Numerical Results for Linear Sequential Caputo Fractional Boundary Value Problems
Abstract
1. Introduction
2. Preliminary Results
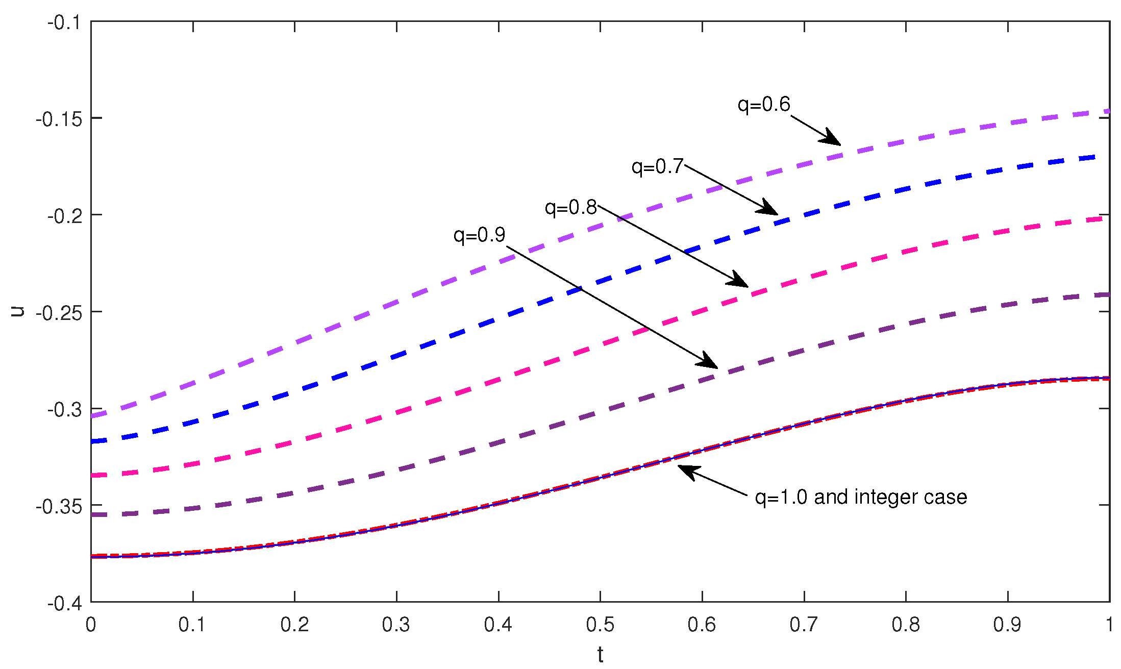
3. Main Results
4. Conclusions
Author Contributions
Conflicts of Interest
Appendix A


