Image Analysis and Functional Data Clustering for Random Shape Aggregate Models
Abstract
1. Introduction
2. Material Preparation and Digital Image Processing
2.1. Sample Preparation
2.2. Image Registration of Concrete Cross-Section
2.3. Orientation Matching
3. Statistical Methodologies in IFAM
3.1. Functional Mixture Models
3.2. Generation of Random Shape Aggregates
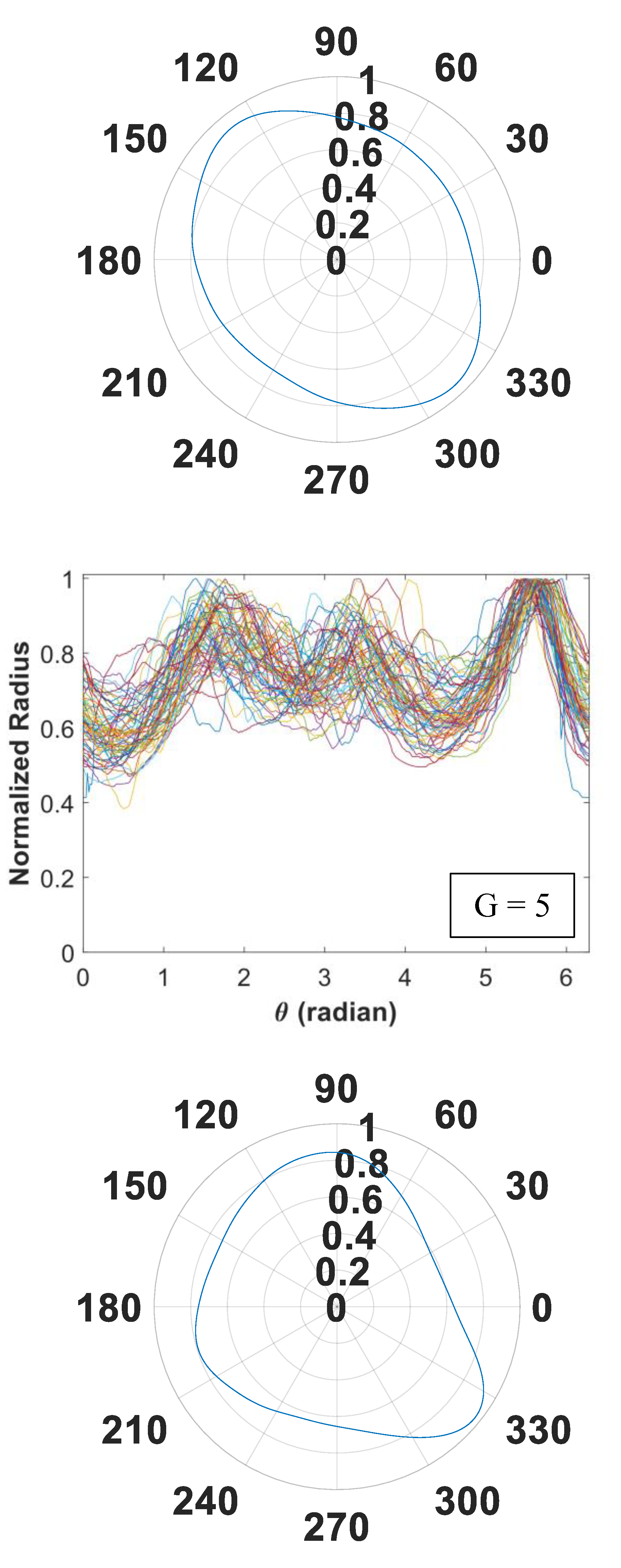
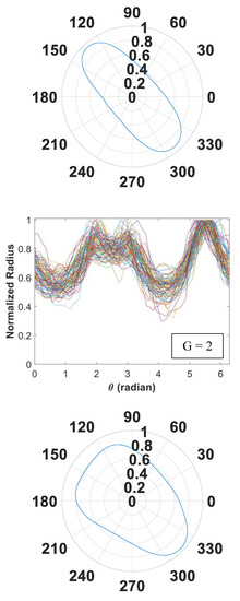
4. Results and Discussions
4.1. RSAM Results
4.2. Assessment of IFAM
5. Conclusions
- (1)
- IFAM utilizes a data-driven approach to learn real aggregate shapes. Our flexible learning framework enables us to simulate aggregate shapes close to real ones. Thus, the proposed method is more appropriate for the scattering wave propagation application.
- (2)
- IFAM has the advantage of image processing real aggregates and, therefore, contains the coarse aggregate characteristics such as concavity and irregularities. Unlike other approaches, IFAM is easy to use. We provide data-driven procedures to choose tuning parameters such as the number of bases and the number of clusters in our pipeline so that users do not need to choose these values. Also, the functional mixture model can be trained with a low computational burden. Once the model is trained, users can simulate thousands of aggregates in a few seconds.
