Solution of Ambartsumian Delay Differential Equation with Conformable Derivative
Abstract
1. Introduction
2. Analysis of the HPM
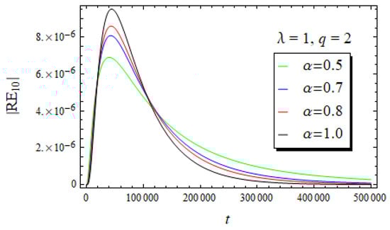
3. Results
4. Conclusions
Author Contributions
Funding
Conflicts of Interest
References
- Ambartsumian, V.A. On the fluctuation of the brightness of the milky way. Doklady Akad Nauk USSR 1994, 44, 223–226. [Google Scholar]
- Kato, T.; McLeod, J.B. The functional-differential equation y′(x) = ay(λx) + by(x). Bull. Am. Math. Soc. 1971, 77, 891–935. [Google Scholar]
- Patade, J.; Bhalekar, S. On Analytical Solution of Ambartsumian Equation. Natl. Acad. Sci. Lett. 2017, 40, 291–293. [Google Scholar] [CrossRef]
- Bakodah, H.O.; Ebaid, A. Exact Solution of Ambartsumian Delay Differential Equation and Comparison with Daftardar-Gejji and Jafari Approximate Method. Mathematics 2018, 6, 331. [Google Scholar] [CrossRef]
- Ebaid, A.; Al-Enazi, A.; Albalawi, B.Z.; Aljoufi, M.D. Accurate Approximate Solution of Ambartsumian Delay Differential Equation via Decomposition Method. Math. Comput. Appl. 2019, 24, 7. [Google Scholar] [CrossRef]
- Alharbi, F.M.; Ebaid, A. New analytic solution for Ambartsumian equation. J. Math. Syst. Sci. 2018, 8, 182–186. [Google Scholar]
- Kumar, D.; Singh, J.; Baleanu, D.; Rathore, S. Analysis of a fractional model of the Ambartsumian equation. Eur. Phys. J. Plus 2018, 133, 259. [Google Scholar] [CrossRef]
- Wazwaz, A.M. Adomian decomposition method for a reliable treatment of the Bratu-type equations. Appl. Math. Comput. 2005, 166, 652–663. [Google Scholar] [CrossRef]
- Ebaid, A. Approximate analytical solution of a nonlinear boundary value problem and its application in fluid mechanics. Z. Naturforschung A 2011, 6, 423–426. [Google Scholar] [CrossRef]
- Ebaid, A. A new analytical and numerical treatment for singular two-point boundary value problems via the Adomian decomposition method. J. Comput. Appl. Math. 2011, 235, 1914–1924. [Google Scholar] [CrossRef]
- Aly, E.H.; Ebaid, A.; Rach, R. Advances in the Adomian decomposition method for solving two-point nonlinear boundary value problems with Neumann boundary conditions. Comput. Math. Appl. 2012, 63, 1056–1065. [Google Scholar] [CrossRef]
- Chun, C.; Ebaid, A.; Lee, M.; Aly, E. An approach for solving singular two point boundary value problems: Analytical and numerical treatment. ANZIAM J. 2012, 53, 21–43. [Google Scholar] [CrossRef]
- Wazwaz, A.M.; Rach, R.; Duan, J.S. Adomian decomposition method for solving the Volterra integral form of the Lane-Emden equations with initial values and boundary conditions. Appl. Math. Comput. 2013, 219, 5004–5019. [Google Scholar] [CrossRef]
- Ebaid, A.; Aljoufi, M.D.; Wazwaz, A.M. An advanced study on the solution of nanofluid flow problems via Adomian’s method. Appl. Math. Lett. 2015, 46, 117–122. [Google Scholar] [CrossRef]
- Alshaery, A.; Ebaid, A. Accurate analytical periodic solution of the elliptical Kepler equation using the Adomian decomposition method. Acta Astronaut. 2017, 140, 27–33. [Google Scholar] [CrossRef]
- Wazwaz, A.M.; Raja, M.A.Z.; Syam, M.I. Reliable treatment for solving boundary value problems of pantograph delay differential equation. Rom. Rep. Phys. 2017, 69, 102. [Google Scholar]
- Aljohani, A.F.; Rach, R.; El-Zahar, E.; Wazwaz, A.M.; Ebaid, A. Solution of the hyperbolic kepler equation by Adomian’s asymptotic decomposition method. Rom. Rep. Phys. 2018, 70, 14. [Google Scholar]
- Bakodah, H.O.; Ebaid, A.; Wazwaz, A.M. Analytical and numerical treatment of Falkner-Skan equation via a transformation and Adomian’s method. Rom. Rep. Phys. 2018, 70, 17. [Google Scholar]
- Gaber, A.A.; Ebaid, A. Analytical study on the slip flow and heat transfer of nanofluids over a stretching sheet using Adomian’s method. Rom. Rep. Phys. 2018, 70, 15. [Google Scholar]
- Bakodah, H.O.; Ebaid, A. The Adomian decomposition method for the slip flow and heat transfer of nanofluids over a stretching/shrinking sheet. Rom. Rep. Phys. 2018, 70, 115. [Google Scholar]
