Decision Evolution and Governance Optimization in Duty-Free Quota Abuse Smuggling: A Multi-Agent Risk Avoidance Perspective
Abstract
1. Introduction
2. Literature Review
2.1. Related Research on the Governance of Duty-Free Quota Abuse Smuggling
2.2. Related Research on Game Theory in the Field of Smuggling Governance
2.3. Gaps and Insights in the Existing Literature
3. Problem Description and Modeling Hypotheses
3.1. Problem Description
3.2. Modeling Hypotheses
4. Dynamic Decision-Making Model for Duty-Free Quota Abuse Smuggling Chain
4.1. Decentralized Profit-Seeking Decision-Making Phase (N-Phase)
4.2. Localized Collusive Decision-Making Phase (S-Phase)
4.3. Collaborative Profit-Seeking Decision-Making Phase (C-Phase)
4.4. Comparative Analysis of Equilibrium Outcomes
5. Numerical Simulation
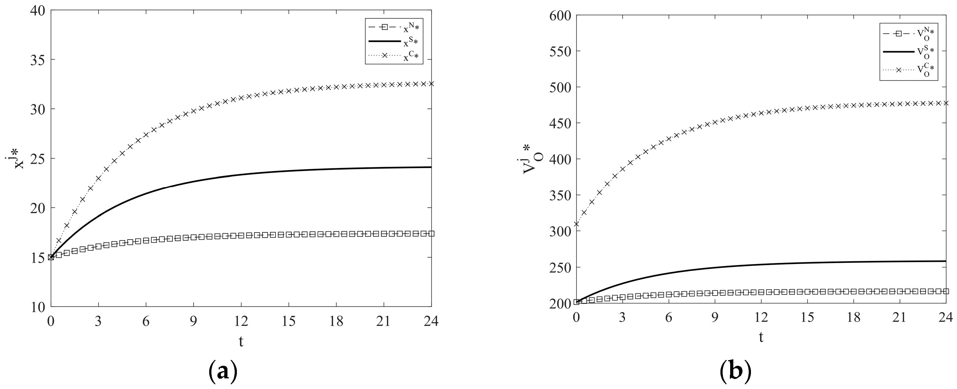
5.1. Analysis of the Decision-Making Evolutionary Path with the Smuggling Chain System
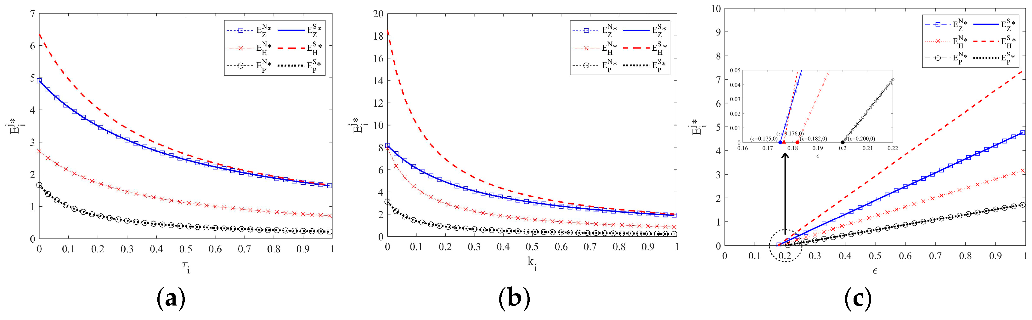
5.2. Analysis of the Impact of Crime Cost Correlation Coefficients on Smuggling Effort Levels Among Different Agents
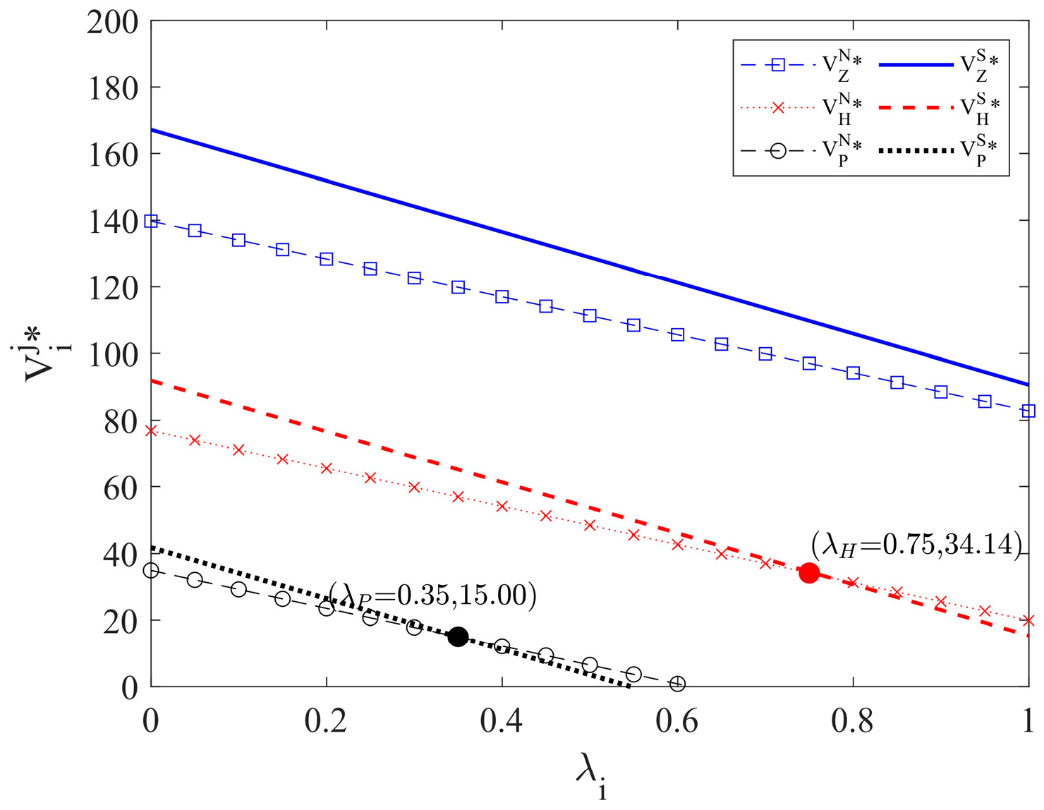
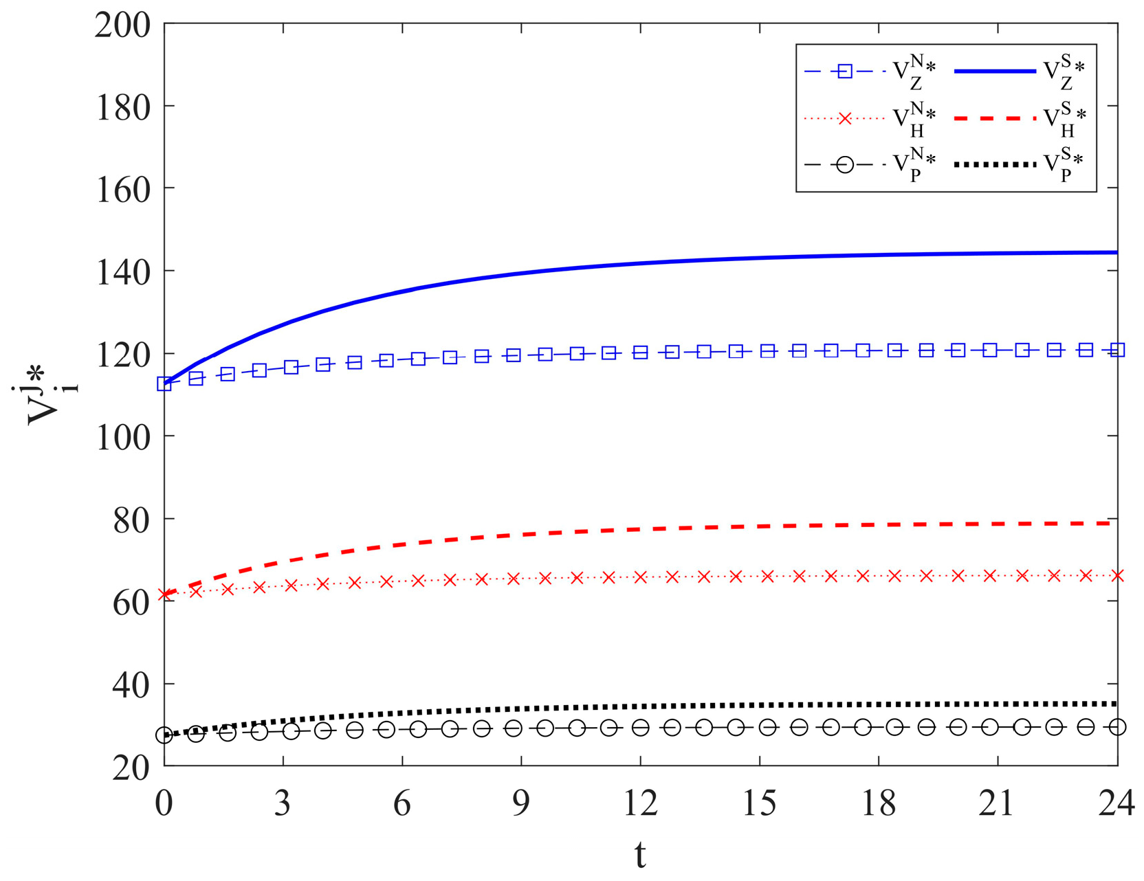
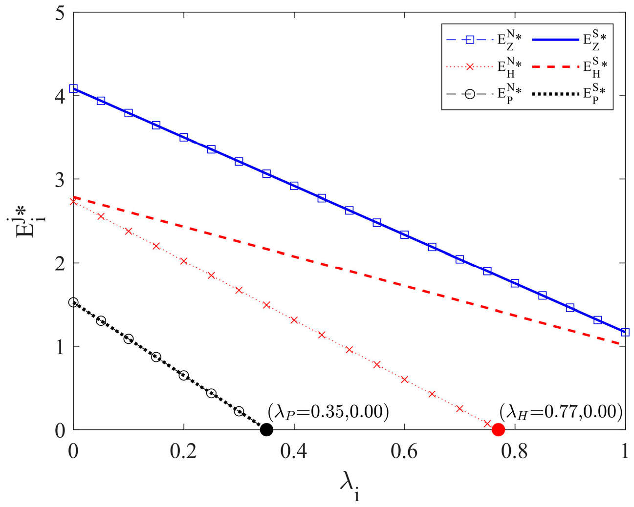
5.3. Analysis of the Impact of Risk Avoidance Preferences on Dynamic Decision-Making in the Smuggling Chain System
6. Conclusions and Implications
7. Research Gaps and Prospects
Author Contributions
Funding
Data Availability Statement
Conflicts of Interest
Appendix A
Appendix A.1
Appendix A.2
Appendix A.3
Appendix B
Appendix B.1
Appendix B.2
Appendix B.3
Appendix B.4
Appendix B.5
Appendix B.6
Appendix B.7
Appendix C
Appendix C.1
| Product Name | Perfume and Eau de Cologne | Lip Cosmetics | Eye Cosmetics | Nail Cosmetics | Powder, Whether Compacted or Not | Other Beauty and Cosmetic Products | Small-Packaged Vermouth and Similar Wines | Distilled SPIRITS Made from Wine | Whiskey | Other Luggage and Bags with Leather or Recycled Leather Surfaces | Other Luggage and Bags with Plastic or Textile Surfaces |
