Next Article in Journal
Nyström-Based 2D DOA Estimation for URA: Bridging Performance–Complexity Trade-Offs
Previous Article in Journal
A Federated Fine-Tuning Framework for Large Language Models via Graph Representation Learning and Structural Segmentation
 
 
Font Type:
Arial Georgia Verdana
Font Size:
Aa Aa Aa
Line Spacing:
Column Width:
Background:
Article

A Novel Consensus Considering Endo-Confidence with Double-Hierarchy Hesitant Fuzzy Linguistic Term Set and Its Application

1
School of Economics, Xihua University, Chengdu 610039, China
2
School of Business Administration, Faculty of Business Administration, Southwestern University of Finance and Economics, Chengdu 611130, China
3
Institutes of Science and Development, Chinese Academy of Sciences, Beijing 100190, China
4
School of Public Policy and Management, University of Chinese Academy of Sciences, Beijing 100049, China
*
Author to whom correspondence should be addressed.
Mathematics 2025, 13(19), 3200; https://doi.org/10.3390/math13193200
Submission received: 13 August 2025 / Revised: 11 September 2025 / Accepted: 14 September 2025 / Published: 6 October 2025

Abstract

Consensus in group decision-making has become a hotspot to ensure the agreement opinions of decision makers (DMs). The irrational behaviors of DMs, such as confidence, will impact the consensus results, which should be considered. In addition, the existing self-confidence level directly given by DMs rather than exacted from evaluation information may generate malicious manipulation. Furthermore, double-hierarchy hesitant fuzzy linguistic term set (DHHFLTS) is an effective tool to express the complex evaluations of DMs. In this paper, the endo-confidence of DHHFLTS to reflect confidence of DMs from the perspective of evaluation information is defined. Then, we propose a novel consensus model with endo-confidence of DMs based on DHHFLTSs. First, some improved operators of DHHFLTSs are developed. Second, the weight is determined based on both entropy and endo-confidence. Due to the fact that the consensus threshold should decrease as the endo-confidence increases, we give a novel method to obtain the consensus threshold considering endo-confidence level. Moreover, the two-stage adjustment mechanism is presented for non-consensus DMs and the selection process is constructed. Finally, an illustrative example is carried out to demonstrate the feasibility of the proposed model, and a series of comparative analysis is used to show its stability.

1. Introduction

Decision-making is one of the essential processes for selecting the most appropriate alternative among diverse options and has wide applications [1]. In modern society, when facing wide range of information and large number of influencing factors, it is common to bring group wisdom into the decision-making process to mitigate errors that may arise when a single individual struggles to make of satisfactory judgment [2]. Consequently, group decision-making (GDM) plays a critical role in practice and is highly valued by scholars and industries [3]. In GDM settings, decision makers (DMs) differ in cognition, experience, and knowledge; thus, they provide diverse evaluations of the same alternatives and none of these opinions should be ignored. However, decisions based on markedly divergent evaluations may be unreliable. Reaching consensus, i.e., achieving sufficient agreement among DMs, has therefore become a core topic in decision science. Within this stream, multi-attribute group decision-making (MAGDM) has emerged as a prominent focus [4], and consensus processes for MAGDM have attracted substantial attention. For example, Zhang et al. [5] examined multi-stage consensus evolution in large-scale MAGDM by incorporating social network structures and herding behavior to guide dynamic feedback strategies.
Given the centrality of consensus in MAGDM, most existing consensus models still overlook the psychological behaviors of DMs. Among these, self-confidence, a common factor reflecting a DM’s knowledge and experience [6], can shape group outcomes, as more self-confident DMs tend to exert greater influence on the final decision. Empirical studies further indicate that self-confidence affects the ranking of alternatives and is positively associated with decision accuracy [7]. It is therefore necessary to account for experts’ self-confidence in modeling. Prior work has integrated self-confidence in several ways: Dong et al. [8] compared complete, incomplete, and self-confident preference relations and found that the self-confident variant generally performs better; Zeng et al. [9] incorporated self-confidence into Pythagorean fuzzy sets (PFSs) and proposed confidence-induced ordered and hybrid weighted averaging operators; Ji et al. [6] extended these ideas to interval-valued PFSs by defining four confidence-aware aggregation operators. These models have been applied in practice, e.g., environmental pollution emergency management [7], healthcare decision-making [10] and co-regulation of food safety [11].
In many complex decision-making scenarios, the evaluations provided by DMs are often inaccurate or uncertain due to time pressure, lack of data, or limited knowledge [12]. To address these challenges, a variety of consensus models integrating self-confidence with fuzzy information have been developed. For example, Liu et al. [13] proposed a self-confidence-driven framework to manage heterogeneous behaviors in large-scale GDM (LSGDM), identifying behavioral subgroups and designing adaptive feedback strategies; Ding et al. [14] examined the joint impact of self-confidence and node degree on consensus convergence speed in social networks; and a novel consensus approach with self-confident fuzzy-preference relations was introduced in [15], incorporating confidence into weight determination, consensus index calculation, and feedback mechanisms. Further advances include Ding et al.’s [16] confidence- and conflict-based consensus-reaching process (CC-CRP) model, which derives confidence objectively from intuitionistic hesitant fuzzy, Liu et al.’s [17] method to obtain priority vectors from self-confident multiplicative preferences, and Zhang et al.’s [18] optimization-based consensus model using comparative linguistic preference relations with self-confidence to minimize information loss. Gou et al. [19] extended this line by presenting self-confident double-hierarchy linguistic preference relations (DHLPRs) and developing methods for computing subjective and objective weights, while Han et al. [20] integrated trust, confidence, adjustment willingness, and symbolic linguistic preferences into a robust consensus model for social network-based LSGDM, and Liu et al. [21] defined confidence as the combination of rationality and non-cooperation degrees and applied it as an adjustment coefficient in large-scale consensus. Other contributions include Liu et al. [22], who proposed a fuzzy preference consensus model detecting overconfidence via dynamic weight punishment, Zou et al. [23], who developed a trust-evolution-based model with limited compromise behaviors, and Tu et al. [24], who introduced a bi-level model that incorporates social influence and confidence evolution. Despite these advances, most existing models still rely on self-reported confidence levels and directly specified consensus thresholds, both of which lack objectivity and are vulnerable to manipulation. This gap motivates the introduction of endo-confidence, an objective measure derived from evaluation information itself, which will be the focus of this study.
Beyond numerical information, linguistic term sets (LTSs) are widely used to elicit and process qualitative judgments in decision analysis [25]. However, the standard hesitant fuzzy linguistic term set (HFLTS) may be insufficient to express fine-grained modifiers in complex assessments. To enhance expressiveness, Gou et al. [26] decomposed complex linguistic terms into an “adverb + adjective” structure and proposed the double-hierarchy linguistic term set (DHLTS). In practice, DMs often hesitate among several terms. To simultaneously capture double-hierarchy semantics and hesitation, we adopt the double-hierarchy hesitant fuzzy linguistic term set (DHHFLTS). This representation enables more precise statements (e.g., “only a little high”) and better accommodates uncertainty, making it suitable for complex MAGDM settings. It also supplies the semantic and uncertainty cues that our subsequent consensus model leverages to extract objective confidence signals. Building on the DHLTS framework, Gou et al. [27] developed the probabilistic double hierarchy linguistic term set (PDHLTS) and applied it in an improved VIKOR method for smart healthcare, further demonstrating the practical value of double hierarchy linguistic models in complex decision-making.
In this paper, we adopt the notion of endo-confidence, defined as the confidence degree directly extracted from the evaluation information itself rather than being subjectively declared by DMs. Building on prior studies that operationalize this concept in probabilistic linguistic, interval-valued, and prospect-theoretic consensus settings (e.g., [28,29,30]), endo-confidence can be derived from intrinsic features of the provided assessments, such as probabilistic distributions, hesitation degrees, or interval widths. Unlike traditional self-confidence, which is self-reported and thus susceptible to bias or manipulation, endo-confidence offers an objective and data-driven signal of reliability. For example, in interval-valued settings, a narrower acceptable range implies higher endo-confidence, directly encoding how certain a DM is about their evaluation. In our setting with DHHFLTS, we extract endo-confidence from linguistic evidence including the precision of adverb–adjective modifiers and the spread of hesitation so that the confidence signal is anchored in what DMs actually state. Considering endo-confidence in consensus is crucial because it provides a fairer basis for determining weights and clustering and materially affects aggregation outcomes and feedback strategies. By objectively reflecting the credibility of evaluations, endo-confidence enables more robust consensus processes, helping to identify under- or over-confident experts, reduce information loss in feedback, and balance credibility with diversity in group decisions.
Building on the above review and our clarification of endo-confidence, this study is motivated by three interrelated gaps:
(1)
Objective expression of DMs’ confidence. Although prior studies have incorporated confidence into MAGDM consensus models—based on generalized fuzzy numbers [31], linguistic distribution evaluations, numerical information [21], and probabilistic linguistic term sets [28], most approaches rely on self-reported self-confidence, which lacks objectivity and is vulnerable to manipulation. While Li et al. [28] introduced endo-confidence (i.e., confidence derived from the evaluation information itself), their operationalization is limited to probabilistic linguistic circumstances. We extend this line by defining and extracting endo-confidence under DHHFLTS, leveraging the semantics of double-hierarchy modifiers and hesitation structure to obtain a confidence signal that is comparable across DMs.
(2)
Consensus threshold determination. In consensus processes, higher confidence should imply greater credibility of original evaluations, hence more opinions can be retained and fewer forced adjustments are warranted. Conversely, more confident DMs are typically less willing to revise their assessments, implying higher adjustment costs. Therefore, the consensus threshold should increase as experts’ confidence increases [32,33]. However, existing studies usually exogenously set the threshold (often provided by DMs themselves) and do not couple it with confidence levels. We develop a method under DHHFLTS to determine an endo-confidence-aware threshold that links the threshold to objectively extracted confidence, aligning with both accuracy and adjustment-cost considerations.
(3)
Feedback mechanism under DHHFLTS. Traditional feedback mechanisms often overlook DMs’ willingness to adjust while striving for higher consensus. Some works incorporate confidence via optimization models that implicitly assume self-confidence amplifies information loss between additive preference relations and individual vectors [15,18,19]. Yet when confidence is expressed linguistically, subscripts remain qualitative and cannot precisely reflect degrees, risking questionable modeling assumptions. Other studies employ identification/direction rules to decide who should adjust and how, based on peer or collective assessments [17,19,21,22]. More recent advances propose dual-strategy CRP in probabilistic linguistic MCGDM [34] and cost-sensitive two-stage dynamic consensus with subgroup strategies and incomplete preferences [35]. However, these models do not exploit the richer semantics of DHHFLTS. We propose a two-stage feedback mechanism tailored to DHHFLTS that (i) identifies adjustment targets using endo-confidence-weighted distances to the consensus set, and (ii) gives direction and magnitude suggestions that minimize information loss while respecting confidence-dependent willingness to adjust.
This paper develops an endo-confidence CRP under DHHFLTS, where endo-confidence is extracted from the evaluations themselves and drives weighting, thresholding, and feedback. Our main contributions are as follows:
(1)
Endo-confidence extraction from DHHFLTS. We define a computation of endo-confidence directly from double-hierarchy hesitant linguistic information, capturing (i) the semantic precision of adverb–adjective modifiers and (ii) the degree of hesitation in the provided assessments. This yields an objective, comparable confidence signal for all DMs.
(2)
Confidence-coupled consensus control. We design a rule to determine the consensus threshold as a function of endo-confidence, so that higher-confidence evaluations are retained with fewer forced changes. Expert weights are determined jointly by endo-confidence and entropy, aligning credibility with informational richness.
(3)
Two-stage feedback mechanism under DHHFLTS. We propose an identification–direction scheme that (i) forms an adjustment set using confidence-weighted distances to the consensus region and establishes an adjustment order, and (ii) provides directional suggestions that minimize information loss while respecting confidence-dependent willingness to adjust.
(4)
Operator refinements for DHHFLTS calculus. We refine the transformation function and introduce a well-defined addition operator for DHLTs, improving the rationality and stability of computations involved in aggregation and feedback within the DHHFLTS framework.
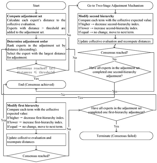
An integrated flowchart of the above CRP (including collective evaluation and selection) is provided in Figure 1.
The rest of this paper is organized as follows: Section 2 introduces some related works including the definition of DHHFLTS, the improved transformation function, the comparative method, the novel approach to add DHLTs to the shorter DHHFLE, and the distance measurement method. Then, in Section 3, we develop a CRP which considers endo-confidence level based on DHHFLTS. Also, we define the adjustment set and propose the two-stage adjustment mechanism. Meanwhile, the selection process is discussed and the decision-making algorithm is constructed. In Section 4, the illustrative example, the sensitive analysis and the comparative analysis are provided to show the advantages of the proposed consensus model. Finally, we discuss conclusions and future directions in Section 5.

