Disentangling Sources of Multifractality in Time Series
Abstract
1. Introduction
2. Multifractal Detrended Fluctuation Analysis
- Step 1. A time series of T consecutive measurements of some observable u is partitioned into non-overlapping windows of length s starting from both ends of U. This results in such windows.
- Step 2. The possible non-stationarity of the signal in each window is eliminated by applying a detrending procedure to an integrated signal , also termed a signal profile, whose elements read
- One of the possible ways of detrending X is to use a polynomial of order m that in each window provides the best-fit to X. The higher m is, the better the trend removal, but one has to be careful here in order not to overfit the data. Throughout this study, will be used, which seems to be an optimal choice [32,33].
- Step 3. The segment-wise variance of the residual detrended signal is calculated:for all the segments .
- Step 4. A family of fluctuation functions of order r () is defined on the average variance:
- In a certain range of positive and negative values of the parameter r for which the moments are well defined, the functions are then calculated for different values of scale s. Typically, the lower limit of s is chosen above the length of the longest sequence of constant values of U (in order to avoid problems with the summed terms in Equation (3) for ) and the upper limit of s is (in order to sum over at least 10 segments in Equation (3)). The index r can be viewed as related to the moments of the signal, so that its extreme values cannot be too large for a time series with a heavy-tailed PDF of fluctuations.
- Step 5. For a fractal signal, the fluctuation functions must depend on s according to the power laws:
- A time series under study is considered multifractal when depends on r and monofractal otherwise. The function is called the generalized Hurst exponent, because for , , where H is the standard Hurst exponent [34,35]. The fractal properties of data manifest themselves if, for all considered values of r, can be approximated by a straight line on a double-logarithmic plot.
- Step 6. A conventional way of expressing the multifractality of data is the singularity spectrum . It is derived from by using the Legendre transform:where measures the strength of a local singularity and is equivalent to the Hölder exponent [18]. In geometrical terms, the function can be interpreted as a fractal dimension of the subset of the entire data set with the Hölder exponent equal to . For a monofractal time series, the pair is a single point, while for a multifractal, it assumes a concave shape with its shoulders pointing down. The broader the singularity spectrum is, the richer is the multifractality of a time series. It can thus be viewed as a measure of time series complexity. Quantitatively, it can be measured by the spectrum width:
- Typically, is symmetric, but it also often happens that its shape is distorted and asymmetric, which indicates that the time series points of different magnitude exhibit different hierarchical organization [36,37,38,39]. These characteristics may alternatively be expressed in terms of the multifractal spectrum defined by
- For monofractal time series, depends linearly on r (because is constant then), while it is nonlinear for multifractal ones.
3. Multifractal Properties of the Multiplicative Cascades
3.1. Deterministic Binomial Cascade
3.2. Stochastic Cascades
3.2.1. Log-Normal Cascade
3.2.2. Log-Gamma Cascade
3.2.3. Log-Poisson Cascade
4. -Gaussian Distribution
5. Results
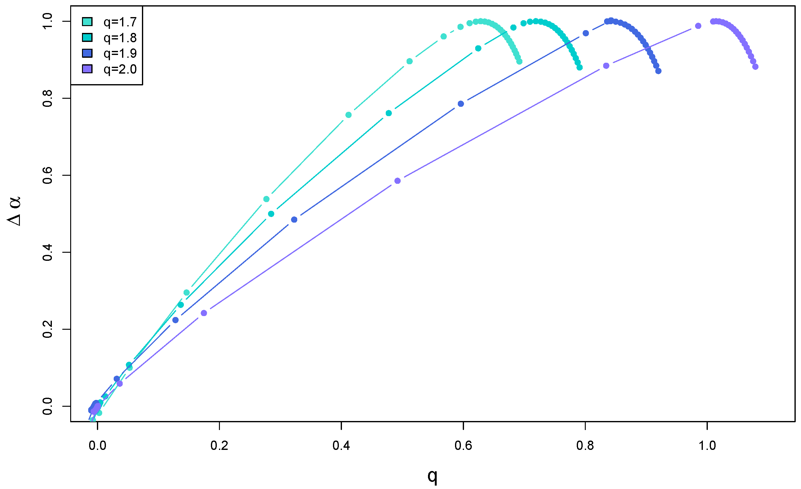
5.1. Case 1: Heavy Tails, No Temporal Structure of Data
5.2. Case 2: Preserved Temporal Correlations, Distorted PDF Tails
5.2.1. q-Gaussian with a Binomial-Cascade Organization
5.2.2. q-Gaussian with a Log-Normal-Cascade Organization
5.2.3. q-Gaussian with a Log-Gamma-Cascade Organization
5.2.4. q-Gaussian with a Log-Poisson Cascade Organization
6. Conclusions
Author Contributions
Funding
Data Availability Statement
Acknowledgments
Conflicts of Interest
Abbreviations
| MFDFA | Multifractal detrended fluctuation analysis |
| Probability distribution function |
Appendix A
References
- Stanley, H.E.; Meakin, P. Multifractal phenomena in physics and chemistry. Nature 1988, 335, 405–409. [Google Scholar] [CrossRef]
- Barabási, A.L.; Vicsek, T. Multifractality of self-affine fractals. Phys. Rev. 1991, 44, 2730. [Google Scholar] [CrossRef]
- Bacry, E.; Delour, J.; Muzy, J.F. Multifractal random walk. Phys. Rev. 2001, 64, 026103. [Google Scholar] [CrossRef] [PubMed]
- Kantelhardt, J.W. Fractal and Multifractal Time Series. In Mathematics of Complexity and Dynamical Systems; Meyers, R.A., Ed.; Springer: New York, NY, USA, 2011; pp. 463–487. [Google Scholar] [CrossRef]
- Salat, H.; Murcio, R.; Arcaute, E. Multifractal methodology. Physical A 2017, 473, 467–487. [Google Scholar] [CrossRef]
- Jiang, Z.Q.; Xie, W.J.; Zhou, W.X.; Sornette, D. Multifractal analysis of financial markets: A review. Rep. Prog. Phys. 2019, 82, 125901. [Google Scholar] [CrossRef] [PubMed]
- Ausloos, M.; Ivanova, K. Multifractal nature of stock exchange prices. Comput. Phys. Commun. 2002, 147, 582–585. [Google Scholar] [CrossRef]
- Ihlen, E.A.; Vereijken, B. Multifractal formalisms of human behavior. Hum. Mov. Sci. 2013, 32, 633–651. [Google Scholar] [CrossRef] [PubMed]
- Drożdż, S.; Oświęcimka, P.; Kulig, A.; Kwapień, J.; Bazarnik, K.; Grabska-Gradzińska, I.; Rybicki, J.; Stanuszek, M. Quantifying origin and character of long-range correlations in narrative texts. Inf. Sci. 2016, 331, 32–44. [Google Scholar] [CrossRef]
- Takaishi, T. Statistical properties and multifractality of Bitcoin. Physical A 2018, 506, 507–519. [Google Scholar] [CrossRef]
- Klamut, J.; Kutner, R.; Gubiec, T.; Struzik, Z.R. Multibranch multifractality and the phase transitions in time series of mean interevent times. Phys. Rev. E 2020, 101, 063303. [Google Scholar] [CrossRef]
