Anti-Synchronization of a Class of Chaotic Systems with Application to Lorenz System: A Unified Analysis of the Integer Order and Fractional Order
Abstract
1. Introduction
- (1)
- We study the finite-time anti-synchronization of a class of integer- and fractional-order chaotic systems with unknown parameters under the control of a unified controller. By using Lyapunov stability theory and fractional derivative theory, it is proven that integer and fractional chaotic systems with unknown parameters can achieve finite-time anti-synchronization under the control of a unified controller.
- (2)
- The unified controller theory is applied to integer- and fractional-order Lorentz systems respectively to achieve finite-time anti-synchronization. The correctness of the unified controller theory is verified theoretically.
- (3)
- The correctness of the theoretical results is verified by simulation examples. The time when the Lorenz system of different orders reaches anti-synchronization is calculated. At the same time, it can be observed that the finite-time T of anti-synchronization decreases with the increase of system order.
2. Finite-Time Anti-Synchronization of the Integer-Order and Fractional-Order Chaotic Systems
2.1. Model Formulation
2.2. Finite Time Anti-Synchronization: A Unified Analysis for Integer Order and Fractional Order
3. Application to the Lorenz System of Integer Order
4. Application to the Lorenz System of Fractional Order
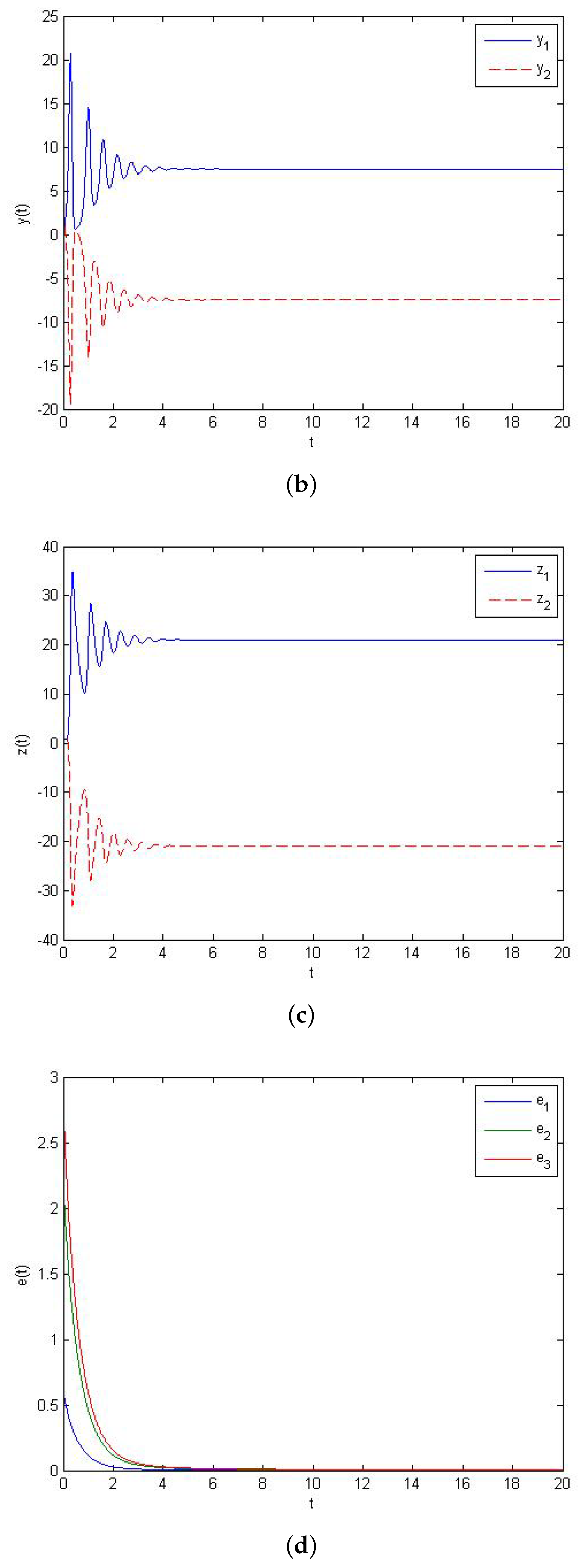
5. Numerical Simulations
6. Conclusions
Author Contributions
Funding
Conflicts of Interest
References
- Cao, J.; Lu, J. Adaptive synchronization of neural networks with or without time-varying delay. Chaos Interdiscip. J. Nonlinear Sci. 2006, 16, 013113. [Google Scholar] [CrossRef] [PubMed]
- Feki, M.; Robert, B. Observer-based chaotic synchronization in the presence of unknown inputs. Chaos Solitons Fractals 2003, 15, 831–840. [Google Scholar] [CrossRef]
- Huang, X.; Cao, J. Generalized synchronization for delayed chaotic neural networks: A novel coupling scheme. Nonlinearity 2006, 19, 2797–2811. [Google Scholar] [CrossRef]
- Li, X.; Fang, J.A.; Li, H. Exponential synchronization of memristive chaotic recurrent neural networks via alternate output feedback control. Asian J. Control. 2017, 20, 469–482. [Google Scholar] [CrossRef]
- Li, X.; Wu, J. Sufficient stability conditions of nonlinear differential systems under impulsive control with state-dependent delay. IEEE Trans. Autom. Control 2018, 63, 306–311. [Google Scholar] [CrossRef]
- Liu, Y.; Tong, L.; Lou, J.; Lu, J.; Cao, J. Sampled-data control for the cynchronization of boolean control networks. IEEE Trans. Cybern. 2017, 49, 1–7. [Google Scholar]
- Liu, Y.; Sun, L.; Lu, J.; Liang, J. Feedback controller design for the synchronization of boolean control networks. IEEE Trans. Neural Netw. Learn. Syst. 2016, 27, 1991–1996. [Google Scholar] [CrossRef]