2. The Double-Hierarchy Hesitant Fuzzy Linguistic Term Set

Before giving the decision-making model with endo-confidence level under DHHFLTS, we need to provide a brief description of it. We introduce the definition of DHHFLTS in Section 2.1. Then, in Section 2.2, we present the existing transformation function and provide an improved transformation function. Also, the double-hierarchy hesitant fuzzy weighted averaging (DHHFWA) operator and the comparative method are given. Then, the novel method to add the DHLTs and the corresponding distance measurement are proposed in Section 2.3.

2.1. The Definition of Double-Hierarchy Hesitant Fuzzy Linguistic Term Set

Based on linguistic variable [36], Gou et al. [26] defined the concept of DHLTS to describe some more detailed information accurately, which consists of two hierarchy fully independent LTSs. The concept of DHLTS is given below:
Definition 1
([26]). Let S = { s t | t = τ , , 1 , 0 , 1 , , τ } be the first hierarchy LTS, O t = { o k t | k = ς , , 1 , 0 , 1 , , ς } be the second hierarchy LTS of s t . Then, a DHLTS can be denoted by (1).
S O = { s t < o k t > | t = τ , , 1 , 0 , 1 , , τ ; k = ς , , 1 , 0 , 1 , , ς }
where s t < o k t > is called DHLT and < o k t >   ( k = ς , , 1 , 0 , 1 , , ς ) expresses the degrees of the linguistic term s t . For convenience, the DHLT can be simplified by S O = { s t < o k > | t = τ , , 1 , 0 , 1 , , τ ; k = ς , , 1 , 0 , 1 , , ς } .
In our daily life, experts may hesitate among several values to assess a decision-making object. A DHHFLTS [26] can reflect this situation well.
Definition 2
([26]). Let S O be a DHLTS. The mathematical form of a DHHFLTS on X , H S O , is shown by (2).
H S O = { < x i , h S O ( x i ) > | x i X }
where h S O ( x i ) is called double-hierarchy hesitant fuzzy linguistic element (DHHFLE), denoted by (3).
h S O ( x i ) = { s ϕ l < o φ l > ( x i ) | s ϕ l < o φ l > S O ; l = 1 , 2 , , L ; ϕ l = τ , , 1 , 0 , 1 , , τ ; φ l = ς , , 1 , 0 , 1 , , ς }
where L represents the number of DHLTs in h S O ( x i ) and s ϕ l < o φ l > S O ( l = 1 , 2 , , L ) in each h S O ( x i ) being the continuous terms in S O . h S O ( x i ) denotes the possible degree of the linguistic variable x i to S O . Φ × Ψ is defined as the set of all DHHFLEs.

2.2. The Improved Operators and the Comparative Method

In order to give the distance measures for DHHFLEs, two monotone functions are given to make the mutual transformation between the DHLT and the numerical scale [26].
Definition 3
([26]). First, the continuous DHLTS S ¯ O = { s t < o k t > | t = [ τ , τ ] ; k = [ ς , ς ] } is given. Let h S O be a DHHFLE and h = { γ l | γ l [ 0 , 1 ] ; l = 1 , , L } be a hesitant fuzzy element (HFE) [37]. Then, the relationship between the membership degree γ l and the subscript ϕ l < o φ l > of the DHLT s ϕ l < o φ l > is presented by the following functions f and f 1 , respectively:
f : [ τ , τ ] × [ ς , ς ] [ 0 , 1 ] , f ( ϕ l , φ l ) = φ l + ( τ + ϕ l ) ς 2 ς τ = γ l , i f τ + 1 ϕ l τ 1 φ l + ( τ + ϕ l ) ς 2 ς τ = γ l , i f ϕ l = τ φ l 2 ς τ = γ l , i f ϕ l = τ
f 1 : [ 0 , 1 ] [ τ , τ ] × [ ς , ς ] , f 1 ( γ l ) = [ 2 τ γ l τ ] < o ς ( 2 τ γ l τ [ 2 τ γ l τ ] ) > = [ 2 τ γ l τ ] + 1 < o ς ( ( 2 τ γ l τ [ 2 τ γ l τ ] ) 1 ) > , i f 1 τ 2 τ γ l τ τ 1 τ 1 < o ς ( 2 τ γ l τ [ 2 τ γ l τ ] ) > = τ < o ς ( ( 2 τ γ l τ [ 2 τ γ l τ ] ) 1 ) > , i f τ 1 2 τ γ l τ τ τ < o ς ( 2 τ γ l τ [ 2 τ γ l τ ] ) > = 1 τ < o ς ( ( 2 τ γ l τ [ 2 τ γ l τ ] ) 1 ) > , i f τ 2 τ γ l τ 1 τ
where [ ] returns the integer part of a stochastic variable and [ σ ] σ < [ σ ] + 1 .
Notice that, according to Equation (4), we cannot find the τ 1 < o 0 > corresponding transformation function if τ < ϕ l < τ + 1 or τ 1 < ϕ l < τ . Hence, in a recent paper (see ref. [38]), the transformation function f is improved as Equation (6) to solve the above problem, which is utilized in this paper.
f : [ τ , τ ] × [ ς , ς ] [ 0 , 1 ] , f ( ϕ l , φ l ) = φ l + ( τ + ϕ l ) ς 2 ς τ = γ l
It is worth noting that when [ 2 τ γ l τ ] = 2 τ γ l τ = 1 τ , according to Equation (5), we can calculate 1 τ < o 0 > and 2 τ < o ς > based on the condition i f 1 τ 2 τ γ l τ τ 1 , while we can get τ < o o > and 1 τ < o ς > based on the condition i f τ 2 τ γ l τ 1 τ . It is obvious that f ( 1 τ , 0 ) = 1 2 τ 0 = f ( 1 τ , ς ) by Equation (6) which is inconsistent with the result of Equation (5). Moreover, we can acquire f ( τ , 0 ) = f ( τ 1 , ς ) = 1 according to Equation (6) and we get τ < o ς > based on Equation (5) when γ l = 1 . Furthermore, sometimes, there may be three DHLTs and their corresponding membership degrees are equal, e.g., f ( 0 , 0 ) = f ( 1 , ς ) = f ( 1 , ς ) = 1 2 . As a result, we give an improved operator f 1 in this paper to solve these above problems.
Definition 4.
The improved operator  f 1  can be defined as  f 1 : [ 0 , 1 ] [ τ , τ ] × [ ς , ς ] , and
(1)
If τ < 2 τ γ l τ < τ , there is f 1 ( γ l ) = [ 2 τ γ l τ ] < o 0 > = [ 2 τ γ l τ ] + 1 < o ς > = [ 2 τ γ l τ ] 1 < o ς > w h e n 2 τ γ l τ i s   a n   i n t e g e r [ 2 τ γ l τ ] < o ς ( 2 τ γ l τ [ 2 τ γ l τ ] ) > = [ 2 τ γ l τ ] + 1 < o ς ( ( 2 τ γ l τ [ 2 τ γ l τ ] ) 1 ) > w h e n 2 τ γ l τ i s n o t   a n   i n t e g e r .
(2)
If 2 τ γ l τ = τ , there is f 1 ( γ l ) = τ < o 0 > = 1 τ < o ς > .
(3)
If 2 τ γ l τ = τ , there is f 1 ( γ l ) = τ < o 0 > = τ 1 < o ς > .
Definition 5
([26]). Based on Equation (6) and the improved operator f 1 in Definition 4, the transformation functions F and F 1 between the DHHFLE h S O and the HFE h are given as follows:
F : Φ × Ψ Θ , F ( h S O ) = F ( { s ϕ l < o φ l > | s ϕ l < o φ l > S O ; l = 1 , , L ; ϕ l [ τ , τ ] ; φ l [ ς , ς ] } ) = { γ l | γ l = f ( ϕ l , φ l ) } = h
F 1 : Θ Φ × Ψ , F 1 ( h ) = F 1 ( { γ l | γ l [ 0 , 1 ] ; l = 1 , , L } ) = { s ϕ l < o φ l > | ϕ l < o φ l > = f 1 ( γ l ) } = h S O
and Θ is the set of all hesitant fuzzy sets (HFSs).
It is clear that the operational laws of DHHFLEs can be developed based on the operational laws of HFEs [26]. As a result, according to the hesitant fuzzy weighted averaging (HFWA) operator, the DHHFWA operator is given as follows:
Definition 6
([26]). Let h z = { γ l z | γ l z [ 0 , 1 ] ; l = 1 , , L z , z = 1 , 2 , , q } be a collection of HFEs. Then,
D H H F W A ( h S O 1 , h S O 2 , , h S O q ) = z = 1 q ( w z h S O z )
which is calculated by the following two formulas:
κ h S O = F 1 ( γ l F ( h S O ) { 1 ( 1 γ l ) κ } )
h S O 1 h S O 2 = F 1 ( γ l 1 F ( h S O 1 ) , γ l 2 F ( h S O 2 ) { γ 1 + γ 2 γ 1 γ 2 } )
where w = ( w 1 , w 2 , , w q ) Τ is the weights of h S O z = { s ϕ l z < o φ l z > | s ϕ l z < o φ l z > S O ; l = 1 , 2 , , L z ; ϕ l z = τ , , 1 , 0 , 1 , , τ ; φ l z = ς , , 1 , 0 , 1 , , ς ; z = 1 , 2 , , q } with w z [ 0 , 1 ] and z = 1 q w z = 1 . We can find that the number of terms in the results should be z = 1 q L z by the DHHFWA operator (Equation (9)), and L z represents the number of DHLTs in the DHHFLE h S O z .
Definition 7
([26]). It is necessary to further discuss the comparative method of DHHFLEs. The concepts of the expected value E ( h S O ) and the variance value var ( h S O ) of the DHHFLE h S O are given as (12) and (13), respectively:
E ( h S O ) = 1 L l = 1 L f ( s ϕ l < o φ l > )
var ( h S O ) = 1 L l = 1 L ( f ( s ϕ l < o φ l > ) E ( h S O ) ) 2
Let h S O 1 and h S O 2 be two DHHFLEs. According to Equations (12) and (13),
(1)
If E ( h S O 1 ) > E ( h S O 2 ) , then h S O 1 is superior to h S O 2 , that is h S O 1 h S O 2 .
(2)
Similarly, if E ( h S O 1 ) < E ( h S O 2 ) , then h S O 1 is inferior to h S O 2 , that is h S O 1 h S O 2 .
(3)
If E ( h S O 1 ) = E ( h S O 2 ) , then
(a)
If var ( h S O 1 ) > var ( h S O 2 ) , then h S O 1 is inferior to h S O 2 , that is h S O 1 h S O 2 .
(b)
If var ( h S O 1 ) < var ( h S O 2 ) , then h S O 1 is superior to h S O 2 , that is h S O 1 h S O 2 .
(c)
If var ( h S O 1 ) = var ( h S O 2 ) , then h S O 1 is equivalent with h S O 2 , that is h S O 1 h S O 2 .

