Chebyshev Spectral Collocation Method for Population Balance Equation in Crystallization
Abstract
1. Introduction
2. One-Dimensional PBE and Numerical Schemes
2.1. One-Dimensional PBE
2.2. Chebyshev Spectral Collocation Method
2.3. Other Numerical Schemes
2.3.1. Second Upwind Scheme
2.3.2. HR-Van Scheme
3. Numerical Experiments
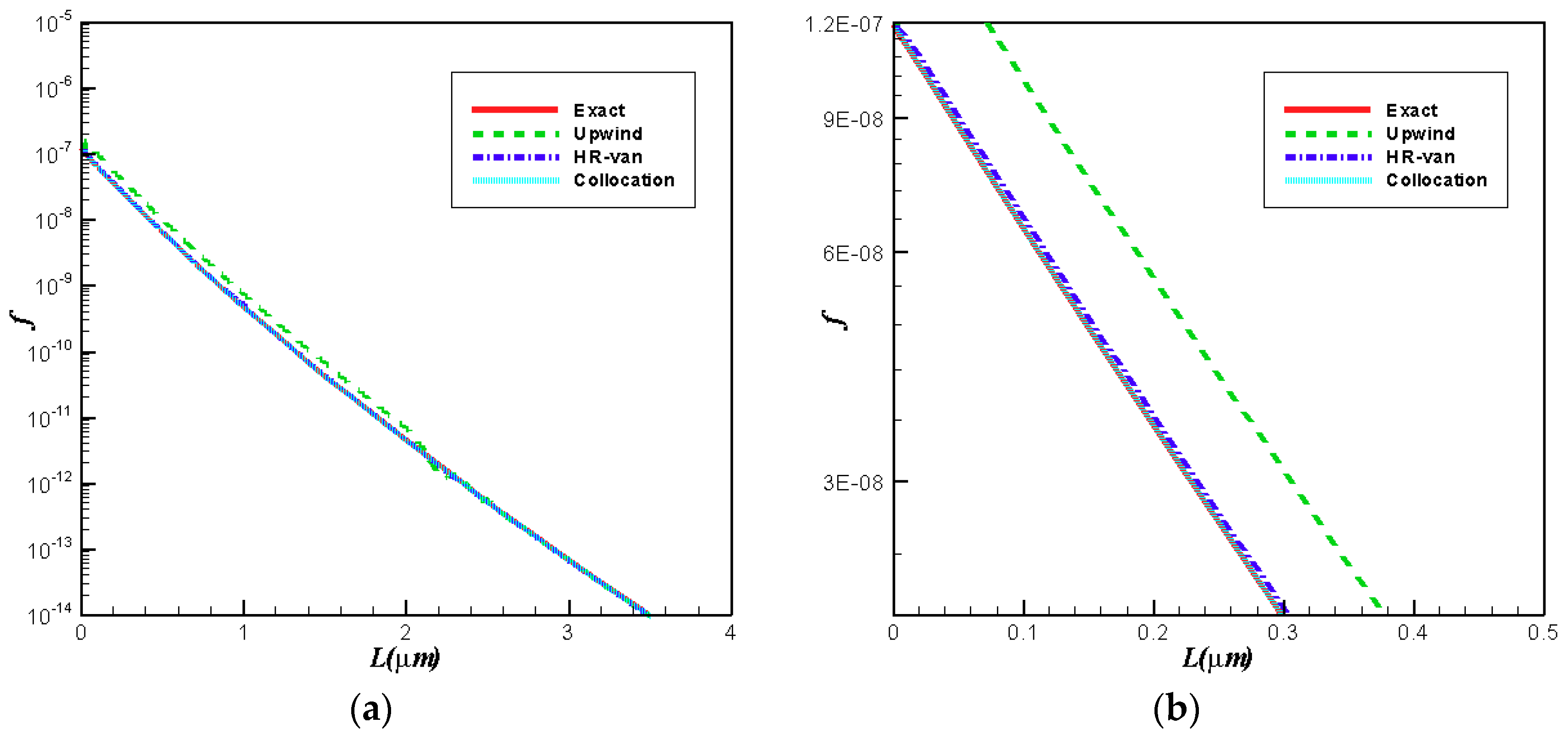
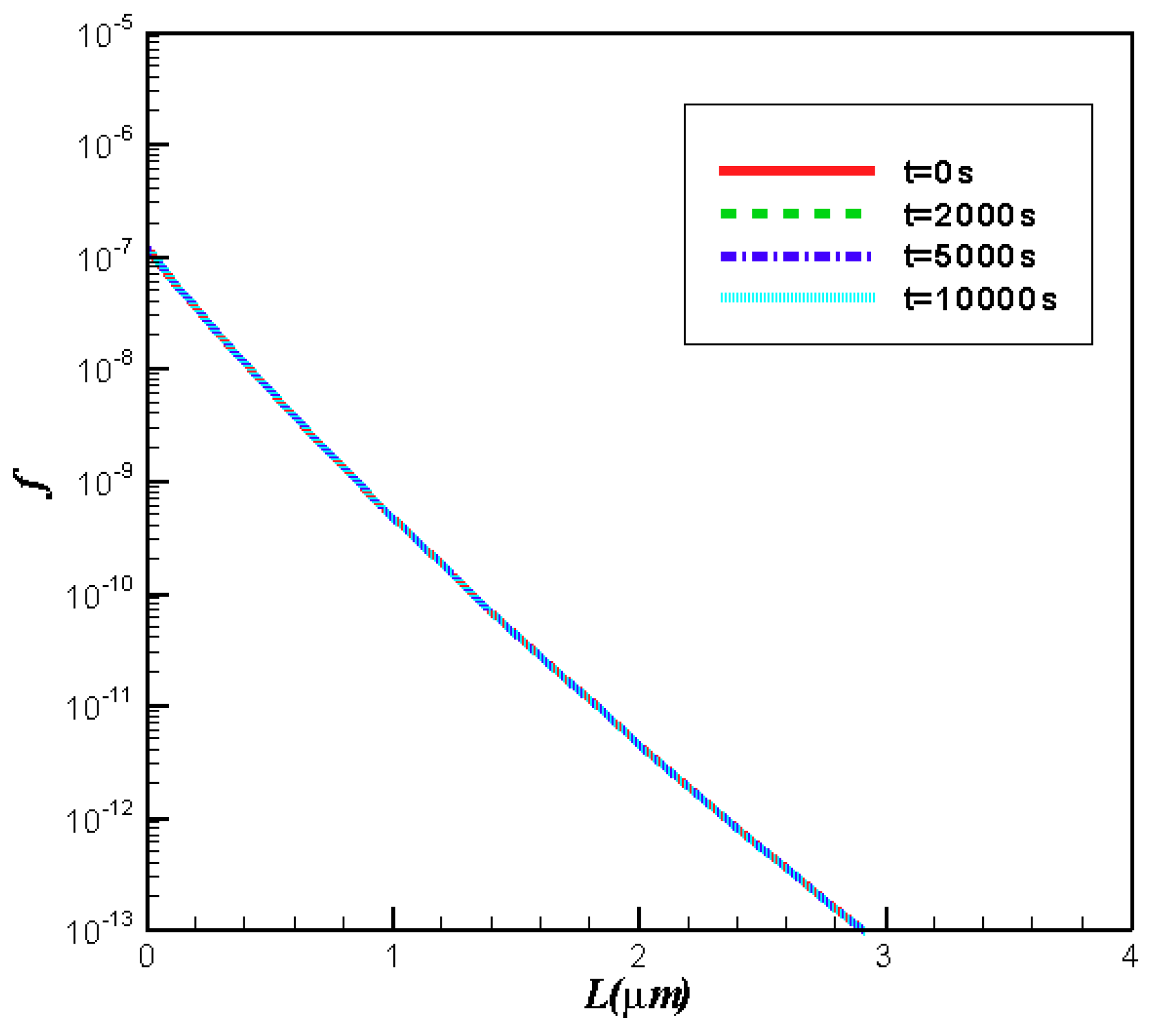
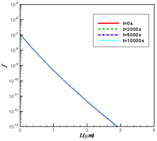
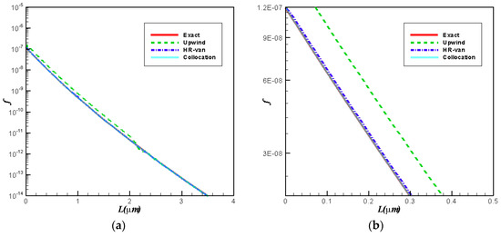
3.1. Size-Independent Growth in a Batch Process
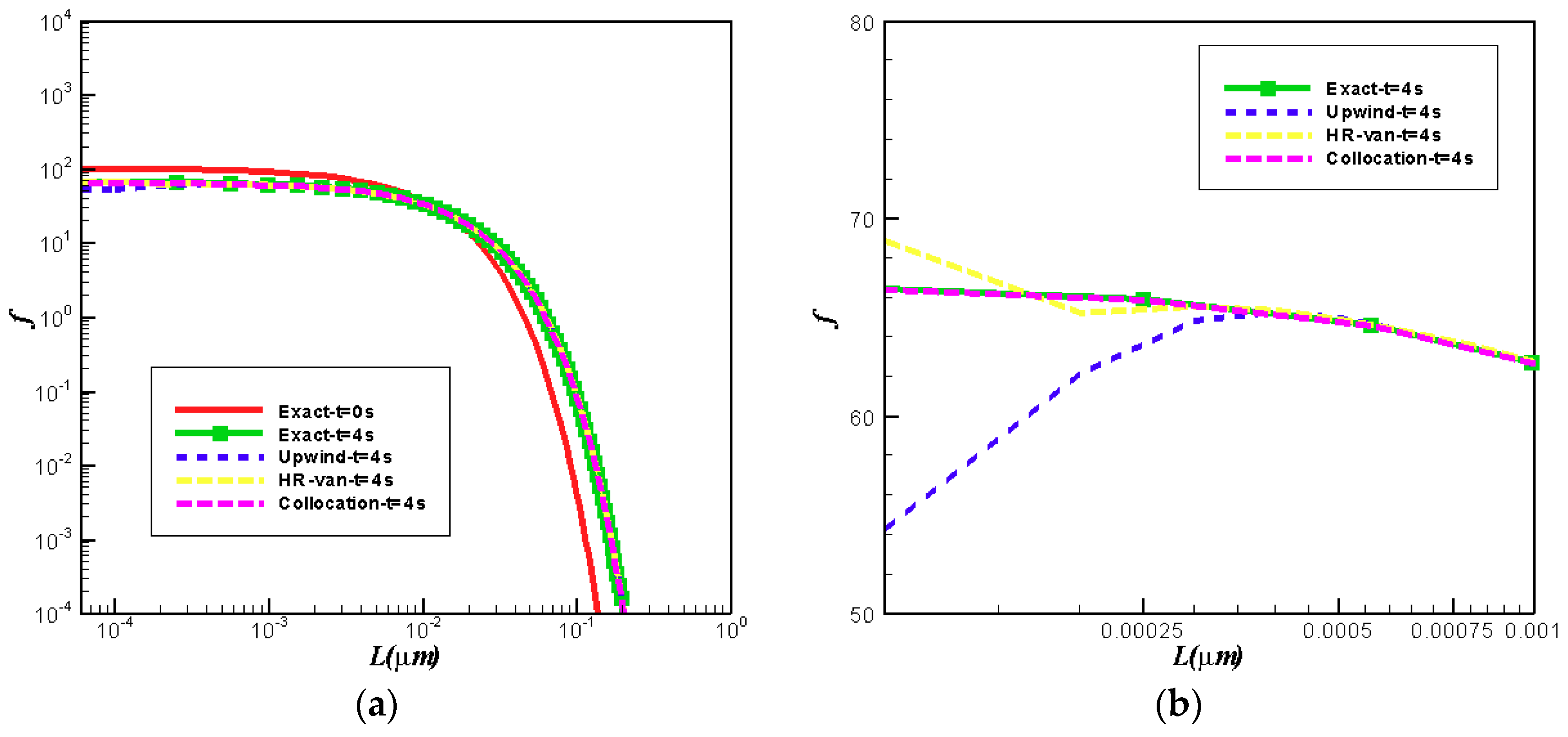
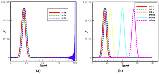
3.2. Size-Dependent Growth in a Batch Process
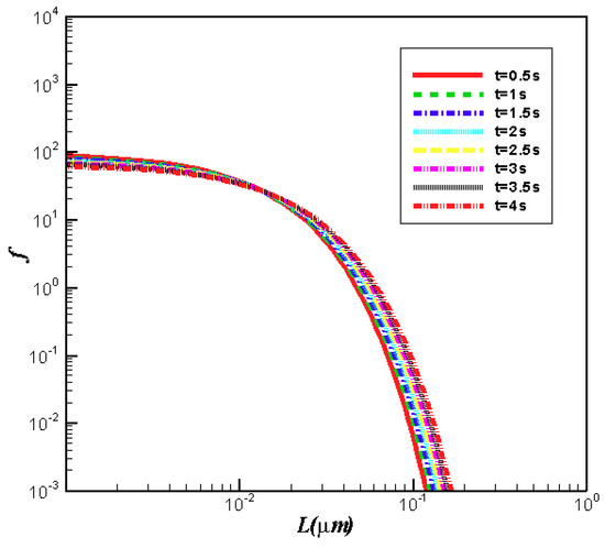
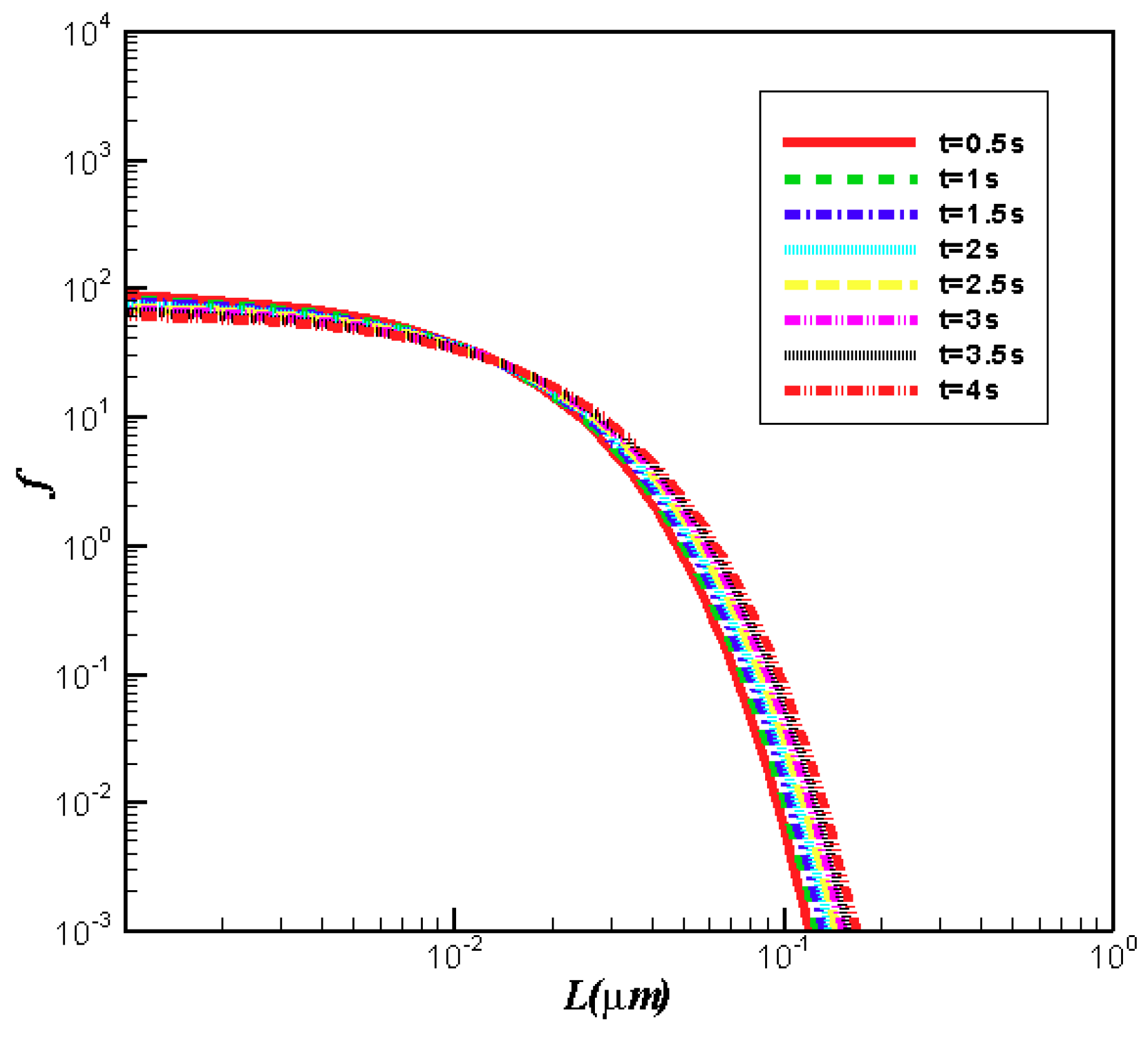
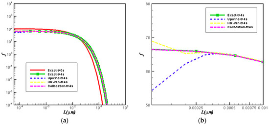
3.3. Nucleation and Size-Dependent Growth in a Continuous Process
4. Conclusions
Acknowledgments
Conflicts of Interest
References
- Gunawan, R.; Fusman, I.; Braatz, R.D. High resolution algorithms for multidimensional population balance equations. AICHE J. 2004, 50, 2738–2749. [Google Scholar] [CrossRef]