| Ordinary Tariff (%) | 150 | 150 | 150 | 150 | 150 | 150 | 180 | 180 | 180 | 100 | 100 |
| Import VAT (%) | 13 | 17 | 13 | 13 | 13 | 13 | 13 | 13 | 13 | 13 | 13 |
| Consumption Tax (%) | 15 | 15 | 15 | 15 | 15 | 15 | 10 | 20 | 20 | 0 | 0 |
| Total (%) | 178 | 182 | 178 | 178 | 178 | 178 | 203 | 213 | 213 | 113 | 113 |
| Average (%) | 175.1818182 | ||||||||||
References
- Li, J.N. A qualitative analysis of smuggling through offshore duty-free channels in terms of criminal law. J. Cust. Trade 2024, 45, 56–72. (In Chinese) [Google Scholar]
- Chen, L. Causes and Prevention Measures of Organized Smuggling Crime Through Duty-Free Channels Under the Offshore Duty-Free Policy: From the Perspective of Criminal Economics. In Criminology Research; Beijing Criminology Research Association, Ed.; School of Law, Chinese Academy of Social Sciences University: Beijing, China, 2023; Volume 2, pp. 496–504. [Google Scholar] [CrossRef]
- Chen, H. The identification and handling of Duty-Free Quota Abuse Smuggling—Understanding and applying the guiding opinions on criminal cases of smuggling utilizing Hainan’s offshore duty-free policy for tourists. Cust. Law Rev. 2023, 00, 369–377. (In Chinese) [Google Scholar]
- Bakker, C.; Webster, J.B.; Nowak, K.E.; Chatterjee, S.; Perkins, C.J.; Brigantic, R. Multi-game modeling for counter-smuggling. Reliab. Eng. Syst. Saf. 2020, 200, 106958. [Google Scholar] [CrossRef]
- Petrosian, O.; Tur, A.; Wang, Z.; Gao, H. Cooperative differential games with continuous updating using Hamilton–Jacobi–Bellman equation. Optim. Methods Softw. 2020, 36, 1099–1127. [Google Scholar] [CrossRef]
- Brown, A.O.; Tang, C.S. The impact of alternative performance measures on single period inventory policy. J. Ind. Manag. Optim. 2006, 2, 297–318. [Google Scholar] [CrossRef]
