You are currently viewing a new version of our website. To view the old version click .
Mathematics
  • Feature Paper
  • Article
  • Open Access

24 January 2025

Joint Transmit Power and Power-Splitting Optimization for SWIPT in D2D-Enabled Cellular Networks with Energy Cooperation

and
1
Department of Information & Communication Engineering, Changwon National University, Changwon 51140, Republic of Korea
2
Department of Artificial Intelligence, Kyungpook National University, Daegu 41566, Republic of Korea
*
Author to whom correspondence should be addressed.
This article belongs to the Special Issue Advanced Algorithms in Wireless Communication and Internet of Things (IoT)

Abstract

In this paper, we propose a joint optimization scheme for a transmit power and power-splitting ratio in device-to-device (D2D)-enabled simultaneous wireless information and power transfer (SWIPT) cellular networks, considering energy signal transmission. This energy signal facilitates the energy cooperation between the D2D transmitter (DT) and the CU. Under the proposed scheme, the D2D rate is maximized while guaranteeing that the cellular user (CU) achieves the same performance as in scenarios without D2D communications. In order to solve the formulated nonconvex problem, we leverage the monotonically increasing property of logarithmic functions to transform it into an equivalent convex problem. As a result, we obtain the optimal solution in closed form. Also, the optimal D2D performance is analyzed, and useful insights into the performance improvements achievable through the proposed scheme are obtained. Numerical results demonstrate that the proposed scheme significantly outperforms the baseline scheme.

1. Introduction

Device-to-device (D2D) communication has become a focal point of research in wireless networks, particularly with its adoption in the 3GPP LTE-A standard (Release 12). D2D technology allows direct communication between devices within close proximity, enabling efficient spectrum utilization, improved throughput, and reduced load on base stations (BSs). In [1,2,3,4,5], resource and transmit power optimization schemes were proposed to improve the D2D performance in cellular networks. In [1], the authors introduced joint resource and transmit power optimization methods under the assumption that each cellular user’s (CU’s) resource can be shared with at most one D2D pair, and vice versa. Similarly, [2] proposed schemes that jointly optimize mode selection, power control, and resource allocation across three modes: cellular, dedicated-channel D2D, and reuse-channel D2D. In [3], decentralized transmit power optimization strategies were developed for networks with randomly deployed devices. The study in [4] aimed to enhance energy efficiency by jointly optimizing resource allocation and transmit power. The authors in [5] proposed power optimization schemes tailored to relay-assisted D2D communications. Moreover, various resource allocation strategies for D2D communications in future heterogeneous networks were proposed in [6].
In the evolving landscape of 5G and beyond, achieving high spectral efficiency while supporting high energy efficiency is critical, especially in energy-constrained environments, such as Internet of Things (IoT) applications, where devices must operate without frequent battery replacements [7]. To address these challenges, the integration of D2D communication with simultaneous wireless information and power transfer (SWIPT) has been explored in several studies [8,9,10,11,12,13,14,15]. In [8], strategies for optimizing transmit power and resource allocation were proposed, with the assumption that each D2D pair is restricted to reusing only one resource from the CUs. In [9], the authors proposed joint resource and transmit power optimization schemes while accounting for the energy causality constraint. In [10], the authors introduced