Composition Methods for Dynamical Systems Separable into Three Parts
Abstract
1. Introduction
2. First Approach: Splitting Methods
3. Second Approach: Composition Methods
3.1. Analysis in Terms of Exponentials of Operators
3.2. Composition Methods of Order 4
4. Third Approach: Splitting via Composition
An Optimization Criterion Based on the Error in Energy
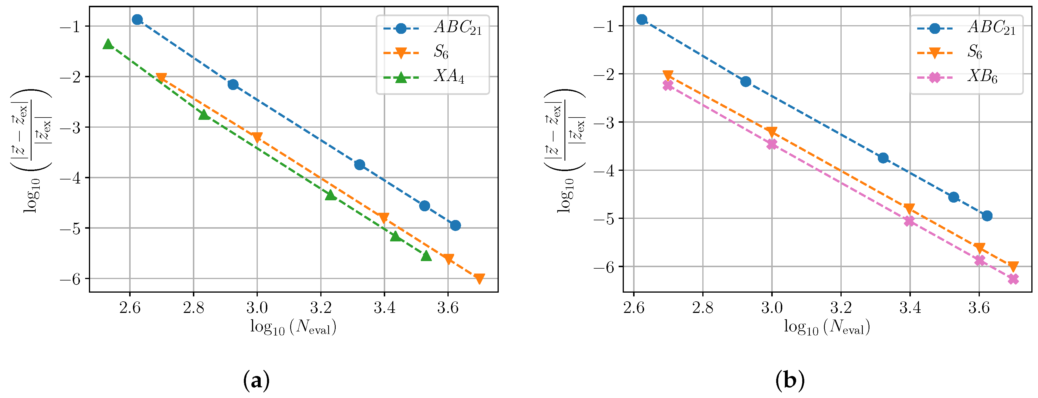
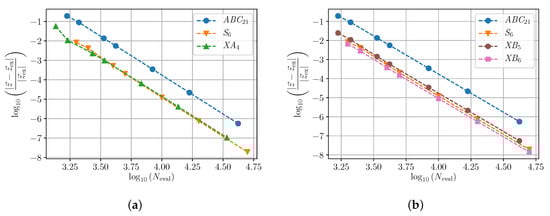
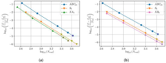
5. Numerical Examples
| Listing 1. Sequence of computation for a composition method Equation (10) applied to a problem with the basic first-order scheme for the time step : |
5.1. Motion of a Charged Particle under Lorentz Force
5.2. Disordered Discrete Nonlinear Schrödinger Equation
6. Concluding Remarks
Author Contributions
Funding
Acknowledgments
Conflicts of Interest
References
- McLachlan, R.; Quispel, R. Splitting methods. Acta Numer. 2002, 11, 341–434. [Google Scholar] [CrossRef]
- Glowinski, R.; Osher, S.; Yin, W. (Eds.) Splitting Methods in Communication, Imaging, Science, and Engineering; Springer: Berlin, Germany, 2016. [Google Scholar]
- Hairer, E.; Lubich, C.; Wanner, G. Geometric Numerical Integration. Structure-Preserving Algorithms for Ordinary Differential Equations, 2nd ed.; Springer: Berlin, Germany, 2006. [Google Scholar]
- Blanes, S.; Casas, F. A Concise Introduction to Geometric Numerical Integration; CRC Press: Boca Raton, FL, USA, 2016. [Google Scholar]
- Sanz-Serna, J.; Calvo, M. Numerical Hamiltonian Problems; Chapman & Hall: London, UK, 1994. [Google Scholar]
- Leimkuhler, B.; Reich, S. Simulating Hamiltonian Dynamics; Cambridge University Press: Cambridge, UK, 2004. [Google Scholar]
- Skokos, C.; Gerlach, E.; Bodyfelt, J.; Papamikos, G.; Eggl, S. High order three part split symplectic integrators: Efficient techniques for the long time simulation of the disordered discrete nonlinear Schrödinger equation. Phys. Lett. A 2014, 378, 1809–1815. [Google Scholar] [CrossRef]
- Crouseilles, N.; Einkemmer, L.; Faou, E. Hamiltonian splitting for the Vlasov–Maxwell equations. J. Comput. Phys. 2015, 283, 224–240. [Google Scholar] [CrossRef]
- He, Y.; Sun, Y.; Liu, J.; Qin, H. Volume-preserving algorithms for charged particle dynamics. J. Comput. Phys. 2015, 281, 135–147. [Google Scholar] [CrossRef]
- Shang, X.; Kroger, M.; Leimkuhler, B. Assessing numerical methods for molecular and particle simulation. Soft Matter 2017, 13, 8565–8578. [Google Scholar] [CrossRef] [PubMed]
- Koseleff, P.V. Exhaustive search of symplectic integrators using computer algebra. In Integration Algorithms and Classical Mechanics; Marsden, J., Patrick, G., Shadwick, W., Eds.; American Mathematical Society: Providence, RI, USA, 1996. [Google Scholar]
- Auzinger, W.; Hofstätter, H.; Ketcheson, D.; Koch, O. Practical splitting methods for the adaptive integration of nonlinear evolution equations. Part I: Construction of optimized schemes and pairs of schemes. BIT Numer. Math 2017, 57, 55–74. [Google Scholar] [CrossRef]
- Arnold, V. Mathematical Methods of Classical Mechanics, 2nd ed.; Springer: Berlin, Germany, 1989. [Google Scholar]
- Blanes, S.; Casas, F.; Murua, A. Splitting and composition methods in the numerical integration of differential equations. Bol. Soc. Esp. Mat. Apl. 2008, 45, 89–145. [Google Scholar]
- Yoshida, H. Construction of higher order symplectic integrators. Phys. Lett. A 1990, 150, 262–268. [Google Scholar] [CrossRef]
- Diele, F.; Marangi, C. Explicit symplectic partitioned Runge–Kutta–Nyström methods for non-autonomous dynamics. Appl. Numer. Math. 2011, 61, 832–843. [Google Scholar] [CrossRef]
- Blanes, S.; Casas, F.; Murua, A. Composition methods for differential equations with processing. SIAM J. Sci. Comput. 2006, 27, 1817–1843. [Google Scholar] [CrossRef]
- Suzuki, M. Fractal decomposition of exponential operators with applications to many-body theories and Monte Carlo simulations. Phys. Lett. A 1990, 146, 319–323. [Google Scholar] [CrossRef]
- McLachlan, R. Families of High-Order Composition Methods. Numer. Algorithms 2002, 31, 233–246. [Google Scholar] [CrossRef]
