Research on the Design and Meshing Performance Analysis of Face Gear Face Gear Meshing Nutation Reducers
Abstract
1. Introduction
2. Geometric Generation and Modification Design of Nutation Face Gear Tooth
2.1. Design of Shaper Cutter
2.2. Generation of Face Gear with Internal and External Meshing
2.3. Conjugated Conditions of Face Gear Face Gear Pair
2.4. Tooth Modification Design of Face Gear
3. Geometric Contact Analysis of Face Gear Face Gear Pairs
3.1. TCA
3.2. LTCA
3.2.1. Calculation and Analysis of Principal Curvature and Principal Direction
3.2.2. Hertzian Contact Theory
4. Design of Face Gear Face Gear Nutation Reducer
Analysis and Design of Nutation Reducer
5. Numerical Examples and Discussions
5.1. Generation of Tooth Surface of Face Gear Face Gear Meshing Pair
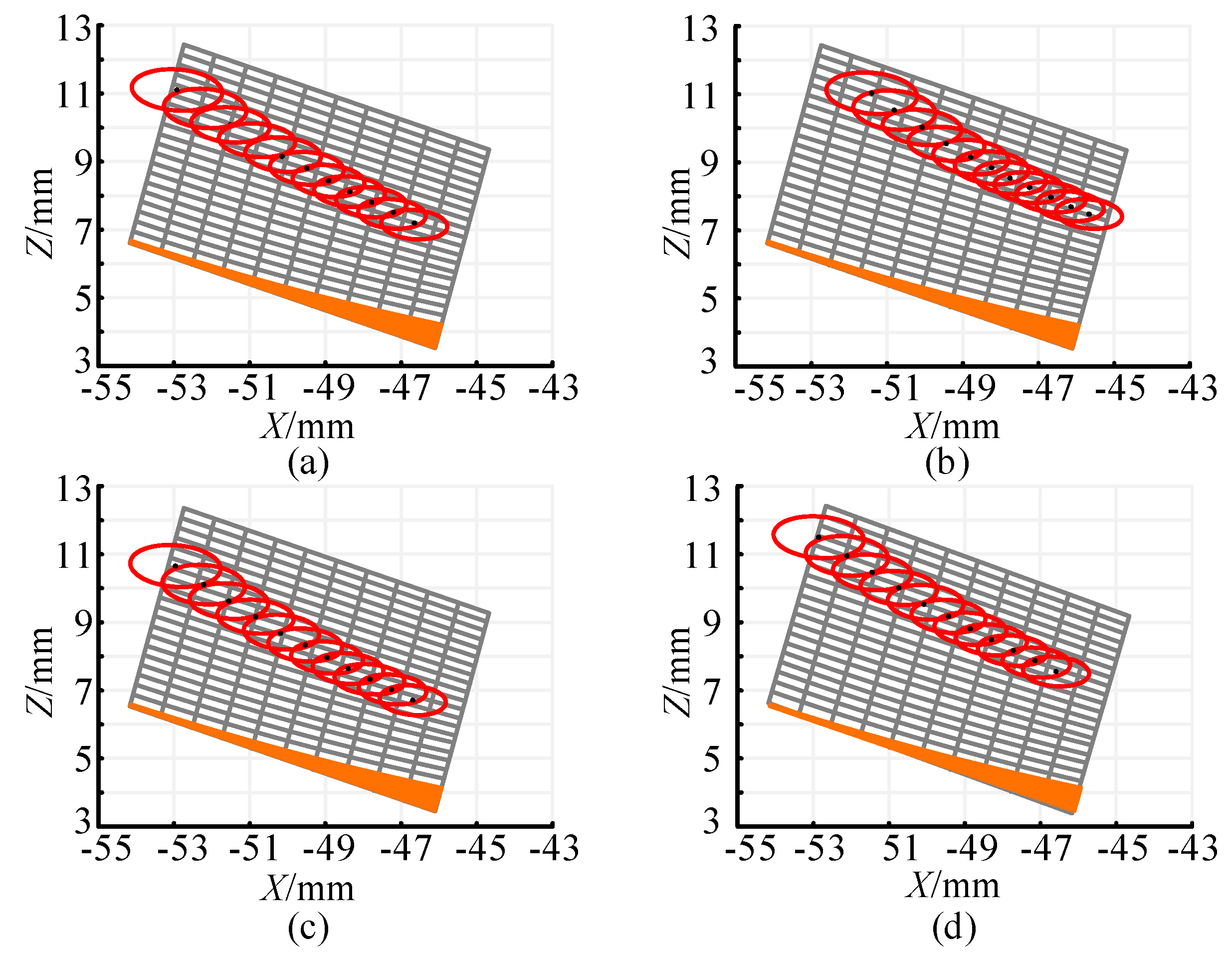