beamforming design and resource allocation strategies to leverage multiple antennas at the BS effectively. In [11], joint transmit power and subcarrier allocation strategies were proposed for networks using orthogonal frequency-division multiple access (OFDMA). In [12], schemes for power control and resource allocation were suggested to maximize energy efficiency. In [13], an analysis of the outage probability was conducted for cognitive D2D communications. In [14], an analysis was conducted on the ergodic capacity and outage probability for fading channels in networks utilizing non-orthogonal multiple access (NOMA) and full-duplex relaying. Despite the fact that these studies [8,9,10,11,12,13,14] ensure a certain level of performance for the CUs, they consistently show that the performance of CUs considerably declines compared to that of CUs without D2D communication, mainly due to the interference from D2D transmitters (DTs).
To overcome these issues, the authors in [15] proposed transmit power optimization schemes for time-switching SWIPT-based D2D communications. However, compared to the time-switching method assumed in [15], the power-splitting approach can achieve a larger energy-rate region [16]. Additionally, [15] did not consider energy signal transmission. With the utilization of energy signal transmission, it is possible to assist energy harvesting at the CU without interfering with its information decoding, which allows for higher transmit power in D2D communications and ultimately improves performance. The absence of energy signal transmission, combined with the use of the time-switching method, may result in significant performance degradation in D2D communications due to the inefficient utilization of transmit power at the DT.
In this paper, we propose a joint transmit power and power-splitting optimization scheme for SWIPT in D2D-enabled cellular networks, addressing the limitations of [15] by incorporating power-splitting SWIPT and energy signal transmission, while ensuring that the CU’s performance remains at the same level as in scenarios without D2D communications. Our approach utilizes the concept of ‘energy cooperation’, where energy signal transmission assists energy harvesting at the CU without disrupting its information decoding. This harvested energy can then support higher transmit power in D2D communications, improving the overall performance and expanding the energy-rate region. By leveraging energy cooperation, the proposed scheme enhances the harvested energy and data rate performance of D2D communications. The main contributions of this study are as follows:
  • In considering power-splitting SWIPT and energy signal transmission, we formulate a joint optimization problem for the transmit power and power-splitting ratio, subject to the constraint that the CU’s harvested energy and data rate are maintained at the same level as in scenarios without D2D communications. The formulated problem is inherently nonconvex and thus challenging to solve directly. However, by leveraging the monotonically increasing property of logarithmic functions, we transform the original problem into an equivalent convex problem. As a result, the optimal solution is derived in closed form.
  • The optimal D2D performance is analyzed to obtain insights into the effectiveness of the proposed scheme. First, we obtain a sufficient condition for achieving optimal D2D performance without energy signal transmission. Second, a sufficient condition is derived under which D2D communication is not feasible with the baseline (BL) scheme but becomes feasible with the proposed scheme. These conditions provide valuable insights into the scenarios where the proposed scheme significantly enhances D2D communication performance.
  • Numerical results are provided to demonstrate that the proposed scheme significantly surpasses the performance of the baseline scheme.