2.3. The Novel Method to Add the DHLTs and the Corresponding Distance Measurement

Before calculating the distance between DHHFLEs, we need to add the DHLTs to the shorter DHHFLE. Here, we give a brief description of the method proposed by Gou et al. [39]. First, we rank the DHLTs according to their corresponding membership degree based on Equation (6) in non-descending order. Then, the minimum and the maximum DHLTs in h S O are denoted as s ϕ 1 < o φ 1 > and s ϕ L < o φ L > , respectively. Then, the added DHLT s ˜ ϕ < o φ > should be as Equation (14):
s ˜ ϕ < o φ > = s ( 1 ε ) ϕ 1 + ε ϕ L < o ( 1 ε ) φ 1 + ε φ L >
where the optimized parameter ε [ 0 , 1 ] reflects the risk preferences of DMs.
This method can solve the problem perfectly in most situations. However, it has some limitations. For instance, there are two DHHFLEs h S O 1 = { s 1 < o 0 > , s 1 < o 1 > , s 1 < o 2 > , s 1 < o 3 > } and h S O 2 = { s 1 < o 0 > , s 1 < o 1 > , s 1 < o 2 > , s 1 < o 3 > , s 2 < o 3 > , s 2 < o 2 > , s 2 < o 1 > , s 2 < o o > } . Notice that, in h S O 2 , some membership degrees of DHLTs based on Equation (6) are equal (e.g., f ( 1 , 0 ) = f ( 2 , 3 ) , f ( 1 , 1 ) = f ( 2 , 2 ) , ), and thus they express the same evaluation although with different representations. As a result, the original evaluation of the above two DHHFLEs h S O 1 and h S O 2 are the same and the distance between them should be 0, which is inconsistent with the result obtained by the method in [39]. To solve this problem, we present a novel method to add the DHLTs to the shorter DHHFLE.
Supposed that the length of h S O 1 and h S O 2 are L 1 and L 2 , respectively, and L 1 < L 2 . Then,
(1)
If there is only one term s ϕ < o φ > in h S O 1 , that is L 1 = 1 , we should add the number of L 2 L 1 DHLTs s ϕ < o φ > to h S O 1 .
(2)
If there is L 1 > 1 and L 2 is an integer multiple of L 1 , then we repeat each term s ϕ l < o φ l > in h S O 1 for L 2 L 1 L 1 times in order not to change the original evaluation and rank all the DHLTs according to the membership degree in non-descending order.
(3)
If there is L 1 > 1 and L 2 is not an integer multiple of L 1 , then we repeat each term s ϕ l < o φ l > in h S O 1 for [ L 2 L 1 L 1 ] times and add the number of L 2 [ L 2 L 1 ] L 1 DHLTs s ˜ ϕ < o φ > to h S O 1 , where s ˜ ϕ < o φ > is calculated by Equation (14). We rank all the DHLTs according to the membership degree in non-descending order and set ε = 0.5 in this paper.
Definition 8
([39]). Let h S O 1 and h S O 2 be two DHHFLEs. After adding the DHLTs to the shorter DHHFLE, we can guarantee the lengths of the obtained DHHFLEs equal to the longer DHHFLE, that is, L 1 = L 2 = L 1 , 2 . The method to calculate the generalized distance between h S O 1 and h S O 2 is given as Equation (15):
d ( h S O 1 , h S O 2 ) = ( 1 L 1 , 2 l = 1 L 1 , 2 | f ( ϕ l 1 , φ l 1 ) f ( ϕ l 2 , φ l 2 ) | λ ) 1 λ
where f is the equivalent transformation function (see Equation (6)) and λ > 0 . Importantly, when λ = 1 and λ = 2 , the generalized distance reduces to the Hamming-Hausdorff distance and the Euclidean-Hausdorff distance between h S O 1 and h S O 2 , respectively.
Here, we provide an example to prove the advantages of the proposed method to add the DHLTs in this paper.
Example 1.
Let  h S O 1 = { s 1 < o 0 > , s 1 < o 1 > , s 1 < o 2 > , s 1 < o 3 > }  and  h S O 2 = { s 1 < o 0 > , s 1 < o 1 > , s 1 < o 2 > , s 1 < o 3 > , s 2 < o 3 > , s 2 < o 2 > , s 2 < o 1 > , s 2 < o o > }  be two DHHFLEs. We compute the added DHLT  s ˜ ϕ < o φ > = s 1 < o 1.5 >  based on Equation (14):
(1)
If we use the method proposed in [39] to add the DHLTs, then we get h S O 1 = { s 1 < o 0 > , s 1 < o 1 > , s 1 < o 1.5 > , s 1 < o 1.5 > , s 1 < o 1.5 > , s 1 < o 1.5 > , s 1 < o 2 > , s 1 < o 3 > } , and the Hamming-Hausdorff distance between h S O 1 and h S O 2 are d ( h S O 1 , h S O 2 ) = 1 8 ( 0 + 1 18 + 1 36 + 1 36 + 1 36 + 1 36 + 1 18 + 0 ) = 1 36 .
(2)
If we use the proposed method in this paper, then we can find that in this example, L 2 = 8 is an integer multiple of L 1 = 4 , and we need to repeat each term s ϕ l < o φ l > in h S O 1 for L 2 L 1 L 1 = 8 4 4 = 1 time. Then, we get h S O 2 = { s 1 < o 0 > , s 1 < o 0 > , s 1 < o 1 > ,   s 1 < o 1 > , s 1 < o 2 > , s 1 < o 2 > , s 1 < o 3 > , s 1 < o 3 > } , and the Hamming-Hausdorff distance between h S O 1 and h S O 2 are d ( h S O 1 , h S O 2 ) =   1 8 ( 0 + 0 + 0 + 0 + 0 + 0 + 0 + 0 ) = 0 .
The method in [39] only adds the DHLT s ˜ ϕ < o φ > to the shorter DHHFLE. That is to say, all DHLTs in DHHFLE are treated as s ˜ ϕ < o φ > , which significantly changes the meaning of the original evaluation information. However, our approach can solve the above problem by fully considering the meaning of the original evaluation when adding elements. As a result, it is obvious that the proposed method keeps more original evaluation than the method in [39], which increases the accuracy of the calculated distance.

3. Consensus Decision-Making with Endo-Confidence Based on Double-Hierarchy Hesitant Fuzzy Linguistic Term Set

In this section, the decision-making model with endo-confidence based on DHHFLTS is proposed. In Section 3.1, we discuss the method to measure the endo-confidence level through DHHFLTS. Section 3.2 describes method to determine weight with endo-confidence level. In Section 3.3, we show the determination of the consensus threshold and compute the collective distance. The method for choosing DMs to modify their evaluation and the following two-stage adjustment mechanism is presented in Section 3.4. When the consensus level is reached, the selection process is presented, and the decision-making algorithm is given in Section 3.5.
Before showing the decision-making model, first we need to give the basic evaluation information. Let A = { a 1 , a 2 , , a n }   ( N = { 1 , 2 , , n } , i N , n 3 ) be a finite set of potential alternatives, C = { c 1 , c 2 , , c m }   ( M = { 1 , 2 , , m } , j M , m 2 ) be a finite set of attributes, and E = { e 1 , e 2 , , e q }   ( Q = { 1 , 2 , , q } , z Q ) be a finite set of DMs. Suppose that the decision-making matrix from e z is given as D S O z = [ h S O i j z ] n × n ( z Q ), where h S O i j z is the evaluation information represented by DHHFLE for a i over c j given by e z . Notice that we define the cardinality of the DHHFLTS as 7 in this paper, in other words, τ = ς = 3 . Then, the first hierarchy LTS is denoted as S = { s 3 = n o n e , s 2 = v e r y l o w , s 1 = l o w , s 0 = m e d i u m , s 1 = h i g h , s 2 = v e r y h i g h , s 3 = p e r f e c t } and the second hierarchy LTS is defined as O = { o 3 = f a r f r o m , o 2 = o n l y a l i t t l e , o 1 = a l i t t l e , o 0 = j u s t r i g h t , o 1 = m u c h , o 2 = v e r y m u c h , o 3 = e n t i r e l y } .

3.1. The Measurement of Endo-Confidence Level Based on Double-Hierarchy Hesitant Fuzzy Linguistic Term Set

As afore-mentioned, self-confidence can affect the final results and plays an important role in the decision-making process. As the main challenge of introducing self-confidence factor into decision-making models, the measurement of self-confidence level requires attention. However, in the existing literature, self-confidence is usually given by experts, and few studies measures self-confidence level according to the evaluation information [31], especially through DHHFLTS. In psychological and decision sciences, different theoretical models converge on the idea that confidence is revealed through the precision of judgments and the degree of hesitation. Signal detection and diffusion models show that stronger internal evidence not only increases accuracy but also reduces decision time, leading to higher confidence. Thus, confidence is negatively related to hesitation or indecision [40]. Metacognitive accounts, such as Koriat’s self-consistency model, emphasize that confidence depends on the extent to which judgments are precise and consistent with underlying evidence [41]. Likewise, research on the confidence-accuracy relation demonstrates that higher confidence systematically aligns with more accurate judgments. From the perspective of fuzzy linguistic decision modeling, these two dimensions also have a clear theoretical counterpart. The precision of linguistic expressions reflects the semantic consistency of experts’ descriptions (as highlighted in the 2-tuple linguistic model [42]), while the degree of hesitation directly captures the uncertainty encoded in hesitant fuzzy linguistic terms [31]. Building on this combined foundation, endo-confidence can be understood as an objective, data-driven signal derived from evaluation information itself. Hence, in this paper, we give the method to measure endo-confidence level (confidence which is derived by DMs’ evaluation information) under DHHFLTS according to two aspects: (1) the accuracy of the experts’ description of their evaluations; (2) the hesitance degree of their evaluations.
(1)
The accuracy of the expert’s description of the evaluation information
In the decision-making process, confident experts can often perceive the evaluations and understand the meaning of each linguistic term in DHLTS better. Also, they are generally able to accurately describe their evaluations and express them in suitable DHLTs. However, unconfident experts often give their evaluations vaguely and they may be more inaccurate in expressing their opinions. As a result, the accuracy of experts’ description of their evaluation information can be used to measure part of the endo-confidence level.
When experts give their evaluations based on DHHFLTSs, the accuracy of the descriptions of their evaluations by different DHLTs is diverse. As the second hierarchy o k can express the degrees of first hierarchy s t , we can define the accuracy according to the subscript φ l of the second hierarchy o φ l of the DHLT s ϕ l < o φ l > and its corresponding cardinality ς . According to Equation (6), we can find that the membership degree of s 2 < o 3 > , s 1 < o 0 > and s 0 < o 3 > are the same as γ = 1 3 . However, the corresponding expressions are “entirely very low”, “just right low”, and “far from medium”. The expert who gives the evaluation as s 1 < o 0 > can describe the evaluation information more accurately than the other two experts with the evaluations s 2 < o 3 > and s 0 < o 3 > , in that the second hierarchy of the DHLT has a large deviation. Hence, if there are more than one DHLT with the same expressions (that is f ( ϕ l , φ l ) = f ( ϕ l , φ l ) ) and the subscript φ l of o φ l satisfies | φ l | < | φ l | , we can say that the DHLT s ϕ l < o φ l > is a better expression than s ϕ l < o φ l > . For the DHLT s ϕ l < o φ l > , (1) if | φ l | ς 2 , then it means that we cannot find a better description that has the same meaning as the DHLT s ϕ l < o φ l > . Hence, we can say that the expert expresses his/her evaluation accurately and is fully confident. As a result, we define I e c l = 1 ; (2) if | φ l | > ς 2 , then there is a better DHLT s ϕ l < o φ l > which can express the same evaluation as s ϕ l < o φ l > and we need to further discuss the endo-confidence levels of experts. In this paper, we define the accuracy of the experts’ descriptions of their evaluation information as I e c to be a part of the endo-confidence level e c .
Definition 9.
For the DHLT  s ϕ l < o φ l >  , its endo-confidence level  I e c l  is expressed as Equation (16):
I e c l : ( 1 ) i f | φ l | ς 2 , t h e n , I e c l = 1 ( 2 ) i f | φ l | > ς 2 , t h e n , I e c l = 2 ( ς + 1 | φ l | ) ς + 3 w h e n ς i s o d d 2 ( ς + 1 | φ l | ) ς + 2 w h e n ς i s e v e n
Then, the endo-confidence level I e c i j z for the DHHFLE h S O i j z can be calculated by Equation (17):
I e c i j z = 1 L z l = 1 L z I e c i j , l z
Example 2.
Let  τ = ς = 3 . The expert  e 1  gives his/her evaluation as  h S O 1 = { s 1 < o 3 > , s 1 < o 2 > , s 1 < o 1 > ,   s 1 < o 0 > , s 1 < o 1 > , s 1 < o 2 > , s 1 < o 3 > } . As  ς = 3  is an odd number, according to Equation (16), we can calculate  I e c 1 1 =   2 ( 3 + 1 | 3 | ) 3 + 3 = 1 3 ,  I e c 2 1 = 2 3 ,  I e c 3 1 = I e c 4 1 = I e c 5 1 = 1 ,  I e c 6 1 = 2 3 , and  I e c 7 1 = 1 3  . Then, we can obtain the endo-confidence level  I e c 1 = 5 7 . As  | 3 | | 0 | = 3 > 1 = | 2 | | 1 |  for the DHLTs  s 1 < o 3 >  and  s 1 < o 2 >  , we can see the accuracy of  s 1 < o 2 >  is higher than  s 1 < o 3 > , and their corresponding endo-confidence level  I e c 1 1 = 1 3 < 2 3 = I e c 2 1  is in line with the hypothesis in this paper.
(2)
The hesitance degree of experts in evaluation information
Sometimes, experts may express different hesitance degrees in the evaluation process. Experts with higher endo-confidence level are often certain about their evaluation information while experts with lower endo-confidence level may hesitate among several evaluations. As a result, the hesitance degrees of experts can reflect a part of their endo-confidence levels, and it is clear that the greater hesitance degree means that the experts are less confident. Gou et al. [39] defined the hesitance degree merely according to the lengths of the DHHFLEs. However, if the DHHFLE given by e z includes the DHLTs s 2 < o 3 > , s 1 < o 0 > , and s 0 < o 3 > , these DHLTs can be considered as the same one when computing the hesitance degree because they have the same membership degrees. As a result, the measurement of hesitance degree should be further discussed to consider the membership degree of the DHLTs in the corresponding DHHFLE. Inspired by [28], we give the method to obtain the hesitance degree of DHHFLTS.
Definition 10.
Suppose that  e z  gives his/her evaluation as  h S O i j z  for  a i  over  c j . If there are more than one DHLTs whose membership degrees obtained by Equation (6) are equal, that is  f ( ϕ i j , l z , φ i j , l z ) = f ( ϕ i j , l z , φ i j , l z ) = , those DHLTs have the same meaning. As the hesitance degree expresses experts’ hesitation in different evaluations, when calculating the hesitance degree, we need to remove DHLTs that express the same meaning. Suppose that there are  L z  number of DHLTs with different meanings in  h S O i j z . From this perspective, the endo-confidence level of  h S O i j z  can be defined as  I I e c i j z :
I I e c i j z = 1 L z 1 2 ς τ
(1)
If there is L z 1 2 ς τ = 0 , then it means that e z gives only one DHLT to evaluate the decision-making object. Then, e z is completely sure about the evaluation information and there is I I e c i j z = 1 .
(2)
If there is L z 1 2 ς τ = 1 , then it means that e z thinks that all terms in DHHFLTS can evaluate the decision-making object. Then, e z is completely uncertain about the evaluation information and there is I I e c i j z = 0 .
(3)
In other cases, the endo-confidence level of e z is somewhere between the above two cases, and there is 0 < I I e c i j z < 1 .
Example 3.
The experts  e 1 ,  e 2  and  e 3  give their evaluation as  h S O 1 = { s 1 < o 0 > , s 1 < o 1 > , s 1 < o 2 > , s 1 < o 3 > , s 2 < o 3 > } ,  h S O 2 = { s 1 < o 0 > , s 1 < o 1 > , s 1 < o 2 > , s 1 < o 3 > }  and  h S O 3 = { s 1 < o 1 > , s 1 < o 2 > , s 1 < o 3 > } , respectively. According to Equation (6), we can find that  f ( 1 , 0 ) = f ( 2 , 3 ) . In other words, the DHLTs  s 1 < o 0 >  and  s 2 < o 3 >  have the same meaning. Hence, it should be seen as the same term when calculating hesitance degree, that is,  L 1 = 5 1 = 4 . According to Equation (18), we can acquire that  I I e c 1 = 1 4 1 2 × 3 × 3 = 5 6 . Similarly, for the DHHFLEs  h S O 2  and  h S O 3 , there are not any DHLTs whose membership degree are equal. Thus, there are  L 2 = 4 ,  L 3 = 3  and their corresponding endo-confidence levels are  I I e c 2 = 1 4 1 2 × 3 × 3 = 5 6  and  I I e c 3 = 1 3 1 2 × 3 × 3 = 8 9 , respectively. Notice that, although there is  L 1 = 5 > 4 = L 2 , they have the same semantics leading to the same hesitance degrees, and thus the same endo-confidence levels. It is obvious that  I I e c 1 = I I e c 2 > I I e c 3  and  e 1  and  e 2  are more hesitant than  e 3  intuitively, which is consistent with the calculation results.
After giving the measurement of the endo-confidence levels I e c i j z and I I e c i j z , the overall endo-confidence level of e z for a i over c j can be obtained by Equation (19):
e c i j z = α I e c i j z + ( 1 α ) I I e c i j z
where α is a parameter to control the importance of accuracy and hesitance degree and 0 α 1 .