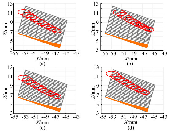
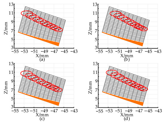
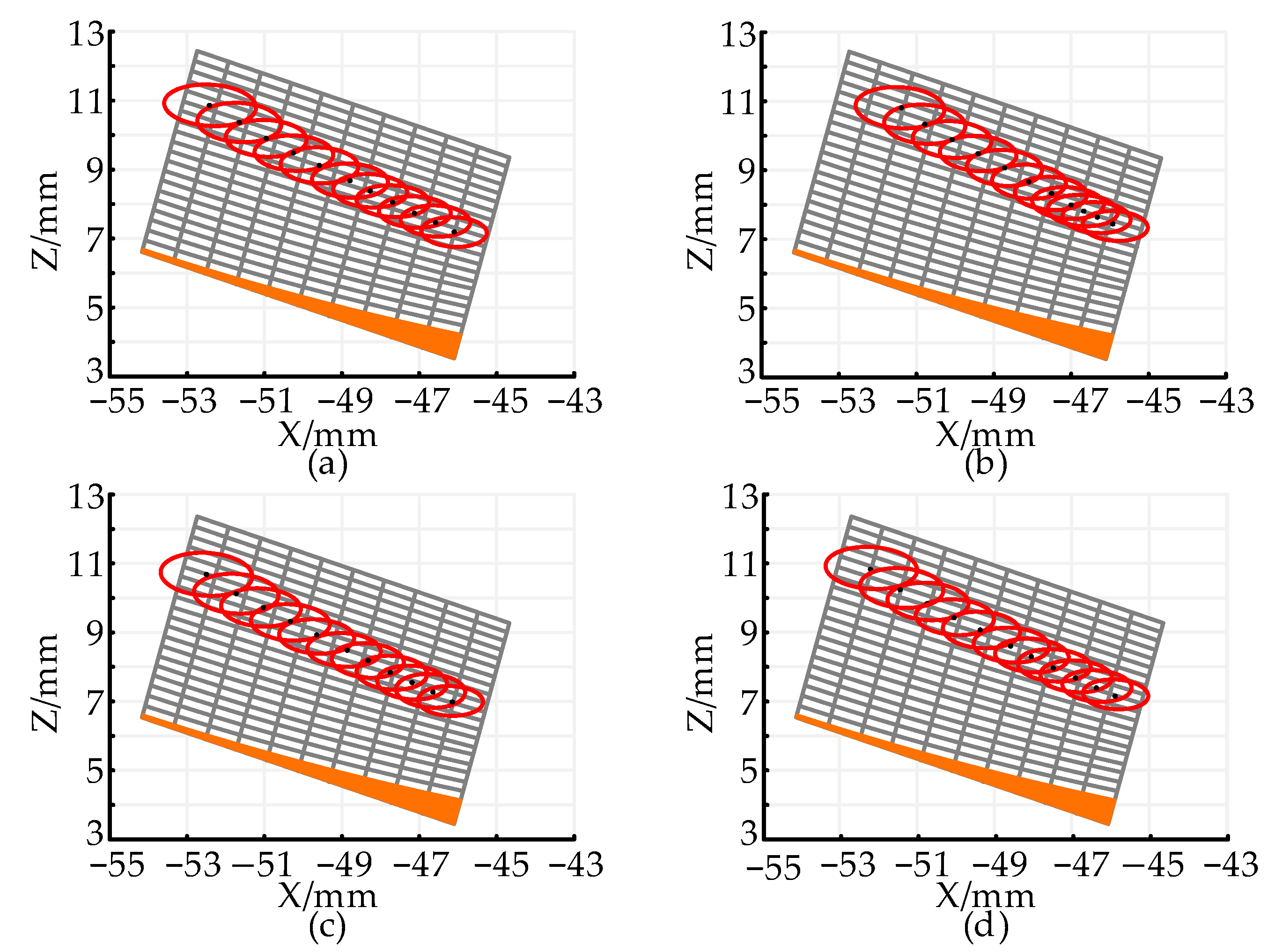
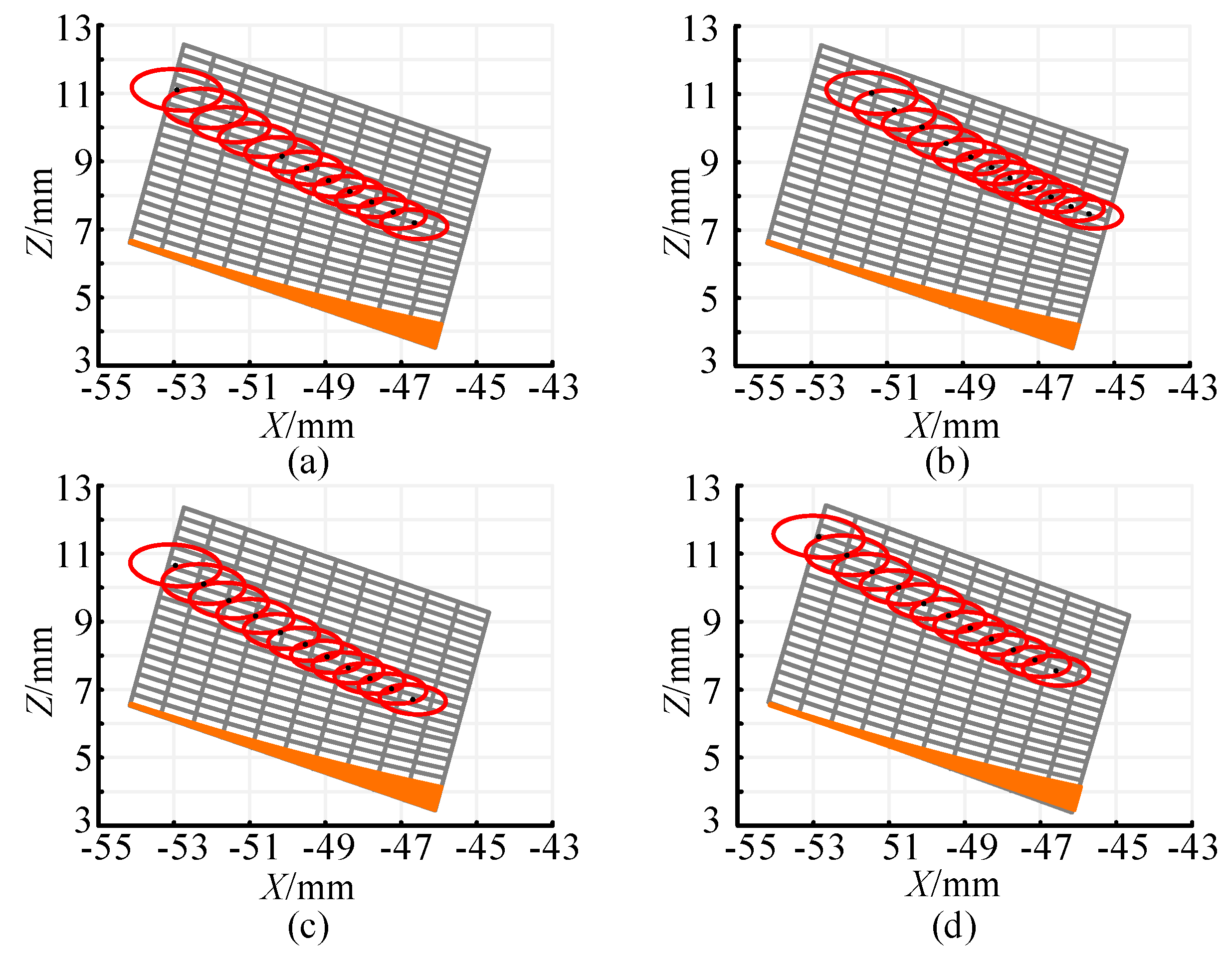
5.2. Analysis of Tooth Contact Path
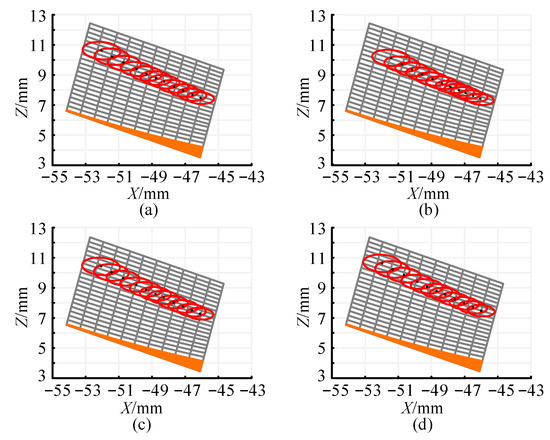
5.3. Tooth Contact Analysis of Face Gear Face Gear Meshing Pair with Modification Machining
5.4. Contact Stress Analysis
- (1)
- Creation of nutating face gear transmission components.