2. System Model and Problem Formulation

2.1. System Model

In this subsection, we present two communication cases to describe the considered system model. The first case is a non-D2D (ND) scenario in which the BS transmits signals to the CU, but the DT does not send any signals. Let h b c and P b denote the complex channel coefficient from the BS to the CU and the transmit power of the BS, respectively. For the SWIPT, with a power-splitting ratio 0 ρ c ND 1 , the CU divides the received signals into two parts: one part, with power ρ c ND P b | h b c | 2 , is allocated to energy harvesting, while the other part, with power ( 1 ρ c ND ) P b | h b c | 2 , is used for information decoding. Over the block time T, the CU’s harvested energy and data rate are expressed as follows:
E c ND = ζ ρ c ND T P b | h b c | 2 ,
R c ND = log 2 1 + P b | h b c | 2 σ c , ant 2 + σ c , cov 2 / ( 1 ρ c ND ) ,
where 0 < ζ 1 denotes the power conversion efficiency, σ c , ant 2 represents the antenna noise power at the CU, and σ c , cov 2 is the conversion noise power at the CU. In Section 2.2, the harvested energy in (1) and the data rate in (2) are used as thresholds for the CU’s performance constraints.
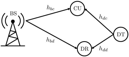
As shown in Figure 1, the second case is a D2D scenario where both the BS and DT simultaneously transmit signals. In a centralized manner, the BS manages both cellular and D2D communications. Let h b d , h d c , and h d d represent the complex channel coefficients from the BS to the D2D receiver (DR), from the DT to the CU, and from the DT to the DR, respectively. The BS maintains a fixed transmit power of P b . To facilitate energy harvesting at the CU, the DT sends both information and energy signals. Since the energy signals are predetermined, they do not interfere with information decoding at the CU and DR; they can be canceled out prior to information decoding [17]. Under the coordination of the BS, the CU cooperates to cancel the received energy signals. The DT’s transmit powers for the information and energy signals are denoted as P d , I and P d , E , respectively. In this D2D case, the CU must adjust its power-splitting ratio to ensure its previously achieved energy and data rates, as expressed in (1) and (2). This adjusted power-splitting ratio is denoted by 0 ρ c 1 . Also, for the SWIPT of D2D communications, the DR divides the received signals into two parts with a power-splitting ratio 0 ρ d 1 . Then, the harvested energies and data rates at the CU and DR are given by
E c = ζ T ρ c ( P b | h b c | 2 + P d , I | h d c | 2 + P d , E | h d c | 2 ) ,
R c = log 2 1 + P b | h b c | 2 P d , I | h d c | 2 + σ c , ant 2 + σ c , cov 2 / ( 1 ρ c ) ,
E d = ζ T ρ d ( P b | h b d | 2 + P d , I | h d d | 2 + P d , E | h d d | 2 ) ,
R d = log 2 1 + P d , I | h d d | 2 P b | h b d | 2 + σ d , ant 2 + σ d , ant 2 / ( 1 ρ d ) ,
where σ d , ant 2 is the antenna noise power at the DR, and σ d , cov 2 is the conversion noise power at the DR. It is important to note that both the information signals and energy signals transmitted from the DT assist the CU in energy harvesting. On the other hand, the information signals transmitted from the DT interfere with the information decoding at the CU, while the energy signals do not interfere.
Figure 1. SWIPT in D2D-enabled cellular networks.

2.2. Problem Formulation

In the D2D-enabled cellular networks, to prevent the CU’s performance degradation due to the DT’s information signals, the transmit powers of the DT, P d , I , P d , E , and the power-splitting ratios, ρ c and ρ d , must be optimized to ensure that E c in (3) and R c in (4) are not less than E c ND in (1) and R c ND in (2), respectively. Given that the BS is assumed to coordinate the entire network and to know ρ c ND and global channel state information (CSI), the BS is responsible for carrying out this optimization. For this purpose, a D2D rate maximization problem can be formulated under constraints on E c in (3) and R c in (4) as follows:
[ ρ c opt , ρ d opt , P d , I opt , P d , E opt ] = arg max ρ c , ρ d , P d , I , P d , E R d
s.t. E c E c ND ,
R c R c ND ,
E d Q d ,
P d , I + P d , E P d max ,
where Q d 0 represents the minimum required harvested energy at the DR, and P d max denotes the maximum transmit power of the DT.