- Ramkrishna, D. Population Balances: Theory and Application to Particulate Systems in Engineering; Academic Press: New York, NY, USA, 2000. [Google Scholar]
- Li, D.Y.; Li, Z.P.; Gao, Z.M. Quadrature-based moment methods for the population balance equation: An algorithm review. Chin. J. Chem. Eng. 2019, in press. [Google Scholar] [CrossRef]
- Qamar, S.; Angelov, I.; Elsner, M.P.; Ashfaq, A.; Seidel-Morgenstern, A.; Warnecke, G. Numerical approximations of a population balance model for coupled batch preferential crystallizers. Appl. Numer. Math. 2009, 59, 739–753. [Google Scholar] [CrossRef]
- Qamar, S.; Ashfaq, A.; Angelov, I.A.; Elsner, M.P.; Warnecke, G.; Seidel-Morgenstern, A. Numercial solutions of population balance models in preferential crystallization. Chem. Eng. Sci. 2008, 63, 1342–11352. [Google Scholar] [CrossRef]
- Solsvik, J.; Jakobsen, H.A. Evaluation of weighted residual methods for the solution of a population balance model describing bubbly flows: The least-squares, Galerkin, tau, and orthogonal collocation methods. Ind. Eng. Chem. Res. 2013, 52, 15988–16013. [Google Scholar] [CrossRef]
