 0.2950 | 0.0032 | 0.8076 | 0.0036 | 0.7502 | 0.0015 | 0.1757 | 0.0010 |
| 50 | (0*50) | 0.2990 | 0.0020 | 0.8022 | 0.0052 | 0.7523 | 0.0009 | 0.1775 | 0.0006 |
5 | 30 | 20 | (10,0*19) | 0.2942 | 0.0043 | 0.8010 | 0.0026 | 0.7509 | 0.0020 | 0.1747 | 0.0014 |
| | ((2,0)*2,(1,0)*6,0*4) | 0.2934 | 0.0042 | 0.8060 | 0.0026 | 0.7500 | 0.0020 | 0.1745 | 0.0014 |
| | ((0*3,1*4)*2,1,1,0*4) | 0.2958 | 0.0040 | 0.8118 | 0.0034 | 0.7506 | 0.0034 | 0.1760 | 0.0013 |
| 30 | (0*30) | 0.2989 | 0.0032 | 0.7970 | 0.0046 | 0.7506 | 0.0014 | 0.1773 | 0.0010 |
50 | 25 | (25,0*24) | 0.2983 | 0.0042 | 0.7967 | 0.0043 | 0.7502 | 0.0017 | 0.1769 | 0.0014 |
| | (0*8,2,3*7,2,0*8) | 0.2971 | 0.0040 | 0.8052 | 0.0034 | 0.7489 | 0.0019 | 0.1767 | 0.0013 |
| | (3*6,0*12,1*7) | 0.2963 | 0.0041 | 0.8007 | 0.0041 | 0.7496 | 0.0017 | 0.1761 | 0.0013 |
| 30 | (20,0*29) | 0.3014 | 0.0040 | 0.7948 | 0.0051 | 0.7498 | 0.0017 | 0.1786 | 0.0013 |
| | ((2,0,0)*10) | 0.2972 | 0.0040 | 0.7949 | 0.0048 | 0.7522 | 0.0014 | 0.1762 | 0.0013 |
| | (0*29,20) | 0.2957 | 0.0036 | 0.8027 | 0.0035 | 0.7544 | 0.0041 | 0.1757 | 0.0011 |
| 50 | (0*50) | 0.3003 | 0.0026 | 0.7971 | 0.0053 | 0.7530 | 0.0009 | 0.1781 | 0.0008 |
Table 11.
Estimation values and MSEs of parameters, reliability and hazard functions using Metropolis-Hastings method and noninformative priors under SELF when , , , , , , , , , N = 1000.
Table 11.
Estimation values and MSEs of parameters, reliability and hazard functions using Metropolis-Hastings method and noninformative priors under SELF when , , , , , , , , , N = 1000.
k | n | m | Scheme | | | | |
---|
EV | MSE | EV | MSE | EV | MSE | EV | MSE |
---|
3 | 30 | 20 | (10,0*19) | 0.3515 | 0.0182 | 0.8602 | 0.0469 | 0.7388 | 0.0033 | 0.2009 | 0.0042 |
| | ((2,0)*2,(1,0)*6,0*4) | 0.3670 | 0.0392 | 0.8460 | 0.0429 | 0.7387 | 0.0030 | 0.2063 | 0.0062 |
| | ((0*3,1*4)*2,1,1,0*4) | 0.3686 | 0.0297 | 0.8408 | 0.0451 | 0.7387 | 0.0034 | 0.2079 | 0.0062 |
| 30 | (0*30) | 0.3306 | 0.0086 | 0.8417 | 0.0340 | 0.7476 | 0.0019 | 0.1908 | 0.0020 |
50 | 25 | (25,0*24) | 0.3345 | 0.0094 | 0.8360 | 0.0303 | 0.7456 | 0.0022 | 0.1934 | 0.0024 |
| | (0*8,2,3*7,2,0*8) | 0.3550 | 0.0187 | 0.8247 | 0.0267 | 0.7407 | 0.0024 | 0.2036 | 0.0044 |
| | (3*6,0*12,1*7) | 0.3617 | 0.0214 | 0.8155 | 0.0280 | 0.7400 | 0.0024 | 0.2060 | 0.0047 |
| 30 | (20,0*29) | 0.3299 | 0.0075 | 0.8283 | 0.0267 | 0.7477 | 0.0017 | 0.1912 | 0.0018 |
| | ((2,0,0)*10) | 0.3474 | 0.0128 | 0.8132 | 0.0234 | 0.7439 | 0.0019 | 0.1995 | 0.0030 |
| | (0*29,20) | 0.3525 | 0.0170 | 0.8182 | 0.0260 | 0.7442 | 0.0021 | 0.2012 | 0.0038 |
| 50 | (0*50) | 0.3185 | 0.0040 | 0.8183 | 0.0182 | 0.7517 | 0.0011 | 0.1860 | 0.0010 |
5 | 30 | 20 | (10,0*19) | 0.3791 | 0.0407 | 0.8226 | 0.0338 | 0.7359 | 0.0038 | 0.2135 | 0.0083 |
| | ((2,0)*2,(1,0)*6,0*4) | 0.3817 | 0.0377 | 0.8248 | 0.0319 | 0.7344 | 0.0039 | 0.2154 | 0.0083 |
| | ((0*3,1*4)*2,1,1,0*4) | 0.3992 | 0.0552 | 0.8230 | 0.0340 | 0.7303 | 0.0046 | 0.2233 | 0.0115 |
| 30 | (0*30) | 0.3491 | 0.0130 | 0.8124 | 0.0236 | 0.7431 | 0.0019 | 0.2006 | 0.0031 |
50 | 25 | (25,0*24) | 0.3559 | 0.0187 | 0.8157 | 0.0215 | 0.7394 | 0.0028 | 0.2047 | 0.0047 |
| | (0*8,2,3*7,2,0*8) | 0.3875 | 0.0630 | 0.8060 | 0.0200 | 0.7317 | 0.0040 | 0.2197 | 0.0120 |
| | (3*6,0*12,1*7) | 0.3839 | 0.0350 | 0.8024 | 0.0201 | 0.7323 | 0.0036 | 0.2180 | 0.0080 |
| 30 | (20,0*29) | 0.3455 | 0.0144 | 0.8175 | 0.0204 | 0.7424 | 0.0020 | 0.1995 | 0.0034 |
| | ((2,0,0)*10) | 0.3649 | 0.0220 | 0.8039 | 0.0190 | 0.7383 | 0.0028 | 0.2090 | 0.0054 |
| | (0*29,20) | 0.4122 | 0.0523 | 0.7870 | 0.0222 | 0.7272 | 0.0042 | 0.2305 | 0.0113 |
| 50 | (0*50) | 0.3200 | 0.0052 | 0.8138 | 0.01417 | 0.7518 | 0.0010 | 0.1871 | 0.0013 |
Table 12.
Estimation values and MSEs of parameters, reliability and hazard functions using Metropolis-Hastings method under SELF when , , , , , , , , , N = 1000.
Table 12.