3.2. The Determination of Expert’s Weight with Endo-Confidence Level

The weights of the DMs, which indicate the importance levels of the DMs, play an important role in the decision-making process and have a strong effect on the final results. Hence, it is vital to determine reasonable weight in the decision-making process. Up to now, there already has a large number method to determine weights in the MADM problem, including the linear programming model [43], analytic hierarchy process (AHP) [44], etc., which have the weakness that DMs with different inner characteristics may be treated equally in the decision-making process. However, if the weight is only calculated by psychological factors of DMs such as self-confidence (see [7]), it may cause the problem that the DM may manipulate decision-making results by deliberately increasing their self-confidence levels. As a result, two weight-determining methods, including the weight based on endo-confidence level and the weight based on entropy, are combined in this paper to manage their respective advantages.

3.2.1. The Weight Based on Endo-Confidence Level

It is obvious that more confident DMs may have more knowledge or experience with the decision-making object, and they may easily influence the final decision-making results [7]. Moreover, self-confidence can reflect the reliability of the evaluations provided by experts and the reliability may have an influence on the accuracy of the final decision results. As a result, endo-confidence levels, which are derived from the evaluations of the experts, should be introduced to determine the weight. Due to the fact that endo-confidence can reflect the confidence level of an expert for his/her evaluation, the higher the endo-confidence of an expert is, the more importance should be assigned to him/her. Some researchers hypothesized that the weight has a linear relationship with the confidence level [7]. However, the change speed of weight with endo-confidence level is related to the exact value of endo-confidence. According to [14], the weight is determined by both the self-confidence level and the node degree of the DM. In their paper, the weight of e z increases faster as the value of his/her self-confidence increases. Through the literature and the observation of real life, two assumptions used in this paper are proposed:
(1)
The weight changes continuously with the increase (decrease) of endo-confidence and they have a positive correlation.
(2)
Experts with higher endo-confidence have a decisive role in the decision-making results. However, the experts with lower endo-confidence are often affected by others and change their evaluations, thus the impact on the final result is small.
Based on the above point of view, in this paper, we give a novel method to determine the weight according to the endo-confidence levels. Because the exponential function and its derivative have the characteristics of monotonous increase and the rate of change is relatively fast, which is consistent with the above assumptions, we can use it to simulate the change process of weight with endo-confidence level.
Definition 11.
How to determine the weight of DM based on endo-confidence level is shown as follows:
First, we can obtain the weight based on endo-confidence level by Equation (20):
w i j , e c z = exp ( e c i j z ) 1
Then, the normalized weight w i j , e c z ¯ can be computed according to Equation (21):
w i j , e c z ¯ = w i j , e c z z = 1 q w i j , e c z , z = 1 q w i j , e c z ¯ = 1

3.2.2. The Weight Based on Entropy

To reduce the influence of excessive subjective judgment to the final result, the differences among the evaluation information of alternatives can be used to generate the attribute weights. One of the most widely used objective weight determination methods is the entropy-based method, which also relies on the extent of differentiation across alternatives for each attribute [45,46,47]. Gou et al. [48] presented the double-hierarchy information entropy to determine the weight of e z based on information entropy theory. In this paper, we utilize this method to obtain another part of the weight w j , i e z ¯ for a i over c j .
Definition 12
([49]). The linguistic expected value of the DHHFLE h S O can be computed by Equation (22):
l e : Φ × Ψ S O ¯ , l e ( h S O ) = 1 L l = 1 L s ϕ l < o φ l > = s ϕ * < o φ * >
where ϕ * = 1 L l = 1 L ϕ l and φ * = 1 L l = 1 L φ l .
Definition 13
([48]). Here, the double-hierarchy information entropy-based weights-determining method is given:
First, we can obtain g i j z for a i over c j based on Equation (23):
g i j z = f ( l e ( h S O i j z ) ) i = 1 n f ( l e ( h S O i j z ) ) , z Q
Then, we can calculate the information entropy I E ( g j z ) of e z over c j , which describes the uncertainty degree and the randomness of evaluation information by Equation (24):
I E ( g j z ) = 1 log 2 n i = 1 n g i j z × log 2 g i j z
It is obvious that the smaller the information entropy I E ( g j z ) is, the bigger the certainty degree of the attribute c j will be. Then, we should give a larger weight to the corresponding e z over c j . Hence, we can obtain the normalized entropy-based weight w j , i e z ¯ for c j given by e z according to Equation (25).
w j , i e z ¯ = ( I E ( g j z ) ) 1 / z = 1 q ( I E ( g j z ) ) 1 , z = 1 q w j , i e z ¯ = 1
Definition 14.
We can finally obtain the weight of  e z  as  w i j z  by combining the weight based on endo-confidence  w i j , e c z ¯  and the weight based on entropy  w j , i e z ¯  as Equation (26):
w i j z = β w i j , e c z ¯ + ( 1 β ) w j , i e z ¯
where β is a parameter to measure the importance of endo-confidence and entropy in determining the final weight and 0 β 1 .

3.3. How to Determine the Consensus Threshold Based on Endo-Confidence Level

The determination of the consensus threshold is a key step to check whether the consensus level is reached. Most of the studies state that consensus thresholds are given by DMs, which is an obstacle for DMs in real applications as they feel it is hard to understand the consensus degree intuitively and visually [50,51]. Hence, it is necessary to propose a method to determine the consensus threshold. Furthermore, the consensus threshold should decrease with the increase of endo-confidence [32] for two reasons: (1) Experts with higher endo-confidence levels are less willing to modify their evaluation information. As a result, groups with greater collective endo-confidence level e c i j for a i over c j may be more difficult to reach consensus. (2) The evaluation with higher endo-confidence level is more accurate, and thus, the requirement for consensus can be appropriately reduced.
The method to select consensus threshold with endo-confidence level is presented as follows:
Step 1. Obtain the collective evaluation information h S O i j by Equation (27) according to the DHHFWA operator (see Equation (9))
h S O i j = D H H F W A ( h S O i j 1 , h S O i j 2 , , h S O i j q ) = z = 1 q ( w i j z h S O i j z )
where the weight w i j z is calculated by Equation (26) according to Section 3.2.
Step 2. Calculate the distance d ( h S O i j z , h S O i j ) and obtain the collective distance d i j . According to Section 2.3, we add DHLTs to the shorter DHHFLE to make sure that the lengths of the obtained DHHFLEs are equal. Then, the distance d ( h S O i j z , h S O i j ) between h S O i j z and the collective evaluation information h S O i j is obtained by Equation (15). Further, the collective distance d i j can be calculated based on Equation (28):
d i j = 1 q z = 1 q d ( h S O i j z , h S O i j )
Step 3. Define the consensus threshold with endo-confidence level.
First, we can obtain the collective endo-confidence level e c i j for a i over c j as Equation (29):
e c i j = 1 q z = 1 q e c i j z
Then, the consensus threshold δ i j for a i over c j can be obtained by Equation (30):
δ i j = ( exp r j 1 ) e c i j
where r j is a parameter which can control the requirement of consensus.
If there is d i j δ i j , then the consensus reaches, and we can apply selection process in Section 3.5 to obtain the final overall ranking of alternatives. If there is d i j > δ i j ( i , j ), then the consensus does not reach, and we should utilize the mechanism in Section 3.4 to find the experts to adjust their evaluations.