- Sewerin, F.; Rigopoulos, S. An explicit adaptive grid approach for the numerical solution of the population balance equation. Chem. Eng. Sci. 2017, 168, 250–270. [Google Scholar] [CrossRef]
- Shah, B.H.; Ramkrishna, D.; Borwanker, J.D. Simulation of particulate systems using the concept of the interval of quiescence. AICHE J. 1977, 23, 897–904. [Google Scholar] [CrossRef]
- Gooch, J.R.P.; Hounslow, M.J. Monte Carlo simulation of size-enlargement mechanisms in crystallization. AICHE J. 1996, 42, 1864–1874. [Google Scholar] [CrossRef]
- Kumar, S.; Ramkrishna, D. On the solution of population balance equations by discretization—I. a fixed pivot technique. Chem. Eng. Sci. 1997, 52, 1311–1332. [Google Scholar] [CrossRef]
- Ma, D.L.; Tafti, D.K.; Braatz, R.D. High-resolution simulation of multidimensional crystal growth. Ind. Eng. Chem. Res. 2002, 41, 6217–6223. [Google Scholar] [CrossRef]
- Majumder, A.; Kariwala, V.; Ansumali, S.; Rajendran, A. Lattice Boltzmann method for multi-dimensional population balance models in crystallization. Chem. Eng. Sci. 2012, 70, 121–134. [Google Scholar] [CrossRef]
- Ruan, C.L.; Liang, K.F.; Chang, X.J.; Zhang, L. Weighted Essentially Nonoscillatory method for two-dimensional population balance equations in crystallization. Math. Prob. Eng. 2013, 125128, 1–11. [Google Scholar] [CrossRef]