- Golmankhaneh, A.K.; Golmankhaneh, A.K.; Baleanu, D. Homotopy perturbation method for solving a system of Schrodinger-Korteweg-De Vries equations. Rom. Rep. Phys. 2011, 63, 609–623. [Google Scholar]
- Patra, A.; Ray, S.S. Homotopy perturbation sumudu transform method for solving convective radial fins with temperature-dependent thermal conductivity of fractional order energy balance equation. Int. J. Heat Mass Transf. 2014, 76, 162–170. [Google Scholar] [CrossRef]
- Ayati, Z.; Biazar, J. On the convergence of Homotopy perturbation method. J. Egypt. Math. Soc. 2014, 23, 424–428. [Google Scholar] [CrossRef]
- Ebaid, A. A reliable aftertreatment for improving the differential transformation method and its application to nonlinear oscillators with fractional nonlinearities. Commun. Nonlinear Sci. Numer. Simul. 2011, 16, 528–536. [Google Scholar] [CrossRef]
- Ebaid, A.; Momani, S.; Chang, S.-H. On the periodic solutions of the nonlinear oscillators. J. Vibroeng. 2014, 16, 1–14. [Google Scholar]
- Feng, Q. A new approach for seeking coefficient function solutions of conformable fractional partial differential equations based on the Jacobi elliptic equation. Chin. J. Phys. 2018, 56, 2817. [Google Scholar] [CrossRef]
- Ebaid, A.; Masaedeh, B.; El-Zahar, E. A New Fractional Model for the Falling Body Problem. Chin. Phys. Lett. 2017, 34, 020201. [Google Scholar] [CrossRef]
- Yaslan, H.C. Numerical solution of the conformable space-time fractional wave equation. Chin. J. Phys. 2018, 56, 2916. [Google Scholar] [CrossRef]
- Rezazadeh, H.; Tariq, H.; Eslami, M.; Mirzazadeh, M.; Zhou, Q. New exact solutions of nonlinear conformable time-fractional Phi-4 equation. Chin. J. Phys. 2018, 56, 2805. [Google Scholar] [CrossRef]
- Podlubny, I. Fractional Differential Equations: An Introduction to Fractional Derivatives, Fractional Differential Equations, to Methods of Their Solution and Some of Their Applications; Elsevier: Amsterdam, The Netherlands, 1998; Volume 198. [Google Scholar]
- Hristov, J. Approximate solutions to fractional sub-diffusion equations. Eur. Phys. J. Spec. Top. 2011, 193, 229–243. [Google Scholar] [CrossRef]
- Dos Santos, M. Non-Gaussian distributions to random walk in the context of memory kernels. Fractal Fract. 2018, 2, 20. [Google Scholar] [CrossRef]
- Sene, N.; Fall, A.N. Homotopy Perturbation-Laplace Transform Method and Its Application to the Fractional Diffusion Equation and the Fractional Diffusion Reaction Equation. Fractal Fract. 2019, 3, 14. [Google Scholar] [CrossRef]
- Ait Touchent, K.; Hammouch, Z.; Mekkaoui, T.; Belgacem, F. Implementation and Convergence Analysis of Homotopy Perturbation Coupled With Sumudu Transform to Construct Solutions of Local-Fractional PDEs. Fractal Fract. 2018, 2, 22. [Google Scholar] [CrossRef]









© 2019 by the authors. Licensee MDPI, Basel, Switzerland. This article is an open access article distributed under the terms and conditions of the Creative Commons Attribution (CC BY) license (http://creativecommons.org/licenses/by/4.0/).
Share and Cite
Khaled, S.M.; El-Zahar, E.R.; Ebaid, A. Solution of Ambartsumian Delay Differential Equation with Conformable Derivative. Mathematics 2019, 7, 425. https://doi.org/10.3390/math7050425
Khaled SM, El-Zahar ER, Ebaid A. Solution of Ambartsumian Delay Differential Equation with Conformable Derivative. Mathematics. 2019; 7(5):425. https://doi.org/10.3390/math7050425
Chicago/Turabian StyleKhaled, Sayed M., Essam R. El-Zahar, and Abdelhalim Ebaid. 2019. "Solution of Ambartsumian Delay Differential Equation with Conformable Derivative" Mathematics 7, no. 5: 425. https://doi.org/10.3390/math7050425
APA StyleKhaled, S. M., El-Zahar, E. R., & Ebaid, A. (2019). Solution of Ambartsumian Delay Differential Equation with Conformable Derivative. Mathematics, 7(5), 425. https://doi.org/10.3390/math7050425