- Schweitzer, M.E.; Cachon, G.P. Decision bias in the newsvendor problem with a known demand distribution: Experimental evidence. Manag. Sci. 2000, 46, 404–420. [Google Scholar] [CrossRef]
- Raven, M. Wool smuggling and the royal government in mid-fourteenth century Northumberland. North. Hist. 2023, 60, 2–27. [Google Scholar] [CrossRef]
- Cortes-McPherson, D. Peru: Curtailing smuggling, regionalizing trade. In Global Gold Production Touching Ground; Verbrugge, B., Geenen, S., Eds.; Palgrave Macmillan: Cham, Switzerland, 2020; pp. 135–149. [Google Scholar] [CrossRef]
- Haryaningsih, S. Implementation of Jagoi Babang cross-border postal policy in arrangement of cross-border trading between Indonesia-Malaysia. In Proceedings of the Global Conference on Business and Social Sciences, Bangkok, Thailand, 11–12 December 2020; Volume 11, p. 157. [Google Scholar] [CrossRef]
- Becker, J.; Wilson, J.D. Tax competition with two tax instruments—and tax base erosion. J. Public Econ. 2023, 225, 104965. [Google Scholar] [CrossRef]
- Gaćeša, D.; Milošević, M.; Zima, P. Selected issues of abuse of rights in the tax system of the Republic of Croatia. Zb. Rad. Prav. Fak. Split. 2022, 59, 159–172. [Google Scholar] [CrossRef]
- Roca, S.; Simabuko, L. Informality and tax refund in Peru’s intercity passenger ground transport market: An empirical appraisal. Transportation 2023, 50, 1103–1123. [Google Scholar] [CrossRef]
- Lu, Y.; Foropon, C.R.H.; Wang, D.D.; Xu, S.S. Arbitrage in gray markets and its impact on supply chain decisions. J. Enterp. Inf. Manag. 2021, 34, 382–398. [Google Scholar] [CrossRef]
- Feldman, B. A Conceptual Foundation for the Theory of Risk Aversion. Working Paper. 2015. Available online: https://api.semanticscholar.org/CorpusID:38462860 (accessed on 15 July 2025).