- Mantzaris, N.V.; Daoutidis, P.; Srienc, F. Numerical simulation of multi-variable cell population balance models. II. Spectral methods. Compt& Chem. Eng. 2001, 25, 1441–1462. [Google Scholar]
- Buck, A.; Klaunick, G.; Kumar, J.; Peglow, M.; Tsotsas, E. Numerical simulation of particulate processes for control and estimation by spectral methods. AICHE J. 2012, 58, 2309–2319. [Google Scholar] [CrossRef]
- Shen, J.; Tang, T.; Wang, L.L. Spectral Methods: Algorithms, Analysis and Applications; Springer: Berlin, Germany, 2011. [Google Scholar]
- Zhang, X. Matlab Efficient Solution of Differential Equation: SpectralMethod; China Machine Press: Beijing, China, 2016. [Google Scholar]
- Tian, X.Y.; Li, B.W.; Wu, Y.S.; Zhang, J.K. Chebyshev collocation spectral method simulation for the 2D boundary layer flow and heat transfer in variable viscosity MHD fluid over a stretching plate. Int. J. Heat. Mass. Trans. 2015, 89, 829–837. [Google Scholar] [CrossRef]
- Chen, Y.Y.; Li, B.W.; Zhang, J.K. Spectral collocation method for natural convection in a square porous cavity with local thermal equilibrium and non-equilibrium models. Int. J. Heat. Mass. Trans. 2016, 96, 84–96. [Google Scholar] [CrossRef]
- Fang, J.W.; Wu, B.Y.; Liu, W.J. An explicit spectral collocation method using nonpolynomial basis functions for the time-dependent Schrodinger equation. Math. Meth. App. Sci. 2019, 42, 186–203. [Google Scholar] [CrossRef]
- Zhang, H.; Jiang, X.Y.; Wang, C.; Chen, S.Z. Crank-Nicolson Fourier spectral method for the space fractional nonlinear Schrodinger equation and its parameter estimation. Int. J. Compt. Math. 2019, 96, 238–263. [Google Scholar] [CrossRef]
- Mark, H. Introduction to Numerical Methods in Differential Equaitons; Springer: Berlin, Germany, 2011. [Google Scholar]







| Method | Second Upwind | HR-Van | Collocation |
|---|---|---|---|
| -error | 0.24941 | 0.07598 | 0.04206 |
| -error | 0.06334 | 0.02430 | 0.01265 |
| 0.002 | 0.01 | 0.02 | ||
|---|---|---|---|---|
| -error | — | 0.01286 | 0.06111 | 0.11548 |
| -error | — | 0.00389 | 0.01828 | 0.03403 |
| Method | Second Upwind | HR-Van | Collocation |
|---|---|---|---|
| −error | 0.005036 | 0.004928 | 1.7992 × 10−7 |