3. Optimal Solution to Problem (7)

Since E c in (3), R c in (4), E d in (5), and R d in (6) are not concave functions, problem (7) is not convex. Therefore, it is challenging to solve problem (7). However, in first optimizing for ρ c and ρ d , followed by optimization with respect to P d , I and P d , E , it is possible to obtain the optimal solution. To this end, problem (7) can be rewritten as follows:
max P d , I , P d , E f ( P d , I , P d , E )
s.t. P d , I + P d , E P d max ,
where
f ( P d , I , P d , E ) = max ρ c , ρ d R d
s.t. E c E c ND ,
R c R c ND ,
E d Q d .
Since log 2 1 + P b | h b c | 2 σ c , ant 2 + x on both sides of (9c) is a strictly decreasing function, inequality (9c) implies that
P d , I | h d c | 2 + σ c , cov 2 1 ρ c σ c , cov 2 1 ρ c ND .
Then, by using this fact along with some additional manipulations, the problem (9) can be rewritten as follows:
f ( P d , I , P d , E ) = max ρ c , ρ d R d
s . t . ρ c ρ c ND P b | h b c | 2 P b | h b c | 2 + ( P d , I + P d , E ) | h d c | 2 ,
ρ c 1 ( 1 ρ c ND ) σ c , cov 2 σ c , cov 2 ( 1 ρ c ND ) P d , I | h d c | 2 ,
ρ d Q d ζ T ( P b | h b d | 2 + ( P d , I + P d , E ) | h d d | 2 ) .
Since R d in (11a) is not a function of ρ c and is a strictly decreasing function of ρ d , the optimal solution to problem (11) can be obtained as follows:
ρ c ρ c ND P b | h b c | 2 P b | h b c | 2 + ( P d , I + P d , E ) | h d c | 2 , 1 ( 1 ρ c ND ) σ c , cov 2 σ c , cov 2 ( 1 ρ c ND ) P d , I | h d c | 2 ,
ρ d = Q d ζ T ( P b | h b d | 2 + ( P d , I + P d , E ) | h d d | 2 ) .
Consequently, by substituting ρ c = ρ c ND P b | h b c | 2 P b | h b c | 2 + ( P d , I + P d , E ) | h d c | 2 in (12) and ρ d =
Q d ζ T ( P b | h b d | 2 + ( P d , I + P d , E ) | h d d | 2 ) in (13) into (7), we obtain
max P d , I , P d , E log 2 1 + P d , I | h d d | 2 P b | h b d | 2 + σ d , ant 2 + σ d , ant 2 1 Q d ζ T ( P b | h b d | 2 + ( P d , I + P d , E ) | h d d | 2 )
s.t. ρ c ND P b | h b c | 2 P b | h b c | 2 + ( P d , I + P d , E ) | h d c | 2 1 ( 1 ρ c ND ) σ c , cov 2 σ c , cov 2 ( 1 ρ c ND ) P d , I | h d c | 2 ,
P d , I + P d , E P d max .
Since the objective function of problem (14a) is an increasing function of P d , I and P d , E , the solution to problem (14) is given by
P d , I opt = min ρ c ND σ c , cov 2 P d max ( 1 ρ c ND ) 2 P b | h b c | 2 + ( 1 ρ c ND ) P d max | h d c | 2 , P d max ,
P d , E opt = P d max P d , I opt .
Then, through substituting P d , I opt in (15) and P d , E opt in (16) into (12) and (13), the optimal solutions for ρ c and ρ d can be obtained as follows:
ρ c opt ρ c ND P b | h b c | 2 P b | h b c | 2 + P d max | h d c | 2 , 1 ( 1 ρ c ND ) σ c , cov 2 σ c , cov 2 ( 1 ρ c ND ) P d , I opt | h d c | 2 ,
ρ d opt = Q d ζ T ( P b | h b d | 2 + P d max | h d d | 2 ) .
Since the BS coordinates the entire network, it calculates and forwards the solution in (15)–(18) to the CU and D2D pair.
With the proposed scheme in (15)–(18), the CU’s harvested energy and the data rate can be ensured not to be degraded by the D2D signals, i.e., (7b) and (7c) can be satisfied with P d , I > 0 . This is achievable because adjusting ρ c as in (17) enables the CU to offset the rate loss caused by P d , I | h d c | 2 in (4) using the harvested energy obtained from P d , I | h d c | 2 + P d , E | h d c | 2 in (3). In other words, the CU utilizes the energy harvesting benefits from the received energy signals to compensate for its data rate loss caused by the information signals transmitted by the DT. Accordingly, the performance degradation of the CU can be prevented through this energy cooperation between the DT and the CU, for which the DT transmits energy signals along with information signals.