- Zhou, C.; Sadowski, B.M.; Fang, C.; Ruan, M. The impact of risk aversion on serial entrepreneurs’ intentions for reentry: A quantitative analysis across 85 countries. Int. Entrep. Manag. J. 2025, 21, 96. [Google Scholar] [CrossRef]
- Heyhat, S.; Rahmani, D.; Shahparvari, S. Enhancing ‘disease x’ responsiveness: A risk-averse distributionally robust optimization approach for resource allocation under infectious disease transmission variability. Int. J. Prod. Res. 2025, 63, 5528–5554. [Google Scholar] [CrossRef]
- Chen, S.; Li, G.S. How can grain price support policies enhance stable and increased wheat production? A risk aversion and cost saving perspective. Front. Sustain. Food Syst. 2025, 9, 1570962. [Google Scholar] [CrossRef]
- Gong, B.; Li, Z.; Cheng, J.; Zhang, X. Closed-loop supply chain decisions considering carbon tax policy under the recycler’s risk aversion. Ann. Oper. Res. 2025, 355, 1851–1876. [Google Scholar] [CrossRef]
- Malinverni, E.S.; Abate, D.; Agapiou, A.; Di Stefano, F.; Felicetti, A.; Paolanti, M.; Pierdicca, R.; Zingaretti, P. A Significant Deep Learning-Based Platform to Combat Illicit Trafficking of Cultural Heritage Goods. Sci. Rep. 2024, 14, 15081. [Google Scholar] [CrossRef] [PubMed]
- Aziani, A.; Jofre, M.; Mancuso, M. Convergence between migrant smuggling and trafficking of goods: Text analysis of open-source data. Int. Migr. Rev. 2025, 59, 1259–1292. [Google Scholar] [CrossRef]
- Yang, Z.; Wang, X.; Qiu, M.; Hou, S.; Wu, Y. Account of spatio-temporal characteristics in customs anti-smuggling intelligence acquisition: A combined LSTM+CRF model using TF-IDF and Levenshtein. Int. J. Data Warehous. Min. 2024, 20, 1–20. [Google Scholar] [CrossRef]
- Huang, H.X.; Wang, Z. Research on the Governance form Mechanism of Platform Enterprise Monopoly Behavior Based on Evolutionary Game Theory. Appl. Math. Nonlinear. Sci. 2024, 9. Available online: https://api.semanticscholar.org/CorpusID:269433451 (accessed on 15 July 2025).