Estimation values and MSEs of parameters, reliability and hazard functions using Metropolis-Hastings method under SELF when , , , , , , , , , N = 1000.
k | n | m | Scheme | | | | |
---|
EV | MSE | EV | MSE | EV | MSE | EV | MSE |
---|
3 | 30 | 20 | (10,0*19) | 0.3529 | 0.0192 | 0.8509 | 0.0475 | 0.7416 | 0.0029 | 0.2002 | 0.0040 |
| | ((2,0)*2,(1,0)*6,0*4) | 0.3668 | 0.0230 | 0.8338 | 0.0423 | 0.7378 | 0.0035 | 0.2077 | 0.0053 |
| | ((0*3,1*4)*2,1,1,0*4) | 0.3700 | 0.0240 | 0.8340 | 0.0420 | 0.7376 | 0.0033 | 0.2091 | 0.0054 |
| 30 | (0*30) | 0.3287 | 0.0081 | 0.8515 | 0.0338 | 0.7457 | 0.0019 | 0.1907 | 0.0020 |
50 | 25 | (25,0*24) | 0.3367 | 0.0116 | 0.8394 | 0.0278 | 0.7437 | 0.0022 | 0.1948 | 0.0028 |
| | (0*8,2,3*7,2,0*8) | 0.3515 | 0.0176 | 0.8222 | 0.0242 | 0.7424 | 0.0027 | 0.2019 | 0.0043 |
| | (3*6,0*12,1*7) | 0.3586 | 0.0187 | 0.8157 | 0.0248 | 0.7394 | 0.0026 | 0.2054 | 0.0045 |
| 30 | (20,0*29) | 0.3317 | 0.0078 | 0.8334 | 0.0248 | 0.7445 | 0.0020 | 0.1930 | 0.0020 |
| | ((2,0,0)*10) | 0.3428 | 0.0125 | 0.8165 | 0.0234 | 0.7457 | 0.0018 | 0.1973 | 0.0029 |
| | (0*29,20) | 0.3593 | 0.0244 | 0.8266 | 0.0302 | 0.7412 | 0.0023 | 0.2042 | 0.0051 |
| 50 | (0*50) | 0.3170 | 0.0038 | 0.8269 | 0.0181 | 0.7500 | 0.0011 | 0.1858 | 0.0010 |
5 | 30 | 20 | (10,0*19) | 0.3743 | 0.0299 | 0.8153 | 0.0328 | 0.7374 | 0.0034 | 0.2115 | 0.0065 |
| | ((2,0)*2,(1,0)*6,0*4) | 0.3823 | 0.0394 | 0.8216 | 0.0298 | 0.7341 | 0.0039 | 0.2158 | 0.0086 |
| | ((0*3,1*4)*2,1,1,0*4) | 0.3922 | 0.0485 | 0.8182 | 0.0312 | 0.7327 | 0.0041 | 0.2199 | 0.0098 |
| 30 | (0*30) | 0.3479 | 0.0125 | 0.8115 | 0.0232 | 0.7438 | 0.0018 | 0.1999 | 0.0030 |
50 | 25 | (25,0*24) | 0.3568 | 0.0224 | 0.8126 | 0.0221 | 0.7404 | 0.0030 | 0.2047 | 0.0053 |
| | (0*8,2,3*7,2,0*8) | 0.3764 | 0.0372 | 0.8092 | 0.0206 | 0.7353 | 0.0039 | 0.2147 | 0.0087 |
| | (3*6,0*12,1*7) | 0.3904 | 0.0452 | 0.7992 | 0.0227 | 0.7325 | 0.0040 | 0.2203 | 0.0099 |
| 30 | (20,0*29) | 0.3427 | 0.0128 | 0.8164 | 0.0192 | 0.7437 | 0.0020 | 0.1982 | 0.0031 |
| | ((2,0,0)*10) | 0.3604 | 0.0204 | 0.8019 | 0.0178 | 0.7405 | 0.0025 | 0.2066 | 0.0048 |
| | (0*29,20) | 0.3935 | 0.0749 | 0.8003 | 0.0223 | 0.7350 | 0.0037 | 0.2202 | 0.0129 |
| 50 | (0*50) | 0.3245 | 0.0054 | 0.8121 | 0.0129 | 0.7487 | 0.0011 | 0.1899 | 0.0014 |
Table 13.
Estimation values and MSEs of parameters, reliability and hazard functions using Metropolis-Hastings method under LLF when , , , , , , , , , , N = 1000.
Table 13.
Estimation values and MSEs of parameters, reliability and hazard functions using Metropolis-Hastings method under LLF when , , , , , , , , , , N = 1000.
k | n | m | Scheme | | | | |
---|
EV | MSE | EV | MSE | EV | MSE | EV | MSE |
---|
3 | 30 | 20 | (10,0*19) | 0.3572 | 0.0182 | 0.8618 | 0.0474 | 0.7396 | 0.0030 | 0.2029 | 0.0041 |
| | ((2,0)*2,(1,0)*6,0*4) | 0.3591 | 0.0220 | 0.8562 | 0.0459 | 0.7418 | 0.0028 | 0.2031 | 0.0048 |
| | ((0*3,1*4)*2,1,1,0*4) | 0.3760 | 0.0330 | 0.8498 | 0.0447 | 0.7376 | 0.0033 | 0.2103 | 0.0064 |
| 30 | (0*30) | 0.3319 | 0.0093 | 0.8537 | 0.0348 | 0.7469 | 0.0019 | 0.1915 | 0.0022 |
50 | 25 | (25,0*24) | 0.3443 | 0.0129 | 0.8417 | 0.0317 | 0.7423 | 0.0025 | 0.1983 | 0.0032 |
| | (0*8,2,3*7,2,0*8) | 0.3630 | 0.0213 | 0.8228 | 0.0269 | 0.7411 | 0.0024 | 0.2062 | 0.0047 |
| | (3*6,0*12,1*7) | 0.3592 | 0.0199 | 0.8142 | 0.0263 | 0.7444 | 0.0022 | 0.2035 | 0.0042 |
| 30 | (20,0*29) | 0.3350 | 0.0090 | 0.8347 | 0.0238 | 0.7454 | 0.0019 | 0.1939 | 0.0022 |
| | ((2,0,0)*10) | 0.3481 | 0.0128 | 0.8180 | 0.0248 | 0.7451 | 0.0018 | 0.1994 | 0.0030 |
| | (0*29,20) | 0.3647 | 0.0215 | 0.8224 | 0.0268 | 0.7406 | 0.0021 | 0.2064 | 0.0044 |
| 50 | (0*50) | 0.3187 | 0.0042 | 0.8274 | 0.0195 | 0.7513 | 0.0010 | 0.1862 | 0.0011 |
5 | 30 | 20 | (10,0*19) | 0.3745 | 0.0308 | 0.8347 | 0.0332 | 0.7380 | 0.0032 | 0.2105 | 0.0063 |
| | ((2,0)*2,(1,0)*6,0*4) | 0.4034 | 0.0702 | 0.8254 | 0.0337 | 0.7324 | 0.0044 | 0.2228 | 0.0119 |
| | ((0*3,1*4)*2,1,1,0*4) | 0.3992 | 0.0537 | 0.8281 | 0.0317 | 0.7329 | 0.0041 | 0.2213 | 0.0101 |
| 30 | (0*30) | 0.3455 | 0.0127 | 0.8285 | 0.0234 | 0.7440 | 0.0019 | 0.1987 | 0.0030 |
50 | 25 | (25,0*24) | 0.3644 | 0.0363 | 0.8193 | 0.0233 | 0.7392 | 0.0028 | 0.2073 | 0.0065 |
| | (0*8,2,3*7,2,0*8) | 0.3990 | 0.0601 | 0.8065 | 0.0218 | 0.7314 | 0.0041 | 0.2233 | 0.0115 |
| | (3*6,0*12,1*7) | 0.3875 | 0.0410 | 0.8112 | 0.0234 | 0.7344 | 0.0036 | 0.2178 | 0.0086 |
| 30 | (20,0*29) | 0.3381 | 0.0117 | 0.8288 | 0.0204 | 0.7459 | 0.0019 | 0.1956 | 0.0029 |
| | ((2,0,0)*10) | 0.3760 | 0.0308 | 0.8057 | 0.0200 | 0.7362 | 0.0030 | 0.2133 | 0.0065 |
| | (0*29,20) | 0.4172 | 0.0785 | 0.7994 | 0.0221 | 0.7301 | 0.0040 | 0.2288 | 0.0126 |
| 50 | (0*50) | 0.3227 | 0.0050 | 0.8186 | 0.0128 | 0.7497 | 0.0010 | 0.1887 | 0.0013 |
Table 14.