- Yuan, K.; Fei, S.; Cao, J. Partial synchronization of the distributed parameter system with time delay via fuzzy control. IMA J. Math. Control. Inf. 2018, 31, 51–72. [Google Scholar] [CrossRef]
- Lu, J.; Daniel, H.; Cao, J.; Kurths, J. Exponential synchronization of linearly coupled neural networks with impulsive disturbances. IEEE Trans. Neural Netw. 2011, 22, 329–336. [Google Scholar] [CrossRef]
- Lu, J.; Xi, Y. Linear generalized synchronization of continuous-time chaotic systems. Chaos Solitons Fractals 2003, 17, 825–831. [Google Scholar] [CrossRef]
- Sundarapandian, V.; Karthikeyan, R. Hybrid chaos synchronization of hyperchaotic lorenz and hyperchaotic chen systems by active non-linear control. Int. J. Adv. Res. Comput. Sci. 2010, 01, 41–50. [Google Scholar]
- Zhang, B.; Zhuang, J.; Liu, H.; Cao, J.; Xia, Y. Master-slave synchronization of a class of fractional-order takagi-sugeno fuzzy neural networks. Adv. Differ. Equ. 2018, 473. [Google Scholar] [CrossRef]
- Al-Sawalha, M.; Noorani, M. Anti-synchronization of two hyper-chaotic systems via nonlinear control. Chaos Solitons Fractals 2009, 42, 170–179. [Google Scholar] [CrossRef]
- Chen, D.; Zhang, R.; Ma, X.; Liu, S. Chaotic synchronization and anti-synchronization for a novel class of multiple chaotic systems via a sliding mode control scheme. Nonlinear Dyn. 2011, 69, 35–55. [Google Scholar] [CrossRef]
- Chen, Y.; Li, M.; Cheng, Z. Global anti-synchronization of master-slave chaotic modified chua’s circuits coupled by linear feedback control. Math. Comput. Model. 2010, 52, 567–573. [Google Scholar] [CrossRef]
- Ge, Z.; Ou, C. Chaos in a fractional-order modified duffing system. Chaos Solitons Fractals 2007, 34, 262–291. [Google Scholar] [CrossRef]
- Hartley, T.; Lorenzo, C.; Qammer, H. Chaos in a fractional-order chua system. IEEE Trans. Circuits Syst. I Fundam. Theory Appl. 1996, 42, 485–490. [Google Scholar] [CrossRef]
- Deng, W.; Li, C. Chaos synchronization of the fractional lü system. Phys. A Stat. Mech. Its Appl. 2005, 353, 61–72. [Google Scholar] [CrossRef]
- Rajagopal, K.; Karthikeyan, A.; Srinivasan, A.K. FPGA implementation of novel fractional-order chaotic systems with two equilibriums and no equilibrium and its adaptive sliding mode synchronization. Nonlinear Dyn. 2017, 87, 2281–2304. [Google Scholar] [CrossRef]
- Leung, A.; Li, X.; Chu, Y.; Rao, X. Synchronization of fractional-order chaotic systems using unidirectional adaptive full-state linear error feedback coupling. Nonlinear Dyn. 2015, 82, 185–199. [Google Scholar] [CrossRef]
- Vijay, V.K.; Prasad, G.; Srivastava, M.; Das, S. Combination-combination phase synchronization among non-identical fractional-order complex chaotic systems via nonlinear control. Int. J. Dyn. Control. 2019, 7, 330–340. [Google Scholar]
- Huang, C.; Cao, J. Active control strategy for synchronization and anti-synchronization of a fractional chaotic financial system. Phys. A Stat. Mech. Its Appl. 2017, 473, 526–537. [Google Scholar] [CrossRef]