- Hohzaki, R.; Masuda, R. A smuggling game with asymmetrical information of players. J. Oper. Res. Soc. 2012, 63, 1434–1446. [Google Scholar] [CrossRef]
- Shan, X.G.; Zhuang, J. Modeling credible retaliation threats in deterring the smuggling of nuclear weapons using partial inspection: A three-stage game. Decis. Anal. 2014, 11, 43–62. [Google Scholar] [CrossRef]
- Hohzaki, R.; Kudoh, D.; Komiya, T. An inspection game: Taking account of fulfillment probabilities of players’ aims. Naval Res. Logist. 2006, 53, 761–771. [Google Scholar] [CrossRef]
- Bagchi, A.; Paul, J.A. Espionage and the optimal standard of the Customs-Trade Partnership against Terrorism (C-TPAT) program in maritime security. Eur. J. Oper. Res. 2017, 262, 89–107. [Google Scholar] [CrossRef]
- Bather, J.A. Differential Games: A Mathematical Theory with Applications to Warfare and Pursuit, Control and Optimization. J. R. Stat. Soc. Ser. A. 1966, 129, 474–475. [Google Scholar] [CrossRef]
- Jia, F.; Wang, D. Research on innovation decisions in industry-university-research cooperation based on differential games. Technol. Anal. Strateg. Manag. 2023, 37, 841–860. [Google Scholar] [CrossRef]
- Leng, J.; Ding, W. Sustainable strategies for marine plastic waste remanufacturing systems under diverse carbon reduction policies. Mar. Pollut. Bull. 2025, 220, 118350. [Google Scholar] [CrossRef]
- Yu, L.; Yang, M.; Zhang, Z. Introducing blockchain into low-carbon e-commerce supply chains: A differential game analysis in monopoly and oligopoly markets. Int. J. Prod. Res. 2025, 63, 5263–5291. [Google Scholar] [CrossRef]
- Nikooeinejad, Z.; Heydari, M. Generalized Model of a Stochastic Common Property Fishery Differential Game: A Numerical Study. Dyn. Games Appl. 2025, 15, 1–36. [Google Scholar] [CrossRef]
- Huang, Q.; Shi, J.T. Mixed leadership stochastic differential game in feedback information pattern with applications. Automatica 2024, 160, 111425. [Google Scholar] [CrossRef]
- Jose, V.R.R.; Zhuang, J. Incorporating risk preferences in stochastic noncooperative games. IISE Trans. 2017, 50, 1–13. [Google Scholar] [CrossRef]
- Yang, Y.; Yang, S.W.; Zhang, J.H. Pollution control mechanism of national water network with water quality differences based on differential game and case study. Sci. Rep. 2025, 15, 5588. [Google Scholar] [CrossRef]
- Mykrantz, J.L.; Bozic, M. Opportunity cost: An economic concept that may improve the functioning of federal milk marketing orders and the U.S. dairy industry. J. Agric. Appl. Econ. 2022, 54, 606–620. [Google Scholar] [CrossRef]
- Caulkins, J.P.; Feichtinger, G.; Grass, D.; Hartl, R.F.; Kort, P.M.; Seidl, A. Interaction of Pricing, Advertising and Experience Quality: A Dynamic Analysis. Eur. J. Oper. Res. 2017, 256, 877–885. [Google Scholar] [CrossRef]
- Choi, T.-M.; Ma, C.; Shen, B.; Sun, Q. Optimal pricing in mass customization supply chains with risk-averse agents and retail competition. Omega 2019, 88, 150–161. [Google Scholar] [CrossRef]
- Schreck, C.J. The Value of Understanding the Human Side of Precautionary Behavior for Criminology and Crime Control Policy: The 2021 Bruce Smith Sr. Award Address to the Academy of Criminal Justice Sciences. Just. Eval. J. 2021, 4, 163–175. [Google Scholar] [CrossRef]
- Newsome, J.; Cullen, F. The Risk-Need-Responsivity Model Revisited: Using Biosocial Criminology to Enhance Offender Rehabilitation. Crim. Justice Behav. 2017, 44, 1030–1049. [Google Scholar] [CrossRef]
- Hainan Provincial People’s Government. Policies and Regulations on the Governance of Duty-Free Quota Abuse Smuggling Under Hainan’s Offshore Duty-Free Policy [Z/OL]. Available online: https://www.hnftp.gov.cn/zczdtx/hxzc/lzzymyg/zcfg/202508/t20250801_3906295.html (accessed on 31 July 2025). (In Chinese)