Estimation values and MSEs of parameters, reliability and hazard functions using Metropolis-Hastings method under LLF when , , , , , , , , , , N = 1000.
Table 14.
Estimation values and MSEs of parameters, reliability and hazard functions using Metropolis-Hastings method under LLF when , , , , , , , , , , N = 1000.
k | n | m | Scheme | | | | |
---|
EV | MSE | EV | MSE | EV | MSE | EV | MSE |
---|
3 | 30 | 20 | (10,0*19) | 0.3505 | 0.0155 | 0.8326 | 0.0400 | 0.7399 | 0.0030 | 0.2006 | 0.0036 |
| | ((2,0)*2,(1,0)*6,0*4) | 0.3589 | 0.0232 | 0.8229 | 0.0374 | 0.7411 | 0.0030 | 0.2039 | 0.0052 |
| | ((0*3,1*4)*2,1,1,0*4) | 0.3607 | 0.0218 | 0.8284 | 0.0356 | 0.7380 | 0.0032 | 0.2057 | 0.0051 |
| 30 | (0*30) | 0.3344 | 0.0088 | 0.8299 | 0.0309 | 0.7441 | 0.0020 | 0.1936 | 0.0022 |
50 | 25 | (25,0*24) | 0.3376 | 0.0111 | 0.8291 | 0.0283 | 0.7425 | 0.0023 | 0.1957 | 0.0028 |
| | (0*8,2,3*7,2,0*8) | 0.3577 | 0.0197 | 0.8159 | 0.0268 | 0.7385 | 0.0028 | 0.2056 | 0.0048 |
| | (3*6,0*12,1*7) | 0.3540 | 0.0163 | 0.8084 | 0.0226 | 0.7394 | 0.0024 | 0.2036 | 0.0038 |
| 30 | (20,0*29) | 0.3231 | 0.0073 | 0.8375 | 0.0270 | 0.7470 | 0.0018 | 0.1887 | 0.0019 |
| | ((2,0,0)*10) | 0.3419 | 0.0132 | 0.8160 | 0.0233 | 0.7436 | 0.0021 | 0.1976 | 0.0032 |
| | (0*29,20) | 0.3617 | 0.0225 | 0.8042 | 0.0274 | 0.7405 | 0.0024 | 0.2062 | 0.0049 |
| 50 | (0*50) | 0.3171 | 0.0041 | 0.8190 | 0.0157 | 0.7500 | 0.0010 | 0.1861 | 0.0011 |
5 | 30 | 20 | (10,0*19) | 0.3729 | 0.0322 | 0.8110 | 0.0314 | 0.7359 | 0.0037 | 0.2116 | 0.0072 |
| | ((2,0)*2,(1,0)*6,0*4) | 0.3897 | 0.0480 | 0.8070 | 0.0295 | 0.7307 | 0.0046 | 0.2207 | 0.0110 |
| | ((0*3,1*4)*2,1,1,0*4) | 0.3986 | 0.0581 | 0.8014 | 0.0298 | 0.7291 | 0.0050 | 0.2248 | 0.0131 |
| 30 | (0*30) | 0.3412 | 0.0110 | 0.8118 | 0.0214 | 0.7439 | 0.0020 | 0.1974 | 0.0028 |
50 | 25 | (25,0*24) | 0.3502 | 0.0164 | 0.8093 | 0.0208 | 0.7402 | 0.0027 | 0.2024 | 0.0042 |
| | (0*8,2,3*7,2,0*8) | 0.3667 | 0.0264 | 0.8033 | 0.0190 | 0.7361 | 0.0032 | 0.2110 | 0.0066 |
| | (3*6,0*12,1*7) | 0.3788 | 0.0321 | 0.8009 | 0.0212 | 0.7314 | 0.0038 | 0.2169 | 0.0079 |
| 30 | (20,0*29) | 0.3347 | 0.0118 | 0.8094 | 0.0185 | 0.7473 | 0.0019 | 0.1942 | 0.0029 |
| | ((2,0,0)*10) | 0.3539 | 0.0189 | 0.8066 | 0.0181 | 0.7395 | 0.0026 | 0.2047 | 0.0049 |
| | (0*29,20) | 0.3940 | 0.0426 | 0.7879 | 0.0216 | 0.7306 | 0.0038 | 0.2232 | 0.0097 |
| 50 | (0*50) | 0.3193 | 0.0048 | 0.8150 | 0.0130 | 0.7496 | 0.0010 | 0.1875 | 0.0013 |
Table 15.
Estimation values and MSEs of parameters, reliability and hazard functions using Metropolis-Hastings method under LLF when , , , , , , , , , , N = 1000.
Table 15.