- Al-Sawalha, M.; Noorani, M. Adaptive reduced-order anti-synchronization of chaotic systems with fully unknown parameters. Commun. Nonlinear Sci. Numer. Simul. 2010, 17, 1908–1920. [Google Scholar] [CrossRef]
- Othmana, A.A.; Noorani, M.S.M.; Al-sawalha, M.M. Adaptive dual anti-synchronization of chaotic systems with fully uncertain parameters. Opt. Int. J. Light Electron Opt. 2016, 127, 10478–10489. [Google Scholar] [CrossRef]
- Cai, G.; Yao, L.; Hu, P.; Fang, X. Adaptive full state hybrid function projective synchronization of financial hyperchaotic systems with uncertain parameters. DCDS-B 2017, 18, 2019–2028. [Google Scholar] [CrossRef]
- Aghababa, M.; Khanmohammadi, S.; Alizadeh, G. Finite-time synchronization of two different chaotic systems with unknown parameters via sliding mode technique. Appl. Math. Model. 2011, 35, 3080–3091. [Google Scholar] [CrossRef]
- Ahmad, I.; Saaban, A.; Ibrahim, A.; Shahzad, M. Robust finite-time anti-synchronization of chaotic systems with different dimensions. Mathematics 2015, 3, 1220–1240. [Google Scholar] [CrossRef]
- Liu, X.; Su, H.; Chen, M. A switching approach to designing finite-time synchronizing controllers of couple neural networks. IEEE Trans. Neural Netw. Learn. Syst. 2016, 27, 471–482. [Google Scholar] [CrossRef]
- Liu, X.; D, W.C.; Yu, W.; Cao, J. A new switching design to finite-time stabilization of nonlinear systems with applications to neural networks. Neural Netw. 2014, 57, 94–102. [Google Scholar] [CrossRef]
- Li, X.; Daniel, W.C.; Cao, J. Finite-time stability and settling-time estimation of nonlinear impulsive systems. Automatica 2019, 99, 361–368. [Google Scholar] [CrossRef]
- Selvaraj, P.; Sakthivel, R.; Kwon, O.M.; Zhang, L. Finite-time synchronization of stochastic coupled neural networks subject to markovian switching and input saturation. Neural Netw. 2018, 105, 154–165. [Google Scholar] [CrossRef] [PubMed]
- Sui, X.; Yang, Y.; Wang, F.; Zhang, L. Finite-time anti-synchronization of time-varying delayed neural networks via feedback control with intermittent adjustment. Adv. Differ. Equ. 2017, 2017, 229. [Google Scholar] [CrossRef][Green Version]
- Wang, W.; Li, L.; Peng, H.; Kurths, J.; Xiao, J.; Yang, Y. Finite-time anti-synchronization control of memristive neural networks with stochastic perturbations. Neural Process. Lett. 2014, 43, 49–63. [Google Scholar] [CrossRef]
- Wu, H.; Li, R.; Zhang, X.; Yao, R. Adaptive finite-time complete periodic synchronization of memristive neural networks with time delays. Neural Process. Lett. 2014, 42, 563–583. [Google Scholar] [CrossRef]
- Zheng, M.; Li, L.; Peng, H.; Xiao, J.; Yang, Y.; Zhang, Y.; Zhao, H. Finite-time stability and synchronization of memristor-based fractional-order fuzzy cellular neural networks. Commun. Nonlinear Sci. Numer. Simul. 2018, 59, 272–291. [Google Scholar] [CrossRef]
- Xin, B.; Zhang, J. Finite-time stabilizing a fractional-order chaotic financial system with market confidence. Nonlinear Dyn. 2015, 79, 1399–1409. [Google Scholar] [CrossRef]