3.4. The Feedback Mechanism for the DHHFLTS

When the consensus degree achieved in a consensus round is not high enough, another discussion round which is usually guided by a feedback process is necessary to increase the agreement among experts. Recent studies have highlighted that in real-world decision-making scenarios, feedback processes are often constrained by limited resources and therefore require optimal allocation strategies to ensure efficient consensus progression [52]. Most feedback mechanisms are based on identification rules and direction rules. In this section, we first provide the method to determine the experts who need to adjust their evaluations, and suggestions for them to achieve the predefined consensus are given.
The detailed feedback adjustment mechanism is given as follows:
Step 1. Give the adjustment set A S i j . After calculating the distance d ( h S O i j z , h S O i j ) between the collective evaluation information h S O i j and the evaluation h S O i j z by the method in Section 2.3, we can obtain the adjustment set A S i j . If the distance d ( h S O i j z , h S O i j ) is greater than the consensus threshold δ i j , then we believe that e z needs to adjust his/her evaluation and we will include these experts into the adjustment set A S i j .
Step 2. Determine the adjustment order of the DHHFLEs. First, we can rank the DHHFLEs according to the distance d ( h S O i j z , h S O i j ) and denote the corresponding DHHLEs as h S O i j z , where d ( h S O i j 1 , h S O i j ) d ( h S O i j 2 , h S O i j ) d ( h S O i j z , h S O i j ) d ( h S O i j # A S i j , h S O i j ) and # A S i j is the number of experts in the adjustment set.
Step 3. The two-stage adjustment mechanism. In order to keep more original information, the adjustment mechanism is divided into two stages.
Stage 1. The adjustment of the second hierarchy of the DHLT o k . We select the first DHHFLE h S O i j 1 to modify the evaluation information. Then, we need to make a comparison between the membership degree f ( s ϕ i j , l z < o i j , l z > ) of each DHLT in h S O i j 1 and the expected value E ( h S O i j ) of the collective evaluation information.
(1)
If f ( s ϕ i j , l z < o i j , l z > ) > E ( h S O i j ) , then we need to reduce the value of the second hierarchy of the DHLT o k .
(a)
If the adjusted membership degree of the DHLT is not less than the expected value of the collective evaluation information, that is f ( s ϕ i j , l z < o 3 z > ) E ( h S O i j ) , then we take the DHLT s ϕ i j , l z < o 3 z > as the adjusted one and further obtain the updated DHHFLE h ¯ S O i j 1 .
(b)
If the adjusted membership degree of the DHLT is smaller than the expected value of the collective evaluation information, that is f ( s ϕ i j , l z < o 3 z > ) < E ( h S O i j ) , then we select the DHLT with the smallest distance from E ( h S O i j ) as the adjusted DHLT and further obtain the updated DHHFLE h ¯ S O i j 1 . If there are two DHLTs whose distance from E ( h S O i j ) are equal, in order to reduce the loss of original information, we choose the one which is closer to the original evaluation s ϕ i j , l z < o i j , l z > as the adjusted DHLT and further obtain the updated DHHFLE h ¯ S O i j 1 .
(2)
If f ( s ϕ i j , l z < o i j , l z > ) < E ( h S O i j ) , then we need to increase the value of the second hierarchy of the DHLT o k .
(a)
If the adjusted membership degree of the DHLT is not more than the expected value of the collective evaluation information, that is f ( s ϕ i j , l z < o 3 z > ) E ( h S O i j ) , then we take the DHLT s ϕ i j , l z < o 3 z > as the adjusted one and further obtain the updated DHHFLE h ¯ S O i j 1 .
(b)
If the adjusted membership degree of the DHLT is bigger than the expected value of the collective evaluation information, that is f ( s ϕ i j , l z < o 3 z > ) > E ( h S O i j ) , then we select the DHLT with the smallest distance from E ( h S O i j ) as the adjusted DHLT and further obtain the updated DHHFLE h ¯ S O i j 1 . Similarly, if there are two DHLTs whose distance from E ( h S O i j ) are equal, in order to reduce the loss of original information, we choose the one which is closer to the original evaluation s ϕ i j , l z < o i j , l z > as the adjusted DHLT and further obtain the updated DHHFLE h ¯ S O i j 1 .
(3)
If f ( s ϕ i j , l z < o i j , l z > ) = E ( h S O i j ) , then the DHLT should not be changed, and we should further modify other DHLTs in the DHHFLE h S O i j 1 .
After obtaining the updated DHHFLE h ¯ S O i j 1 , we can obtain the novel collective evaluation information h ¯ S O i j and further calculate the collective distance d ¯ i j . Then, to judge whether the consensus reaches or not, if d ¯ i j δ i j , then the consensus reaches. Otherwise, we need to update the adjustment set A S i j and choose another expert with the biggest distance d ( h S O i j z , h ¯ S O i j ) to adjust the second hierarchy of the DHLT o k . Notice that in this stage, the expert can only adjust his/her evaluation once. That is to say, if the chosen expert is the one who has already adjusted his/her second hierarchy of the DHLT, we should select another expert based on the above rules. If all experts in the adjustment set A S i j has adjusted their evaluations and the consensus does not reach, we should go to Stage 2 to further adjust the first hierarchy of the DHLT s t of the experts.
Stage 2. The adjustment of the first hierarchy of the DHLT s t . After updating the adjustment set A S i j , we select the first DHHFLE h S O i j 1 to modify the first hierarchy of the DHLT s t . First, we need to judge whether the second hierarchy of h S O i j 1 has been adjusted. If not, we use the method in Stage 1 to modify the second hierarchy of the DHLT o k and obtain the updated DHHFLE h ¯ S O i j 1 . If the second hierarchy of the DHHFLE h S O i j 1 , which is denoted as h ¯ S O i j 1 in Stage 1, has already been adjusted, we compare the membership degree f ( s ϕ i j , l z < o i j , l z > ) of each DHLT in h ¯ S O i j 1 with the expected value E ( h ¯ S O i j ) of the collective evaluation information.
(1)
If f ( s ϕ i j , l z < o i j , l z > ) > E ( h ¯ S O i j ) , then we need to reduce the value of the first hierarchy of the DHLT s t . In order to minimize the loss of evaluation and retain more original information, we modify the DHLT to s ϕ i j , l z 1 < o i j , l z > and the following rules are provided:
(a)
If f ( s ϕ i j , l z 1 < o 3 > ) E ( h ¯ S O i j ) , then we take the DHLT s ϕ i j , l z 1 < o 3 > as the adjusted one and further obtain the updated DHHFLE h ¯ ˜ S O i j 1 .
(b)
If the adjusted membership degree of the DHLT is smaller than the expected value of the collective evaluation information, that is f ( s ϕ i j , l z 1 < o 3 > ) < E ( h ¯ S O i j ) , then we can obtain the DHLT with the smallest distance from E ( h ¯ S O i j ) and denote it as s ϕ i j , l z 1 < o ϑ > . If there are two DHLTs whose distance from E ( h ¯ S O i j ) are equal, then we choose the one which is closer to the original evaluation s ϕ i j , l z < o i j , l z > and denote it as s ϕ i j , l z 1 < o ϑ > . Then, we compare the distance between the DHLT in h ¯ S O i j 1 obtained in Stage 1 and the expected value of the collective evaluation information E ( h ¯ S O i j ) with the distance between E ( h ¯ S O i j ) and the DHLT s ϕ i j , l z 1 < o ϑ > , and select the smaller one as the adjusted DHLT. We can further obtain the updated DHHFLE h ¯ ˜ S O i j 1 .
(2)
If f ( s ϕ i j , l z < o i j , l z > ) < E ( h ¯ S O i j ) , then we need to increase the value of the first hierarchy of the DHLT s t . Then, we modify the DHLT to s ϕ i j , l z + 1 < o i j , l z > and the following rules are provided:
(a)
If f ( s ϕ i j , l z + 1 < o 3 > ) E ( h ¯ S O i j ) , then we choose the DHLT s ϕ i j , l z + 1 < o 3 > as the adjusted one and further obtain the updated DHHFLE h ¯ ˜ S O i j 1 .
(b)
If f ( s ϕ i j , l z + 1 < o 3 > ) > E ( h ¯ S O i j ) , then we can obtain the DHLT with the smallest distance from E ( h ¯ S O i j ) and denote it as s ϕ i j , l z + 1 < o ϑ > . If there are two DHLTs whose distance from E ( h ¯ S O i j ) are equal, then we choose the one which is closer to the original evaluation s ϕ i j , l z < o i j , l z > and denote it as s ϕ i j , l z + 1 < o ϑ > . Then, we compare the distance between the DHLT in h ¯ S O i j 1 obtained in Stage 1 and the expected value of the collective evaluation information E ( h ¯ S O i j ) with the distance between E ( h ¯ S O i j ) and the DHLT s ϕ i j , l z + 1 < o ϑ > , and select the smaller one as the adjusted DHLT. We can further obtain the updated DHHFLE h ¯ ˜ S O i j 1 .
(3)
If f ( s ϕ i j , l z < o i j , l z > ) = E ( h ¯ S O i j ) , then the DHLT does not change, and we should further modify other DHLTs in the DHHFLE h S O i j 1 .
After updating the DHHFLE as h ¯ ˜ S O i j 1 , we can obtain the novel collective evaluation information h ¯ ˜ S O i j and further calculate the collective distance d ¯ ˜ i j . If d ¯ ˜ i j δ i j , then the consensus reaches, and we can turn to the selection process. Otherwise, we need to update the adjustment set A S i j and choose another expert with the biggest distance d ( h S O i j z , h ¯ ˜ S O i j ) to adjust the first hierarchy of the DHLT s t . It should be mentioned that, if the chosen expert is the one who has already adjusted the first hierarchy of the DHLT, then we should select another expert to modify his/her evaluation based on the above rules. If all experts in the adjustment set A S i j has adjusted the evaluation in Stage 2 and the consensus does not reach, then the consensus fails, and the decision-making process should terminate (see Figure 2).

3.5. Selection Process

When the consensus reaches, the selection process is conducted to generate the final overall ranking of alternatives [53].
First, we can further obtain the overall information h S O i for a i according to the consensus evaluation h S O i j z by Equation (31):
h S O i = D H H F W A ( h S O i 1 , h S O i 2 , , h S O i m ) = j = 1 m ( v j h S O i j )
where v j is the weight of c j and it is obvious that there are v j [ 0 , 1 ] and j = 1 m v j = 1 .
We can calculate the score value E ( h S O i ) and the variance value var ( h S O ) according to Equations (12) and (13) in Section 3.2. Then, we can rank the DHHFLEs h S O i and select the best alternative.
In summary, the detailed decision-making process considering endo-confidence level under DHHFLTS can be described as Algorithm 1.
Algorithm 1. Consensus decision-making process under DHHFLTS with endo-confidence
Input:  D S O z = [ h S O i j z ] n × m , ( z = 1 , 2 , , q ) , V = { v 1 , v 2 , , v j , , v m } , ε [ 0 , 1 ] , λ , α , β and r .
Output: The ranking results of the alternatives and the best choice.
Step 1. Get the endo-confidence level I e c l and I I e c i j z respectively according to the accuracy of their description and the degree of hesitation. Then, we acquire the endo-confidence e c i j z by Equation (19).
Step 2. Obtain the weight based on endo-confidence by Equations (20) and (21) and weight based on entropy by Equations (22)–(25). Then, we compute the weight w i j z of e z by Equation (26).
Step 3. Calculate the collective evaluation information h S O i j and the collective distance d i j by Equations (27) and (28) respectively. Then, we get the consensus threshold δ i j by Equations (29) and (30). If there is d i j δ i j for j M , then go to Step 6 to get the best alternative; Otherwise, continue to the next step. The decision-making process should terminate if all experts in the adjustment set A S i j has adjusted the evaluation in Stage 2, but the consensus does not reach.
Step 4. Get the adjustment set A S i j according to the distance d ( h S O i j z , h S O i j ) and further obtain the adjustment order of the DHHFLEs. Then, we use the two-stage adjustment mechanism to correct the evaluations, in other words, to obtain h ¯ S O i j z and h ¯ ˜ S O i j z . Notice that in both stages, the expert can only adjust his/her evaluation once.
Step 5. Go back to repeat Steps 2–3.
Step 6. When the consensus reaches, we obtain the overall information h S O i for a i by Equation (31), and get the best alternative by comparing their score values and variance values.
Step 7. End.
In order to intuitively reflect the consensus model based on endo-confidence under DHHFLTS, a visual procedure of the proposed model is presented in Figure 3.
After each round of the two-stage adjustment, all quantities that depend on the evaluation information are recomputed so that the mechanism remains self-consistent:
(1)
Endo-confidence refresh. Endo-confidence levels e c i j are defined from the accuracy and hesitation of the DHHFLTS (Equations (16)–(19)). Whenever a DHHFLE is edited in the identification-direction rules, the corresponding e c i j are re-evaluated from the updated linguistic elements. Thus, confidence always reflects the current (not outdated) information state.
(2)
Expert weights reallocation. Expert weights are determined jointly by endo-confidence and entropy (see Equations (20)–(26)). After the refresh of e c i j , the expert-level weights are recomputed and normalized according to the same formulas, so that more reliable (higher-confidence) evaluations preserve influence, while less reliable ones are automatically down-weighted.
(3)
Consensus threshold stability. Although the consensus threshold δ i j is defined as a function of endo-confidence (Equation (30)), in the adjustment phase δ i j is fixed once it is initialized. This design ensures that the acceptance region { d i j δ i j } remains stable during iterations, which is essential for guaranteeing convergence. Endo-confidence e c i j and weights are refreshed after each edit, but the threshold serves as a stationary benchmark rather than a moving target.