Estimation values and MSEs of parameters, reliability and hazard functions using Metropolis-Hastings method under LLF when , , , , , , , , , , N = 1000.
k | n | m | Scheme | | | | |
---|
EV | MSE | EV | MSE | EV | MSE | EV | MSE |
---|
3 | 30 | 20 | (10,0*19) | 0.3433 | 0.0156 | 0.8313 | 0.0361 | 0.7401 | 0.0028 | 0.1978 | 0.0037 |
| | ((2,0)*2,(1,0)*6,0*4) | 0.3469 | 0.0173 | 0.8295 | 0.0350 | 0.7401 | 0.0029 | 0.1994 | 0.0040 |
| | ((0*3,1*4)*2,1,1,0*4) | 0.3637 | 0.0254 | 0.8106 | 0.0328 | 0.7366 | 0.0035 | 0.2078 | 0.0061 |
| 30 | (0*30) | 0.3301 | 0.0077 | 0.8207 | 0.0278 | 0.7453 | 0.0019 | 0.1916 | 0.0019 |
50 | 25 | (25,0*24) | 0.3326 | 0.0092 | 0.8180 | 0.0272 | 0.7443 | 0.0022 | 0.1933 | 0.0024 |
| | (0*8,2,3*7,2,0*8) | 0.3504 | 0.0174 | 0.8015 | 0.0207 | 0.7407 | 0.0026 | 0.2027 | 0.0045 |
| | (3*6,0*12,1*7) | 0.3549 | 0.0192 | 0.7933 | 0.0237 | 0.7410 | 0.0026 | 0.2041 | 0.0047 |
| 30 | (20,0*29) | 0.3241 | 0.0072 | 0.8266 | 0.0247 | 0.7461 | 0.0018 | 0.1894 | 0.0019 |
| | ((2,0,0)*10) | 0.3406 | 0.0127 | 0.8094 | 0.0213 | 0.7422 | 0.0022 | 0.1979 | 0.0032 |
| | (0*29,20) | 0.3517 | 0.0178 | 0.7997 | 0.0233 | 0.7419 | 0.0022 | 0.2025 | 0.0043 |
| 50 | (0*50) | 0.3177 | 0.0038 | 0.8060 | 0.0150 | 0.7509 | 0.0010 | 0.1862 | 0.0010 |
5 | 30 | 20 | (10,0*19) | 0.3594 | 0.0222 | 0.8117 | 0.0288 | 0.7361 | 0.0035 | 0.2071 | 0.0056 |
| | ((2,0)*2,(1,0)*6,0*4) | 0.3766 | 0.0336 | 0.7987 | 0.0283 | 0.7327 | 0.0043 | 0.2157 | 0.0085 |
| | ((0*3,1*4)*2,1,1,0*4) | 0.3806 | 0.0378 | 0.8026 | 0.0291 | 0.7312 | 0.0047 | 0.2180 | 0.0098 |
| 30 | (0*30) | 0.3386 | 0.0116 | 0.8096 | 0.0235 | 0.7442 | 0.0019 | 0.1963 | 0.0029 |
50 | 25 | (25,0*24) | 0.3483 | 0.0158 | 0.8038 | 0.0203 | 0.7395 | 0.0027 | 0.2022 | 0.0041 |
| | (0*8,2,3*7,2,0*8) | 0.3684 | 0.0274 | 0.7987 | 0.0187 | 0.7325 | 0.0038 | 0.2133 | 0.0073 |
| | (3*6,0*12,1*7) | 0.3699 | 0.0265 | 0.7896 | 0.0187 | 0.7331 | 0.0038 | 0.2137 | 0.0071 |
| 30 | (20,0*29) | 0.3410 | 0.0118 | 0.8100 | 0.0208 | 0.7407 | 0.0021 | 0.1988 | 0.0031 |
| | ((2,0,0)*10) | 0.3530 | 0.0162 | 0.7967 | 0.0163 | 0.7379 | 0.0026 | 0.2051 | 0.0044 |
| | (0*29,20) | 0.3846 | 0.0348 | 0.7856 | 0.0219 | 0.7304 | 0.0038 | 0.2205 | 0.0088 |
| 50 | (0*50) | 0.3236 | 0.0052 | 0.8045 | 0.0128 | 0.7479 | 0.0010 | 0.1899 | 0.0014 |
Table 16.
Estimation values and MSEs of parameters, reliability and hazard functions using Metropolis-Hastings method under GELF when , , , , , , , , , , N = 1000.
Table 16.
Estimation values and MSEs of parameters, reliability and hazard functions using Metropolis-Hastings method under GELF when , , , , , , , , , , N = 1000.
k | n | m | Scheme | | | | |
---|
EV | MSE | EV | MSE | EV | MSE | EV | MSE |
---|
3 | 30 | 20 | (10,0*19) | 0.3438 | 0.0166 | 0.8378 | 0.0421 | 0.7407 | 0.0032 | 0.1967 | 0.0038 |
| | ((2,0)*2,(1,0)*6,0*4) | 0.3568 | 0.0209 | 0.8225 | 0.0368 | 0.7377 | 0.0033 | 0.2029 | 0.0046 |
| | ((0*3,1*4)*2,1,1,0*4) | 0.3457 | 0.0192 | 0.8397 | 0.0403 | 0.7412 | 0.0031 | 0.1976 | 0.0044 |
| 30 | (0*30) | 0.3247 | 0.0077 | 0.8351 | 0.0324 | 0.7470 | 0.0018 | 0.1882 | 0.0018 |
50 | 25 | (25,0*24) | 0.3334 | 0.0103 | 0.8379 | 0.0319 | 0.7407 | 0.0025 | 0.1936 | 0.0027 |
| | (0*8,2,3*7,2,0*8) | 0.3491 | 0.0197 | 0.8108 | 0.0245 | 0.7413 | 0.0027 | 0.2004 | 0.0046 |
| | (3*6,0*12,1*7) | 0.3517 | 0.0170 | 0.8077 | 0.0252 | 0.7394 | 0.0025 | 0.2018 | 0.0039 |
| 30 | (20,0*29) | 0.3263 | 0.0083 | 0.8232 | 0.0251 | 0.7469 | 0.0019 | 0.1895 | 0.0021 |
| | ((2,0,0)*10) | 0.3371 | 0.0119 | 0.8126 | 0.0225 | 0.7444 | 0.0020 | 0.1950 | 0.0029 |
| | (0*29,20) | 0.3533 | 0.0176 | 0.8041 | 0.0239 | 0.7406 | 0.0025 | 0.2024 | 0.0042 |
| 50 | (0*50) | 0.3112 | 0.0034 | 0.8234 | 0.01706 | 0.7515 | 0.0010 | 0.1829 | 0.0009 |
5 | 30 | 20 | (10,0*19) | 0.3637 | 0.0267 | 0.8040 | 0.0295 | 0.7381 | 0.0035 | 0.2065 | 0.0059 |
| | ((2,0)*2,(1,0)*6,0*4) | 0.3733 | 0.0426 | 0.8171 | 0.0282 | 0.7320 | 0.0044 | 0.2121 | 0.0091 |
| | ((0*3,1*4)*2,1,1,0*4) | 0.3886 | 0.0522 | 0.8033 | 0.0308 | 0.7297 | 0.0045 | 0.2183 | 0.0101 |
| 30 | (0*30) | 0.3358 | 0.0119 | 0.8219 | 0.0247 | 0.7436 | 0.0020 | 0.1945 | 0.0029 |
50 | 25 | (25,0*24) | 0.3478 | 0.0170 | 0.8100 | 0.0203 | 0.7384 | 0.0027 | 0.2010 | 0.0041 |
| | (0*8,2,3*7,2,0*8) | 0.3703 | 0.0290 | 0.7973 | 0.0189 | 0.7322 | 0.0036 | 0.2121 | 0.0068 |
| | (3*6,0*12,1*7) | 0.3632 | 0.0239 | 0.7981 | 0.0193 | 0.7361 | 0.0032 | 0.2081 | 0.0058 |
| 30 | (20,0*29) | 0.3367 | 0.0120 | 0.8088 | 0.0190 | 0.7441 | 0.0019 | 0.1952 | 0.0030 |
| | ((2,0,0)*10) | 0.3561 | 0.0188 | 0.8001 | 0.0189 | 0.7373 | 0.0027 | 0.2051 | 0.0046 |
| | (0*29,20) | 0.3809 | 0.0439 | 0.7887 | 0.0223 | 0.7345 | 0.0038 | 0.2158 | 0.0096 |
| 50 | (0*50) | 0.3183 | 0.0051 | 0.8112 | 0.0128 | 0.7498 | 0.0011 | 0.1867 | 0.0013 |
Table 17.