4. Performance Analysis

4.1. Baseline Scheme Without Energy Signal Transmission

Since the proposed scheme in (15)–(18) considers energy signal transmission, unlike the conventional scheme in [15], its effectiveness can be evaluated by comparing its performance with that of the following BL scheme that does not involve energy signal transmission:
P d , I BL = min ρ c ND σ c , cov 2 ( 1 ρ c ND ) 2 P b | h b c | 2 ( 1 ρ c ND ) | h d c | 2 + , P d max ,
P d , E BL = 0 ,
ρ c BL = ρ c ND P b | h b c | 2 P b | h b c | 2 + P d , I BL | h d c | 2 ,
ρ d BL = Q d ζ T ( P b | h b d | 2 + P d , I BL | h d d | 2 ) 0 1 .
The BL scheme in (19)–(22) can be derived through the process of obtaining the proposed scheme in (15)–(18), with the assumption that P d , E = 0 . Let R d O and R d BL denote the D2D rates achieved with the optimal and BL schemes, respectively, which are obtained by substituting (15)–(18) and (19)–(22) into (6), respectively.

4.2. Performance Comparison

From the optimal solution in (15)–(18), the following theorem can be obtained.
Theorem 1. 
If g ( P d max ) ρ c ND 1 , we have P d , I opt = P d max and P d , E opt = 0 , where
g ( x ) = 2 P b | h b c | 2 + x | h d c | 2 + σ c , cov 2 ( x | h d c | 2 + σ c , cov 2 ) 2 + 4 P b | h b c | 2 σ c , cov 2 2 P b | h b c | 2 .
Proof. 
In (15), ρ c ND σ c , cov 2 P d max ( 1 ρ c ND ) 2 P b | h b c | 2 + ( 1 ρ c ND ) P d max | h d c | 2 is an increasing function of ρ c ND and is equal to P d max when ρ c ND = g ( P d max ) . Therefore, when g ( P d max ) ρ c ND 1 , we have P d , I opt = P d max and P d , E opt = 0 . □
By the results in Theorem 1, the performance comparison between the proposed scheme in (15)–(18) and the BL scheme in (19)–(22) can be derived as shown in the following theorem.
Theorem 2. 
The optimal and BL schemes perform as shown in Table 1.
Table 1. Performance comparison between the optimal and BL schemes for SWIPT D2D communications in cellular networks.
Proof. 
This proof is composed of three parts. (1) When 0 ρ c ND g 2 ( 0 ) , P d , I opt in (15) is larger than 0, and P d , I BL in (19) is equal to 0. Therefore, when 0 ρ c ND g 2 ( 0 ) , we have R d O R d BL = 0 . (2) When g 2 ( 0 ) < ρ c ND < g 2 ( P d max ) , P d , I BL in (19) is smaller than P d , I opt in (15) and is larger than 0. Therefore, when g 2 ( 0 ) < ρ c ND < g 2 ( P d max ) , we have R d O > R d BL > 0 . (3) When g 2 ( P d max ) ρ c ND 1 , P d , I opt in (15) is larger than 0 and is equal to P d , I BL in (19). Therefore, when g 2 ( P d max ) ρ c ND 1 , we have R d O = R d BL > 0 . □
The detailed explanation of the conditions in Theorem 2 is as follows. When the CU demands a large amount of energy, specifically when g ( P d max ) ρ c ND 1 , the transmission of energy signals becomes unnecessary to achieve the optimal D2D data rate, i.e., R d O = R d BL > 0 . This occurs because, under this condition, the energy harvested from the DT’s interference power, i.e., P d , I | h d c | 2 in (3), is sufficient to offset the data rate reduction caused by the same interference term, i.e., P d , I | h d c | 2 in (4). Thus, additional energy signal transmission does not further enhance the D2D data rate in this scenario. On the other hand, when the CU’s energy demand is moderate, specifically when g ( 0 ) < ρ c ND < g ( P d max ) , energy signal transmission becomes critical for achieving the optimal D2D data rate, as R d O > R d BL > 0 . This indicates that energy signal transmission is necessary to maximize the D2D performance in situations where the CU’s energy requirement falls within this range. Finally, when the CU requires only a small amount of energy, i.e., 0 ρ c ND g ( 0 ) , the BL scheme fails to enable any data transmission by the DT without the assistance of energy signals. In contrast, the proposed scheme in (15)–(18) enables data transmission even under this condition. This demonstrates the effectiveness of the proposed energy signal transmission approach in such low-energy-demand scenarios.
In summary, as the CU’s energy requirement decreases, the role of energy signal transmission becomes increasingly significant in improving the D2D data rate. This trend highlights the adaptability of the proposed scheme in accommodating varying CU energy demands while optimizing D2D performance.