- Peter, R.; Hofmann, A. Precautionary risk-reduction and saving decisions: Two sides of the same coin? Insur. Math. Econ. 2024, 118, 175–194. [Google Scholar] [CrossRef]
- Almen, A.; Dentcheva, D. On Risk Evaluation and Control of Distributed Multi-agent Systems. J. Optim. Theory Appl. 2024, 203, 2025–2054. [Google Scholar] [CrossRef]
- Rustagi, P.; Saisubramanian, S. Mitigating Side Effects in Multi-Agent Systems Using Blame Assignment. arXiv 2024, arXiv:2405.04702. [Google Scholar] [CrossRef]
- Herb, P. The treasury auction risk premium. J. Bank. Financ. 2025, 170, 107316. [Google Scholar] [CrossRef]
- Ji, Y.S.; Du, X.P. A Study on the Governance of Smuggling Crimes of “Purchasing through Agents” under the Tax Exemption Policy in Hainan Outlying Islands. J. Beijing Polic. Coll. 2024, 04, 76–84. (In Chinese) [Google Scholar] [CrossRef]
- Leuprecht, C.; Ferrill, J.; Ozga, M.; Tiwari, M.; Karunakaran, J. Detecting, disrupting and deterring sexual exploitation of trafficked persons: Leveraging beneficial ownership registries to reduce criminogenic information asymmetry and raise public expectations. Curr. Issues Crim. Just. 2025, 37, 264–286. [Google Scholar] [CrossRef]
- Mirzaei, M.; Mirzapour Al-e-hashem, S.M.J.; Akbarpour Shirazi, M. A maximum-flow network interdiction problem in an uncertain environment under information asymmetry condition: Application to smuggling goods. Comput. Ind. Eng. 2021, 162, 107708. [Google Scholar] [CrossRef]
- Hamill, H. Transnational Criminal Enterprise: A Qualitative Social Network Analysis of the Production and Trade in Falsified Medicines. Eur. J. Sociol. 2025, 66, 229–255. [Google Scholar] [CrossRef]
- Van Elteren, C.; Vasconcelos, V.V.; Lees, M. Criminal organizations exhibit hysteresis, resilience, and robustness by balancing security and efficiency. Sci. Rep. 2024, 14, 17678. [Google Scholar] [CrossRef]
- Meng, X.L.; Yang, J.; Wu, Y.F. A qualitative analysis of optimal control of crowdsourced logistics service quality considering reward-punishment mechanism and cost-sharing. J. Chin. Manag. Sci. 2022, 30, 182–195. (In Chinese) [Google Scholar]
- Kwiatkowska, M.; Norman, G.; Parker, D.; Santos, G. Expectation vs. Reality: Towards Verification of Psychological Games. In Principles of Verification: Cycling the Probabilistic Landscape; Lecture Notes in Computer Science; Jansen, N., Junges, S., Kaminski, B.L., Matheja, C., Noll, T., Quatmann, T., Stoelinga, M., Volk, M., Eds.; Springer: Berlin/Heidelberg, Germany, 2025; Volume 15261. [Google Scholar] [CrossRef]
- Araujo, A.; Gama, J.P.; Kehoe, T.J. Risk-loving and fat tails in the wealth distribution. Econ. Theory 2025, 80, 515–540. [Google Scholar] [CrossRef]
- Zhu, L.; Yang, X.; Cao, J. Research on Collaborative Emergency Reserve between Government and Enterprises Considering Different Risk Preferences under Government Subsidies. Chin. J. Manag. Sci. 2025, 1–20. (In Chinese) [Google Scholar] [CrossRef]











| Implementation Region | Okinawa Island, Japan | Jeju Island, South Korea | Certain Regions of Taiwan, China | Hainan Island, China | |
|---|---|---|---|---|---|
| Off-Island Duty-Free Policies | |||||
| Duty-Free Shop Setup | DFS, the internationally renowned duty-free operator, operates | Operated by two state-owned enterprises, JDC and JTO | Established through joint investment by the government and private capital | Determining the operating agent through bidding | |
| Island Departure Method | By plane | By plane or by ship | By plane or by ship | By plane, ship, or train | |
| Types of Duty-Free Goods | All imported goods (except tobacco products) | 15 categories of goods, including alcoholic beverages, tobacco, cosmetics, and perfumes | All imported goods (must be carried off the island personally) | 45 categories of imported goods, including cosmetics and consumer electronics | |