Estimation values and MSEs of parameters, reliability and hazard functions using Metropolis-Hastings method under GELF when , , , , , , , , , , N = 1000.
Table 17.
Estimation values and MSEs of parameters, reliability and hazard functions using Metropolis-Hastings method under GELF when , , , , , , , , , , N = 1000.
k | n | m | Scheme | | | | |
---|
EV | MSE | EV | MSE | EV | MSE | EV | MSE |
---|
3 | 30 | 20 | (10,0*19) | 0.3320 | 0.0133 | 0.8181 | 0.0360 | 0.7360 | 0.0034 | 0.1923 | 0.0033 |
| | ((2,0)*2,(1,0)*6,0*4) | 0.3281 | 0.0130 | 0.8207 | 0.0376 | 0.7381 | 0.0033 | 0.1903 | 0.0034 |
| | ((0*3,1*4)*2,1,1,0*4) | 0.3489 | 0.0249 | 0.7999 | 0.0372 | 0.7340 | 0.0038 | 0.1995 | 0.0054 |
| 30 | (0*30) | 0.3152 | 0.0063 | 0.8121 | 0.0281 | 0.7471 | 0.0019 | 0.1837 | 0.0016 |
50 | 25 | (25,0*24) | 0.3196 | 0.0080 | 0.8163 | 0.0251 | 0.7419 | 0.0023 | 0.1870 | 0.0021 |
| | (0*8,2,3*7,2,0*8) | 0.3404 | 0.0162 | 0.7910 | 0.0236 | 0.7369 | 0.0031 | 0.1972 | 0.0041 |
| | (3*6,0*12,1*7) | 0.3297 | 0.0138 | 0.8038 | 0.0241 | 0.7409 | 0.0025 | 0.1915 | 0.0034 |
| 30 | (20,0*29) | 0.3166 | 0.0064 | 0.8060 | 0.0231 | 0.7464 | 0.0019 | 0.1850 | 0.0017 |
| | ((2,0,0)*10) | 0.3220 | 0.0085 | 0.8061 | 0.0208 | 0.7430 | 0.0020 | 0.1884 | 0.0022 |
| | (0*29,20) | 0.3413 | 0.0157 | 0.7908 | 0.0237 | 0.7379 | 0.0024 | 0.1973 | 0.0037 |
| 50 | (0*50) | 0.3106 | 0.0032 | 0.8042 | 0.0156 | 0.7498 | 0.0011 | 0.1827 | 0.0009 |
5 | 30 | 20 | (10,0*19) | 0.3413 | 0.0196 | 0.8061 | 0.0316 | 0.7343 | 0.0037 | 0.1972 | 0.0049 |
| | ((2,0)*2,(1,0)*6,0*4) | 0.3477 | 0.0224 | 0.8008 | 0.0253 | 0.7293 | 0.0042 | 0.2013 | 0.0056 |
| | ((0*3,1*4)*2,1,1,0*4) | 0.3645 | 0.0371 | 0.7855 | 0.0284 | 0.7270 | 0.0052 | 0.2083 | 0.0083 |
| 30 | (0*30) | 0.3243 | 0.0088 | 0.8011 | 0.0210 | 0.7433 | 0.0018 | 0.1892 | 0.0022 |
50 | 25 | (25,0*24) | 0.3421 | 0.0201 | 0.7964 | 0.0224 | 0.7349 | 0.0032 | 0.1982 | 0.0046 |
| | (0*8,2,3*7,2,0*8) | 0.3504 | 0.0275 | 0.7890 | 0.0197 | 0.7307 | 0.0042 | 0.2028 | 0.0066 |
| | (3*6,0*12,1*7) | 0.3476 | 0.0241 | 0.7902 | 0.0225 | 0.7331 | 0.0038 | 0.2011 | 0.0060 |
| 30 | (20,0*29) | 0.3305 | 0.0101 | 0.7886 | 0.0177 | 0.7418 | 0.0021 | 0.1925 | 0.0026 |
| | ((2,0,0)*10) | 0.3332 | 0.0133 | 0.7909 | 0.0168 | 0.7395 | 0.0026 | 0.1942 | 0.0035 |
| | (0*29,20) | 0.3601 | 0.0319 | 0.7818 | 0.0220 | 0.7291 | 0.0041 | 0.2070 | 0.0073 |
| 50 | (0*50) | 0.3133 | 0.0043 | 0.8076 | 0.0127 | 0.7472 | 0.0011 | 0.1848 | 0.0012 |
Table 18.
Estimation values and MSEs of parameters, reliability and hazard functions using Metropolis-Hastings method under GELF when , , , , , , , , , , N = 1000.
Table 18.
Estimation values and MSEs of parameters, reliability and hazard functions using Metropolis-Hastings method under GELF when , , , , , , , , , , N = 1000.