5. Numerical Results

In Figure 2, the D2D data rate R d versus ρ c ND [ 0 , 1 ] is plotted to demonstrate the effectiveness of the proposed scheme in maximizing the D2D data rate. Although a related study is presented in [15], making a fair comparison of the performance of our proposed scheme with [15] is challenging, as our study focused on the power-splitting architecture, which offers a larger energy rate region than the time-switching architecture considered in [15]. Therefore, we compared the performance of our proposed scheme with that of the baseline scheme in (19)–(22) unlike in [15]. The channel power gains are modeled as | h i | 2 = 10 3 d i 3 for i { b c , b d , d c , d d } , where d i is the normalized distance. We set d b c = d b d = 1 , d d c = 0.5 , d d d = 0.2 , ζ = 1 , T = 1 s, P b = 30 dBm, P d max = 20 dBm, σ 2 = σ c , ant 2 = σ c , cov 2 = σ d , ant 2 = σ d , cov 2 , P d max | h d d | 2 σ 2 = 10 dB, and Q d = 1.3 dBm, 8.3 dBm, and 10.8 dBm. Under these simulation parameters, we have g 2 ( 0 ) = 0.4624 and g 2 ( P d max ) = 0.6482 . As predicted by the results of Area 1 and Area 2 in Theorem 1, Figure 2 shows that the proposed optimal scheme outperforms the baseline scheme when 0 ρ c ND g 2 ( P d max ) . When 0 ρ c ND 0.4624 (Area 1), the optimal scheme can transmit data, whereas the BL scheme cannot. When 0.4624 ρ c ND 0.6482 (Area 2), both the optimal and BL schemes can transmit data, whereas when 0.6482 ρ c ND 1 (Area 3), the BL scheme performs the same as the optimal scheme because the optimal scheme allocates all of the DT’s transmit power to the information signals in the same way as the baseline scheme. In summary, when a smaller portion of the received energy is required for energy harvesting at the CU, the proposed scheme is more effective in improving D2D performance.
Figure 2. D2D data rate R d versus ρ c ND . d b c = d b d = 1 , d d c = 0.5 , d d d = 0.2 , ζ = 1 , T = 1 s, P b = 30 dBm, P d max = 20 dBm, σ 2 = σ c , ant 2 = σ c , cov 2 = σ d , ant 2 = σ d , cov 2 , P d max | h d d | 2 σ 2 = 10 dB, and Q d = 1.3 dBm, 8.3 dBm, and 10.8 dBm.
To demonstrate the applicability of the proposed scheme to fading channels, which correspond to the scenarios of mobile CU and D2D nodes, Figure 3 and Figure 4 show the D2D performance for Rayleigh fading channels. In Figure 3 and Figure 4, the ergodic rate E [ R d ] and outage probability Pr R d < R d t for the fast and slow fading channels are plotted versus ρ c ND [ 0 , 1 ] , respectively. The target rate R d t is set to R d t = 0.5 bits/s/Hz, and the channels are modeled as h i C N 0 , 10 3 d i 3 for i { b c , b d , d c , d d } , where d i is the normalized distance. The other simulation parameters are the same as those in Figure 2. As predicted by Theorem 2, when the required energy of the CU is small (or large), the optimal scheme outperforms (or performs the same as) the BL scheme. Also, we can observe that the proposed optimal scheme demonstrates robust performance in fading channels.
Figure 3. D2D ergodic rate E [ R d ] versus ρ c ND in Rayleigh fading channel. d b c = d b d = 1 , d d c = 0.5 , d d d = 0.2 , ζ = 1 , T = 1 s, P b = 30 dBm, P d max = 20 dBm, σ 2 = σ c , ant 2 = σ c , cov 2 = σ d , ant 2 = σ d , cov 2 , P d max | h d d | 2 σ 2 = 10 dB, and Q d = 1.3 dBm, 8.3 dBm, and 10.8 dBm.
Figure 4. D2D outage probability Pr R d < R d t versus ρ c ND in Rayleigh fading channel. d b c = d b d = 1 , d d c = 0.5 , d d d = 0.2 , ζ = 1 , T = 1 s, P b = 30 dBm, P d max = 20 dBm, σ 2 = σ c , ant 2 = σ c , cov 2 = σ d , ant 2 = σ d , cov 2 , P d max | h d d | 2 σ 2 = 10 dB, Q d = 0 W, 4.3 dBm, and 8.3 dBm, and R d t = 0.5 bits/s/Hz.