References
- Oldham, K.B.; Spanier, J. The Fractional Calculus, Mathematics in Science and Engineering; Academic Press: New York, NY, USA, 1974. [Google Scholar]
- Ross, B. A Brief History and Exposition of the Fundamental Theory of Fractional Calculus. In Fractional Calculus and Its Applications; Lecture Notes in Mathematics; Springer: Berlin/Heidelberg, Germany, 1975; pp. 1–36. [Google Scholar]
- Tenreiro Machado, J.A.; Kiryakova, V.; Mainardi, F. A Poster About the Recent History of Fractional Calculus. Fract. Calc. Appl. Anal. 2010, 13, 329–334. [Google Scholar]
- Tenreiro Machado, J.A.; Kiryakova, V.; Mainardi, F. A Poster About the Old History of Fractional Calculus. Fract. Calc. Appl. Anal. 2010, 13, 447–454. [Google Scholar]
- Podlubny, I. Fractional Differential Equations; Academics Press: San Diego, CA, USA, 1999; Volume 198. [Google Scholar]
- Gorenflo, R.; Kilbas, A.A.; Mainardi, F.; Rogosin, S.V. Mittag-Leffler Functions, Related Topics and Applications; Springer: Berlin, Germany, 2014; p. 443. [Google Scholar]
- Kilbas, A.A.; Srivastava, H.M.; Trujillo, J.J. Theory and Applications of Fractional Differential Equations; Elsevier: Amsterdam, The Netherlands, 2006. [Google Scholar]
- Lakshmikantham, V.; Leela, S.; Devi, D.J.V. Theory of Fractional Dynamic Systems; Cambridge Scientific Publishers: Cambridge, UK, 2009. [Google Scholar]
- Ladde, G.S.; Lakshmikantham, V.; Vatsala, A.S. Monotone Iterative Techniques for Nonlinear Differential Equations; Pitman Publishing Inc.: Marshfield, MA, USA, 1985. [Google Scholar]
- Lakshmikantham, V.; Vatsala, A.S. General Uniqueness and Monotone Iterative Technique for Fractional Differential Equations. Appl. Math. Lett. 2008, 21, 828–834. [Google Scholar] [CrossRef]
- Diethelm, K.; Ford, N.J. Numerical Solution of the Bagley-Torvik Equation. BIT Numer. Math. 2002, 42, 490–507. [Google Scholar]
- West, I.H.; Vatsala, A.S. Generalized Monotone Iterative Method for Initial Value Problems. Appl. Math. Lett. 2004, 17, 1231–1237. [Google Scholar] [CrossRef]
- Kemppainen, J.; Siljander, J.; Zacher, R. Representation of solutions and large-time behavior for fully nonlocal diffusion equations. J. Differ. Equ. 2017, 263, 149–201. [Google Scholar] [CrossRef]
- Li, Z.; Huang, X.; Yamamoto, M. Carleman estimates for the time-fractional advection-diffusion equations and applications. Inverse Probl. 2019, 35, 045003. [Google Scholar]
- Tariboon, J.; Cuntavepanit, A.; Ntouyas, S.K.; Nithiarayaphaks, W. Separated Boundary Value Problems of Sequential Caputo and Hadamard Fractional Differential Equations. J. Funct. Spaces 2018, 2018, 6974046. [Google Scholar] [CrossRef]
- Ahmad, B.; Nieto, J.J.; Pimentel, J. Some boundary value problems of fractional differential equations and inclusions. Comput. Math. Appl. 2011, 62, 1238–1250. [Google Scholar] [CrossRef]
- Wang, G.; Ahmad, B.; Zhang, L. Some existence results for impulsive nonlinear fractional differential equations with mixed boundary conditions. Comput. Math. Appl. 2011, 62, 1389–1397. [Google Scholar] [CrossRef]
- Zhang, S.; Su, X. The existence of a solution for a fractional differential equation with nonlinear boundary conditions considered using upper and lower solutions in reverse order. Comput. Math. Appl. 2011, 62, 1269–1274. [Google Scholar] [CrossRef]
- El-Ajou, A.; Arqub, O.A.; Momani, S. Solving fractional two-point boundary value problems using continuous analytic method. Ain Shams Eng. J. 2013, 4, 539–547. [Google Scholar] [CrossRef]
- Anderson, D.R. Positive Green’s Functions for some fractional order boundary value problems. arXiv 2014, arXiv:1411.5616. [Google Scholar]
- Jiang, F.; Xu, X.; Cao, Z. The Positive Properties of Green’s Function for Fractional Differential Equations and Its Applications. Abstr. Appl. Anal. 2013, 2013, 531038. [Google Scholar] [CrossRef]
- Safdari, H.; Aghdam, Y.E. Numerical Solution of Green’s Function for Solving Inhomogeneous Boundary Value Problems with Trigonometric Functions by New Technique. Appl. Math. 2015, 6, 764–772. [Google Scholar] [CrossRef]
- Rehman, M.u.; Khan, R.A. A numerical method for solving boundary value problems for fractional differential equations. Appl. Math. Model. 2012, 36, 894–907. [Google Scholar] [CrossRef]
- Klimek, M. Fractional Sequential Mechanics—Models with Symmetric Fractional Derivative. Czechoslov. J. Phys. 2001, 51, 1348–1354. [Google Scholar] [CrossRef]
- Aleroev, T.S.; Kekharsaeva, E. Boundary Value Problems for Differential Equations with Fractional Derivatives. Integral Transform. Spec. Funct. 2017, 28, 900–908. [Google Scholar] [CrossRef]
- Drapaca, C.S.; Sivaloganathan, S. A Fractional Model of Continuum Mechanics. J. Elast. 2012, 107, 105–123. [Google Scholar] [CrossRef]
- Sumelka, W. Thermoelasticity in the Framework of the Fractional Continuum Mechanics. J. Therm. Stress. 2014, 37, 678–706. [Google Scholar] [CrossRef]
- Vatsala, A.S.; Sowmya, M. Laplace Transform Method for Linear Sequential Riemann-Liouville and Caputo Fractional Differential Equations. Aip Conf. Proc. 2017, 1798, 020171. [Google Scholar]
- Vatsala, A.S.; Sambandham, B. Laplace Transform Method for Sequential Caputo Fractional Dofferential Equations. Math. Eng. Sci. Aerosp. 2016, 7, 339–347. [Google Scholar]
- Sambandham, B.; Vatsala, A.S. Basic Results for Sequential Caputo Fractional Differential Equations. Mathematics 2015, 3, 76–91. [Google Scholar] [CrossRef]
- Sambandham, B.; Vatsala, A.S. Generalized Monotone Method for Sequential Caputo Fractional Boundary Value Problems. J. Adv. Appl. Math. 2016, 1, 241–259. [Google Scholar] [CrossRef]
- Podlubny, I. Mittag-Leffler Function. WEB Site of MATLAB Central File Exchange. 2006. Available online: https://www.mathworks.com/matlabcentral/fileexchange/8738-mittag-leffler-function (accessed on 03 March 2018).




© 2019 by the authors. Licensee MDPI, Basel, Switzerland. This article is an open access article distributed under the terms and conditions of the Creative Commons Attribution (CC BY) license (http://creativecommons.org/licenses/by/4.0/).
Share and Cite
Sambandham, B.; Vatsala, A.S.; Chellamuthu, V.K. Numerical Results for Linear Sequential Caputo Fractional Boundary Value Problems. Mathematics 2019, 7, 910. https://doi.org/10.3390/math7100910
Sambandham B, Vatsala AS, Chellamuthu VK. Numerical Results for Linear Sequential Caputo Fractional Boundary Value Problems. Mathematics. 2019; 7(10):910. https://doi.org/10.3390/math7100910
Chicago/Turabian StyleSambandham, Bhuvaneswari, Aghalaya S. Vatsala, and Vinodh K. Chellamuthu. 2019. "Numerical Results for Linear Sequential Caputo Fractional Boundary Value Problems" Mathematics 7, no. 10: 910. https://doi.org/10.3390/math7100910
APA StyleSambandham, B., Vatsala, A. S., & Chellamuthu, V. K. (2019). Numerical Results for Linear Sequential Caputo Fractional Boundary Value Problems. Mathematics, 7(10), 910. https://doi.org/10.3390/math7100910
 
        