k | n | m | Scheme | | | | |
---|
EV | MSE | EV | MSE | EV | MSE | EV | MSE |
---|
3 | 30 | 20 | (10,0*19) | 0.3249 | 0.0134 | 0.8033 | 0.0359 | 0.7377 | 0.0034 | 0.1883 | 0.0034 |
| | ((2,0)*2,(1,0)*6,0*4) | 0.3312 | 0.0138 | 0.7939 | 0.0319 | 0.7342 | 0.0035 | 0.1921 | 0.0035 |
| | ((0*3,1*4)*2,1,1,0*4) | 0.3346 | 0.0208 | 0.7905 | 0.0319 | 0.7348 | 0.0039 | 0.1931 | 0.0049 |
| 30 | (0*30) | 0.3182 | 0.0072 | 0.8048 | 0.0287 | 0.7422 | 0.0021 | 0.1858 | 0.0018 |
50 | 25 | (25,0*24) | 0.3231 | 0.0105 | 0.8010 | 0.0268 | 0.7394 | 0.0026 | 0.1883 | 0.0026 |
| | (0*8,2,3*7,2,0*8) | 0.3364 | 0.0174 | 0.7870 | 0.0221 | 0.7334 | 0.0031 | 0.1956 | 0.0042 |
| | (3*6,0*12,1*7) | 0.3278 | 0.0127 | 0.7936 | 0.0233 | 0.7369 | 0.0028 | 0.1913 | 0.0032 |
| 30 | (20,0*29) | 0.3158 | 0.0067 | 0.8066 | 0.0226 | 0.7420 | 0.0021 | 0.1854 | 0.0018 |
| | ((2,0,0)*10) | 0.3203 | 0.0098 | 0.7941 | 0.0227 | 0.7436 | 0.0019 | 0.1869 | 0.0024 |
| | (0*29,20) | 0.3304 | 0.0139 | 0.7880 | 0.0242 | 0.7390 | 0.0024 | 0.1920 | 0.0032 |
| 50 | (0*50) | 0.3103 | 0.0032 | 0.8023 | 0.0149 | 0.7472 | 0.0012 | 0.1830 | 0.0009 |
5 | 30 | 20 | (10,0*19) | 0.3324 | 0.0178 | 0.7895 | 0.0263 | 0.7336 | 0.0039 | 0.1933 | 0.0045 |
| | ((2,0)*2,(1,0)*6,0*4) | 0.3431 | 0.0233 | 0.7828 | 0.0261 | 0.7284 | 0.0047 | 0.1989 | 0.0059 |
| | ((0*3,1*4)*2,1,1,0*4) | 0.3477 | 0.0531 | 0.7854 | 0.0293 | 0.7290 | 0.0053 | 0.2000 | 0.0109 |
| 30 | (0*30) | 0.3147 | 0.0081 | 0.8038 | 0.0210 | 0.7432 | 0.0019 | 0.1847 | 0.0021 |
50 | 25 | (25,0*24) | 0.3276 | 0.0113 | 0.7929 | 0.0212 | 0.7365 | 0.0028 | 0.1916 | 0.0031 |
| | (0*8,2,3*7,2,0*8) | 0.3457 | 0.0275 | 0.7798 | 0.0197 | 0.7282 | 0.0047 | 0.2007 | 0.0069 |
| | (3*6,0*12,1*7) | 0.3388 | 0.0179 | 0.7792 | 0.0190 | 0.7310 | 0.0037 | 0.1974 | 0.0046 |
| 30 | (20,0*29) | 0.3212 | 0.0088 | 0.7928 | 0.0160 | 0.7407 | 0.0022 | 0.1886 | 0.0024 |
| | ((2,0,0)*10) | 0.3327 | 0.0163 | 0.7837 | 0.0177 | 0.7357 | 0.0032 | 0.1944 | 0.0044 |
| | (0*29,20) | 0.3454 | 0.0224 | 0.7734 | 0.0210 | 0.7295 | 0.0040 | 0.2003 | 0.0057 |
| 50 | (0*50) | 0.3112 | 0.0034 | 0.8234 | 0.0171 | 0.7515 | 0.0010 | 0.1829 | 0.0009 |
Table 19.
Average length and coverage probability of 95% asymptotic confidence/Bayesian credible interval for parameters under SELF when , , , , , , , N = 1000.
Table 19.
Average length and coverage probability of 95% asymptotic confidence/Bayesian credible interval for parameters under SELF when , , , , , , , N = 1000.
k | n | m | Scheme | | | | |
---|
EV | MSE | EV | MSE | EV | MSE | EV | MSE |
---|
3 | 30 | 15 | (15,0*14) | 0.4707 | 0.974 | 0.7516 | 0.904 | 0.4978 | 0.932 | 0.9052 | 0.936 |
| | (0*6,10,5,0*7) | 0.5912 | 0.958 | 0.6902 | 0.878 | 0.6254 | 0.910 | 0.8724 | 0.924 |
| | ((2,0)*7,1) | 0.6093 | 0.968 | 0.7196 | 0.896 | 0.6860 | 0.920 | 0.8956 | 0.934 |
30 | 20 | (10,0*19) | 0.3883 | 0.980 | 0.6826 | 0.890 | 0.3983 | 0.940 | 0.8227 | 0.936 |
| | ((2,0)*2,(1,0)*6,0*4) | 0.4104 | 0.956 | 0.6686 | 0.886 | 0.4248 | 0.926 | 0.8135 | 0.928 |
| | ((0*3,1*4)*2,1,1,0*4) | 0.4383 | 0.964 | 0.6645 | 0.900 | 0.4563 | 0.924 | 0.7992 | 0.936 |
| 30 | (0*30) | 0.2968 | 0.976 | 0.6071 | 0.916 | 0.2971 | 0.948 | 0.7175 | 0.962 |
50 | 25 | (25,0*24) | 0.3295 | 0.964 | 0.5966 | 0.928 | 0.3326 | 0.926 | 0.6525 | 0.946 |
| | (0*8,2,3*7,2,0*8) | 0.3896 | 0.958 | 0.5602 | 0.926 | 0.4029 | 0.922 | 0.6291 | 0.946 |
| | (3*6,0*12,1*7) | 0.3876 | 0.974 | 0.5550 | 0.880 | 0.4011 | 0.944 | 0.6229 | 0.920 |
| 30 | (20,0*29) | 0.2905 | 0.97 | 0.5682 | 0.914 | 0.2930 | 0.936 | 0.6228 | 0.940 |
| | ((2,0,0)*10) | 0.3335 | 0.97 | 0.5450 | 0.894 | 0.3402 | 0.934 | 0.6031 | 0.932 |
| | (0*29,20) | 0.3830 | 0.97 | 0.5716 | 0.904 | 0.4137 | 0.932 | 0.6423 | 0.944 |
| 50 | (0*50) | 0.2155 | 0.960 | 0.4810 | 0.942 | 0.2124 | 0.952 | 0.5215 | 0.950 |
5 | 30 | 15 | (15,0*14) | 0.5232 | 0.974 | 0.6766 | 0.918 | 0.5790 | 0.956 | 0.7666 | 0.958 |
| | (0*6,10,5,0*7) | 0.6486 | 0.960 | 0.6355 | 0.900 | 0.7333 | 0.920 | 0.7483 | 0.930 |
| | ((2,0)*7,1) | 0.8226 | 0.962 | 0.6677 | 0.902 | 1.0002 | 0.902 | 0.7834 | 0.916 |
30 | 20 | (10,0*19) | 0.4349 | 0.966 | 0.6256 | 0.920 | 0.4667 | 0.914 | 0.7103 | 0.928 |
| | ((2,0)*2,(1,0)*6,0*4) | 0.5159 | 0.976 | 0.5943 | 0.902 | 0.5598 | 0.924 | 0.6779 | 0.930 |
| | ((0*3,1*4)*2,1,1,0*4) | 0.5229 | 0.972 | 0.5934 | 0.894 | 0.5692 | 0.944 | 0.6780 | 0.918 |
| 30 | (0*30) | 0.3355 | 0.968 | 0.5457 | 0.930 | 0.3423 | 0.952 | 0.6046 | 0.950 |
50 | 25 | (25,0*24) | 0.3839 | 0.976 | 0.5355 | 0.908 | 0.3986 | 0.934 | 0.5755 | 0.922 |
| | (0*8,2,3*7,2,0*8) | 0.4622 | 0.954 | 0.5046 | 0.914 | 0.4885 | 0.942 | 0.5513 | 0.954 |
| | (3*6,0*12,1*7) | 0.4586 | 0.964 | 0.5142 | 0.906 | 0.5132 | 0.916 | 0.5587 | 0.934 |
| 30 | (20,0*29) | 0.3368 | 0.968 | 0.5040 | 0.900 | 0.3473 | 0.936 | 0.5376 | 0.936 |
| | ((2,0,0)*10) | 0.4105 | 0.964 | 0.4887 | 0.906 | 0.4358 | 0.910 | 0.5305 | 0.918 |
| | (0*29,20) | 0.4885 | 0.962 | 0.5440 | 0.928 | 0.5804 | 0.932 | 0.5856 | 0.944 |
| 50 | (0*50) | 0.2433 | 0.962 | 0.4239 | 0.944 | 0.2463 | 0.944 | 0.4527 | 0.958 |
Table 20.