| Taxes are exempt from taxation | Tariff | Customs duties, value-added tax, excise taxes on alcoholic beverages, excise taxes on tobacco products, and excise taxes on specific consumer goods | Customs duties, excise taxes, business taxes, and tobacco and alcohol taxes | Customs duties, import value-added tax, and consumption tax | |
| Purchase frequency and purchase amount limits | The annual expenditure on shopping shall be capped at 200,000 JPY per capita, while no restriction is imposed on the frequency of transactions. | Purchase restrictions primarily apply to tobacco and alcoholic beverages, with a spending limit of 600 USD per transaction and a maximum of six purchases per year. | Purchase restrictions apply differently by category: tobacco and alcohol face limits on both quantity and total value, while other goods, though unlimited in transaction frequency, must not exceed 60,000 NTD per transaction. Individuals making frequent purchases are subject to separate limitations on both quantity and amount. | Implement single-purchase limits on cosmetics, mobile phones, and alcoholic beverages; Set an annual spending cap of 100,000 CNY per person, with no restrictions on the number of purchases. | |
| State Variables | Description |
| Smuggling effort level of the smuggling chain at time t | |
| Decision variables | Description |
| Smuggling effort level of the illegal agent i at time t during the decision-making phase j | |
| Objective functions | Description |
| Optimal profit of the illegal agent at time t during the decision-making phase | |
| Parameters | Description |
| Overall smuggling effort level of the initial smuggling chain | |
| , , | Smuggling efficiency coefficient for Principal Organizers, Intermediary Brokers, and Quota Sellers , and > 0 |
| Natural decay coefficient of the overall smuggling effort level in the smuggling chain, > 0 | |
| The marginal benefit from the resale of illicit gains obtained by the illegal agent through the exploitation of a single duty-free quota under the Off-Island Duty-Free Policy | |
| The marginal conversion rate of smuggling effort into the exploited duty-free quotas | |
| The opportunity cost coefficient of the illegal agent , > 0 | |
| The direct criminal cost coefficient of the illegal agent , > 0 | |
| The risk avoidance preference coefficient of the illegal agent , > 0 | |
| Discount rate, > 0 | |
| The proportion of cost-sharing by the Principal Organizers to the Intermediary Brokers | |
| Model index | Description |
| for the smuggling chain | |
| for the Collaborative Profit-Seeking Decision-Making Phase | |
| * | Indicates that this variable is in its optimal state |
1 | - 2 | - | ![]() | - | - | ![]() | - | - | ![]() | |
| - | ![]() | - | - | ![]() | - | - | ![]() | - | ![]() | |
| - | - | ![]() | - | - | ![]() | - | - | ![]() | ![]() | |
![]() | - | - | ![]() | - | - | ![]() | - | - | ![]() | |
![]() | ![]() | - | - | ![]() | - | - | ![]() | - | ![]() | |
| - | - | ![]() | - | - | ![]() | - | - | ![]() | ![]() | |
![]() | ![]() | ![]() | ![]() | - | - | ![]() | - | - | ![]() | |
![]() | ![]() | ![]() | - | ![]() | - | - | ![]() | - | ![]() | |
![]() | ![]() | ![]() | - | - | ![]() | - | - | ![]() | ![]() |
” indicates that is negatively correlated with the corresponding parameter, meaning that the first-order partial derivative of with respect to that parameter is less than zero. 2 “-” indicates that the variable is independent of the parameter.| Variable Name | Value Range | Unit |
|---|---|---|
| The average monthly number of duty-free quotas applicable to the smuggling chain | [1, 20] | units/month |
| Commission Amount for Quota Sellers | [100, 400] | CNY/capita |
| Principal Organizers’ average monthly total commission amount paid to Quota Sellers | [0.2, 0.8] | 104 CNY/month |