6. Conclusions

In this paper, we proposed a transmit power and power-splitting ratio optimization scheme for D2D-enabled SWIPT cellular networks, ensuring that the CU achieves the ND performance. Also, we analyzed the optimal D2D performance and obtained useful insights into the effectiveness of the proposed scheme. Finally, numerical results demonstrated that the proposed scheme outperforms the BL scheme, especially as the CU requires more energy, confirming the effectiveness of the proposed scheme. Furthermore, for the comprehensive performance evaluation, the transmit power and power-splitting optimization problem can be extended to consider channel uncertainty and user mobility in future works.

Author Contributions

Conceptualization, D.-W.L.; supervision, J.-M.K. All authors have read and agreed to the published version of the manuscript.

Funding

This research was supported in part by the National Research Foundation of Korea (NRF) grant funded by the Korea government (MSIT) (No. 2022R1A4A1033830); in part by the “Junior Faculty Research Support Grant” at Changwon National University in 2024; in part by the “Glocal University Project 2024” of the National Research Foundation of Korea (NRF) funded by the Ministry of Education (MOE); and in part by the “Regional Innovation Strategy (RIS)” through the National Research Foundation of Korea (NRF) funded by the Ministry of Education (MOE) (2021RIS-003).

Data Availability Statement

The original contributions presented in this study are included in the article. Further inquiries can be directed to the corresponding author.

Conflicts of Interest

The authors declare no conflicts of interest.

Abbreviations

The following abbreviations are used in this manuscript:
D2DDevice-to-device
BSBase station
CUCellular user
IoTInternet of Things
SWIPTSimultaneous wireless information and power transfer
OFDMAOrthogonal frequency-division multiple access
NOMANon-orthogonal multiple access
DTD2D transmitter
BLBaseline
NDNon-D2D
DRD2D receiver
CSIChannel state information