Average length and coverage probability of 95% asymptotic confidence/Bayesian credible interval for parameters under SELF using noninformative priors when , , , , , , , N = 1000.
Table 20.
Average length and coverage probability of 95% asymptotic confidence/Bayesian credible interval for parameters under SELF using noninformative priors when , , , , , , , N = 1000.
k | n | m | Scheme | | | | |
---|
EV | MSE | EV | MSE | EV | MSE | EV | MSE |
---|
3 | 30 | 15 | (15,0*14) | 0.4502 | 0.948 | 0.7333 | 0.892 | 0.4825 | 0.946 | 0.9200 | 0.934 |
| | (0*6,10,5,0*7) | 0.5913 | 0.956 | 0.6894 | 0.886 | 0.6748 | 0.930 | 0.9020 | 0.932 |
| | ((2,0)*7,1) | 0.6047 | 0.968 | 0.7386 | 0.886 | 0.6687 | 0.926 | 0.9346 | 0.934 |
30 | 20 | (10,0*19) | 0.3713 | 0.974 | 0.6827 | 0.890 | 0.3793 | 0.934 | 0.8317 | 0.938 |
| | ((2,0)*2,(1,0)*6,0*4) | 0.4152 | 0.960 | 0.6724 | 0.898 | 0.4323 | 0.924 | 0.8341 | 0.916 |
| | ((0*3,1*4)*2,1,1,0*4) | 0.4293 | 0.962 | 0.6595 | 0.906 | 0.4538 | 0.942 | 0.8334 | 0.936 |
| 30 | (0*30) | 0.2999 | 0.962 | 0.5989 | 0.912 | 0.3009 | 0.958 | 0.7166 | 0.942 |
50 | 25 | (25,0*24) | 0.3226 | 0.936 | 0.5753 | 0.886 | 0.3319 | 0.942 | 0.6519 | 0.920 |
| | (0*8,2,3*7,2,0*8) | 0.4071 | 0.966 | 0.5528 | 0.920 | 0.4235 | 0.932 | 0.6264 | 0.936 |
| | (3*6,0*12,1*7) | 0.3839 | 0.972 | 0.5522 | 0.904 | 0.4045 | 0.944 | 0.6250 | 0.956 |
| 30 | (20,0*29) | 0.2923 | 0.954 | 0.5637 | 0.926 | 0.2951 | 0.936 | 0.6277 | 0.938 |
| | ((2,0,0)*10) | 0.3295 | 0.958 | 0.5415 | 0.908 | 0.3368 | 0.944 | 0.6090 | 0.934 |
| | (0*29,20) | 0.3900 | 0.954 | 0.5725 | 0.896 | 0.4253 | 0.914 | 0.6520 | 0.930 |
| 50 | (0*50) | 0.2189 | 0.954 | 0.4723 | 0.922 | 0.2191 | 0.960 | 0.5170 | 0.950 |
5 | 30 | 15 | (15,0*14) | 0.5569 | 0.972 | 0.6786 | 0.900 | 0.6172 | 0.934 | 0.7805 | 0.932 |
| | (0*6,10,5,0*7) | 0.7654 | 0.962 | 0.6269 | 0.878 | 0.8917 | 0.904 | 0.7415 | 0.916 |
| | ((2,0)*7,1) | 0.7470 | 0.946 | 0.6753 | 0.884 | 0.9281 | 0.934 | 0.8098 | 0.916 |
30 | 20 | (10,0*19) | 0.4440 | 0.972 | 0.6215 | 0.910 | 0.4718 | 0.928 | 0.7083 | 0.914 |
| | ((2,0)*2,(1,0)*6,0*4) | 0.5222 | 0.968 | 0.6035 | 0.904 | 0.5671 | 0.924 | 0.7082 | 0.936 |
| | ((0*3,1*4)*2,1,1,0*4) | 0.5133 | 0.974 | 0.6059 | 0.910 | 0.5541 | 0.930 | 0.6961 | 0.932 |
| 30 | (0*30) | 0.3434 | 0.966 | 0.5381 | 0.914 | 0.3530 | 0.944 | 0.6063 | 0.928 |
50 | 25 | (25,0*24) | 0.3709 | 0.978 | 0.5377 | 0.932 | 0.3888 | 0.944 | 0.5787 | 0.950 |
| | (0*8,2,3*7,2,0*8) | 0.4859 | 0.960 | 0.4974 | 0.902 | 0.5187 | 0.926 | 0.5491 | 0.946 |
| | (3*6,0*12,1*7) | 0.4520 | 0.962 | 0.5189 | 0.904 | 0.5015 | 0.926 | 0.5685 | 0.912 |
| 30 | (20,0*29) | 0.3364 | 0.960 | 0.5027 | 0.926 | 0.3481 | 0.928 | 0.5379 | 0.920 |
| | ((2,0,0)*10) | 0.3948 | 0.948 | 0.4994 | 0.904 | 0.4185 | 0.926 | 0.5479 | 0.916 |
| | (0*29,20) | 0.4739 | 0.958 | 0.5306 | 0.924 | 0.5614 | 0.942 | 0.5837 | 0.944 |
| 50 | (0*50) | 0.2443 | 0.962 | 0.4238 | 0.950 | 0.2447 | 0.950 | 0.4486 | 0.962 |
Table 21.
The practical data sets of tensile strength of carbon fibers.
Table 21.
The practical data sets of tensile strength of carbon fibers.
| 3.7 | 3.11 | 4.42 | 3.28 | 3.75 | 2.96 | 3.39 | 3.31 | 3.15 | 2.81 | 1.41 | 2.76 | 3.19 |
| 1.59 | 2.17 | 3.51 | 1.84 | 1.61 | 1.57 | 1.89 | 2.75 | 3.27 | 2.41 | 3.09 | 2.43 | 2.53 |
| 2.81 | 3.31 | 2.35 | 2.77 | 2.68 | 4.91 | 1.57 | 2.00 | 1.17 | 2.17 | 0.39 | 2.79 | 1.08 |
| 2.88 | 2.73 | 2.87 | 3.19 | 1.87 | 2.95 | 2.67 | 4.20 | 2.85 | 2.55 | 2.17 | 2.97 | 3.68 |
| 0.81 | 1.22 | 5.08 | 1.69 | 3.68 | 4.70 | 2.03 | 2.82 | 2.50 | 1.47 | 3.22 | 3.15 | 2.97 |
| 2.93 | 3.33 | 2.56 | 2.59 | 2.83 | 1.36 | 1.84 | 5.56 | 1.12 | 2.48 | 1.25 | 2.48 | 2.03 |
| 1.61 | 2.05 | 3.60 | 3.11 | 1.69 | 4.90 | 3.39 | 3.22 | 2.55 | 3.56 | 2.38 | 1.92 | 0.98 |
| 1.59 | 1.73 | 1.71 | 1.18 | 4.38 | 0.85 | 1.80 | 2.12 | 3.65 | | | | |
Table 22.