- Wątorek, M.; Tomczyk, W.; Gawłowska, M.; Golonka-Afek, N.; Żyrkowska, A.; Marona, M.; Wnuk, M.; Słowik, A.; Ochab, J.K.; Fafrowicz, M.; et al. Multifractal organization of EEG signals in multiple sclerosis. Biomed. Signal Process. Control 2024, 91, 105916. [Google Scholar] [CrossRef]
- Stanisz, T.; Drożdż, S.; Kwapień, J. Complex systems approach to natural language. Phys. Rep. 2024, 1053, 1–84. [Google Scholar] [CrossRef]
- Kantelhardt, J.W.; Koscielny-Bunde, E.; Rybski, D.; Braun, P.; Bunde, A.; Havlin, S. Long-term persistence and multifractality of precipitation and river runoff records. J. Geophys. Res. Atmos. 2006, 111, D01106. [Google Scholar] [CrossRef]
- Chhabra, A.B.; Meneveau, C.; Jensen, R.V.; Sreenivasan, K.R. Direct determination of the f(α) singularity spectrum and its application to fuily developed turbulence. Phys. Rev. A 1989, 40, 5284–5294. [Google Scholar] [CrossRef]
- Arneodo, A.; Bacry, E.; Muzy, J.F. The thermodynamics of fractals revisited with wavelets. Physical A 1995, 213, 232–275. [Google Scholar] [CrossRef]
- Kantelhardt, J.W.; Zschiegner, S.A.; Koscielny-Bunde, E.; Havlin, S.; Bunde, A.; Stanley, H.E. Multifractal detrended fluctuation analysis of nonstationary time series. Physical A 2002, 316, 87–114. [Google Scholar] [CrossRef]
- Halsey, T.C.; Jensen, M.H.; Kadanoff, L.P.; Procaccia, I.; Shraiman, B.I. Fractal measures and their singularities: The characterization of strange sets. Phys. Rev. A 1986, 33, 1141–1151. [Google Scholar] [CrossRef]
- Ivanov, P.C.; Amaral, L.A.N.; Goldberger, A.L.; Havlin, S.; Rosenblum, M.G.; Struzik, Z.R.; Stanley, H.E. Multifractality in human heartbeat dynamics. Nature 1999, 399, 461–465. [Google Scholar] [CrossRef] [PubMed]
- Matia, K.; Ashkenazy, Y.; Stanley, H.E. Multifractal properties of price fluctuations of stocks and commodities. Europhys. Lett. 2003, 61, 422. [Google Scholar] [CrossRef]
- Kwapień, J.; Oświęcimka, P.; Drożdż, S. Components of multifractality in high-frequency stock returns. Physical A 2005, 350, 466–474. [Google Scholar] [CrossRef]
- Barunik, J.; Aste, T.; Matteo, T.D.; Liu, R. Understanding the source of multifractality in financial markets. Physical A 2012, 391, 4234–4251. [Google Scholar] [CrossRef]
- Gomes, L.F.; Gomes, T.F.; Rempel, E.L.; Gama, S. Origin of multifractality in solar wind turbulence: The role of current sheets. Mon. Not. R. Astron. Soc. 2023, 519, 3623–3634. [Google Scholar] [CrossRef]
- Schreiber, T.; Schmitz, A. Improved Surrogate Data for Nonlinearity Tests. Phys. Rev. Lett. 1996, 77, 635–638. [Google Scholar] [CrossRef]
- Theiler, J.; Prichard, D. Constrained-realization Monte-Carlo method for hypothesis testing. Phys. D 1996, 94, 221–235. [Google Scholar] [CrossRef]
- Drożdż, S.; Kwapień, J.; Oświęcimka, P.; Rak, R. Quantitative features of multifractal subtleties in time series. EPL 2009, 88, 60003. [Google Scholar] [CrossRef]
- Zhou, W.X. Finite-size effect and the components of multifractality in financial volatility. Chaos Solitons Fractals 2012, 45, 147–155. [Google Scholar] [CrossRef]