- (3)
- The IFAM can be used for concrete structure simulations, especially when the crack propagation pattern is crucially important. Moreover, this technique is essentially useful for understanding wave propagation where the microcrack or crack distribution, including aggrege surrounding environment (i.e., in the vicinity of the interfacial transition zone), and understand that the aggregate shape plays an integral role in wave reflection and refraction.
- (4)
- For future research, we plan to establish a model for the spatial pattern of aggregate shapes, which will enable us to carry out the random placement of the generated aggregates into the sample domain. Also, we plan to extend IFAM for 3D aggregate simulation, which will be served as a research tool for the direction of wave scattering in wave propagation simulation studies.
Author Contributions
Funding
Conflicts of Interest
References
- Michaels, J.E.; Member, S.; Michaels, T.E.; Member, S. Detection of Structural Damage from the Local Temporal Coherence of Diffuse Ultrasonic Signals. IEEE Trans. Ultrason. Ferroelectr. Freq. Control 2005, 52, 1769–1782. [Google Scholar] [CrossRef] [PubMed]
- Jhang, K.Y. Non-linear ultrasonic techniques for non-destructive assessment of micro damage in material: A Review. Int. J. Precis. Eng. Manuf. 2009, 10, 123–135. [Google Scholar] [CrossRef]
- Ham, S.; Song, H.; Oelze, M.L.; Popovics, J.S. A contactless ultrasonic surface wave approach to characterize distributed cracking damage in concrete. Ultrasonics 2017, 75, 46–57. [Google Scholar] [CrossRef]
- Planès, T.; Larose, E. A review of ultrasonic Coda Wave Interferometry in concrete. Cem. Concr. Res. 2013, 53, 248–255. [Google Scholar] [CrossRef]
- Ren, W.; Yang, Z.; Sharma, R.; Zhang, C.; Withers, P.J. Two-dimensional X-ray CT image based meso-scale fracture modelling of concrete. Eng. Fract. Mech. 2015, 133, 24–39. [Google Scholar] [CrossRef]
- Thilakarathna, P.S.M.; Kristombu Baduge, K.S.; Mendis, P.; Vimonsatit, V.; Lee, H. Mesoscale modelling of concrete—A review of geometry generation, placing algorithms, constitutive relations and applications. Eng. Fract. Mech. 2020, 231, 106974. [Google Scholar] [CrossRef]
- Rodrigues, E.A.; Manzoli, O.L.; Bitencourt, L.A.G., Jr.; Bittencourt, T.N. 2D mesoscale model for concrete based on the use of interface element with a high aspect ratio. Int. J. Solids Struct. 2016, 94–95, 112–124. [Google Scholar] [CrossRef]
- Wang, Z.M.; Kwan, A.K.H.; Chan, H.C. Mesoscopic study of concrete I: Generation of random aggregate structure and finite element mesh. Comput. Struct. 1999, 70, 533–544. [Google Scholar] [CrossRef]
- Chengbin, D. Numerical Simulation of Aggregate Shape of Concrete. In Proceedings of the Earth & Space 2006: Engineering, Construction, and Operations in Challenging Environment, Houston, TX, USA, 5–8 March 2006; Volume 188, p. 158. [Google Scholar] [CrossRef]
- Zhang, Z.; Song, X.; Liu, Y.; Wu, D.; Song, C. Three-dimensional mesoscale modelling of concrete composites by using random walking algorithm. Compos. Sci. Technol. 2017, 149, 235–245. [Google Scholar] [CrossRef]
- Wittmann, F.H.; Sadouki, H. Simulation and Analysis of Composite Structures. Mater. Sci. 1985, 68, 239–248. [Google Scholar] [CrossRef]
- Beddow, J.K.; Meloy, T. Testing and Characterization of Powders and Fine Particles; Heyden: London, UK, 1980. [Google Scholar]
- Unger, J.F.; Eckardt, S. Multiscale Modeling of Concrete. Arch. Comput. Methods Eng. 2011, 18, 341–393. [Google Scholar] [CrossRef]
- Zhou, X.Q.; Hao, H. Mesoscale modelling and analysis of damage and fragmentation of concrete slab under contact detonation. Int. J. Impact Eng. 2009, 36, 1315–1326. [Google Scholar] [CrossRef]
- Wriggers, P.; Moftah, S.O. Mesoscale models for concrete: Homogenisation and damage behaviour. Finite Elem. Anal. Des. 2006, 42, 623–636. [Google Scholar] [CrossRef]
- Xie, Z.H.; Guo, Y.C.; Yuan, Q.Z.; Huang, P.Y. Mesoscopic Numerical Computation of Compressive Strength and Damage Mechanism of Rubber Concrete. Adv. Mater. Sci. Eng. 2015, 2015. [Google Scholar] [CrossRef]