4. Illustrative Example

Sustainable development, publicized by the United Nations’ World Commission on Environment and Development, applies to all areas of social life and economy, especially transport. It can not only determine economic competitiveness but also solve the externalities which have negative effects on society and the environment, such as environmental pollution, the emission of noise and vibrations, accidents, transport congestion, the destruction of infrastructure, land occupancy, and climate change [54,55]. As a result, it is of great importance to further study the topic of sustainable transport and make decisions among different options. This paper takes those problems as an example.
Suppose that there are four means to travel, including public transport, electric cars, cycling, and walking, which can be denoted as a 1 , a 2 , a 3 , and a 4 , respectively. When a group of DMs E = { e 1 , e 2 , e 3 , e 4 , e 5 } tend to select a vehicle to a certain place, they may consider some aspects, such as the money c 1 that they may spend, the time c 2 that it may cost to the destination, the comfort of the vehicle c 3 , and the convenience of using this kind of vehicle c 4 .

4.1. The Selection Process of Transportation with the Proposed Method

In this case, we give some related parameters first. The weight of c j is given as v 1 = 0.20 , v 2 = 0.50 , v 3 = 0.15 , v 4 = 0.15 . The parameter r j to control the consensus threshold is given as r 1 = 0.4 , r 2 = 1 , r 3 = 0.5 , r 4 = 0.9 . The optimized parameters are ε = 0.5 , α = 0.5 , β = 0.5 . We utilize Euclidean-Hausdorff distance to measure the distance between DHHFLEs, that is, λ = 2 . The decision-making matrix is given as D S O z ( z = 1 , 2 , 3 , 4 , 5 ). Here, we give the decision-making matrix for the first expert as an example:
c 1 c 2 c 3 c 4 D S O 1 = a 1 a 2 a 3 a 4 { s 1 < o 2 > } { s 1 < o 3 > , s 1 < o 2 > , s 1 < o 1 > , s 1 < o 0 > , s 1 < o 1 > } { s 2 < o 3 > , s 2 < o 2 > } { s 1 < o 1 > , s 1 < o 2 > , s 1 < o 3 > } { s 1 < o 1 > , s 1 < o 0 > } { s 3 < o 3 > , s 3 < o 2 > , s 3 < o 1 > } { s 1 < o 0 > } { s 2 < o 3 > , s 2 < o 2 > , s 2 < o 1 > , s 2 < o 0 > } { s 1 < o 0 > , s 1 < o 1 > , s 1 < o 2 > } { s 2 < o 2 > , s 2 < o 1 > , s 2 < o 0 > } { s 1 < o 3 > , s 2 < o 3 > , s 2 < o 2 > , s 2 < o 1 > } { s 0 < o 0 > , s 0 < o 1 > } { s 1 < o 2 > , s 1 < o 3 > , s 2 < o 3 > } { s 2 < o 0 > , s 2 < o 1 > , s 2 < o 2 > } { s 0 < o 2 > , s 0 < o 1 > , s 0 < o 0 > , s 0 < o 1 > } { s 2 < o 1 > }
The detailed procedure of the consensus model is shown as follows:
Step 1. According to decision-making matrix D S O z ( z = 1 , 2 , 3 , 4 , 5 ), we can compute the overall endo-confidence level e c i j z (taking e 1 as an example).
e c 1 = 0.8333 0.7889 0.7222 0.7778 0.9722 0.7778 1 0.7917 0.8889 0.8889 0.7083 0.9722 0.6667 0.8889 0.875 1
Step 2. Obtain the expert’s weight w i j z (taking e 1 as an example).
w i j 1 = 0.1951 0.1936 0.1994 0.1795 0.2124 0.2200 0.2232 0.1933 0.2045 0.2348 0.1873 0.2317 0.1871 0.2138 0.2030 0.2336
Step 3. Compute the collective evaluation information h S O i j , the collective distance d i j , and the consensus threshold δ i j . Then, we can find that the consensus level is not acceptable, and we need to adjust their evaluation information. The collective evaluation h S O i j is shown as follows:
h S O i j = { s 0 < o 1 > } { s 0 < o 1 > } { s 1 < o 0 > } { s 0 < o 2 > } { s 1 < o 1 > } { s 2 < o 1 > } { s 1 < o 0 > } { s 1 < o 2 > } { s 1 < o 0 > } { s 2 < o 1 > } { s 1 < o 1 > } { s 1 < o 2 > } { s 0 < o 2 > } { s 2 < o 1 > } { s 1 < o 0 > } { s 1 < o 0 > }
Step 4. Due to the length of the paper, here, we just show the adjustment procedure for a 1 over c 1 . We first obtain the adjustment set A S 11 = { e 2 , e 3 , e 4 , e 5 } and select the expert e 5 , whose evaluation has the biggest distance d ( h S O 11 z , h S O 11 ) , to modify his/her second hierarchy of the DHLT ( h S O 11 1 ). His/her evaluation information h S O 11 5 can change from h S O 11 1 = { s 0 < o 3 > , s 0 < o 2 > } to h ¯ S O 11 1 = { s 0 < o 2 > , s 0 < o 2 > } . Then, we update the endo-confidence levels, the weights, and the collective evaluation information, and we can find that the consensus still does not reach. Thus, the updated adjustment set is A S 11 = { e 1 , e 2 , e 3 , e 4 } . The expert e 4 is chosen to modify his/her second hierarchy of the DHLT
( h S O 11 2 ) from h S O 11 2 = { s 1 < o 2 > } to h ¯ S O 11 2 = { s 1 < o 0 > } . We cycle the above procedure and select e 2 to modify his/her second hierarchy of the DHLT ( h S O 11 3 ) from h S O 11 3 = { s 0 < o 0 > } to h ¯ S O 11 3 = { s 0 < o 2 > } . Finally, the consensus reaches.
Step 5. We can obtain the consensus collective evaluation information h ¯ ˜ S O i j and further obtain the overall information h S O i = [ 0.9885 , 0.9845 , 0.8133 , 0.9912 ] for a i . The ranking of alternatives is A 4 A 1 A 2 A 3 . Then, A 4 is the best choice and they may walk to the destination according to their evaluations. The collective consensus evaluation information h ¯ ˜ S O i j is shown as:
h ¯ ˜ S O i j = { s 0 < o 2 > } { s 0 < o 0 > } { s 1 < o 1 > } { s 0 < o 2 > } { s 1 < o 1 > } { s 2 < o 2 > } { s 1 < o 0 > } { s 1 < o 2 > } { s 1 < o 0 > } { s 2 < o 0 > } { s 1 < o 1 > } { s 1 < o 2 > } { s 0 < o 2 > } { s 2 < o 2 > } { s 1 < o 2 > } { s 1 < o 0 > }

4.2. Sensitive Analysis

In CRP, one main step is to judge whether the consensus reaches. Thus, the consensus index (measured by the collective distance) is very important. Because different values of λ may result in differences in the collective distance, in this section, we discuss the relationship between λ and the collective distance and analyze its influence on the ranking of alternatives. In addition, the consensus threshold describes the deviation level of the final experts’ evaluations. Therefore, the consensus threshold is related to the total adjustment distance (the distance between experts’ consensus evaluation information and the corresponding original one). In this section, we explore the relationship between them.
(1)
Analysis of the parameter λ
We adjust λ from 1 to 5 and the other parameters are the same as the example in Section 4.1. The sensitivity result with the proposed model is presented in Figure 4.
Figure 4 shows the relationships between the collective distance over c 1 ( d i 1 ) and the parameter λ . According to Figure 4, we can find that the changes in the collective distance are quite large with different values of λ . For instance, d 41 = 0 . 0177 when λ = 1 and d 41 = 0 . 0270 when λ = 2 . Also, when the value of λ changes from 1 to 5, the collective distance for a 1 , a 2 , and a 4 over c 1 have three different stages of change (increase with λ changes from 1 to 2 and from 3 to 5, decrease with λ from 2 to 3), while the collective distance for a 3 keeps increasing. Meanwhile, the growth rate of d i 1 is faster when λ is between 0 and 1 and the rate slows down when λ changes from 3 to 5. Additionally, the ranking orders of score value E ( h S O i j ) may be changed when we utilize different values of λ . For instance, considering the attribute c 2 the rankings of score value are E ( h S O 42 ) > E ( h S O 22 ) > E ( h S O 12 ) > E ( h S O 32 ) when λ = 4 and E ( h S O 22 ) > E ( h S O 42 ) > E ( h S O 12 ) > E ( h S O 32 ) when λ = 5 . We can conclude that the choice of the parameter λ will affect the value of the collective distance, which is the measurement of consensus index, and further influence the difficulty of reaching the predefined consensus level. Moreover, it has a great effect on the score values and further the final ranking of alternatives and thus the best choice.
(2)
Analysis of the parameter r
In this section, we adjust the parameter r j which can control the requirement of consensus threshold and explore the relationship between the consensus threshold and the total adjustment distance. We set α = 0.6 , r j = { r 1 , 1 , 0.5 , 1 } and adjust r 1 from 0.4 to 1 at intervals of 0.001. The other parameters are the same as the illustrative example in Section 4.1. Figure 5 shows the relationship between the parameter r 1 and the adjustment distance d ^ i 1 which can be calculated by Equation (32):
d ^ i j = d ( h ¯ ˜ S O i j , h S O i j )
According to Figure 5, the following observations can be found.
In most cases, as r 1 increases, the value of d ^ i 1 decreases. That is to say, the consensus threshold increases with the increase of r 1 , which states that the requirements for consensus become more lenient and less adjustment is needed to reach the predefined consensus level. When r j is close to 1, the adjustment distances of both d ^ 21 (for alternative a 2 ) and d ^ 31 (for alternative a 3 ) are equal to 0, which means that the original evaluations for a 2 and a 3 can achieve the consensus level without adjustment. The adjustment distance d ^ 41 for the alternative a 4 stay unchanged with the increase in the parameter r 1 . That is to say, when r 1 = 1 , the consensus level has already reached the requirement of r 1 = 0.4 and we do not need to adjust any expert when we change the parameter r 1 , thus leading to the above phenomenon.
It is worth noting that there is a short rise in the value of the adjustment distance d ^ 11 for A 1 when r 1 is between 0.4 and 0.5. The reason may be that as the consensus threshold decreases, the number of experts included in the adjustment set A S i j decreases and fewer experts can participate in the adjustment of the second hierarchy of the DHLT o k , which will lead to a larger adjustment (more experts are needed to modify the first hierarchy of the DHLT s t ). We can conclude that the adjustment distance d ^ i j does not always decrease as the parameter r j increases and it is very important to set a reasonable value of the parameter r j . When r j < 0.4 , it may lead to too much adjustment of the expert’s original information and greatly change the expert’s attitude towards the evaluations of alternatives, which may cause serious information loss. Also, in some cases, the consensus threshold cannot be achieved under such a situation. However, when the parameter r j > 1 , the consensus threshold is not binding and the decision result is obtained by directly integrating the expert’s original information, which is lack of effectiveness.