- (2)
- Selection of materials for the nutation face gear, with material parameters shown in Table 4.
- (3)
- Preliminary meshing of the nutating face gear. After importing the small-tooth differential gear assembly model, redundant contacts may exist that can affect subsequent loading analysis. Therefore, it is necessary to delete the existing contacts first and then perform preliminary meshing to determine if the imported 3D model is suitable for finite element analysis.
- (4)
- Determination of the connection relationships for the nutating face gear. To determine the size and distribution of contact stress during the re-meshing transmission process, it is necessary to simulate the meshing process, add two rotary connection pairs, and introduce frictional contact at the meshing tooth surfaces to simulate gear tooth engagement.
- (5)
- Final meshing of the nutating face gear. Since the contact stress of gear meshing is the primary focus of the analysis, the mesh type is defined as tetrahedral.
- (6)
- Setting of loading conditions for the nutating face gear. A torque of 1200 Nm is applied along the axial direction of the internal gear to simulate the contact behavior of the internal meshing face gear in a new energy vehicle.
- (7)
- Solution and post-processing for the nutating face gear.
6. Conclusions
- (1)
- The external meshing face gear and the internal meshing face gear, manufactured using the same tool, can conjugate and mesh to form a face gear-face gear pair.
- (2)
- For the face gear, a modification method based on parabolic modification with an adjustment of the angle βp is proposed. Compared to simple parabolic modification, this method is more suitable for nutation face gear transmission. The new modification technique improves meshing performance and reduces contact stress. However, when βp becomes too small, the contact ellipse formed by the load extends beyond the tooth surface boundary, resulting in a surge in contact stress.
- (3)
- The impact of installation errors on the contact path of the face gear-face gear meshing pair is analyzed. The results show that, compared to axis bias and axial displacement errors, the nutation angle error has the most significant effect on the contact path. This is because the nutation angle error not only directly alters the position and distribution of the contact points but also causes a substantial change in the main curvature of the tooth surface, particularly in the tooth top and outer diameter areas. This has a major impact on the TCA results. Additionally, the nutation angle error has global and cumulative effects, making its influence much greater than other local errors.
- (4)
- According to the ANSYS contact analysis results, the maximum contact stress occurs at the internal tooth tip area of the face gear. The contact stress distribution is consistent with the calculated value from Hertzian elastic contact theory, as described in Section 5.2. The maximum contact stress is approximately 1500 MPa, indicating that this area is most susceptible to contact fatigue failure. It is also observed that the nutating face gear transmission involves multi-tooth meshing with significant overlap and good power splitting characteristics. However, edge contact occurs, necessitating subsequent tooth surface modifications to resolve the issue.