References

  1. Feng, D.; Lu, L.; Yi, Y.; Li, G.Y. Device-to-device communications underlaying cellular networks. IEEE Trans. Commun. 2013, 61, 3541–3551. [Google Scholar] [CrossRef]
  2. Yu, G.; Xu, L.; Feng, D.; Yin, R.; Li, G.Y.; Jiang, Y. Joint mode selection and resource allocation for device-to-device communications. IEEE Trans. Commun. 2014, 62, 3814–3824. [Google Scholar] [CrossRef]
  3. Lee, N.; Lin, X.; Andrews, J.G.; Heath, R.W. Power control for D2D underlaid cellular networks: Modeling, algorithms, and analysis. IEEE J. Sel. Areas Commun. 2015, 33, 1–13. [Google Scholar] [CrossRef]
  4. Hoang, T.D.; Le, L.B.; Le-Ngoc, T. Energy-efficient resource allocation for D2D communications in cellular networks. IEEE Trans. Veh. Technol. 2016, 65, 6972–6986. [Google Scholar] [CrossRef]
  5. Han, L.; Zhou, R.; Li, Y.; Zhang, B.; Zhang, X. Power control for two-way AF relay assisted D2D communications underlaying cellular networks. IEEE Access 2020, 8, 151968–151975. [Google Scholar] [CrossRef]
  6. Xu, Y.; Gui, G.; Gacanin, H.; Adachi, F. A survey on resource allocation for 5G heterogeneous networks: Current research, future trends, and challenges. IEEE Commun. Surv. Tutor. 2021, 23, 668–695. [Google Scholar] [CrossRef]
  7. Lu, W.; Si, P.; Huang, G.; Han, H.; Qian, L.; Zhao, N.; Gong, Y. SWIPT cooperative spectrum sharing for 6G-enabled cognitive IoT network. IEEE Internet Things J. 2021, 8, 15070–15080. [Google Scholar] [CrossRef]
  8. Luo, Y.; Hong, P.; Su, R.; Xue, K. Resource allocation for energy harvesting-powered D2D communication underlaying cellular networks. IEEE Trans. Veh. Technol. 2017, 66, 10486–10498. [Google Scholar] [CrossRef]
  9. Gupta, S.; Zhang, R.; Hanzo, L. Energy harvesting aided device-to-device communication underlaying the cellular downlink. IEEE Access 2016, 5, 7405–7413. [Google Scholar] [CrossRef]
  10. Ku, M.-L.; Lai, J.-W. Joint beamforming and resource allocation for wireless-powered device-to-device communications in cellular networks. IEEE Trans. Wirel. Commun. 2017, 16, 7290–7304. [Google Scholar] [CrossRef]
  11. Saleem, U.; Jangsher, S.; Qureshi, H.K.; Hassan, S.A. Joint subcarrier and power allocation in the energy-harvesting-aided D2D communication. IEEE Trans. Ind. Inform. 2018, 14, 2608–2617. [Google Scholar] [CrossRef]
  12. Kuang, Z.; Liu, G.; Li, G.; Deng, X. Energy efficient resource allocation algorithm in energy harvesting-based D2D heterogeneous networks. IEEE Internet Things J. 2019, 6, 557–567. [Google Scholar] [CrossRef]
  13. Sakr, A.H.; Hossain, E. Cognitive and energy harvesting-based D2D communication in cellular networks: Stochastic geometry modeling and analysis. IEEE Trans. Commun. 2015, 63, 1867–1880. [Google Scholar] [CrossRef]
  14. Budhiraja, I.; Kumar, N.; Tyagi, S.; Tanwar, S.; Guizani, M. SWIPT-enabled D2D communication underlaying NOMA-based cellular networks in imperfect CSI. IEEE Trans. Veh. Technol. 2021, 70, 692–699. [Google Scholar] [CrossRef]
  15. Lim, D.-W.; Kang, J.; Chun, C.-J.; Kim, H.-M. Joint transmit power and time-switching control for device-to-device communications in SWIPT cellular networks. IEEE Commun. Lett. 2019, 23, 322–325. [Google Scholar] [CrossRef]
  16. Zhou, X.; Zhang, R.; Ho, C.K. Wireless information and power transfer: Architecture design and rate-energy tradeoff. IEEE Trans. Commun. 2013, 61, 4753–4767. [Google Scholar] [CrossRef]
  17. Xu, J.; Liu, L.; Zhang, R. Multiuser MISO beamforming for simultaneous wireless information and power transfer. IEEE Trans. Signal Process. 2014, 62, 4798–4810. [Google Scholar] [CrossRef]
Disclaimer/Publisher’s Note: The statements, opinions and data contained in all publications are solely those of the individual author(s) and contributor(s) and not of MDPI and/or the editor(s). MDPI and/or the editor(s) disclaim responsibility for any injury to people or property resulting from any ideas, methods, instructions or products referred to in the content.

Article Metrics

Citations

Article Access Statistics

Multiple requests from the same IP address are counted as one view.