- Kwapień, J.; Blasiak, P.; Drożdż, S.; Oświęcimka, P. Genuine multifractality in time series is due to temporal correlations. Phys. Rev. E 2023, 107, 034139. [Google Scholar] [CrossRef]
- Nakao, H. Multi-scaling properties of truncated Lévy flights. Phys. Lett. A 2000, 266, 282–289. [Google Scholar] [CrossRef]
- Rak, R.; Grech, D. Quantitative approach to multifractality induced by correlations and broad distribution of data. Physical A 2018, 508, 48–66. [Google Scholar] [CrossRef]
- Barral, J.; Peyriére, J. Mandelbrot’s cascades: A legendary destiny. In Benoit Mandelbrot; World Scientific: Singapore, 2015; Chapter 5; pp. 143–172. [Google Scholar] [CrossRef]
- Oświęcimka, P.; Kwapień, J.; Drożdż, S. Wavelet versus detrended fluctuation analysis of multifractal structures. Phys. Rev. E 2006, 74, 016103. [Google Scholar] [CrossRef] [PubMed]
- Oświęcimka, P.; Drożdż, S.; Kwapień, J.; Górski, A.Z. Effect of detrending on multifractal characteristics. Acta Phys. Pol. A 2013, 123, 597–603. [Google Scholar] [CrossRef]
- Hurst, H. Long-term storage capacity of reservoirs. Trans. Am. Soc. Civ. Eng. 1951, 116, 770–799. [Google Scholar] [CrossRef]
- Heneghan, C.; McDarby, G. Establishing the relation between detrended fluctuation analysis and power spectral density analysis for stochastic processes. Phys. Rev. E 2000, 62, 6103–6110. [Google Scholar] [CrossRef] [PubMed]
- Ohashi, K.; Amaral, L.A.; Natelson, B.H.; Yamamoto, Y. Asymmetrical singularities in real-world signals. Phys. Rev. E 2003, 68, 065204(R). [Google Scholar] [CrossRef]
- Cao, G.; Cao, J.; Xu, L. Asymmetric multifractal scaling behavior in the Chinese stock market: Based on asymmetric MF-DFA. Physical A 2013, 392, 797–807. [Google Scholar] [CrossRef]
- Drożdż, S.; Oświęcimka, P. Detecting and interpreting distortions in hierarchical organization of complex time series. Phys. Rev. E 2015, 91, 030902(R). [Google Scholar] [CrossRef] [PubMed]
- Gómez-Gómez, J.; Carmona-Cabezas, R.; Ariza-Villaverde, A.B.; Gutiérrez de Ravé, E.; Jiménez-Hornero, F.J. Multifractal detrended fluctuation analysis of temperature in Spain (1960–2019). Physical A 2021, 578, 126118. [Google Scholar] [CrossRef]
- Feder, J. Fractals, 4th ed.; Literaturverz, S., Ed.; Physics of solids and liquids; Plenum Press: New York, NY, USA, 1989; pp. 244–257. [Google Scholar]
- Mandelbrot, B.B. Multifractal measures, especially for the geophysicist. Pure Appl. Geophys. 1989, 131, 5–42. [Google Scholar] [CrossRef]
- Mandelbrot, B.; Fisher, A.; Calvet, L. A Multifractal Model of Asset Returns. Cowles Foundation Discussion Paper No. 1164. Sep 15, 1997. Available online: https://ssrn.com/abstract=78588 (accessed on 1 December 2024).
- Calvet, L.; Fisher, A. Multifractality in Asset Returns: Theory and Evidence. Rev. Econ. Stat. 2002, 84, 381–406. [Google Scholar] [CrossRef]
- Calvet, L.; Fisher, A.; Mandelbrot, B. Large Deviations and the Distribution of Price Changes. Cowles Foundation Discussion Paper No. 1165. 15 September 1997. Available online: https://ssrn.com/abstract=78608 (accessed on 1 December 2024).