Results of fitting different functions to the practical data.
Table 22.
Results of fitting different functions to the practical data.
N.O.P | Distribution | MLEs | − | AIC | BIC | K-S |
---|
1 | Exponential | | 195.9925 | 393.9850 | 396.5901 | 0.3218 |
1 | HLD | | 181.1867 | 364.3733 | 366.9785 | 0.2919 |
2 | Weibull | | 140.9977 | 285.9954 | 291.2057 | 0.0632 |
| | |
2 | IWD | | 172.5033 | 349.0067 | 354.2170 | 0.5232 |
| | |
2 | GIRD | | 174.0566 | 352.1132 | 357.3235 | 0.2012 |
| | |
2 | IEHLD | | 151.9385 | 307.8769 | 313.0873 | 0.1358 |
| | |
Table 23.
The grouped data.
Table 23.
The grouped data.
Group Iteam | 1 | 2 | 3 | 4 | 5 | 6 | 7 | 8 | 9 | 10 | 11 | 12 | 13 |
---|
1 | 3.39 | 2.35 | 1.8 | 2.05 | 4.90 | 2.03 | 0.81 | 1.17 | 2.96 | 2.48 | 2.68 | 2.17 | 3.27 |
2 | 2.75 | 1.47 | 3.6 | 1.22 | 2.17 | 2.73 | 3.33 | 3.39 | 0.85 | 1.36 | 2.41 | 2.88 | 1.59 |
Group Iteam | 14 | 15 | 16 | 17 | 18 | 19 | 20 | 21 | 22 | 23 | 24 | 25 | 26 |
1 | 2.48 | 4.70 | 3.09 | 3.28 | 2.17 | 5.56 | 1.18 | 4.42 | 2.81 | 3.15 | 3.22 | 2.93 | 3.22 |
2 | 2.81 | 2.67 | 1.08 | 2.97 | 4.91 | 2.43 | 1.61 | 3.19 | 3.19 | 3.31 | 2.12 | 3.11 | 1.84 |
Group Iteam | 27 | 28 | 29 | 30 | 31 | 32 | 33 | 34 | 35 | 36 | 37 | 38 | 39 |
1 | 5.08 | 1.57 | 4.20 | 2.03 | 2.77 | 3.56 | 1.12 | 2.50 | 1.71 | 3.65 | 1.61 | 3.11 | 1.92 |
2 | 1.25 | 2.56 | 2.53 | 3.68 | 0.39 | 1.89 | 2.87 | 1.84 | 3.51 | 2.95 | 3.31 | 2.82 | 2.55 |
Group Iteam | 40 | 41 | 42 | 43 | 44 | 45 | 46 | 47 | 48 | 49 | 50 | | |
1 | 2.85 | 2.79 | 1.73 | 4.38 | 3.15 | 1.69 | 1.41 | 1.69 | 1.59 | 2.76 | 2.97 | | |
2 | 2.59 | 2.55 | 1.87 | 1.57 | 2.00 | 3.70 | 2.38 | 0.98 | 3.68 | 2.83 | 3.75 | | |
Table 24.
The progressive first-failure censored samples generated from the practical data sets.
Table 24.
The progressive first-failure censored samples generated from the practical data sets.
| Censoring Scheme | Progressive First-Failure Censored Sample |
---|
| = (1*15, 0*20)
| 0.39, 0.85, 1.08, 1.17, 1.22, 1.36, 1.47, 1.57, 1.59 |
| | 1.69, 1.73, 1.84, 1.89, 2.00, 2.03, 2.17, 2.17, 2.17 |
| | 2.41, 2.43, 2.48, 2.53, 2.55, 2.59, 2.67, 2.75, 2.76 |
| | 2.81, 2.82, 2.93, 2.95, 2.97, 2.97, 3.15, 3.19 |
| = (0*15, 3*5, 0*15)
| 0.39, 0.81, 0.85, 0.98, 1.08, 1.12, 1.17, 1.18, 1.22 |
| | 1.25, 1.36, 1.41, 1.47, 1.57, 1.57, 1.59, 1.71, 1.84 |
| | 2.03, 2.17, 2.48, 2.53, 2.55, 2.59, 2.67, 2.75, 2.76 |
| | 2.81, 2.82, 2.93, 2.95, 2.97, 2.97, 3.15, 3.19 |
| = (0*34, 15)
| 0.39, 0.81, 0.85, 0.98, 1.08, 1.12, 1.17, 1.18, 1.22 |
| | 1.25, 1.36, 1.41, 1.47, 1.57, 1.57, 1.59, 1.59, 1.61 |
| | 1.69, 1.71, 1.73, 1.80, 1.84, 1.84, 1.89, 1.92, 2.00 |
| | 2.03, 2.03, 2.12, 2.17, 2.17, 2.17, 2.41, 2.43 |
Table 25.
Maximum Likelihood and Bayesian Estimates under different schemes.
Table 25.
Maximum Likelihood and Bayesian Estimates under different schemes.
Estimation | Censoring Scheme |
---|
| | |
---|
| 3.7306 [ 0.6542,6.8100 ] | 1.8196 [ 0.5276,3.1116 ] | 1.6307 [ 0.4579,2.8035 ] |
| 3.9320 | 1.8655 | 1.6837 |
| 1.3597 [ 0.2560,4.1397 ] | 1.9471 [ 0.2569,3.1614 ] | 1.7058 [ 0.2512,4.3786 ] |
| 0.1555 [ 0.1115,0.1996 ] | 0.2127 [ 0.1490,0.2765 ] | 0.2356 [ 0.1630,0.3082 ] |
| 0.1597 | 0.2198 | 0.2433 |
| 0.3211 [ 0.1479,0.7694 ] | 0.2120 [ 0.1758,0.7935 ] | 0.2400 [ 0.1731,0.8261 ] |
| 0.0128 | 0.0694 | 0.0779 |
| 0.0278 | 0.0907 | 0.0990 |
| 0.2027 | 0.0777 | 0.0902 |
| 0.3486 | 0.1754 | 0.1583 |
| 0.3732 | 0.1831 | 0.1664 |
| 0.1296 | 0.1868 | 0.1650 |
Table 26.
Comparision of censoring schemes using different criteria.
Table 26.
Comparision of censoring schemes using different criteria.
Censoring Scheme | Different Criteria |
---|
| | | | |
---|
= (1*15, 0*20) | | 2.4690 | 4.8676 | 60.6790 | 24.1327 |
= (0*15, 3*5, 0*15)
| | 0.4356 | 0.1813 | 5.2060 | 1.7082 |
= (0*34, 15)
| | 0.3594 | 0.1096 | 3.9038 | 1.2315 |