| −error | 0.352802 | 0.328718 | 7.5825 × 10−7 |
| Method | Second Upwind | HR-Van | Collocation |
|---|---|---|---|
| -error | 0.513976 | 0.0285996 | 3.559151 × 10−7 |
| -error | 0.856945 | 0.049325 | 4.422907 × 10−7 |
© 2019 by the author. Licensee MDPI, Basel, Switzerland. This article is an open access article distributed under the terms and conditions of the Creative Commons Attribution (CC BY) license (http://creativecommons.org/licenses/by/4.0/).
Share and Cite
Ruan, C. Chebyshev Spectral Collocation Method for Population Balance Equation in Crystallization. Mathematics 2019, 7, 317. https://doi.org/10.3390/math7040317
Ruan C. Chebyshev Spectral Collocation Method for Population Balance Equation in Crystallization. Mathematics. 2019; 7(4):317. https://doi.org/10.3390/math7040317
Chicago/Turabian StyleRuan, Chunlei. 2019. "Chebyshev Spectral Collocation Method for Population Balance Equation in Crystallization" Mathematics 7, no. 4: 317. https://doi.org/10.3390/math7040317
APA StyleRuan, C. (2019). Chebyshev Spectral Collocation Method for Population Balance Equation in Crystallization. Mathematics, 7(4), 317. https://doi.org/10.3390/math7040317