- Bernier, J.; Casas, F.; Crouseilles, N. Splitting methods for rotations: Application to Vlasov equations. SIAM J. Sci. Comput. 2020. accepted for publication. [Google Scholar] [CrossRef]
- Kahan, W.; Li, R. Composition constants for raising the order of unconventional schemes for ordinary differential equations. Math. Comput. 1997, 66, 1089–1099. [Google Scholar] [CrossRef]
- Sofroniou, M.; Spaletta, G. Derivation of symmetric composition constants for symmetric integrators. Optim. Method. Softw. 2005, 20, 597–613. [Google Scholar] [CrossRef]
- Blanes, S.; Moan, P. Practical symplectic partitioned Runge–Kutta and Runge–Kutta–Nyström methods. J. Comput. Appl. Math. 2002, 142, 313–330. [Google Scholar] [CrossRef]
- McLachlan, R. On the Numerical Integration of ODE’s by Symmetric Composition Methods. SIAM J. Sci. Comput. 1995, 16, 151–168. [Google Scholar] [CrossRef]
- Blanes, S.; Casas, F.; Sanz-Serna, J. Numerical integrators for the Hybrid Monte Carlo method. SIAM J. Sci. Comput. 2014, 36, A1556–A1580. [Google Scholar] [CrossRef]
- Tao, M. Explicit symplectic approximation of nonseparable Hamiltonians: Algorithm and long time performance. Phys. Rev. E 2016, 94, 043303. [Google Scholar] [CrossRef]
- He, Y.; Sun, Y.; Liu, J.; Qin, H. Higher order volume-preserving schemes for charged particle dynamics. J. Comput. Phys. 2016, 305, 172–184. [Google Scholar] [CrossRef]
- Hairer, E.; Nørsett, S.; Wanner, G. Solving Ordinary Differential Equations I, Nonstiff Problems, 2nd ed.; Springer: Berlin, Germany, 1993. [Google Scholar]
- Kopidakis, G.; Komineas, S.; Flach, S.; Aubry, S. Absence of wave packet diffusion in disordered nonlinear systems. Phys. Rev. Lett. 2008, 100, 084103. [Google Scholar] [CrossRef] [PubMed]
- Danieli, C.; Manda, B.; Mithun, T.; Skokos, C. Computational efficiency of numerical integration methods for the tangent dynamics of many-body Hamiltonian systems in one and two spatial dimensions. Math. Eng. 2019, 1, 447–488. [Google Scholar] [CrossRef]
- McLachlan, R.; Gray, S. Optimal stability polynomials for splitting methods, with applications to the time-dependent Schrödinger equation. Appl. Numer. Math. 1997, 25, 275–286. [Google Scholar] [CrossRef]
- Blanes, S.; Casas, F.; Murua, A. On the linear stability of splitting methods. Found. Comp. Math. 2008, 8, 357–393. [Google Scholar] [CrossRef]
- Hundsdorfer, W.; Verwer, J. Numerical Solution of Time-Dependent Advection-Diffusion-Reaction Equations; Springer: Berlin, Germany, 2003. [Google Scholar]
- Ropp, D.; Shadid, J. Stability of operator splitting methods for systems with indefinite operators: Reaction-diffusion systems. J. Comput. Phys. 2005, 203, 449–466. [Google Scholar] [CrossRef]
- Blanes, S.; Casas, F.; Thalhammer, M. Splitting and composition methods with embedded error estimators. Appl. Numer. Math. 2019, 146, 400–415. [Google Scholar] [CrossRef]




| Grade k | 1 | 2 | 3 | 4 | 5 | 6 | 7 | 8 |
| 3 | 3 | 8 | 18 | 45 | 116 | 312 | 810 |
| XA | |
| XA | |
| XA | |
| S | |
| XB | |
| XB | |
| XB | |
© 2020 by the authors. Licensee MDPI, Basel, Switzerland. This article is an open access article distributed under the terms and conditions of the Creative Commons Attribution (CC BY) license (http://creativecommons.org/licenses/by/4.0/).
Share and Cite
Casas, F.; Escorihuela-Tomàs, A. Composition Methods for Dynamical Systems Separable into Three Parts. Mathematics 2020, 8, 533. https://doi.org/10.3390/math8040533
Casas F, Escorihuela-Tomàs A. Composition Methods for Dynamical Systems Separable into Three Parts. Mathematics. 2020; 8(4):533. https://doi.org/10.3390/math8040533
Chicago/Turabian StyleCasas, Fernando, and Alejandro Escorihuela-Tomàs. 2020. "Composition Methods for Dynamical Systems Separable into Three Parts" Mathematics 8, no. 4: 533. https://doi.org/10.3390/math8040533
APA StyleCasas, F., & Escorihuela-Tomàs, A. (2020). Composition Methods for Dynamical Systems Separable into Three Parts. Mathematics, 8(4), 533. https://doi.org/10.3390/math8040533