- Giorla, A.; Vaitov, M.; Le Pape, Y.; Temberk, P. Meso-scale modeling of irradiated concrete in test reactor. Nucl. Eng. Des. 2015, 295, 59–73. [Google Scholar] [CrossRef]
- Xu, W.; Chen, H.; Lv, Z. A 2D elliptical model of random packing for aggregates in concrete. J. Wuhan Univ. Technol. Sci. Ed. 2010, 25, 717–720. [Google Scholar] [CrossRef]
- Häfner, S.; Eckardt, S.; Luther, T.; Könke, C. Mesoscale modeling of concrete: Geometry and numerics. Comput. Struct. 2006, 84, 450–461. [Google Scholar] [CrossRef]
- Zheng, J.J.; Zhou, X.Z.; Wu, Y.F.; Jin, X.Y. A numerical method for the chloride diffusivity in concrete with aggregate shape effect. Constr. Build. Mater. 2012, 31, 151–156. [Google Scholar] [CrossRef]
- Du, C.; Sun, L.; Jiang, S.; Ying, Z. Numerical Simulation of Aggregate Shapes of Two-Dimensional Concrete and Its Applications. J. Aerosp. Eng. 2007, 26, 515–527. [Google Scholar] [CrossRef]
- Xu, W.J.; Hu, L.M.; Gao, W. Random generation of the meso-structure of a soil-rock mixture and its application in the study of the mechanical behavior in a landslide dam. Int. J. Rock Mech. Min. Sci. 2016, 86, 166–178. [Google Scholar] [CrossRef]
- Cao, P.; Jin, F.; Changjun, Z.; Feng, D. Investigation on statistical characteristics of asphalt concrete dynamic moduli with random aggregate distribution model. Constr. Build. Mater. 2017, 148, 723–733. [Google Scholar] [CrossRef]
- Huang, J.; Peng, Q.; Hu, X.; Du, Y. A combined-alpha-shape-implicit-surface approach to generate 3D random concrete mesostructures via digital image processing, spectral representation, and point cloud. Constr. Build. Mater. 2017, 143, 330–365. [Google Scholar] [CrossRef]
- Soille, P. Morphological Image Analysis: Principles and Applications; Springer Science & Business Media: Berlin, German, 1999. [Google Scholar]
- Singer, A.; Buck, J.R.; Daniel, M.M. Computer Explorations in Signals and Systems Using MATLAB, 2nd ed.; Pearson: New Jersey, NJ, USA, 2002. [Google Scholar]
- Ramsay, J.; Hooker, G.; Graves, S. Functional Data Analysis with R and MATLAB; Springer: New York, NY, USA, 2009. [Google Scholar]
- Bouveyron, C.; Côme, E.; Jacques, J. The discriminative functional mixture model for a comparative analysis of bike sharing systems. Ann. Appl. Stat. 2015, 9, 1726–1760. [Google Scholar] [CrossRef]
- Febrero-Bande, M.; de la Fuente, M.O. Statistical Computing in Functional Data Analysis: The R Package fda.usc. J. Stat. Softw. 2012, 51. [Google Scholar] [CrossRef]
















| G | # of Members |
|---|---|
| 1 | 46 |
| 2 | 77 |
| 3 | 56 |
| 4 | 119 |
| 5 | 67 |
| 6 | 119 |
| 7 | 87 |
| 8 | 52 |
| 9 | 65 |
| 10 | 67 |
| 11 | 47 |
| 12 | 87 |
| 13 | 120 |
| 14 | 54 |
Publisher’s Note: MDPI stays neutral with regard to jurisdictional claims in published maps and institutional affiliations. |
© 2020 by the authors. Licensee MDPI, Basel, Switzerland. This article is an open access article distributed under the terms and conditions of the Creative Commons Attribution (CC BY) license (http://creativecommons.org/licenses/by/4.0/).
Share and Cite
Yun, J.; Kang, S.; Tehrani, A.D.; Ham, S. Image Analysis and Functional Data Clustering for Random Shape Aggregate Models. Mathematics 2020, 8, 1903. https://doi.org/10.3390/math8111903
Yun J, Kang S, Tehrani AD, Ham S. Image Analysis and Functional Data Clustering for Random Shape Aggregate Models. Mathematics. 2020; 8(11):1903. https://doi.org/10.3390/math8111903
Chicago/Turabian StyleYun, Jonghyun, Sanggoo Kang, Amin Darabnoush Tehrani, and Suyun Ham. 2020. "Image Analysis and Functional Data Clustering for Random Shape Aggregate Models" Mathematics 8, no. 11: 1903. https://doi.org/10.3390/math8111903
APA StyleYun, J., Kang, S., Tehrani, A. D., & Ham, S. (2020). Image Analysis and Functional Data Clustering for Random Shape Aggregate Models. Mathematics, 8(11), 1903. https://doi.org/10.3390/math8111903