- Tsallis, C. Nonadditive entropy and nonextensive statistical mechanics -an overview after 20 years. Braz. J. Phys. 2009, 39, 337–356. [Google Scholar] [CrossRef]
- Lutz, E. Anomalous diffusion and Tsallis statistics in an optical lattice. Phys. Rev. A 2003, 67, 051402. [Google Scholar] [CrossRef]
- Tsallis, C. (Ed.) Introduction to Nonextensive Statistical Mechanics; SpringerLink: New York, NY, USA, 2009. [Google Scholar]
- Burlaga, L.; Viñas, A. Triangle for the entropic index q of non-extensive statistical mechanics observed by Voyager 1 in the distant heliosphere. Phys. Stat. Mech. Its Appl. 2005, 356, 375–384. [Google Scholar] [CrossRef]
- Burlaga, L.F.; Viñas, A.F.; Ness, N.F.; Acuña, M.H. Tsallis Statistics of the Magnetic Field in the Heliosheath. Astrophys. J. 2006, 644, L83–L86. [Google Scholar] [CrossRef]
- Burlaga, L.F.; Ness, N.F.; Acuna, M.H. Magnetic Fields in the Heliosheath and Distant Heliosphere:Voyager 1and2Observations During 2005 and 2006. Astrophys. J. 2007, 668, 1246–1258. [Google Scholar] [CrossRef]
- Caruso, F.; Pluchino, A.; Latora, V.; Vinciguerra, S.; Rapisarda, A. Analysis of self-organized criticality in the Olami-Feder-Christensen model and in real earthquakes. Phys. Rev. E 2007, 75, 055101. [Google Scholar] [CrossRef]
- Borland, L. Option Pricing Formulas Based on a Non-Gaussian Stock Price Model. Phys. Rev. Lett. 2002, 89, 098701. [Google Scholar] [CrossRef] [PubMed]
- Rak, R.; Drożdż, S.; Kwapień, J. Nonextensive statistical features of the Polish stock market fluctuations. Phys. Stat. Mech. Its Appl. 2007, 374, 315–324. [Google Scholar] [CrossRef]
- Drożdż, S.; Kwapień, J.; Oświęcimka, P.; Rak, R. The foreign exchange market: Return distributions, multifractality, anomalous multifractality and the Epps effect. New J. Phys. 2010, 12, 105003. [Google Scholar] [CrossRef]
- Wątorek, M.; Kwapień, J.; Drożdż, S. Financial Return Distributions: Past, Present, and COVID-19. Entropy 2021, 23, 884. [Google Scholar] [CrossRef] [PubMed]
- Umarov, S.; Tsallis, C.; Steinberg, S. On a q-Central Limit Theorem Consistent with Nonextensive Statistical Mechanics. Milan J. Math. 2008, 76, 307–328. [Google Scholar] [CrossRef]
- Tsallis, C.; Levy, S.V.F.; Souza, A.M.C.; Maynard, R. Statistical-Mechanical Foundation of the Ubiquity of Lévy Distributions in Nature. Phys. Rev. Lett. 1995, 75, 3589–3593. [Google Scholar] [CrossRef] [PubMed]
- Prato, D.; Tsallis, C. Nonextensive foundation of Lévy distributions. Phys. Rev. E 1999, 60, 2398–2401. [Google Scholar] [CrossRef] [PubMed]
- de Santa Helena, E.; Nascimento, C.; Gerhardt, G. Alternative way to characterize a q-Gaussian distribution by a robust heavy tail measurement. Phys. Stat. Mech. Its Appl. 2015, 435, 44–50. [Google Scholar] [CrossRef][Green Version]


























Disclaimer/Publisher’s Note: The statements, opinions and data contained in all publications are solely those of the individual author(s) and contributor(s) and not of MDPI and/or the editor(s). MDPI and/or the editor(s) disclaim responsibility for any injury to people or property resulting from any ideas, methods, instructions or products referred to in the content. |
© 2025 by the authors. Licensee MDPI, Basel, Switzerland. This article is an open access article distributed under the terms and conditions of the Creative Commons Attribution (CC BY) license (https://creativecommons.org/licenses/by/4.0/).
Share and Cite
Kluszczyński, R.; Drożdż, S.; Kwapień, J.; Stanisz, T.; Wątorek, M. Disentangling Sources of Multifractality in Time Series. Mathematics 2025, 13, 205. https://doi.org/10.3390/math13020205
Kluszczyński R, Drożdż S, Kwapień J, Stanisz T, Wątorek M. Disentangling Sources of Multifractality in Time Series. Mathematics. 2025; 13(2):205. https://doi.org/10.3390/math13020205
Chicago/Turabian StyleKluszczyński, Robert, Stanisław Drożdż, Jarosław Kwapień, Tomasz Stanisz, and Marcin Wątorek. 2025. "Disentangling Sources of Multifractality in Time Series" Mathematics 13, no. 2: 205. https://doi.org/10.3390/math13020205
APA StyleKluszczyński, R., Drożdż, S., Kwapień, J., Stanisz, T., & Wątorek, M. (2025). Disentangling Sources of Multifractality in Time Series. Mathematics, 13(2), 205. https://doi.org/10.3390/math13020205