| Principal Organizers’ average monthly commission amount paid to the Intermediary Brokers | [1.0, 1.6] | 104 CNY/month |
| Serial Number | Types of Duty-Free Goods Prone to Smuggling | Product Name | Ordinary Tariff (%) | Import VAT (%) | Consumption Tax (%) | Purchase Limit per Person per Transaction |
|---|---|---|---|---|---|---|
| 1 | Perfume | Perfume and Eau de Cologne | 150 | 13 | 15 (When the dutiable value is ≥10 CNY/mL) | Unlimited |
| 2 | Cosmetics | Lip cosmetics | 150 | 17 | 15 (When the dutiable value is ≥10 CNY per milliliter or gram) | 30 pieces |
| 3 | Eye cosmetics | 150 | 13 | |||
| 4 | Nail cosmetics | 150 | 13 | |||
| 5 | Powder, whether compacted or not | 150 | 13 | 15 (Customs value ≥ 10 CNY per milliliter (gram) or 15 CNY per tablet (sheet)) | ||
| 6 | Other Beauty and Cosmetic Products | 150 | 13 | |||
| 7 | Alcoholic beverages | Small-packaged vermouth and similar wines | 180 | 13 | 10 | Total volume not exceeding 1500 milliliters |
| 8 | Distilled spirits made from wine | 180 | 13 | 20 (An additional tax of 0.912 CNY per liter based on quantity) | ||
| 9 | Whiskey | 180 | 13 | |||
| 10 | Luggage | Other luggage and bags with leather or recycled leather surfaces | 100 | 13 | 0 | Unlimited |
| 11 | Other luggage and bags with plastic or textile surfaces | 100 | 13 |
| Phase | |||||||||
|---|---|---|---|---|---|---|---|---|---|
| N-Phase | 0.05 | 20.88 | 402.53 | 222.88 | 123.79 | 55.86 | 3.67 | 2.43 | 1.30 |
| 0.08 | 18.65 | 286.60 | 158.47 | 88.29 | 39.84 | 3.28 | 2.17 | 1.16 | |
| 0.12 | 16.31 | 209.03 | 115.39 | 64.51 | 29.13 | 2.87 | 1.89 | 1.02 | |
| S-Phase | 0.05 | 29.02 | 470.87 | 260.18 | 144.66 | 66.03 | 3.67 | 5.68 | 1.30 |
| 0.08 | 25.91 | 341.80 | 188.50 | 105.15 | 48.15 | 3.28 | 5.07 | 1.16 | |
| 0.12 | 22.67 | 252.02 | 138.68 | 77.65 | 35.69 | 2.87 | 4.44 | 1.02 | |
| C-Phase | 0.05 | 57.44 | 1504.86 | ||||||
| 0.08 | 51.28 | 905.60 | |||||||
| 0.12 | 44.87 | 570.74 | |||||||
| Principal Organizers Risk Avoidance | Intermediary Brokers Risk Avoidance | Quota Sellers Risk Avoidance | |
|---|---|---|---|
| Risk aversion scenario | 0.85 | 0.65 | 0.3 |
| Risk neutrality scenario | 0.5 | 0.4 | 0.15 |
| Risk loving scenario | 0.15 | 0.1 | 0.05 |
Disclaimer/Publisher’s Note: The statements, opinions and data contained in all publications are solely those of the individual author(s) and contributor(s) and not of MDPI and/or the editor(s). MDPI and/or the editor(s) disclaim responsibility for any injury to people or property resulting from any ideas, methods, instructions or products referred to in the content. |
© 2025 by the authors. Licensee MDPI, Basel, Switzerland. This article is an open access article distributed under the terms and conditions of the Creative Commons Attribution (CC BY) license.
Share and Cite
Guo, Y.; Liao, M.; Zhang, J.; Ni, Y. Decision Evolution and Governance Optimization in Duty-Free Quota Abuse Smuggling: A Multi-Agent Risk Avoidance Perspective. Mathematics 2026, 14, 160. https://doi.org/10.3390/math14010160
Guo Y, Liao M, Zhang J, Ni Y. Decision Evolution and Governance Optimization in Duty-Free Quota Abuse Smuggling: A Multi-Agent Risk Avoidance Perspective. Mathematics. 2026; 14(1):160. https://doi.org/10.3390/math14010160
Chicago/Turabian StyleGuo, Yuqing, Mengjie Liao, Jian Zhang, and Yuan Ni. 2026. "Decision Evolution and Governance Optimization in Duty-Free Quota Abuse Smuggling: A Multi-Agent Risk Avoidance Perspective" Mathematics 14, no. 1: 160. https://doi.org/10.3390/math14010160
APA StyleGuo, Y., Liao, M., Zhang, J., & Ni, Y. (2026). Decision Evolution and Governance Optimization in Duty-Free Quota Abuse Smuggling: A Multi-Agent Risk Avoidance Perspective. Mathematics, 14(1), 160. https://doi.org/10.3390/math14010160