Author Contributions
Funding
Data Availability Statement
Conflicts of Interest
Abbreviations
| Notation | |
| a, b | major and minor axis of contact ellipse |
| α | pressure angle |
| β | nutation angle |
| βp | tooth surface rotation angle |
| γ | tooth surface rotation angle |
| θn | tooth profile parameters of the involute tooth profile, n = s, s1, s2 |
| φn | the rotation angle, n = s, 1, 2, 3, 4 |
| Δφ2′ | transmission error |
| Δm | amount of modification |
| Δγ | nutation angle error |
| ΔE | offset error |
| Δq | axial displacement error |
| a, b | major and minor axis of contact ellipse |
| ap | parabolic modification coefficient |
| i | reducer ratio |
| Kn | curvature of surface, n = 1, 2, 3, 4 |
| Lin | minimum inner radius of face gear |
| Lout | maximum outer radius of the face gear |
| Lij | 3 × 3 matrix of coordinate transformation from system sj to system si |
| Mij | 4 × 4 matrix of coordinate transformation from system sj to system si |
| P | maximum contact stress |
| Tg | load |
| Zn(n = s, 1, 2, 3, 4) | tooth numbers of pinion and gear, n = s, 1, 2, 3, 4 |
| Abbreviations | |
| PMT | peripheral ring transmission |
| DCAP | double circular-arc profile |
| TCA | tooth contact analysis |
| LTCA | loaded tooth contact analysis |
| AM | analytical method |
| FEM | finite element method |
Appendix A. Transformation Matrixes
References
- Cai, Y.; Yao, L.; Zhang, J.; Xie, Z.; Hong, J. Feasibility analysis of using a two-stage nutation drive as joint reducer for industrial robots. J. Mech. Sci. Technol. 2019, 33, 1799–1807. [Google Scholar] [CrossRef]
- Saribay, Z.B.; Bill, R.C. Design analysis of pericyclic mechanical transmission system. Mech. Mach. Theory 2013, 61, 102–122. [Google Scholar] [CrossRef]
- Stadtfeld, H.J. Introduction to Electric Vehicle Transmissions. Gear Technol. 2020, 37, 42–50. [Google Scholar]
- Stadtfeld, H.; Ligata, H. Double Differential for Electric Vehicle and Hybrid Transmissions. In Gear Technology Magazine; American Gear Manufacturers Association: Elk Grove Village, IL, USA, 2022. [Google Scholar]
- Yamamori, M. Nutation Gear Device, Variable Transmission Ratio Mechanism and Steering Device for Vehicles. China Patent ZL201010129312, 15 September 2012. [Google Scholar]
- Cheng, Z.; Xian, M. Practicability analysis of involute less tooth difference bevel gear planetary transmission (nutation transmission). J. Mech. Transm. 2000, 24, 31–33. [Google Scholar]
- Yu, Y.; Zhang, J.; Yu, W. Analysis and optimization of gyro moment in nutation drive of bevel differential. Mach. Tool Hydraul. 2001, 110, 32–33. [Google Scholar]
- Hu, Y.-p. 3D Parametric Modeling of Internal Bevel Gear Based on UG. J. Kunming Univ. Sci. Technol. 2006, 4, 34–48. [Google Scholar]
- Lin, Z.; Yao, L.G. Mathematical Model and 3D Modeling of Involute Spiral Bevel Gears for Nutation Drive. Adv. Mater. Res. 2013, 503, 694–697. [Google Scholar] [CrossRef]
- Cai, G.; Li, X. Kinematic analysis of internal bevel gear nutation drives. Mech. Des. Res. 2019, 35, 72–74. [Google Scholar]
- Mathur, T.D.; Smith, E.C.; DeSmidt, H.; Bill, R.C. Load Distribution and Mesh Stiffness Analysis of an Internal- External Bevel Gear Pair in a Pericyclic Drive. In Proceedings of the 72nd American Helicopter Society International Annual Forum 2016, West Palm Beach, FL, USA, 17–19 May 2016. [Google Scholar]
- Saribay, Z.B. Tooth geometry and bending stress analysis of conjugate meshing face-gear pairs. Proc. Inst. Mech. Eng. Part C J. Mech. Eng. Sci. 2013, 227, 1302–1314. [Google Scholar] [CrossRef]
- Gu, B.; Yao, L.G.; Wei, G.W.; Cai, Y.J.; Dai, J.S. The analysis and modeling for mutation drives with double circular-arc: Helical bevel gears. Materials Science Forum 2006, 505–507, 949–954. [Google Scholar]