- Ma, Y.; Dong, Z. Finite-time adaptive synchronization of a new hyperchaotic system with uncertain parameters. Math. Probl. Eng. 2014, 2014, 72–79. [Google Scholar]
- Zhang, L.; Yu, C.; Liu, T. Control of finite-time anti-synchronization for variable-order fractional chaotic systems with unknown parameters. Nonlinear Dyn. 2016, 86, 1–14. [Google Scholar] [CrossRef]
- Mei, J.; Jiang, M.; Xu, W.; Wang, B. Finite-time synchronization control of complex dynamical networks with time delay. Commun. Nonlinear Sci. Numer. Simul. 2013, 18, 2462–2478. [Google Scholar] [CrossRef]
- Podlubny, I. Fractional Differential Equations; Academic Press: Cambridge, MA, USA, 1999. [Google Scholar]
- Hardy, G.; Littlewood, J.; Pólya, G. Inequalities; Cambridge University Press: Cambridge, UK, 1952. [Google Scholar]
- Lorenz, E.N. Deterministic nonperiodic flow. J. Atmos. Sci. 1963, 20, 130–141. [Google Scholar] [CrossRef]
- Grigorenko, I.; Grigorenko, E. Chaotic dynamics of the fractional Lorenz system. Phys. Rev. Lett. 2003, 91, 034101. [Google Scholar] [CrossRef] [PubMed]
- Diethelm, K.; Ford, N.J.; Freed, A.D. A predictor-corrector approach for the numerical solution of fractional differential equations. Nonlinear Dyn. 2002, 29, 3–22. [Google Scholar] [CrossRef]
- Shampine, F.; Reichelt, M. The MATLAB ODE Suite. SIAM J. Sci. Comput. 1997, 18, 1–22. [Google Scholar] [CrossRef]
- Butusov, D.; Karimov, A.; Tutueva, A.; Kaplun, D.; Nepomucheno, E.G. The effects of Padé numerical integration in simulation of conservative chaotic systems. Entropy 2019, 21, 362. [Google Scholar] [CrossRef]










© 2019 by the authors. Licensee MDPI, Basel, Switzerland. This article is an open access article distributed under the terms and conditions of the Creative Commons Attribution (CC BY) license (http://creativecommons.org/licenses/by/4.0/).
Share and Cite
Chen, L.; Huang, C.; Liu, H.; Xia, Y. Anti-Synchronization of a Class of Chaotic Systems with Application to Lorenz System: A Unified Analysis of the Integer Order and Fractional Order. Mathematics 2019, 7, 559. https://doi.org/10.3390/math7060559
Chen L, Huang C, Liu H, Xia Y. Anti-Synchronization of a Class of Chaotic Systems with Application to Lorenz System: A Unified Analysis of the Integer Order and Fractional Order. Mathematics. 2019; 7(6):559. https://doi.org/10.3390/math7060559
Chicago/Turabian StyleChen, Liang, Chengdai Huang, Haidong Liu, and Yonghui Xia. 2019. "Anti-Synchronization of a Class of Chaotic Systems with Application to Lorenz System: A Unified Analysis of the Integer Order and Fractional Order" Mathematics 7, no. 6: 559. https://doi.org/10.3390/math7060559
APA StyleChen, L., Huang, C., Liu, H., & Xia, Y. (2019). Anti-Synchronization of a Class of Chaotic Systems with Application to Lorenz System: A Unified Analysis of the Integer Order and Fractional Order. Mathematics, 7(6), 559. https://doi.org/10.3390/math7060559