4.3. Comparative Analysis

Another way to show the advantage of the decision-making model proposed in this paper is to compare it with the existing models. Now, let us consider the CRP for MAGDM problem with HFLTSs presented by Zhang et al. [56]. We set the parameters in our model to the same as the example in Section 4.1 and the parameters in Zhang et al. [56] are defined as follows. The consensus threshold is μ = 0.95 and the maximum number of linguistic terms is π = 2 (which are denoted as α and β , respectively, in their paper). Because the expert did not consider the more complicated situation when giving the evaluations under HFLTSs, we remove the second hierarchy of the DHLT from DHHFLTSs as HFLTSs and obtain the original evaluations D S z , ( z = 1 , 2 , 3 , 4 , 5 ) . Notice that they define the LTS as S = { s t | t = 0 , , 2 τ } and we need to add τ to each term when finishing the transforming process. The decision-making matrix for the expert e 1 is
c 1 c 2   c 3 c 4 D S 1 = a 1 a 2 a 3 a 4 { s 4 } { s 2 } { s 5 } { s 4 } { s 4 } { s 6 } { s 2 } { s 5 } { s 2 } { s 1 } { s 4 , s 5 } { s 3 } { s 4 , s 5 } { s 5 } { s 3 } { s 5 }
Then, the approach in Zhang et al. [56] is utilized to obtain the consensus evaluation information and further obtain the decision results with the same attribute weights in this paper. By comparing these two models, we can find the following results:
In our paper, the evaluations provided by DMs are in the form of DHHFLTS which can describe more complex evaluations than HFLTS utilized in Zhang et al.’s paper [56]. For instance, the expert e 1 gives his/her evaluation information as { s 1 < o 3 > , s 1 < o 2 > , s 1 < o 1 > , s 1 < o 0 > , s 1 < o 1 > } while this evaluation can only be expressed as { s 4 } by HFLTS which cannot show the exact degree of the evaluation s 4 . Meanwhile, in our model, we consider endo-confidence factor in the decision-making process which can increase the accuracy of decision-making results. In particular, we assign higher weights to more confident DMs and introduce endo-confidence to determine the consensus threshold. In addition, we set the second hierarchy of the consensus evaluation obtained by [56] as o o to transform HFLEs into DHHFLEs. Then, the method proposed in Section 3.5 is used to compute the expected value [ 0.9931 , 0.9795 , 0.7793 , 0.9928 ] of the consensus evaluation. Finally, we obtain the ranking of alternatives as A 1 A 4 A 2 A 3 , which is different from the results obtained by the model in this paper. We can conclude that the proposed model considering endo-confidence level under DHHFLTS has an influence on the final decision results.
Furthermore, the two-stage adjustment mechanism can reduce the adjustment of the original evaluation information. For instance, the consensus evaluation for a 4 over c 4 (whose original evaluation is D S O 44 1 = { s 1 < o 2 > , s 1 < o 3 > , s 2 < o 3 > } ) obtained by the proposed model is h ¯ ˜ S O 44 1 = { s 1 < o 0 > , s 1 < o 0 > , s 2 < o 3 > } while the corresponding consensus evaluation by model in Zhang et al. [56] is h ¯ ˜ s 44 1 = { s 4 } . We can see that, in this case, only the second hierarchy of the DHLTs needs to be adjusted in our model; due to the second hierarchy of the DHLTs that is not considered in Zhang et al.’s approach, they adjusted the first hierarchy of the original information which may cause more information loss. In addition, we calculate the total adjustment distance d ^ = i j d ^ i j of the two models and we get d ^ = 0.0867 in our model and d ^ = 0.1028 in Zhang et al.’s model. Moreover, we compute the total collective distance (consensus degree) d ^ = i j d ^ i j and acquire d = 0.04594 and d = 0.0710 , respectively. It is obvious that compared with Zhang et al.’s approach [56], our model can achieve a greater consensus level by making fewer adjustments to the original information of experts.

5. Conclusions

5.1. Summary

In summary, in this paper, we have studied qualitative CRP under DHHFLTS for the MAGDM problem by considering endo-confidence level. First, we discuss the shortcomings of the published transforming function and give the improved one, and the novel method to add the DHLTs to the short DHHFLE is provided. Then, the CRP in given, including the method to extract endo-confidence level from evaluation information itself, the way to calculate the weight based on endo-confidence level and information entropy, the determination of consensus threshold considering endo-confidence level, the two-stage feedback mechanism of sequentially adjusting the second and first hierarchy of the DHLT to modify evaluation information, and the selection process. Moreover, an illustrative example is used to show the feasibility of this decision-making model in the field of sustainable transportation, the sensitive analysis of the parameters ( λ , r ) and the comparative analysis are provided to show the advantages of the presented model. According to the sensitive analysis, we can find that the choice of the parameter λ can affect the value of the collective distance and the score values, and further the efficiency of consensus-reaching and the final ranking of alternatives. Moreover, in this paper, we show the relationship between the parameter r and the adjustment distance, which guides DMs in choosing appropriate parameters. Furthermore, from comparative analysis, we can conclude that our model can achieve a greater consensus level by making fewer adjustments than the existing research.
Although we proposed a novel consensus model under DHHFLTS considering endo-confidence factor, this cannot solve the large-scale decision-making problem. Facing complex decision-making information and objects, large-scale decision-making plays a critical role in decision-making fields and this is the research topic for us in the future.

5.2. Limitations and Future Work

(1) 
Dependence on the linguistic–numeric mapping. The proposed framework relies on the transformation functions F , F 1 (Equation (6)) that map double-hierarchy linguistic terms into a numerical scale. While this design ensures mathematical tractability and allows the use of distance measures (Equation (15)) and aggregation operators (Equations (9)–(11)), it also introduces sensitivity to the choice of linguistic granularity and scale calibration. In practice, experts from different cultural or organizational backgrounds may interpret the same double-hierarchy linguistic terms differently, potentially leading to inconsistencies. Future research could explore data-driven calibration or adaptive learning of the linguistic–numeric mapping to enhance robustness and cross-context applicability.
(2) 
Simplifying assumptions in endo-confidence measurement. The endo-confidence level is quantified using two components: accuracy and hesitation (Equations (16)–(19)). This formulation is theoretically grounded and computationally efficient, yet it abstracts away other psychological or contextual factors that may influence confidence in real decision-making, such as social influence, risk preference, or time pressure. Moreover, the balance between accuracy and hesitation is fixed in this study, while in practice their relative importance may vary across domains. Extending the model to incorporate additional determinants of confidence, or to adaptively weight accuracy and hesitation, would improve realism and generalizability.
(3) 
Scalability and computational aspects. Although the model performs well in small- and medium-sized group decision-making, large-scale MAGDM scenarios with hundreds of decision makers pose additional challenges. The iterative CRP requires repeated computation of distances (Equation (15)) and weight updates (Equations (20)–(23)), which can become computationally demanding as the group size increases. While clustering techniques can mitigate complexity, the current paper does not provide a systematic scalability analysis. Future work could investigate parallel computing strategies, approximate distance measures, or hierarchical consensus structures to ensure efficiency in very large-scale applications.

Author Contributions

Conceptualization, H.X.; Methodology, H.X.; Validation, H.X. and X.T.; Formal analysis, L.L. and X.T.; Investigation, L.L. and X.T.; Data curation, L.L.; Writing – original draft, W.L.; Writing – review & editing, W.L.; Supervision, L.L. and W.L.; Project administration, W.L.; Funding acquisition, W.L. All authors have read and agreed to the published version of the manuscript.

Funding

This research received no external funding.

Data Availability Statement

The original contributions presented in this study are included in the article. Further inquiries can be directed to the corresponding author.

Conflicts of Interest

The authors declare no conflict of interest.