- Shih, Y.; Fong, Z.; Lin, G.C.Y. Mathematical model for a universal face hobbing hypoid gear generator. J. Mech. Design 2007, 129, 38–47. [Google Scholar] [CrossRef]
- Shih, Y.; Fong, Z. Flank modification methodology for face-hobbing hypoid gears based on ease-off topography. J. Mech. Design 2007, 129, 1294–1302. [Google Scholar] [CrossRef]
- Simon, V.V. Optimal machine tool settings for face-hobbed hypoid gears manufactured on CNC hypoid generator. Int. J. Adv. Manuf. Technol. 2017, 88, 1579–1594. [Google Scholar] [CrossRef]
- Simon, V.V. Multi-objective optimization of the manufacture of face-milled hypoid gears on numerical controlled machine tool. Proc. Inst. Mech. Eng. Part B J. Eng. Manuf. 2021, 235, 1120–1130. [Google Scholar] [CrossRef]
- Deng, X.; Li, G.; Wei, B.; Deng, J. Face-milling spiral bevel gear tooth surfaces by application of 5-axis CNC machine tool. Int. J. Adv. Manufact. Technol. 2013, 71, 1049–1057. [Google Scholar] [CrossRef]
- Tang, W.; Huang, Y.; Wu, Y.; Yao, L.; Pan, L.; Zhang, J. Geometry design, meshing analysis and error influences of face-hobbed cycloidal bevel gears with double circular-arc profile for a nutation drive. Mech. Mach. Theory 2022, 176, 105001. [Google Scholar] [CrossRef]
- Litvin, F.L.; Fuentes, A.; Howkins, M. Design, generation and TCA of new type of asymmetric face-gear drive with modified geometry. Comput. Methods Appl. Mech. Eng. 2001, 190, 5837–5865. [Google Scholar] [CrossRef]
- Litvin, F.L.; Gonzalez-Perez, I.; Fuentes, A.; Vecchiato, D.; Hansen, B.D.; Binney, D. Design, generation and stress analysis of face-gear drive with helical pinion. Comput. Methods Appl. Mech. Eng. 2005, 194, 3870–3901. [Google Scholar] [CrossRef]
- Mo, S.; Luo, B.; Song, W.; Zhang, Y.; Cen, G.; Bao, H. Geometry design and tooth contact analysis of non-orthogonal asymmetric helical face gear drives. Mech. Mach. Theory 2022, 173, 104831. [Google Scholar] [CrossRef]
- Meyer, M. Technology behind Cykro® (face) gears and their possibilities. In Proceedings of the International Conference on Gears, Munich, Germany, 13–15 March 2002; Volume 1–2, pp. 75–89. [Google Scholar]
- Litvin, F.L.; Chen, N.X.; Lu, J.; Handschuh, R.F. Computerized design and generation of low-noise helical gears with modified surface-topology. J. Mech. Design 1995, 117, 254–261. [Google Scholar] [CrossRef][Green Version]
- Zanzi, C.; Pedrero, J.I. Application of modified geometry of face gear drive. Comput. Methods Appl. Mech. Eng. 2005, 194, 3047–3066. [Google Scholar] [CrossRef]
- Zhang, Y.; Wu, Z. Offset face gear drives: Tooth geometry and contact analysis. J. Mech. Design 1997, 119, 114–119. [Google Scholar] [CrossRef]
- Liu, D.; Wang, G.; Ren, T. Transmission principle and geometrical model of eccentric face gear. Mech. Mach. Theory 2017, 109, 51–64. [Google Scholar] [CrossRef]
- Kawasaki, K.; Tsuji, I.; Gunbara, H. Geometric design of a face gear drive with a helical pinion. J. Mech. Sci. Technol. 2018, 32, 1653–1659. [Google Scholar] [CrossRef]
- Feng, G.; Xie, Z.; Zhou, M. Geometric design and analysis of face-gear drive with involute helical pinion. Mech. Mach. Theory 2019, 134, 169–196. [Google Scholar] [CrossRef]
- Zhu, L.; Shi, J.; Gou, X. Modeling and dynamics analyzing of a torsional-bending-pendular face-gear drive system considering multi-state engagements. Mech. Mach. Theory 2020, 149, 103790. [Google Scholar] [CrossRef]
- Zschippang, H.A.; Weikert, S.; Kucuk, K.A.; Wegener, K. Face-gear drive: Geometry generation and tooth contact analysis. Mech. Mach. Theory 2019, 142, 103576. [Google Scholar] [CrossRef]
- Peng, X.; Zhou, J. Optimization design for dynamic characteristics of face gear drive with surface-active modification. Mech. Mach. Theory 2022, 176, 105007. [Google Scholar] [CrossRef]