References

  1. Demir, G.; Chatterjee, P.; Pamucar, D. Sensitivity analysis in multi-criteria decision making: A state-of-the-art research perspective using bibliometric analysis. Expert Syst. Appl. 2024, 237, 121660. [Google Scholar] [CrossRef]
  2. Qin, J.D.; Li, M.X.; Liang, Y.Y. Minimum cost consensus model for CRP-driven preference optimization analysis in large-scale group decision making using Louvain algorithm. Inf. Fusion 2022, 80, 121–136. [Google Scholar] [CrossRef]
  3. Gai, T.T.; Chiclana, F.; Jin, W.D.; Zhou, M.; Wu, J. A transformation method of non-cooperative to cooperative behavior by trust propagation in social network group decision making. IEEE Trans. Fuzzy Syst. 2025, 33, 2238–2250. [Google Scholar] [CrossRef]
  4. Wu, Q.; Liu, X.W.; Zhou, L.G.; Tao, Z.F.; Qin, J.D. A quantum framework for modeling interference effects in linguistic distribution multiple criteria group decision making. IEEE Trans. Syst. Man Cybern.-Syst. 2022, 52, 3492–3507. [Google Scholar] [CrossRef]
  5. Sun, X.L.; Zhu, J.J.; Wang, J.P.; Pérez-Gálvez, I.J.; Cabrerizo, F.J. Consensus-reaching process in multi-stage large-scale group decision-making based on social network analysis: Exploring the implication of herding behavior. Inf. Fusion 2024, 104, 102184. [Google Scholar] [CrossRef]
  6. Ji, Y.; Xu, Y.; Qu, S.J.; Xu, Z.S.; Wu, Z.; Nabe, M. A novel two-stage multi-criteria decision-making method based on interval-valued Pythagorean fuzzy aggregation operators with self-confidence levels. Arab. J. Sci. Eng. 2020, 46, 1561–1584. [Google Scholar] [CrossRef]
  7. Liu, X.; Xu, Y.J.; Ge, Y.; Zhang, W.K.; Herrera, F. A group decision making approach considering self-confidence behaviors and its application in environmental pollution emergency management. Int. J. Environ. Res. Public Health 2019, 16, 385. [Google Scholar] [CrossRef]
  8. Dong, Y.C.; Liu, W.Q.; Chiclana, F.; Kou, G.; Herrera-Viedma, E. Are incomplete and self-confident preference relations better in multicriteria decision making? A simulation-based investigation. Inf. Sci. 2019, 492, 40–57. [Google Scholar] [CrossRef]
  9. Zeng, S.Z.; Peng, X.M.; Baležentis, T.; Streimikiene, D. Prioritization of low-carbon suppliers based on Pythagorean fuzzy group decision making with self-confidence level. Econ. Res.-Ekon. Istraz. 2019, 32, 1073–1087. [Google Scholar] [CrossRef]
  10. Gou, X.; Xu, X.; Deng, F.; Zhou, W.; Herrera-Viedma, E. Medical health resources allocation evaluation in public health emergencies by an improved ORESTE method with linguistic preference orderings. Fuzzy Optim. Decis. Mak. 2024, 23, 1–27. [Google Scholar] [CrossRef]
  11. Fan, S.; Zhang, H.J.; Tang, H.L. A linguistic hierarchy model with self-confidence preference relations and its application in co-regulation of food safety in China. Int. J. Environ. Res. Public Health 2019, 16, 2918. [Google Scholar] [CrossRef] [PubMed]
  12. Liu, B.S.; Jiao, S.X.; Shen, Y.H.; Chen, Y.; Wu, G.B.; Chen, S. A dynamic hybrid trust network-based dual-path feedback consensus model for multi-attribute group decision-making in intuitionistic fuzzy environment. Inf. Fusion 2022, 80, 266–281. [Google Scholar] [CrossRef]
  13. Liu, W.Q.; Wu, Y.Z.; Chen, X.; Chiclana, F. Managing heterogeneous preferences and multiple consensus behaviors with self-confidence in large-scale group decision making. Inf. Fusion 2024, 107, 102289. [Google Scholar] [CrossRef]
  14. Ding, Z.G.; Chen, X.; Dong, Y.C.; Herrera, F. Consensus reaching in social network DeGroot model: The roles of the self-confidence and node degree. Inf. Sci. 2019, 486, 62–72. [Google Scholar] [CrossRef]
  15. Liu, X.; Xu, Y.J.; Montes, R.; Herrera, F. Social network group decision making: Managing self-confidence-based consensus model with the dynamic importance degree of experts and trust-based feedback mechanism. Inf. Sci. 2019, 505, 215–232. [Google Scholar] [CrossRef]
  16. Ding, R.X.; Yang, B.; Yang, G.R.; Li, M.N.; Wang, X.; Chiclana, F. A confidence and conflict-based consensus reaching process for large-scale group decision-making problems with intuitionistic fuzzy representations. IEEE Trans. Fuzzy Syst. 2024, 32, 3420–3432. [Google Scholar] [CrossRef]
  17. Liu, W.Q.; Zhang, H.J.; Chen, X.; Yu, S. Managing consensus and self-confidence in multiplicative preference relations in group decision making. Knowl.-Based Syst. 2018, 162, 62–73. [Google Scholar] [CrossRef]
  18. Zhang, H.J.; Li, C.C.; Liu, Y.T.; Dong, Y.C. Modeling personalized individual semantics and consensus in comparative linguistic expression preference relations with self-confidence: An optimization-based approach. IEEE Trans. Fuzzy Syst. 2021, 29, 627–640. [Google Scholar] [CrossRef]
  19. Gou, X.J.; Xu, Z.S.; Wang, X.X.; Liao, H.C. Managing consensus reaching process with self-confident double hierarchy linguistic preference relations in group decision making. Fuzzy Optim. Decis. Mak. 2021, 20, 51–79. [Google Scholar] [CrossRef]
  20. Han, Y.; Ji, Y.; Qu, S.J. ELICIT trust-driven robust consensus model in social network linguistic large-scale group decision-making. Expert Syst. Appl. 2025, 293, 129053. [Google Scholar] [CrossRef]
  21. Xu, X.H.; Du, Z.J.; Chen, X.H.; Cai, C.G. Confidence consensus-based model for large-scale group decision making: A novel approach to managing non-cooperative behaviors. Inf. Sci. 2019, 477, 410–427. [Google Scholar] [CrossRef]
  22. Liu, X.; Xu, Y.J.; Herrera, F. Consensus model for large-scale group decision making based on fuzzy preference relation with self-confidence: Detecting and managing overconfidence behaviors. Inf. Fusion 2019, 52, 245–256. [Google Scholar]
  23. Zou, W.C.; Wan, S.P.; Dong, J.Y. Trust evolution based minimum adjustment consensus framework with dynamic limited compromise behavior for probabilistic linguistic large scale group decision-making. Inf. Sci. 2024, 652, 119724. [Google Scholar]
  24. Tu, Y.; Song, J.J.; Xie, Y.T.; Zhou, X.Y.; Lev, B. Facilitating large-scale group decision-making in social networks: A bi-level consensus model with social influence. Inf. Fusion 2024, 105, 102258. [Google Scholar] [CrossRef]
  25. Tan, X.; Zhu, J.J.; Palomares, I.; Liu, X. On consensus reaching process based on social network analysis in uncertain linguistic group decision making: Exploring limited trust propagation and preference modification attitudes. Inf. Fusion 2022, 78, 180–198. [Google Scholar] [CrossRef]
  26. Gou, X.J.; Liao, H.C.; Xu, Z.S.; Herrera, F. Double hierarchy hesitant fuzzy linguistic term set and MULTIMOORA method: A case of study to evaluate the implementation status of haze controlling measures. Inf. Fusion 2017, 38, 22–34. [Google Scholar] [CrossRef]
  27. Gou, X.; Xu, Z.; Liao, H.; Herrera, F. Probabilistic double hierarchy linguistic term set and its use in designing an improved VIKOR method: The application in smart healthcare. J. Oper. Res. Soc. 2021, 72, 2611–2630. [Google Scholar] [CrossRef]
  28. Li, W.Q.; Li, L.H.; Xu, Z.S.; Tian, X.L. Large-scale consensus with endo-confidence under probabilistic linguistic circumstance and its application. Econ. Res.-Ekon. Istraz. 2022, 35, 2039–2072. [Google Scholar]
  29. Tian, X.; Li, W.; Xu, Z.; Kou, G.; Nie, C. An endo-confidence-based consensus with hierarchical clustering and automatic feedback in multi-attribute large-scale group decision-making. Inf. Sci. 2022, 608, 1702–1730. [Google Scholar]
  30. Tian, X.; Li, W.; Li, L.; Kou, G.; Ye, C. A consensus model under framework of prospect theory with acceptable adjustment and endo-confidence. Inf. Fusion 2023, 97, 101808. [Google Scholar] [CrossRef]
  31. Guha, D.; Chakraborty, D. Fuzzy multi attribute group decision making method to achieve consensus under the consideration of degrees of confidence of experts’ opinions. Comput. Ind. Eng. 2011, 60, 493–504. [Google Scholar] [CrossRef]
  32. Hinsz, V.B. Cognitive and consensus processes in group recognition memory performance. J. Personal. Soc. Psychol. 1990, 59, 705–718. [Google Scholar]
  33. Wan, S.P.; Yan, J.; Dong, J.Y. Personalized individual semantics based consensus reaching process for large-scale group decision making with probabilistic linguistic preference relations and application to COVID-19 surveillance. Expert Syst. Appl. 2022, 191, 116328. [Google Scholar] [CrossRef]
  34. Wan, S.P.; Zou, W.C.; Dong, J.Y.; Gao, Y. Dual strategies consensus reaching process for ranking consensus based probabilistic linguistic multi-criteria group decision-making method. Expert Syst. Appl. 2025, 262, 125342. [Google Scholar] [CrossRef]
  35. Zhan, J.X.; Cai, M.J. A cost-minimized two-stage three-way dynamic consensus mechanism for social network-large scale group decision-making: Utilizing K-nearest neighbors for incomplete fuzzy preference relations. Expert Syst. Appl. 2025, 263, 125705. [Google Scholar] [CrossRef]
  36. Zadeh, L.A. The concept of a linguistic variable and its applications to approximate reasoning—I. Inf. Sci. 1975, 8, 199–249. [Google Scholar] [CrossRef]
  37. Xia, M.M.; Xu, Z.S. Hesitant fuzzy information aggregation in decision making. Int. J. Approx. Reason. 2011, 52, 395–407. [Google Scholar] [CrossRef]
  38. Gou, X.J.; Xu, Z.S. Double hierarchy linguistic term set and its extensions: The state-of-the-art survey. Int. J. Intell. Syst. 2021, 36, 832–865. [Google Scholar] [CrossRef]
  39. Gou, X.J.; Xu, Z.S.; Liao, H.C.; Herrera, F. Multiple criteria decision making based on distance and similarity measures under double hierarchy hesitant fuzzy linguistic environment. Comput. Ind. Eng. 2018, 126, 516–530. [Google Scholar] [CrossRef]
  40. Pastore, R.E.; Scheirer, C.J. Signal detection theory: Considerations for general application. Psychol. Bull. 1974, 81, 945. [Google Scholar] [CrossRef]
  41. Koriat, A. The self-consistency model of subjective confidence. Psychol. Rev. 2012, 119, 80. [Google Scholar] [CrossRef] [PubMed]
  42. Herrera, F.; Martínez, L. A 2-tuple fuzzy linguistic representation model for computing with words. IEEE Trans. Fuzzy Syst. 2002, 8, 746–752. [Google Scholar]
  43. Wan, S.P.; Wu, H.; Dong, J.Y. An integrated method for complex heterogeneous multi-attribute group decision-making and application to photovoltaic power station site selection. Expert Syst. Appl. 2024, 242, 122456. [Google Scholar]
  44. Moslem, S. A novel parsimonious spherical fuzzy analytic hierarchy process for sustainable urban transport solutions. Eng. Appl. Artif. Intell. 2024, 128, 107447. [Google Scholar]
  45. Yue, C.; Huang, R.; Towey, D.; Xian, Z.; Wu, G. An entropy-based group decision-making approach for software quality evaluation. Expert Syst. Appl. 2024, 238, 121979. [Google Scholar]
  46. Akram, Z.; Ahmad, U.; Alcantud, J.C.R. Multi-criteria decision-making for the selection of best airport ground access mode with a new fuzzy rough-entropy based method. Eng. Appl. Artif. Intell. 2024, 135, 108843. [Google Scholar]
  47. Khan, M.J.; Ding, W.; Jiang, S.; Akram, M. Group decision making using circular intuitionistic fuzzy preference relations. Expert Syst. Appl. 2025, 270, 126502. [Google Scholar] [CrossRef]
  48. Gou, X.J.; Xu, Z.S.; Herrera, F. Consensus reaching process for large-scale group decision making with double hierarchy hesitant fuzzy linguistic preference relations. Knowl.-Based Syst. 2018, 157, 20–33. [Google Scholar]
  49. Gou, X.J.; Liao, H.C.; Xu, Z.S.; Min, R.; Herrera, F. Group decision making with double hierarchy hesitant fuzzy linguistic preference relations: Consistency based measures, index and repairing algorithms and decision model. Inf. Sci. 2019, 489, 93–112. [Google Scholar] [CrossRef]
  50. Wang, H.; Liao, H.C.; Huang, B.; Xu, Z.S. Determining consensus thresholds for group decision making with preference relations. J. Oper. Res. Soc. 2020, 72, 2290–2300. [Google Scholar] [CrossRef]
  51. Wang, H.; Yu, D.J.; Xu, Z.S. A novel process to determine consensus thresholds and its application in probabilistic linguistic group decision-making. Expert Syst. Appl. 2021, 168, 114315. [Google Scholar] [CrossRef]
  52. Fan, S.; Liang, H.; Li, C.C.; Chiclana, F.; Pedrycz, W.; Dong, Y.C. Optimal resources allocation to support the consensus reaching in group decision making. Inf. Fusion 2024, 110, 102451. [Google Scholar] [CrossRef]
  53. Tian, Z.P.; Xu, F.X.; Nie, R.X.; Wang, X.K.; Wang, J.Q. An adaptive consensus model for multi-criteria sorting under linguistic distribution group decision making considering decision-makers’ attitudes. Inf. Fusion 2024, 108, 102406. [Google Scholar]
  54. Schönherr, S.; Pikkemaat, B. Young peoples’ environmentally sustainable tourism attitude and responsible behavioral intention. Tour. Rev. 2024, 79, 939–952. [Google Scholar]
  55. Kim, M.J.; Hall, C.M.; Chung, N.; Kim, M.; Sohn, K. What makes tourists use public transport? Value-belief-norm theory, environmental, social, and governance factors, and the sustainable development goals. J. Travel Res. 2024, 63, 1426–1441. [Google Scholar]
  56. Zhang, B.W.; Liang, H.M.; Zhang, G.Q. Reaching a consensus with minimum adjustment in MAGDM with hesitant fuzzy linguistic term sets. Inf. Fusion 2018, 42, 12–23. [Google Scholar] [CrossRef]
Figure 1. The flowchart of this paper.
Figure 1. The flowchart of this paper.
Mathematics 13 03200 g001
Figure 2. Flowchart of the two-stage feedback adjustment mechanism.
Figure 2. Flowchart of the two-stage feedback adjustment mechanism.
Mathematics 13 03200 g002
Figure 3. The visual procedure of consensus model based on endo-confidence under DHHFLTS.
Figure 3. The visual procedure of consensus model based on endo-confidence under DHHFLTS.
Mathematics 13 03200 g003
Figure 4. The relationship between λ and the collective distance d i 1 .
Figure 4. The relationship between λ and the collective distance d i 1 .
Mathematics 13 03200 g004
Figure 5. The relationship between r 1 and the adjustment distance d ^ i 1 .
Figure 5. The relationship between r 1 and the adjustment distance d ^ i 1 .
Mathematics 13 03200 g005
Disclaimer/Publisher’s Note: The statements, opinions and data contained in all publications are solely those of the individual author(s) and contributor(s) and not of MDPI and/or the editor(s). MDPI and/or the editor(s) disclaim responsibility for any injury to people or property resulting from any ideas, methods, instructions or products referred to in the content.

Share and Cite

MDPI and ACS Style

Xu, H.; Tian, X.; Liu, L.; Li, W. A Novel Consensus Considering Endo-Confidence with Double-Hierarchy Hesitant Fuzzy Linguistic Term Set and Its Application. Mathematics 2025, 13, 3200. https://doi.org/10.3390/math13193200

AMA Style

Xu H, Tian X, Liu L, Li W. A Novel Consensus Considering Endo-Confidence with Double-Hierarchy Hesitant Fuzzy Linguistic Term Set and Its Application. Mathematics. 2025; 13(19):3200. https://doi.org/10.3390/math13193200

Chicago/Turabian Style

Xu, Honghai, Xiaoli Tian, Li Liu, and Wanqing Li. 2025. "A Novel Consensus Considering Endo-Confidence with Double-Hierarchy Hesitant Fuzzy Linguistic Term Set and Its Application" Mathematics 13, no. 19: 3200. https://doi.org/10.3390/math13193200

APA Style

Xu, H., Tian, X., Liu, L., & Li, W. (2025). A Novel Consensus Considering Endo-Confidence with Double-Hierarchy Hesitant Fuzzy Linguistic Term Set and Its Application. Mathematics, 13(19), 3200. https://doi.org/10.3390/math13193200

Note that from the first issue of 2016, this journal uses article numbers instead of page numbers. See further details here.

Article Metrics

Back to TopTop