- Hochrein, J.; Otto, M.; Stahl, K. Face gear drives: Nominal contact stress calculation for flank load carrying capacity evaluation. Mech. Mach. Theory 2024, 195, 105573. [Google Scholar] [CrossRef]
- Litvin, F.L.; Fuentes, A. Gear Geometry and Applied Theory, 1st ed.; PTR Prentice Hall: Englevood Cliffs, NJ, USA, 1994. [Google Scholar]
- Stachowiak, G.; Batchelor, A.W. Engineering Tribology; Butterworth-Heinemann: Oxford, UK, 2006. [Google Scholar]
- Saribay, Z.B.; Bill, R.C.; Smith, E.C.; Rao, S.B. Elastohydrodynamic Lubrication Analysis of Conjugate Meshing Face Gear Pairs. J. Am. Helicopter Soc. 2012, 57, 1–10. [Google Scholar] [CrossRef]
- Saribay, Z.B. Analytical Investigation of the Pericyclic Variable-Speed Transmission System for Helicopter Main-Gearbox. Ph.D. Thesis, Pennsylvania State University, University Park, PA, USA, 2009. [Google Scholar]




















| Design Parameters | External Meshing Face Gear | Internal Meshing Face Gear |
|---|---|---|
| Module m/mm | 3 | 3 |
| Tooth count of the hobbing cutter Zs | 16 | 16 |
| Tool pressure angle αs/mm | 25 | 25 |
| Addendum coefficient ha* | 1.25 | 1.25 |
| Teeth number Zn | 29 | 31 |
| Cross axis angle/° | 50.31 | 127.19 |
| Pitch cone angle/° | 33.67 | 143.82 |
| Nutation angle β/° | 2.5 | 2.5 |
| Tooth width b/mm | 8 | 8 |
| Offset error/mm | 0.3 | |
| Axial displacement error/mm | 0.2 | |
| Nutation angle error/mm | 0.05 | |
| Contact Point | Major Axis | Minor Axis | Maximum Contact Stress |
|---|---|---|---|
| 1 | 1.802 | 1.476 | 1592.08 |
| 2 | 1.888 | 1.476 | 1463.18 |
| 3 | 2.000 | 1.504 | 1374.02 |
| 4 | 2.108 | 1.534 | 1291.12 |
| 5 | 2.214 | 1.565 | 1216.65 |
| 6 | 2.518 | 1.596 | 1148.90 |
| 7 | 2.420 | 1.629 | 1087.09 |
| 8 | 2.523 | 1.662 | 1030.06 |
| 9 | 2.625 | 1.696 | 976.04 |
| 10 | 2.729 | 1.731 | 927.53 |
| 11 | 2.833 | 1.767 | 880.98 |
| Case1 | Case2 | Case3 | Case4 | |
|---|---|---|---|---|
| arabola modification coefficient αp/mm | 0.001 | 0.001 | 0.001 | 0.001 |
| Modified coordinates origin xz/mm | 0.019 | 0.019 | 0.019 | 0.019 |
| Modified coordinates origin yz/mm | −24.213 | −24.213 | −24.213 | −24.213 |
| Modified rotation angle βp/° | 0 | −1 | −2 | −3 |
| Material | Density (kg/m3) | Elastic Modulus (GPa) | Poisson’s Ratio |
|---|---|---|---|
| 20Cr2Ni4A | 7800 | 211 | 0.30 |
Disclaimer/Publisher’s Note: The statements, opinions and data contained in all publications are solely those of the individual author(s) and contributor(s) and not of MDPI and/or the editor(s). MDPI and/or the editor(s) disclaim responsibility for any injury to people or property resulting from any ideas, methods, instructions or products referred to in the content. |
© 2025 by the authors. Licensee MDPI, Basel, Switzerland. This article is an open access article distributed under the terms and conditions of the Creative Commons Attribution (CC BY) license (https://creativecommons.org/licenses/by/4.0/).
Share and Cite
Chen, H.; Li, Q.; Jia, C. Research on the Design and Meshing Performance Analysis of Face Gear Face Gear Meshing Nutation Reducers. Mathematics 2025, 13, 476. https://doi.org/10.3390/math13030476
Chen H, Li Q, Jia C. Research on the Design and Meshing Performance Analysis of Face Gear Face Gear Meshing Nutation Reducers. Mathematics. 2025; 13(3):476. https://doi.org/10.3390/math13030476
Chicago/Turabian StyleChen, Haoyu, Qinghai Li, and Chao Jia. 2025. "Research on the Design and Meshing Performance Analysis of Face Gear Face Gear Meshing Nutation Reducers" Mathematics 13, no. 3: 476. https://doi.org/10.3390/math13030476
APA StyleChen, H., Li, Q., & Jia, C. (2025). Research on the Design and Meshing Performance Analysis of Face Gear Face Gear Meshing Nutation Reducers. Mathematics, 13(3), 476. https://doi.org/10.3390/math13030476
